Sign in to use this feature.

Years

Between: -

Subjects

remove_circle_outline
remove_circle_outline
remove_circle_outline
remove_circle_outline
remove_circle_outline
remove_circle_outline
remove_circle_outline

Journals

Article Types

Countries / Regions

Search Results (7)

Search Parameters:
Keywords = very high frequency data exchange system

Order results
Result details
Results per page
Select all
Export citation of selected articles as:
17 pages, 5090 KB  
Article
A Time-Delay Overlapping Modulation-Based Maritime High-Speed and High-Spectral-Efficiency Communication Technology
by Xinyu Dou, Teng Ma and Dequn Liang
J. Mar. Sci. Eng. 2025, 13(2), 345; https://doi.org/10.3390/jmse13020345 - 13 Feb 2025
Viewed by 1160
Abstract
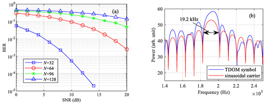
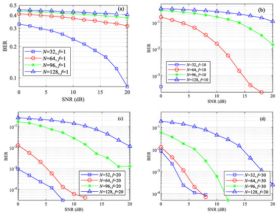
To simultaneously address dual demands on the spectral efficiency and the data transmission rate of maritime communications, in this paper, a novel maritime communication technology based on time-delay overlapping modulation (TDOM) is proposed. In TDOM, multiple carriers are delayed in turn and directly [...] Read more.
To simultaneously address dual demands on the spectral efficiency and the data transmission rate of maritime communications, in this paper, a novel maritime communication technology based on time-delay overlapping modulation (TDOM) is proposed. In TDOM, multiple carriers are delayed in turn and directly overlapped in the time domain to form the communication symbol. In this way, the strict orthogonality between carriers can be broken through, indicating that the frequency interval between carriers can be much narrower than ever. In other words, TDOM can achieve non-orthogonal communication and realize both higher spectral efficiency and a higher maritime communication rate. The system architecture is designed, and its performance is analyzed and compared with that of other typical maritime communication technologies such as the very-high-frequency data exchange system (VDES). It is shown that TDOM can reach up to 20 times the peak communication rate and the spectral efficiency of VDES. As a digital modulation technology implemented in the physical layer, the proposed TDOM can be extended to other communication systems such as satellite communications or 4G/5G based off-shore communications. Full article
(This article belongs to the Section Ocean Engineering)
Show Figures

Figure 1

20 pages, 3279 KB  
Article
Slot Occupancy-Based Collision Avoidance Algorithm for Very-High-Frequency Data Exchange System Network in Maritime Internet of Things
by Sol-Bee Lee, Jung-Hyok Kwon, Bu-Young Kim, Woo-Seong Shim, Taeshik Shon and Eui-Jik Kim
Appl. Sci. 2024, 14(24), 11751; https://doi.org/10.3390/app142411751 - 16 Dec 2024
Cited by 1 | Viewed by 1796
Abstract
The maritime industry is undergoing a paradigm shift driven by rapid advancements in wireless communication and an increase in maritime traffic data. However, the existing automatic identification system (AIS) struggles to accommodate the increasing maritime traffic data, leading to the introduction of the [...] Read more.
The maritime industry is undergoing a paradigm shift driven by rapid advancements in wireless communication and an increase in maritime traffic data. However, the existing automatic identification system (AIS) struggles to accommodate the increasing maritime traffic data, leading to the introduction of the very-high-frequency (VHF) data exchange system (VDES). While the VDES increases bandwidth and data rates, ensuring the stable transmission of maritime IoT (MIoT) application data in congested coastal areas remains a challenge due to frequent collisions of AIS messages. This paper presents a slot occupancy-based collision avoidance algorithm (SOCA) for a VDES network in the MIoT. SOCA is designed to mitigate the impact of interference caused by transmissions of AIS messages on transmissions of VDE-Terrestrial (VDE-TER) data in coastal areas. To this end, SOCA provides four steps: (1) construction of the neighbor information table (NIT) and VDES frame maps, (2) construction of the candidate slot list, (3) TDMA channel selection, and (4) slot selection for collision avoidance. SOCA operates by constructing the NIT based on AIS messages to estimate the transmission intervals of AIS messages and updating VDES frame maps upon receiving VDES messages to monitor slot usage dynamically. After that, it generates a candidate slot list for VDE-TER channels, classifying the slots into interference and non-interference categories. SOCA then selects a TDMA channel that minimizes AIS interference and allocates slots with low expected occupancy probabilities to avoid collisions. To evaluate the performance of SOCA, we conducted experimental simulations under static and dynamic ship scenarios. In the static ship scenario, SOCA outperforms the existing VDES, achieving improvements of 13.58% in aggregate throughput, 11.50% in average latency, 33.60% in collision ratio, and 22.64% in packet delivery ratio. Similarly, in the dynamic ship scenario, SOCA demonstrates improvements of 7.30%, 11.99%, 39.27%, and 11.82% in the same metrics, respectively. Full article
Show Figures

