Sign in to use this feature.

Years

Between: -

Subjects

remove_circle_outline
remove_circle_outline
remove_circle_outline
remove_circle_outline
remove_circle_outline
remove_circle_outline
remove_circle_outline

Journals

Article Types

Countries / Regions

Search Results (83)

Search Parameters:
Keywords = wavelet scalogram

Order results
Result details
Results per page
Select all
Export citation of selected articles as:
28 pages, 7790 KB  
Article
A Hybrid Deep Learning Framework for Fault Diagnosis in Milling Machines
by Muhammad Farooq Siddique, Wasim Zaman, Muhammad Umar, Jae-Young Kim and Jong-Myon Kim
Sensors 2025, 25(18), 5866; https://doi.org/10.3390/s25185866 - 19 Sep 2025
Viewed by 436
Abstract
This paper presents a hybrid fault-diagnosis framework for milling cutting tools designed to address three persistent challenges in industrial monitoring: noisy vibration signals, limited fault labels, and variability across operating conditions. The framework begins by removing baseline drift from raw signals to improve [...] Read more.
This paper presents a hybrid fault-diagnosis framework for milling cutting tools designed to address three persistent challenges in industrial monitoring: noisy vibration signals, limited fault labels, and variability across operating conditions. The framework begins by removing baseline drift from raw signals to improve the signal-to-noise ratio. Logarithmic continuous wavelet scalograms are then constructed to provide precise time-frequency localization and reveal fault-related harmonics. To enhance feature clarity, a Canny edge operator is applied, suppressing minor artifacts and reducing intra-class variation so that key diagnostic structures are emphasized. Feature representation is obtained through a dual-branch encoder, where one pathway captures localized patterns while the other preserves long-range dependencies, resulting in compact and discriminative fault descriptors. These descriptors are integrated by an ensemble decision mechanism that assigns validation-guided weights to individual learners, ensuring reliable fault identification, improved robustness under noise, and stable performance across diverse operating conditions. Experimental validation on real-world cutting tool data demonstrates an accuracy of 99.78%, strong resilience to environmental noise, and consistent diagnostic performance under variable conditions. The framework remains lightweight, scalable, and readily deployable, providing a practical solution for high-precision tool fault diagnosis in data-constrained industrial environments. Full article
Show Figures

Figure 1

17 pages, 5152 KB  
Article
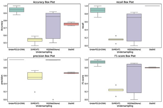
UnderFSL: Boundary-Preserving Undersampling with Few-Shot Relation Networks for Cross-Machine CNC Fault Diagnosis
by Jonggeun Kim, Jinyong Kim, Hyeon-Uk Lee, Ohkyu Choi and Sijong Kim
Electronics 2025, 14(18), 3699; https://doi.org/10.3390/electronics14183699 - 18 Sep 2025
Viewed by 280
Abstract
Fault diagnosis in Computer Numerical Control (CNC) machines remains challenging due to severe class imbalance, scarcity of fault data, and distribution shifts across machines. This paper introduces Undersampling-based Few-shot Learning (UnderFSL), a simple yet effective framework that integrates strategic undersampling using Condensed Nearest [...] Read more.
Fault diagnosis in Computer Numerical Control (CNC) machines remains challenging due to severe class imbalance, scarcity of fault data, and distribution shifts across machines. This paper introduces Undersampling-based Few-shot Learning (UnderFSL), a simple yet effective framework that integrates strategic undersampling using Condensed Nearest Neighbor (U-CNN) with a Relation Network few-shot classifier. The proposed method first transforms raw 1D vibration signals into 2D Continuous Wavelet Transform (CWT) scalograms to capture time–frequency structure and then reduces the majority (normal) class using U-CNN, yielding a compact set of boundary-informative prototypes while alleviating imbalance. Finally, a Relation Network is trained in an episodic FSL regime on the balanced set to support cross-machine generalization. On the Bosch CNC machining benchmark under leave-one-machine-out validation, UnderFSL attains a macro F1-Score of 0.96, an accuracy of 0.96, a recall of 0.92, and a precision of 1.00, surpassing traditional and standard deep baselines. The results suggest that boundary-preserving undersampling combined with metric learning provides a robust and scalable path for industrial fault diagnosis when fault data are extremely limited. Full article
Show Figures

