Sign in to use this feature.

Years

Between: -

Subjects

remove_circle_outline
remove_circle_outline
remove_circle_outline
remove_circle_outline
remove_circle_outline
remove_circle_outline
remove_circle_outline
remove_circle_outline
remove_circle_outline

Journals

Article Types

Countries / Regions

Search Results (33)

Search Parameters:
Keywords = urban hot spots detection

Order results
Result details
Results per page
Select all
Export citation of selected articles as:
32 pages, 7126 KB  
Article
The Demographic Challenge Analyzed Through Ageing Indices in Extremadura and Andalusia (Spain) with Cluster Mapping Tools
by José-Manuel Sánchez-Martín, José-Luis Gurría-Gascón and Juan-Ignacio Rengifo-Gallego
Land 2025, 14(6), 1129; https://doi.org/10.3390/land14061129 - 22 May 2025
Cited by 1 | Viewed by 3534
Abstract
This study examines the demographic dynamics of Extremadura and Andalusia, two autonomous communities in southern Spain characterized by low income levels and marked territorial differences in terms of ageing and depopulation. Based on the observation of growing demographic pressure associated with low birth [...] Read more.
This study examines the demographic dynamics of Extremadura and Andalusia, two autonomous communities in southern Spain characterized by low income levels and marked territorial differences in terms of ageing and depopulation. Based on the observation of growing demographic pressure associated with low birth rates and emigration to more economically dynamic areas, a methodological approach based on spatial analysis techniques is proposed. In particular, the ageing index and demographic dependency ratio indicators are used, applying tools such as Hot Spot Analysis and Cluster and Outlier Analysis to identify significant spatial patterns and outliers. The results show a high concentration of ageing and dependency in provinces such as Cáceres and Almería, suggesting greater demographic vulnerability. In contrast, urban areas such as Seville and Granada, as well as the Guadalquivir depression, show more favorable indicators, reflecting greater resilience. Likewise, municipalities with demographic behavior that is anomalous with respect to their surroundings are detected, which raises the need for micro-territorial studies aimed at understanding these exceptions and designing more effective public policies adapted to the local context. Full article
(This article belongs to the Special Issue Land Use: Integration of Rural and Urban Landscape)
Show Figures

Figure 1

16 pages, 15468 KB  
Article
Contextual Enrichment of Crowds from Mobile Phone Data through Multimodal Geo-Social Media Analysis
by Klára Honzák, Sebastian Schmidt, Bernd Resch and Philipp Ruthensteiner
ISPRS Int. J. Geo-Inf. 2024, 13(10), 350; https://doi.org/10.3390/ijgi13100350 - 3 Oct 2024
Cited by 4 | Viewed by 2548
Abstract
The widespread use of mobile phones and social media platforms provides valuable information about users’ behavior and activities. Mobile phone data are rich on positional information, but lack semantic context. Conversely, geo-social media data reveal users’ opinions and activities, but are rather sparse [...] Read more.
The widespread use of mobile phones and social media platforms provides valuable information about users’ behavior and activities. Mobile phone data are rich on positional information, but lack semantic context. Conversely, geo-social media data reveal users’ opinions and activities, but are rather sparse in space and time. In the context of emergency management, both data types have been considered separately. To exploit their complementary nature and potential for emergency management, this paper introduces a novel methodology for improving situational awareness with the focus on urban events. For crowd detection, a spatial hot spot analysis of mobile phone data is used. The analysis of geo-social media data involves building spatio-temporal topic-sentiment clusters of posts. The results of the spatio-temporal contextual enrichment include unusual crowds associated with topics and sentiments derived from the analyzed geo-social media data. This methodology is demonstrated using the case study of the Vienna Pride. The results show how crowds change over time in terms of their location, size, topics discussed, and sentiments. Full article
Show Figures