Figure 1

20 pages, 9230 KB  
Article
Adaptive Cooperative Ship Identification for Coastal Zones Based on the Very High Frequency Data Exchange System
by Qing Hu, Meng’en Song, Di Zhang and Shuaiheng Huai
J. Mar. Sci. Eng. 2024, 12(8), 1264; https://doi.org/10.3390/jmse12081264 - 27 Jul 2024
Cited by 5 | Viewed by 1733
Abstract
The International Telecommunication Union (ITU) proposed the very high frequency data exchange system (VDES) to improve the efficiency of ship–ship and ship–shore communication; however, its existing single-hop transmission mode is insufficient for identifying all ships within a coastal zone. This paper proposes an [...] Read more.
The International Telecommunication Union (ITU) proposed the very high frequency data exchange system (VDES) to improve the efficiency of ship–ship and ship–shore communication; however, its existing single-hop transmission mode is insufficient for identifying all ships within a coastal zone. This paper proposes an adaptive cooperative ship identification method based on the VDES using multihop transmission, where the coastal zone is divided into a grid, with the ships acting as nodes, and the optimal sink and relay nodes are calculated for each grid element. An adaptive multipath transmission protocol is then applied to improve the transmission efficiency and stability of the links between the nodes. Simulations were performed utilizing real Automatic Identification System (AIS) data from a coastal zone, and the results showed that the proposed method effectively reduced the time-slot occupancy and collision rate while achieving a 100% identification of ships within 120 nautical miles (nm) of the coast with only 4.8% of the usual communication resources. Full article
(This article belongs to the Special Issue Navigation and Localization for Autonomous Marine Vehicles)
Show Figures

Figure 1

13 pages, 2640 KB  
Technical Note
A New Link Adaptation Technique for Very High Frequency Data Exchange System in Future Maritime Communication
by Wooseong Shim, Buyoung Kim, Eui-Jik Kim and Dongwan Kim
Electronics 2024, 13(2), 323; https://doi.org/10.3390/electronics13020323 - 11 Jan 2024
Cited by 3 | Viewed by 2717
Abstract
The growing demand for communication technology capable of providing high transmission rates in maritime environments has led to the exploration of the very high frequency (VHF) data exchange system (VDES) as a promising solution. The VDES, the integration of an automatic identification system [...] Read more.
The growing demand for communication technology capable of providing high transmission rates in maritime environments has led to the exploration of the very high frequency (VHF) data exchange system (VDES) as a promising solution. The VDES, the integration of an automatic identification system (AIS), application-specific messaging (ASM), and VHF data exchange (VDE), offers improved transmission rates and stable connections compared with existing technologies. Although the VDES supports high transmission rates through various modulation and coding scheme (MCS) technologies, it lacks a standardized mechanism for controlling MCS parameters and relies on user algorithms for operation. In this paper, we introduce the maritime auto-rate fall-back (mARF) technology, designed to effectively address the challenges of maritime communication scenarios using the MCS framework provided by the VDES. mARF technology incorporates fast drop-out and recovery mechanisms to swiftly adapt to changing MCS types in the presence of deep nulls, a common occurrence in maritime communication environments. These adaptive thresholds for fast drop-out and recovery operations are dynamically learned using historical communication data. Through extensive simulations, we demonstrate the effectiveness of mARF in enhancing the MCS control capabilities of the VDES. Our results show a significant performance improvement of 18% compared to the existing model, validating the potential of mARF in optimizing maritime communication channels and supporting a high transmission rate. Full article
(This article belongs to the Special Issue AIoT and Mobile Networking)
Show Figures

Figure 1

17 pages, 3669 KB  
Article
Performance Assessment of the Medium Frequency R-Mode Baltic Testbed at Sea near Rostock
by Filippo Giacomo Rizzi, Lars Grundhöfer, Stefan Gewies and Tobias Ehlers
Appl. Sci. 2023, 13(3), 1872; https://doi.org/10.3390/app13031872 - 31 Jan 2023
Cited by 6 | Viewed by 2902
Abstract
Global Navigation Satellite Systems (GNSS) are the primary source of position, navigation and timing (PNT) information in the maritime domain. Nevertheless, there is a pressing need for alternative absolute position information to serve as a backup when GNSS is not trustworthy or usable. [...] Read more.
Global Navigation Satellite Systems (GNSS) are the primary source of position, navigation and timing (PNT) information in the maritime domain. Nevertheless, there is a pressing need for alternative absolute position information to serve as a backup when GNSS is not trustworthy or usable. One possible alternative navigation system is the terrestrial Ranging Mode, also known as the R-Mode. It reuses medium frequency (MF) radio beacons and base stations of the very high frequency data exchange system (VDES) for the transmission of synchronised signals in the service areas of those stations. A large-scale R-Mode testbed is available in the southern Baltic Sea with eight MF radio beacons transmitting R-Mode signals. These signals suffer the self-interference generated by the reflection of the radio wave from the ionosphere at night. The reflected signal, known as the sky wave in the literature, is a form of multipath, which decreases the accuracy of the system. In our work, we present the analysis of measurements obtained with the research vessel Deneb. The horizontal accuracy achieved in the optimal condition was 15.1 m (95%), whereas under the sky wave, the accuracy decreased to 55.3 m. The results are a starting point for the further development of the MF R-Mode system. Full article
(This article belongs to the Special Issue Applied Maritime Engineering and Transportation Problems 2022)
Show Figures