Figure 1

24 pages, 3485 KB  
Article
Impact Evaluation of Sound Dataset Augmentation and Synthetic Generation upon Classification Accuracy
by Eleni Tsalera, Andreas Papadakis, Gerasimos Pagiatakis and Maria Samarakou
J. Sens. Actuator Netw. 2025, 14(5), 91; https://doi.org/10.3390/jsan14050091 - 9 Sep 2025
Viewed by 620
Abstract
We investigate the impact of dataset augmentation and synthetic generation techniques on the accuracy of supervised audio classification based on state-of-the-art neural networks used as classifiers. Dataset augmentation techniques are applied upon the raw sound and its transformed image format. Specifically, sound augmentation [...] Read more.
We investigate the impact of dataset augmentation and synthetic generation techniques on the accuracy of supervised audio classification based on state-of-the-art neural networks used as classifiers. Dataset augmentation techniques are applied upon the raw sound and its transformed image format. Specifically, sound augmentation techniques are applied prior to spectral-based transformation and include time stretching, pitch shifting, noise addition, volume controlling, and time shifting. Image augmentation techniques are applied after the transformation of the sound into a scalogram, involving scaling, shearing, rotation, and translation. Synthetic sound generation is based on the AudioGen generative model, triggered through a series of customized prompts. Augmentation and synthetic generation are applied to three sound categories: (a) human sounds, (b) animal sounds, and (c) sounds of things, with each category containing ten sound classes with 20 samples retrieved from the ESC-50 dataset. Sound- and image-orientated neural network classifiers have been used to classify the augmented datasets and their synthetic additions. VGGish and YAMNet (sound classifiers) employ spectrograms, while ResNet50 and DarkNet53 (image classifiers) employ scalograms. The streamlined AI-based process of augmentation and synthetic generation, enhanced classifier fine-tuning and inference allowed for a consistent, multicriteria-comparison of the impact. Classification accuracy has increased for all augmentation and synthetic generation scenarios; however, the increase has not been uniform among the techniques, the sound types, and the percentage of the training set population increase. The average increase in classification accuracy ranged from 2.05% for ResNet50 to 9.05% for VGGish. Our findings reinforce the benefit of audio augmentation and synthetic generation, providing guidelines to avoid accuracy degradation due to overuse and distortion of key audio features. Full article
(This article belongs to the Special Issue AI-Assisted Machine-Environment Interaction)
Show Figures

Figure 1

23 pages, 2309 KB  
Article
A Novel Hybrid Approach for Drowsiness Detection Using EEG Scalograms to Overcome Inter-Subject Variability
by Aymen Zayed, Nidhameddine Belhadj, Khaled Ben Khalifa, Carlos Valderrama and Mohamed Hedi Bedoui
Sensors 2025, 25(17), 5530; https://doi.org/10.3390/s25175530 - 5 Sep 2025
Viewed by 1205
Abstract
Drowsiness constitutes a significant risk factor in diverse occupational settings, including healthcare, industry, construction, and transportation, contributing to accidents, injuries, and fatalities. Electroencephalography (EEG) signals, offering direct measurements of brain activity, have emerged as a promising modality for drowsiness detection. However, the inherent [...] Read more.
Drowsiness constitutes a significant risk factor in diverse occupational settings, including healthcare, industry, construction, and transportation, contributing to accidents, injuries, and fatalities. Electroencephalography (EEG) signals, offering direct measurements of brain activity, have emerged as a promising modality for drowsiness detection. However, the inherent non-stationary nature of EEG signals, coupled with substantial inter-subject variability, presents considerable challenges for reliable drowsiness detection. To address these challenges, this paper proposes a hybrid approach combining convolutional neural networks (CNNs), which excel at feature extraction, and support vector machines (SVMs) for drowsiness detection. The framework consists of two modules: a CNN for feature extraction from EEG scalograms generated by the Continuous Wavelet Transform (CWT), and an SVM for classification. The proposed approach is compared with 1D CNNs (using raw EEG signals) and transfer learning models such as VGG16 and ResNet50 to identify the most effective method for minimizing inter-subject variability and improving detection accuracy. Experimental evaluations, conducted on the publicly available DROZY EEG dataset, show that the CNN-SVM model, utilizing 2D scalograms, achieves an accuracy of 98.33%, outperforming both 1D CNNs and transfer learning models. These findings highlight the effectiveness of the hybrid CNN-SVM approach for robust and accurate drowsiness detection using EEG, offering significant potential for enhancing safety in high-risk work environments. Full article
(This article belongs to the Section Biomedical Sensors)
Show Figures