Figure 1

21 pages, 4709 KB  
Article
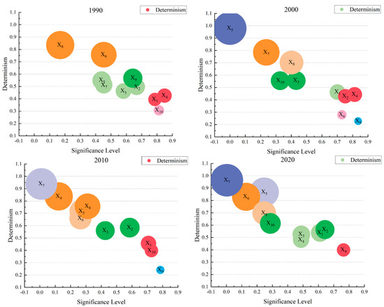
Research on Spatial–Temporal Characteristics and Driving Factors of Urban Development Intensity for Pearl River Delta Region Based on Geodetector
by Hanguang Yu, Dongya Liu, Chunxiao Zhang, Le Yu, Ben Yang, Shijiao Qiao and Xiaoli Wang
Land 2023, 12(9), 1673; https://doi.org/10.3390/land12091673 - 27 Aug 2023
Cited by 14 | Viewed by 2190
Abstract
The Pearl River Delta (PRD) is one of the most dynamic economic regions in the Asia-Pacific region. At present, it still faces many problems, such as the over-exploitation of urban land and unbalanced development. Through the study of the spatial–temporal characteristics of the [...] Read more.
The Pearl River Delta (PRD) is one of the most dynamic economic regions in the Asia-Pacific region. At present, it still faces many problems, such as the over-exploitation of urban land and unbalanced development. Through the study of the spatial–temporal characteristics of the development intensity of the PRD region and its driving factors, the key points and difficulties of urban development can be intuitively found. In previous studies, geodetector was widely used to determine the impact of driving factors. This paper uses several different research methods, including the Moran index, the semi-variability index, hot and cold spots, etc., based on the land use data of the PRD region in 1990, 2000, 2010, and 2020 to analyze the spatial–temporal characteristics of the development intensity. Combined with the socio-economic data of the statistical yearbook, factor detection and interaction detection of the 10 driving factors of development intensity are carried out based on geodetector, and reasonable optimization suggestions are put forward for the current situation of the region. The main conclusions are as follows: (1) The overall development intensity of the PRD region shows an upward trend, showing a “core periphery” spatial pattern of high center and low periphery centered around the Pearl River estuary. (2) The spatial distribution of cold and hot spots shows agglomeration, mainly in the form of high aggregation and low aggregation. (3) The driving factors for the development intensity for the PRD region in the past 30 years mainly include population agglomeration level, industrial structure level, economic strength level, terrain slope, etc. Among them, any two factors have a stronger interaction than a single factor, and all are enhanced by two factors. The dominant factors of interaction in different periods are different. Full article
Show Figures

Figure 1

18 pages, 41351 KB  
Article
Spatial Differentiation and Driving Force Detection of Rural Settlements in the Yangtze River Delta Region
by Ting You and Shuiyu Yan
Sustainability 2023, 15(11), 8774; https://doi.org/10.3390/su15118774 - 29 May 2023
Cited by 6 | Viewed by 2025
Abstract
As an economically developed region, the Yangtze River Delta region has undergone earth-shaking changes in its rural settlements due to rapid urbanization. For the optimization and adjustment of rural settlements, it is crucial to disclose their distinguishing spatial features and impelling factors. Taking [...] Read more.
As an economically developed region, the Yangtze River Delta region has undergone earth-shaking changes in its rural settlements due to rapid urbanization. For the optimization and adjustment of rural settlements, it is crucial to disclose their distinguishing spatial features and impelling factors. Taking 307 county-level administrative regions in the Yangtze River Delta region as the research object, this study comprehensively uses the landscape index, nearest neighbor index, Moran index, and spatial hot spot detection system to analyze the spatial differentiation characteristics of rural residential location-scale morphology and reveals its driving factors using the optimal parameters-based geographical detector model. According to the findings, rural settlements in the Yangtze River Delta region exhibit an average nearest neighbor index of 0.7417, a Moran’s I of 1.2993 for the number of patches (NP), and a maximum patch density (PD) of 17.25 villages per square kilometer. It has significant characteristics of large-scale village cluster distribution, and the morphology of rural settlements in the southern and northern regions shows apparent differences. The natural environment and social economies, such as elevation, slope, precipitation, and population density, mainly drive the location-scale morphological spatial distribution of rural settlements. At the same time, the interaction between the natural environment, social economy, and location condition factors has a synergistic enhancement effect on the spatial distribution of location-scale morphology of rural settlements. Full article
Show Figures