Figure 1

18 pages, 25163 KB  
Article
RedNavi: Building a 3D Scene of the Current Sea from AIS Data
by Hongze Liu and Nobukazu Wakabayashi
Sustainability 2022, 14(19), 12572; https://doi.org/10.3390/su141912572 - 2 Oct 2022
Cited by 2 | Viewed by 2297
Abstract
The Automatic Identification System (AIS) is a kind of navigation equipment that exchanges a wealth of essential information among vessels and between ships to shore through Very High Frequency. Currently, identification and other navigational information can be obtained in real time with AIS [...] Read more.
The Automatic Identification System (AIS) is a kind of navigation equipment that exchanges a wealth of essential information among vessels and between ships to shore through Very High Frequency. Currently, identification and other navigational information can be obtained in real time with AIS data integrated into other shipborne systems, such as the Electronic Chart Display and Information System and radar. However, at present, AIS information is represented in a two-dimensional (2D) way, which is not the same as the three-dimensional (3D) world people perceive visually. In this paper, we introduce RedNavi, a sustainable computer 3D scene building system that visualizes the current sea, specifically the environment and traffic conditions around the ownship, using received AIS data. RedNavi has a wide range of application scenarios. Applying to the maritime education and training field, it can serve as a bridge between the 2D and 3D worlds, helping less experienced trainees build up their capabilities. Applying to actual navigation, it can provide the deck officer with another visual aid to their lookout in addition to existing 2D information systems. In addition, given the microservices architecture RedNavi adopts, the development, deployment, and maintenance processes become relatively lighter, faster, and easier, and therefore more sustainable than traditional monolithic systems. Full article
Show Figures

Figure 1

19 pages, 23803 KB  
Article
BlueNavi: A Microservices Architecture-Styled Platform Providing Maritime Information
by Hongze Liu, Irena Jurdana, Nikola Lopac and Nobukazu Wakabayashi
Sustainability 2022, 14(4), 2173; https://doi.org/10.3390/su14042173 - 14 Feb 2022
Cited by 12 | Viewed by 6148
Abstract
Traditional methods of marine navigation are undergoing a revolution brought about by the almost universal adoption of the Automatic Identification System (AIS). AIS exchanges a wealth of navigational information among vessels and between ships to shore through Very High Frequency (VHF). With AIS [...] Read more.
Traditional methods of marine navigation are undergoing a revolution brought about by the almost universal adoption of the Automatic Identification System (AIS). AIS exchanges a wealth of navigational information among vessels and between ships to shore through Very High Frequency (VHF). With AIS data integrated into the Electronic Chart Display and Information System (ECDIS), the identification and navigational information of surrounding vessels as well as aids to navigation can be reflected on the electronic charts in real time, despite some problems such as the low AIS carriage rate on small vessels where it is not mandatory and the high cost of ECDIS preventing such vessels from installing it. In this paper, we introduce BlueNavi, a lower cost but sustainable maritime information providing platform built with microservices architecture allowing flexible on-demand scalability and cross-platform adaptability. Applications served by BlueNavi can provide users with data either stored in a remote data center through the internet or received locally by devices connected to the station without the need for the internet. From our land test, we show that users with only an internet connection but without any AIS equipment can also obtain live AIS data collected by other stations. Conversely, with access to the internet, BlueNavi can also send data back to the land stations, enabling other ships to identify non-AIS ships as well. Through the live-ship test, we demonstrate that BlueNavi works well offline in cooperation with shipborne AIS equipment. We also look at some possible application scenarios for BlueNavi with other data sources and means of communication other than AIS and VHF that can be expanded to the platform. BlueNavi will enable inexpensive ship identification for small vessels and provide an extension of functionality to ECDIS for large ships. Full article
(This article belongs to the Special Issue Sustainable Maritime Communications Network Development)
Show Figures

Figure 1

Back to TopTop