Figure 1

33 pages, 41854 KB  
Article
Application of Signal Processing Techniques to the Vibration Analysis of a 3-DoF Structure Under Multiple Excitation Scenarios
by Leidy Esperanza Pamplona Berón, Marco Claudio De Simone and Domenico Guida
Appl. Sci. 2025, 15(15), 8241; https://doi.org/10.3390/app15158241 - 24 Jul 2025
Cited by 1 | Viewed by 538
Abstract
Structural Health Monitoring (SHM) techniques are crucial for evaluating the condition of structures, enabling early maintenance interventions, and monitoring factors that could compromise structural integrity. Modal analysis studies the dynamic response of structures when subjected to vibrations, evaluating natural frequencies and vibration modes. [...] Read more.
Structural Health Monitoring (SHM) techniques are crucial for evaluating the condition of structures, enabling early maintenance interventions, and monitoring factors that could compromise structural integrity. Modal analysis studies the dynamic response of structures when subjected to vibrations, evaluating natural frequencies and vibration modes. This study focuses on detecting and comparing the natural frequencies of a 3-DoF structure under various excitation scenarios, including ambient vibration (in healthy and damaged conditions), two types of transient excitation, and three harmonic excitation variations. Signal processing techniques, specifically Power Spectral Density (PSD) and Continuous Wavelet Transform (CWT), were employed. Each method provides valuable insights into frequency and time-frequency domain analysis. Under ambient vibration excitation, the damaged condition exhibits spectral differences in amplitude and frequency compared to the undamaged state. For the transient excitations, the scalogram images reveal localized energetic differences in frequency components over time, whereas PSD alone cannot observe these behaviors. For the harmonic excitations, PSD provides higher spectral resolution, while CWT adds insight into temporal energy evolution near resonance bands. This study discusses how these analyses provide sensitive features for damage detection applications, as well as the influence of different excitation types on the natural frequencies of the structure. Full article
(This article belongs to the Special Issue State-of-the-Art Structural Health Monitoring Application)
Show Figures

Figure 1

29 pages, 362 KB  
Article
Dunkl Linear Canonical Wavelet Transform: Concentration Operators and Applications to Scalogram and Localized Functions
by Saifallah Ghobber and Hatem Mejjaoli
Mathematics 2025, 13(12), 1943; https://doi.org/10.3390/math13121943 - 11 Jun 2025
Viewed by 462
Abstract
In the present paper we study a class of Toeplitz operators called concentration operators that are self-adjoint and compact in the linear canonical Dunkl setting. We show that a finite vector space spanned by the first eigenfunctions of such operators is of a [...] Read more.
In the present paper we study a class of Toeplitz operators called concentration operators that are self-adjoint and compact in the linear canonical Dunkl setting. We show that a finite vector space spanned by the first eigenfunctions of such operators is of a maximal phase-space concentration and has the best phase-space concentrated scalogram inside the region of interest. Then, using these eigenfunctions, we can effectively approximate functions that are essentially localized in specific regions, and corresponding error estimates are given. These research results cover in particular the classical and the Hankel settings, and have potential application values in fields such as signal processing and quantum physics, providing a new theoretical basis for relevant research. Full article
(This article belongs to the Section C: Mathematical Analysis)
22 pages, 3437 KB  
Article
ECG Signal Analysis for Detection and Diagnosis of Post-Traumatic Stress Disorder: Leveraging Deep Learning and Machine Learning Techniques
by Parisa Ebrahimpour Moghaddam Tasouj, Gökhan Soysal, Osman Eroğul and Sinan Yetkin
Diagnostics 2025, 15(11), 1414; https://doi.org/10.3390/diagnostics15111414 - 2 Jun 2025
Cited by 1 | Viewed by 983
Abstract
Background: Post-traumatic stress disorder (PTSD) is a serious psychiatric condition that can lead to severe anxiety, depression, and cardiovascular complications if left untreated. Early and accurate diagnosis is critical. This study aims to develop and evaluate an artificial intelligence-based classification system using electrocardiogram [...] Read more.
Background: Post-traumatic stress disorder (PTSD) is a serious psychiatric condition that can lead to severe anxiety, depression, and cardiovascular complications if left untreated. Early and accurate diagnosis is critical. This study aims to develop and evaluate an artificial intelligence-based classification system using electrocardiogram (ECG) signals for the detection of PTSD. Methods: Raw ECG signals were transformed into time–frequency images using Continuous Wavelet Transform (CWT) to generate 2D scalogram representations. These images were classified using deep learning-based convolutional neural networks (CNNs), including AlexNet, GoogLeNet, and ResNet50. In parallel, statistical features were extracted directly from the ECG signals and used in traditional machine learning (ML) classifiers for performance comparison. Four different segment lengths (5 s, 10 s, 15 s, and 20 s) were tested to assess their effect on classification accuracy. Results: Among the tested models, ResNet50 achieved the highest classification accuracy of 94.92%, along with strong MCC, sensitivity, specificity, and precision metrics. The best performance was observed with 5-s signal segments. Deep learning (DL) models consistently outperformed traditional ML approaches. The area under the curve (AUC) for ResNet50 reached 0.99, indicating excellent classification capability. Conclusions: This study demonstrates that CNN-based models utilizing time–frequency representations of ECG signals can effectively classify PTSD with high accuracy. Segment length significantly influences model performance, with shorter segments providing more reliable results. The proposed method shows promise for non-invasive, ECG-based diagnostic support in PTSD detection. Full article
(This article belongs to the Special Issue Artificial Intelligence in Biomedical Diagnostics and Analysis 2024)
Show Figures