Figure 1

16 pages, 9354 KB  
Article
Machine Learning in Urban Tree Canopy Mapping: A Columbia, SC Case Study for Urban Heat Island Analysis
by Grayson R. Morgan, Alexander Fulham and T. Grant Farmer
Geographies 2023, 3(2), 359-374; https://doi.org/10.3390/geographies3020019 - 16 May 2023
Cited by 8 | Viewed by 3361
Abstract
As the world’s urban population increases to the predicted 70% of the total population, urban infrastructure and built-up land will continue to grow as well. This growth will continue to have an impact on the urban heat island effect in all of the [...] Read more.
As the world’s urban population increases to the predicted 70% of the total population, urban infrastructure and built-up land will continue to grow as well. This growth will continue to have an impact on the urban heat island effect in all of the world’s cities. The urban tree canopy has been found to be one of the few factors that can lessen the effects of the urban heat island effect. This study seeks to accomplish two objectives: first, we examine the use of a commonly used machine learning classifier (e.g., Support Vector Machine) for identifying the urban tree canopy using no-cost high resolution NAIP imagery. Second, we seek to use Land Surface Temperature (LST) maps derived from no-cost Landsat thermal imagery to identify correlations between canopy loss and temperature hot spot increases over a 14-year period in Columbia, SC, USA. We found the SVM imagery classifier was highly accurate in classifying both the 2005 imagery (94.3% OA) and the 2019 imagery (94.25% OA) into canopy and other classes. We found the color infrared image available in the 2019 NAIP imagery better for identifying canopy than the true color images available in 2005 (97.8% vs. 90.2%). Visual analysis based on the canopy maps and LST maps showed temperatures rose near areas where tree canopy was lost, and urban development continued. Future studies will seek to improve classification methods by including other classes, other ancillary data sets (e.g., LiDAR), new classification methods (e.g., deep learning), and analytical methods for change detection analysis. Full article
Show Figures

Figure 1

19 pages, 3187 KB  
Article
Spatiotemporal Distribution and Influencing Factors of Theft during the Pre-COVID-19 and COVID-19 Periods: A Case Study of Haining City, Zhejiang, China
by Xiaomin Jiang, Ziwan Zheng, Ye Zheng and Zhewei Mao
ISPRS Int. J. Geo-Inf. 2023, 12(5), 189; https://doi.org/10.3390/ijgi12050189 - 4 May 2023
Cited by 6 | Viewed by 3896
Abstract
Theft is an inevitable problem in the context of urbanization and poses a challenge to people’s lives and social stability. The study of theft and criminal behavior using spatiotemporal, big, demographic, and neighborhood data is important for guiding security prevention and control. In [...] Read more.
Theft is an inevitable problem in the context of urbanization and poses a challenge to people’s lives and social stability. The study of theft and criminal behavior using spatiotemporal, big, demographic, and neighborhood data is important for guiding security prevention and control. In this study, we analyzed the theft frequency and location characteristics of the study area through mathematical statistics and hot spot analysis methods to discover the spatiotemporal divergence characteristics of theft in the study area during the pre-COVID-19 and COVID-19 periods. We detected the spatial variation pattern of the regression coefficients of the local areas of thefts in Haining City by modeling the influencing factors using the geographically weighted regression (GWR) analysis method. The results explained the relationship between theft and the influencing factors and showed that the regression coefficients had both positive and negative values in the pre-COVID-19 and COVID-19 periods, indicating that the spatial distribution of theft in urban areas of Haining City was not smooth. Factors related to life and work indicated densely populated areas had increased theft, and theft was negatively correlated with factors related to COVID-19. The other influencing factors were different in terms of their spatial distributions. Therefore, in terms of police prevention and control, video surveillance and police patrols need to be deployed in a focused manner to increase their inhibiting effect on theft according to the different effects of influencing factors during the pre-COVID-19 and COVID-19 periods. Full article
(This article belongs to the Collection Spatial Components of COVID-19 Pandemic)
Show Figures

Figure 1

17 pages, 2561 KB  
Article
Spatial Pattern Evolution and Driving Mechanism of Rural Settlements in Rapidly Urbanized Areas: A Case Study of Jiangning District in Nanjing City, China
by Rongtian Zhang and Xiaolin Zhang
Land 2023, 12(4), 749; https://doi.org/10.3390/land12040749 - 27 Mar 2023
Cited by 14 | Viewed by 3955
Abstract
Rural settlement is an important part of studying the relationship between humans and land; it is highly significant in revealing the evolution, driving mechanism and reconstruction scheme of rural settlement pattern. In this paper, Jiangning District, a rapidly urbanized area, was selected as [...] Read more.
Rural settlement is an important part of studying the relationship between humans and land; it is highly significant in revealing the evolution, driving mechanism and reconstruction scheme of rural settlement pattern. In this paper, Jiangning District, a rapidly urbanized area, was selected as a typical case. Using remote sensing image data, the landscape pattern index, the rank-scale law, the local hot spot-detection model, and the geographical-detector were comprehensively used to analyze the rural settlements pattern evolution and driving mechanism in the rapidly urbanized areas. The results are as follows: (1) From 2010 to 2020, the number of rural settlements showed a trend of large-scale reduction, and the settlements scale system was relatively uniform in Jiangning. The settlements scale had the autocorrelation characteristics of spatial agglomeration, and the local hotspot agglomeration pattern was significant. (2) The spatial distribution of rural settlements in Jiangning showed an “agglomeration” pattern, and the settlements density showed a “multi-core” distribution characteristic. (3) The pattern of rural settlements in Jiangning was shaped by natural environmental factors such as topography, water system and cultivated land resources; economic social factors such as agricultural population, per capita GDP, distance from town, and policy and system were the leading factors that promoted the settlements’ pattern evolution in Jiangning, and the interaction between the factors could enhance the interpretation of the settlements’ pattern evolution. The research can provide a reference for optimizing the spatial layout of settlements in rapidly urbanized areas. Full article
Show Figures

Figure 1

21 pages, 4879 KB  
Article
A Spatio-Temporal Analysis of Heat Island Intensity Influenced by the Substantial Urban Growth between 1990 and 2020: A Case Study of Al-Ahsa Oasis, Eastern Saudi Arabia
by Abdalhaleem Hassaballa and Abdelrahim Salih
Appl. Sci. 2023, 13(5), 2755; https://doi.org/10.3390/app13052755 - 21 Feb 2023
Cited by 7 | Viewed by 2638
Abstract
Rapid urbanization has recently led to a significant propagation of heat islands. This study aimed to analyze the spatio-temporal variation in urban heat islands (UHIs) at Al-Ahsa Oasis in Saudi Arabia, in addition to exploring the urbanization influence on UHI distribution over the [...] Read more.
Rapid urbanization has recently led to a significant propagation of heat islands. This study aimed to analyze the spatio-temporal variation in urban heat islands (UHIs) at Al-Ahsa Oasis in Saudi Arabia, in addition to exploring the urbanization influence on UHI distribution over the last 30 years. The spatial variability in UHIs was assessed, the key determinant elements were identified, and the forms of distribution were delineated. Change detection, hot spots, and spatial autocorrelation were employed to study UHI distribution and intensity and to identify the clustering and correspondence between heat and urbanization. The results revealed a considerable increase in built-up areas from 17.15% to 45.8% of total land use/cover (LULC) from 1990 to 2020. No significant variations in UHI intensity were observed (10.4 °C in 1990 and 8.7 °C for 2020). However, a remarkable link was found between urbanization and heat, confirmed by hot spot clustering over intense urban complexes, while cold spot clustering was observed over date and palm tree areas, with 99% confidence for both. Lastly, the link between temperature and urbanization was also confirmed through spatial autocorrelation, producing Moran’s indices of 0.41 and 0.45 for 1990 and 2020, respectively, with an overall significance (p-value) of 0.001. The mechanisms applied have proven their robustness in assessing the effect of urbanization on heat island distribution and quantification. Full article
(This article belongs to the Section Environmental Sciences)
Show Figures