Figure 1

21 pages, 4767 KB  
Article
Optimizing Bearing Fault Diagnosis in Rotating Electrical Machines Using Deep Learning and Frequency Domain Features
by Eduardo Quiles-Cucarella, Alejandro García-Bádenas, Ignacio Agustí-Mercader and Guillermo Escrivá-Escrivá
Appl. Sci. 2025, 15(6), 3132; https://doi.org/10.3390/app15063132 - 13 Mar 2025
Viewed by 1182
Abstract
This study uses deep learning techniques to optimize fault diagnosis in rolling element bearings of rotating electrical machines. Leveraging the Case Western Reserve University bearing fault database, the methodology involves transforming one-dimensional vibration signals into two-dimensional scalograms, which are used to train neural [...] Read more.
This study uses deep learning techniques to optimize fault diagnosis in rolling element bearings of rotating electrical machines. Leveraging the Case Western Reserve University bearing fault database, the methodology involves transforming one-dimensional vibration signals into two-dimensional scalograms, which are used to train neural networks via transfer learning. By employing SqueezeNet—a pre-trained convolutional neural network—and optimizing hyperparameters, this study significantly reduces the computational resources and time needed for effective fault classification. The analysis evaluates the effectiveness of two wavelet transforms (amor and morse) for feature extraction in correlation with varying learning rates. Results indicate that precise hyperparameter tuning enhances diagnostic accuracy, achieving a classification accuracy of 99.37% using the amor wavelet. Scalograms proved particularly effective in identifying distinct vibration patterns for faults in bearings’ inner and outer races. This research underscores the critical role of advanced signal processing and machine learning in predictive maintenance. The proposed methodology ensures higher reliability and operational efficiency and demonstrates the feasibility of transfer learning in industrial diagnostic applications, particularly for optimizing resource-constrained systems. These findings improve the robustness and precision of machine fault diagnosis systems. Full article
(This article belongs to the Special Issue Novel Approaches for Fault Diagnostics of Machine Elements)
Show Figures