Figure 1

19 pages, 8158 KB  
Article
A GIS-Based Hot and Cold Spots Detection Method by Extracting Emotions from Social Streams
by Barbara Cardone, Ferdinando Di Martino and Vittorio Miraglia
Future Internet 2023, 15(1), 23; https://doi.org/10.3390/fi15010023 - 30 Dec 2022
Cited by 9 | Viewed by 3350
Abstract
Hot and cold spot identification is a spatial analysis technique used in various issues to identify regions where a specific phenomenon is either strongly or poorly concentrated or sensed. Many hot/cold spot detection techniques are proposed in literature; clustering methods are generally applied [...] Read more.
Hot and cold spot identification is a spatial analysis technique used in various issues to identify regions where a specific phenomenon is either strongly or poorly concentrated or sensed. Many hot/cold spot detection techniques are proposed in literature; clustering methods are generally applied in order to extract hot and cold spots as polygons on the maps; the more precise the determination of the area of the hot (cold) spots, the greater the computational complexity of the clustering algorithm. Furthermore, these methods do not take into account the hidden information provided by users through social networks, which is significant for detecting the presence of hot/cold spots based on the emotional reactions of citizens. To overcome these critical points, we propose a GIS-based hot and cold spot detection framework encapsulating a classification model of emotion categories of documents extracted from social streams connected to the investigated phenomenon is implemented. The study area is split into subzones; residents’ postings during a predetermined time period are retrieved and analyzed for each subzone. The proposed model measures for each subzone the prevalence of pleasant and unpleasant emotional categories in different time frames; with the aid of a fuzzy-based emotion classification approach, subzones in which unpleasant/pleasant emotions prevail over the analyzed time period are labeled as hot/cold spots. A strength of the proposed framework is to significantly reduce the CPU time of cluster-based hot and cold spot detection methods as it does not require detecting the exact geometric shape of the spot. Our framework was tested to detect hot and cold spots related to citizens’ discomfort due to heatwaves in the study area made up of the municipalities of the northeastern area of the province of Naples (Italy). The results show that the hot spots, where the greatest discomfort is felt, correspond to areas with a high population/building density. On the contrary, cold spots cover urban areas having a lower population density. Full article
Show Figures