Figure 1

18 pages, 48673 KB  
Article
A Transfer Learning Approach for Toe Walking Recognition Using Surface Electromyography on Leg Muscles
by Andrea Manni, Gabriele Rescio, Anna Maria Carluccio, Andrea Caroppo and Alessandro Leone
Sensors 2025, 25(5), 1305; https://doi.org/10.3390/s25051305 - 20 Feb 2025
Viewed by 920
Abstract
Gait is a complex motor process that involves the coordination and synchronization of various body parts through continuous interaction with the environment. Monitoring gait is crucial for the early detection of abnormalities, such as toe walking, which is characterized by limited or absent [...] Read more.
Gait is a complex motor process that involves the coordination and synchronization of various body parts through continuous interaction with the environment. Monitoring gait is crucial for the early detection of abnormalities, such as toe walking, which is characterized by limited or absent heel contact with the floor during walking. Persistent toe walking can cause severe foot, ankle, and musculature conditions; poor balance; increased risk of falling or tripping; and can affect overall quality of life, making it difficult, for example, to participate in sports or social activities. This study proposes a new approach to detect toe walking using surface Electromyography (sEMG) on lower limbs. sEMG sensors, by measuring the electrical activity of muscles, can see signals before the movement corresponding to muscle activation, contributing to an early detection of a possible problem. The sEMG signal presents significant complexity due to its noisy nature and the challenge of extracting meaningful features for classification. To address this issue and enhance the model’s robustness across different devices and configurations, a Transfer Learning (TL) approach is introduced. This method leverages pre-trained models to effectively handle the variability of sEMG data and improve classification accuracy. In particular, Continuous Wavelet Transform (CWT) is applied to sEMG-filtered signals (with time windows of 1 s) to convert them into 2D images (scalograms). Preliminary tests were performed on a public dataset using some of the most well-known pre-trained architectures, obtaining an accuracy of about 95% on InceptionResNetV2. Full article
(This article belongs to the Special Issue Biosignal Sensing Analysis (EEG, EMG, ECG, PPG) (2nd Edition))
Show Figures

Figure 1

19 pages, 4687 KB  
Article
Real-Time Pipeline Leak Detection: A Hybrid Deep Learning Approach Using Acoustic Emission Signals
by Faisal Saleem, Zahoor Ahmad and Jong-Myon Kim
Appl. Sci. 2025, 15(1), 185; https://doi.org/10.3390/app15010185 - 28 Dec 2024
Cited by 6 | Viewed by 4532
Abstract
This study introduces an advanced deep-learning framework for the real-time detection of pipeline leaks in smart city infrastructure. The methodology transforms acoustic emission (AE) signals from the time domain into scalogram images using continuous wavelet transform (CWT) to enhance leak-related features. A Gaussian [...] Read more.
This study introduces an advanced deep-learning framework for the real-time detection of pipeline leaks in smart city infrastructure. The methodology transforms acoustic emission (AE) signals from the time domain into scalogram images using continuous wavelet transform (CWT) to enhance leak-related features. A Gaussian filter minimizes background noise and clarifies these features further. The core of the framework combines convolutional neural networks (CNNs) with long short-term memory (LSTM), ensuring a comprehensive examination of both spatial and temporal features of AE signals. A genetic algorithm (GA) optimizes the neural network by isolating the most important features for leak detection. The final classification stage uses a fully connected neural network to categorize pipeline health conditions as either ‘leak’ or ‘non-leak’. Experimental validation on real-world pipeline data demonstrated the framework’s efficacy, achieving accuracy rates of 99.69%. This approach significantly advances smart city capabilities in pipeline monitoring and maintenance, offering a durable and scalable solution for proactive infrastructure management. Full article
(This article belongs to the Special Issue Application and Simulation of Fluid Dynamics in Pipeline Systems)
Show Figures

Figure 1

28 pages, 7390 KB  
Article
Arrhythmia Detection by Data Fusion of ECG Scalograms and Phasograms
by Michele Scarpiniti
Sensors 2024, 24(24), 8043; https://doi.org/10.3390/s24248043 - 17 Dec 2024
Cited by 5 | Viewed by 2374
Abstract
The automatic detection of arrhythmia is of primary importance due to the huge number of victims caused worldwide by cardiovascular diseases. To this aim, several deep learning approaches have been recently proposed to automatically classify heartbeats in a small number of classes. Most [...] Read more.
The automatic detection of arrhythmia is of primary importance due to the huge number of victims caused worldwide by cardiovascular diseases. To this aim, several deep learning approaches have been recently proposed to automatically classify heartbeats in a small number of classes. Most of these approaches use convolutional neural networks (CNNs), exploiting some bi-dimensional representation of the ECG signal, such as spectrograms, scalograms, or similar. However, by adopting such representations, state-of-the-art approaches usually rely on the magnitude information alone, while the important phase information is often neglected. Motivated by these considerations, the focus of this paper is aimed at investigating the effect of fusing the magnitude and phase of the continuous wavelet transform (CWT), known as the scalogram and phasogram, respectively. Scalograms and phasograms are fused in a simple CNN-based architecture by using several fusion strategies, which fuse the information in the input layer, some intermediate layers, or in the output layer. Numerical results evaluated on the PhysioNet MIT-BIH Arrhythmia database show the effectiveness of the proposed ideas. Although a simple architecture is used, their competitiveness is high compared to other state-of-the-art approaches, by obtaining an overall accuracy of about 98.5% and sensitivity and specificity of 98.5% and 95.6%, respectively. Full article
Show Figures