Figure 1

10 pages, 683 KB  
Technical Note
A Geospatial Approach to Improving Fish Species Detection in Maumee Bay, Lake Erie
by Jessica Bowser, Andrew S. Briggs, Patricia Thompson, Matthew McLean and Anjanette Bowen
Fishes 2023, 8(1), 3; https://doi.org/10.3390/fishes8010003 - 21 Dec 2022
Cited by 3 | Viewed by 2342
Abstract
Maumee Bay of western Lake Erie is at high risk for invasion by aquatic invasive species due to large urban and suburban populations, commercial shipping traffic, recreational boating, and aquaculture ponds. The U.S. Fish and Wildlife Service’s Early Detection and Monitoring (EDM) program [...] Read more.
Maumee Bay of western Lake Erie is at high risk for invasion by aquatic invasive species due to large urban and suburban populations, commercial shipping traffic, recreational boating, and aquaculture ponds. The U.S. Fish and Wildlife Service’s Early Detection and Monitoring (EDM) program has been monitoring for new invasive species since 2013 and is continually looking to adapt sampling methods to improve efficiency to increase the chance of detecting new aquatic invasive species at low abundances. From 2013–2016, the program used a random sampling design in Maumee Bay with three gear types: boat electrofishing, paired fyke nets, and bottom trawling. Capture data from the initial three years was used to spatially explore fish species richness with the hot spot analysis (Getis-Ord Gi*) in ArcGIS. In 2017, targeted sites in areas with high species richness (hot spots) were added to the randomly sampled sites to determine if the addition of targeted sampling would increase fish species detection rates and detection of rare species. Results suggest that this hybrid sampling design improved sampling efficiency as species not detected or were rare in previous survey years were captured and species were detected at a faster rate (i.e., in less sampling effort), particularly for shallow-water gear types. Through exploring past data and experimenting with targeted sampling, the EDM program will continue to refine and adapt sampling efforts to improve efficiency and provide valuable knowledge for the early detection of aquatic invasive species. The use of geospatial techniques such as hot spot analysis is one approach fisheries researchers and managers can use to incorporate targeted sampling in a non-subjective way to improve species detection. Full article
(This article belongs to the Special Issue Advances in Ecology and Management of Aquatic Invasive Species)
Show Figures

Figure 1

15 pages, 6415 KB  
Article
Are Wildfires in the Wildland-Urban Interface Increasing Temperatures? A Land Surface Temperature Assessment in a Semi-Arid Mexican City
by Mariana Ayala-Carrillo, Michelle Farfán, Anahí Cárdenas-Nielsen and Richard Lemoine-Rodríguez
Land 2022, 11(12), 2105; https://doi.org/10.3390/land11122105 - 22 Nov 2022
Cited by 5 | Viewed by 3894
Abstract
High rates of land conversion due to urbanization are causing fragmented and dispersed spatial patterns in the wildland-urban interface (WUI) worldwide. The occurrence of anthropogenic fires in the WUI represents an important environmental and social issue, threatening not only vegetated areas but also [...] Read more.
High rates of land conversion due to urbanization are causing fragmented and dispersed spatial patterns in the wildland-urban interface (WUI) worldwide. The occurrence of anthropogenic fires in the WUI represents an important environmental and social issue, threatening not only vegetated areas but also periurban inhabitants, as is the case in many Latin American cities. However, research has not focused on the dynamics of the local climate in the WUI. This study analyzes whether wildfires contribute to the increase in land surface temperature (LST) in the WUI of the metropolitan area of the city of Guanajuato (MACG), a semi-arid Mexican city. We estimated the pre- and post-fire LST for 2018–2021. Spatial clusters of high LST were detected using hot spot analysis and examined using ANOVA and Tukey’s post-hoc statistical tests to assess whether LST is related to the spatial distribution of wildfires during our study period. Our results indicate that the areas where the wildfires occurred, and their surroundings, show higher LST. This has negative implications for the local ecosystem and human population, which lacks adequate infrastructure and services to cope with the effects of rising temperatures. This is the first study assessing the increase in LST caused by wildfires in a WUI zone in Mexico. Full article
Show Figures