Figure 1

11 pages, 4338 KB  
Article
Wavelet Analysis and the Cone of Influence: Does the Cone of Influence Impact Wavelet Analysis Results?
by Lana Kralj, Martin Hultman and Helena Lenasi
Appl. Sci. 2024, 14(24), 11736; https://doi.org/10.3390/app142411736 - 16 Dec 2024
Cited by 2 | Viewed by 1938
Abstract
Wavelet analysis (WA) decomposes laser Doppler (LD) microcirculatory signals into characteristic frequency intervals related to endothelial nitric oxide (NO)-independent, endothelial NO-dependent, neurogenic, myogenic, respiratory, and cardiac physiological influences. Since LD signals have a finite length, the WA results suffer from spectral leakage due [...] Read more.
Wavelet analysis (WA) decomposes laser Doppler (LD) microcirculatory signals into characteristic frequency intervals related to endothelial nitric oxide (NO)-independent, endothelial NO-dependent, neurogenic, myogenic, respiratory, and cardiac physiological influences. Since LD signals have a finite length, the WA results suffer from spectral leakage due to edge effects. The cone of influence (COI) delineates the regions of the wavelet scalogram where these effects become important. We aimed to determine whether accounting for the COI leads to significant differences in the WA results. Two typical patterns of LD signals were analysed: a baseline and a post-occlusive reactive hyperemia (PORH) signal. The WA spectra were constructed without and with excluding data affected by the COI. The relative power (RP = median power of each frequency interval/median power of the total spectrum) of the spectral components obtained without and with the COI was compared. Applying the COI correction did not significantly affect the baseline signals. On the contrary, in PORH, accounting for the COI resulted in significant differences in the RP of the endothelial NO-independent (p = 0.0005; Wilcoxon signed-rank test), endothelial NO-dependent (p = 0.0005), neurogenic (p = 0.0038), myogenic (p = 0.001), respiratory (p = 0.0002), and cardiac frequency bands (p = 0.0002). The results suggest that applying the COI correction to the WA results obtained from the LD signals is desirable, especially for transient signals. Full article
Show Figures

Figure 1

10 pages, 12472 KB  
Proceeding Paper
Deep Transfer Learning Approach in Smartwatch-Based Fall Detection Systems
by Alessandro Leone, Andrea Manni, Gabriele Rescio, Pietro Siciliano and Andrea Caroppo
Eng. Proc. 2024, 78(1), 2; https://doi.org/10.3390/engproc2024078002 - 18 Nov 2024
Cited by 1 | Viewed by 1237
Abstract
This study introduces a fall detection system utilizing an affordable consumer smartwatch and smartphone with edge computing capabilities for implementing AI algorithms. Due to the widespread use of these devices, the system as a whole is extremely accepted, easy to use, requires no [...] Read more.
This study introduces a fall detection system utilizing an affordable consumer smartwatch and smartphone with edge computing capabilities for implementing AI algorithms. Due to the widespread use of these devices, the system as a whole is extremely accepted, easy to use, requires no tuning of any kind, and guarantees extended functioning for a long period. From a technical standpoint, falls are identified using AI techniques to analyze 3D raw data acquired by the smartwatch’s built-in accelerometer. However, existing AI models for fall detection are often trained on simulated falls involving young people, which may not accurately represent the falls of elderly in unhealthy conditions, such as arthritis or Parkinson’s disease, leading to limitations in detecting falls in this population. Additionally, variations in hardware features among different smartwatches can result in inconsistencies in accelerometer data measurements across X, Y, and Z orientations, further complicating accurate fall detection. To address the challenge of limited and device-specific datasets and to enhance model generalization across various devices, a Deep Transfer Learning approach is proposed. This method proves effective when data are poor. Specifically, the Continuous Wavelet Transform (CWT) is applied to raw accelerometer signals to convert them into 2D images, enabling the use of deep architectures for Transfer Learning. By employing CWT on 5 s time windowed raw accelerometer signals, heat maps (scalograms) are generated. Real-time accelerations sampled at 50 Hz are collected using a smartwatch application, transmitted via Bluetooth to a smartphone app, and converted into scalograms. These serve as input for pre-trained Deep Learning models to estimate fall probabilities. Preliminary tests on the Wrist Early Daily Activity and Fall Dataset (WEDA-FALL) show promising results with an accuracy of approximately 98%, underscoring the efficacy of utilizing wrist-worn wearable devices for processing raw accelerometer data. Full article
Show Figures