Figure 1

20 pages, 1686 KB  
Systematic Review
A Systematic Review on Modeling Methods and Influential Factors for Mapping Dengue-Related Risk in Urban Settings
by Shi Yin, Chao Ren, Yuan Shi, Junyi Hua, Hsiang-Yu Yuan and Lin-Wei Tian
Int. J. Environ. Res. Public Health 2022, 19(22), 15265; https://doi.org/10.3390/ijerph192215265 - 18 Nov 2022
Cited by 21 | Viewed by 6413
Abstract
Dengue fever is an acute mosquito-borne disease that mostly spreads within urban or semi-urban areas in warm climate zones. The dengue-related risk map is one of the most practical tools for executing effective control policies, breaking the transmission chain, and preventing disease outbreaks. [...] Read more.
Dengue fever is an acute mosquito-borne disease that mostly spreads within urban or semi-urban areas in warm climate zones. The dengue-related risk map is one of the most practical tools for executing effective control policies, breaking the transmission chain, and preventing disease outbreaks. Mapping risk at a small scale, such as at an urban level, can demonstrate the spatial heterogeneities in complicated built environments. This review aims to summarize state-of-the-art modeling methods and influential factors in mapping dengue fever risk in urban settings. Data were manually extracted from five major academic search databases following a set of querying and selection criteria, and a total of 28 studies were analyzed. Twenty of the selected papers investigated the spatial pattern of dengue risk by epidemic data, whereas the remaining eight papers developed an entomological risk map as a proxy for potential dengue burden in cities or agglomerated urban regions. The key findings included: (1) Big data sources and emerging data-mining techniques are innovatively employed for detecting hot spots of dengue-related burden in the urban context; (2) Bayesian approaches and machine learning algorithms have become more popular as spatial modeling tools for predicting the distribution of dengue incidence and mosquito presence; (3) Climatic and built environmental variables are the most common factors in making predictions, though the effects of these factors vary with the mosquito species; (4) Socio-economic data may be a better representation of the huge heterogeneity of risk or vulnerability spatial distribution on an urban scale. In conclusion, for spatially assessing dengue-related risk in an urban context, data availability and the purpose for mapping determine the analytical approaches and modeling methods used. To enhance the reliabilities of predictive models, sufficient data about dengue serotyping, socio-economic status, and spatial connectivity may be more important for mapping dengue-related risk in urban settings for future studies. Full article
Show Figures

Figure 1

18 pages, 5838 KB  
Article
Distribution Characteristics and Influencing Factors of Rural Settlements in Metropolitan Fringe Area: A Case Study of Nanjing, China
by Rongtian Zhang and Xiaolin Zhang
Land 2022, 11(11), 1989; https://doi.org/10.3390/land11111989 - 6 Nov 2022
Cited by 12 | Viewed by 6790
Abstract
Rural settlement is the core content of rural geography research. Exploring the spatial distribution characteristics and influencing factors of rural settlements can provide reference for the optimization of rural settlements. This paper selected Nanjing as a typical case, based on remote sensing image, [...] Read more.
Rural settlement is the core content of rural geography research. Exploring the spatial distribution characteristics and influencing factors of rural settlements can provide reference for the optimization of rural settlements. This paper selected Nanjing as a typical case, based on remote sensing image, using R statistics, kernel density analysis, hot spot detection analysis and semi variogram function; the paper analyzed the spatial, scale and morphological distribution characteristics of rural settlements; and preliminarily analyzed the influencing factors of rural settlements distribution in the metropolitan fringe area. The results showed that: (1) The spatial distribution of rural settlements generally presented a “multi-core” center, and a spatial distribution trend of stepwise decline from the core to the periphery, showing a typical “core-edge” structure. (2) There was a significant spatial difference in the scale distribution of rural settlements, which was characterized by a gradual decrease in the scale of rural settlements with the increase in the distance from the central urban area. (3) The morphological distribution of rural settlements showed spatial differentiation, and the morphological types of settlements mainly included strip, arcbelt, cluster and scatter. (4) The distribution of rural settlements was affected by such factors as terrain, river system, traffic, economic and social development, cultural and policy. The distribution of rural settlements had the location orientation of “low altitude, water affinity and road affinity”. The increase in agricultural population, rural economic development, cultural and policy factors played an important role in the distribution of rural settlements in the metropolitan fringe area. Full article
(This article belongs to the Special Issue Rural Land Use in China)
Show Figures