Figure 1

22 pages, 7138 KB  
Article
Milling Machine Fault Diagnosis Using Acoustic Emission and Hybrid Deep Learning with Feature Optimization
by Muhammad Umar, Muhammad Farooq Siddique, Niamat Ullah and Jong-Myon Kim
Appl. Sci. 2024, 14(22), 10404; https://doi.org/10.3390/app142210404 - 12 Nov 2024
Cited by 21 | Viewed by 2683
Abstract
This paper presents a fault diagnosis technique for milling machines based on acoustic emission (AE) signals and a hybrid deep learning model optimized with a genetic algorithm. Mechanical failures in milling machines, particularly in critical components like cutting tools, gears, and bearings, account [...] Read more.
This paper presents a fault diagnosis technique for milling machines based on acoustic emission (AE) signals and a hybrid deep learning model optimized with a genetic algorithm. Mechanical failures in milling machines, particularly in critical components like cutting tools, gears, and bearings, account for a significant portion of operational breakdowns, leading to unplanned downtime and financial losses. To address this issue, the proposed method first acquires AE signals from the milling machine. AE signals, capturing the dynamic responses of machine components, are transformed into continuous wavelet transform (CWT) scalograms for further analysis. Gaussian filtering is applied to enhance the clarity of these scalograms, effectively reducing noise while maintaining essential features. A convolutional neural network (CNN) based on the VGG16 architecture is utilized for spatial feature extraction, followed by a bidirectional long short-term memory (BiLSTM) network to capture the temporal dependencies of the scalograms. The genetic algorithm (GA) is used to optimize feature selection and ensure the selection of the most relevant features to further improve the model’s performance. The optimized features are finally fed into a fully connected (FC) layer of the proposed hybrid model for fault classification. The proposed method achieves an accuracy of 99.6%, significantly outperforming traditional approaches. This method offers a highly accurate and efficient solution for fault detection in milling machines, allowing for more reliable predictive maintenance and operational efficiency in industrial settings. Full article
Show Figures

Figure 1

4 pages, 1495 KB  
Proceeding Paper
Week-Ahead Water Demand Forecasting Using Convolutional Neural Network on Multi-Channel Wavelet Scalogram
by Adithya Ramachandran, Hatem Mousa, Andreas Maier and Siming Bayer
Eng. Proc. 2024, 69(1), 179; https://doi.org/10.3390/engproc2024069179 - 30 Sep 2024
Cited by 1 | Viewed by 1245
Abstract
Water management is vital for building an adaptive and resilient society. Water demand forecasting aids water management by learning the underlying relationship between consumption and governing variables for optimal supply. In this paper, we propose a week-ahead hourly water demand forecasting technique based [...] Read more.
Water management is vital for building an adaptive and resilient society. Water demand forecasting aids water management by learning the underlying relationship between consumption and governing variables for optimal supply. In this paper, we propose a week-ahead hourly water demand forecasting technique based on deep learning (DL) utilizing an encoded representation of historical supply data and influencing exogenous variables for a District Metered Area (DMA). We deploy a CNN model with and without attention and evaluate the model’s ability to forecast the supply for different DMAs with varying characteristics. The performances are quantitatively and qualitatively compared against a baseline LSTM. Full article
Show Figures

Figure 1

Back to TopTop