Figure 1

25 pages, 8611 KB  
Article
Detecting Spatial-Temporal Changes of Urban Environment Quality by Remote Sensing-Based Ecological Indices: A Case Study in Panzhihua City, Sichuan Province, China
by Yunfeng Shan, Xiaoai Dai, Weile Li, Zhichong Yang, Youlin Wang, Ge Qu, Wenxin Liu, Jiashun Ren, Cheng Li, Shuneng Liang and Binyang Zeng
Remote Sens. 2022, 14(17), 4137; https://doi.org/10.3390/rs14174137 - 23 Aug 2022
Cited by 32 | Viewed by 4381
Abstract
Panzhihua City is a typical agricultural-forestry-pastoral and ecologically sensitive city in China. It is also an important ecological defense in the upper Yangtze River. It has abundant mineral resources, including vanadium, titanium, and water supplies. However, ecological and environmental problems emerge due to [...] Read more.
Panzhihua City is a typical agricultural-forestry-pastoral and ecologically sensitive city in China. It is also an important ecological defense in the upper Yangtze River. It has abundant mineral resources, including vanadium, titanium, and water supplies. However, ecological and environmental problems emerge due to the excessive development of mining, agriculture, animal husbandry, and other non-natural urban economies. Therefore, a scientific understanding of the spatio-temporal changes of the eco-environment of Panzhihua is critical for environmental protection, city planning, and construction. To objectively evaluate the eco-environmental status of Panzhihua, the remote sensing-based ecological index (RSEI) was first applied to Panzhihua, a typical resource-based city, and its ecological environmental quality (EEQ) was quantitatively assessed from 1990 to 2020. This study explored the effects of mining activities and policies on EEQ and used change detection to reveal the spatial-temporal changes of EEQ in Panzhihua City over the past three decades. In addition, this study also verified the suitability of RSEI for evaluating EEQ in resource-based city using spatial autocorrelation, revealed the spatial heterogeneity of EEQ in Panzhihua City using optimized hot spot analysis, and showed different ecological clustering by hot spot analysis at two scales of urban and mining areas. According to the results: (1) From 1990 to 2020, the general eco-environmental condition of Panzhihua is improving, but there are still regional differences. (2) The Moran’s I value ranges from 0.436 (1990) to 0.700 (2020), indicating that there is autocorrelation in the distribution of eco-environmental quality. (3) At the mine, the mean value of RSEI dropped by 20–40%, and the EEQ decreased significantly due to mining activities. (4) A series of ecological restoration policies can buffer the negative impact of mining activities on the ecosystem, resulting in a slight improvement in the quality of the ecological environment. This study evaluates the EEQ of resource-based city and its spatial-temporal changes using RSEI constructed by the Google Earth Engine (GEE) platform, which can provide theoretical support for ecological and environmental conditions monitoring, development planning, and environmental protection policy-making of a resource-based city. Full article
(This article belongs to the Section Environmental Remote Sensing)
Show Figures

Figure 1

23 pages, 5736 KB  
Article
The Evolution and Determinants of Ecosystem Services in Guizhou—A Typical Karst Mountainous Area in Southwest China
by Lu Jiao, Rui Yang, Yinling Zhang, Jian Yin and Jiayu Huang
Land 2022, 11(8), 1164; https://doi.org/10.3390/land11081164 - 27 Jul 2022
Cited by 17 | Viewed by 3007
Abstract
Due to rapid urbanization and economic development, the natural environment and ecological processes have been significantly affected by human activities. Especially in ecologically fragile karst areas, the ecosystems are more sensitive to external disturbances and have a hard time recovering, thus studies on [...] Read more.
Due to rapid urbanization and economic development, the natural environment and ecological processes have been significantly affected by human activities. Especially in ecologically fragile karst areas, the ecosystems are more sensitive to external disturbances and have a hard time recovering, thus studies on the ecosystem services in these areas are significant. In view of this, we took Guizhou (a typical karst province) as the research area, evaluated the ecosystem service value (ESV) according to reclassified land uses and revised equivalent factors, and investigated the determinants of ecosystem services based on geographic detection. It was found that the total ESV showed a prominent increase trend, increasing from 152.55 billion CNY in 2000 to 285.50 billion CNY in 2020. The rise of grain prices due to growing social demands was the main factor in driving the increase of ESV. Spatially, the ESVs of central and western Guizhou were lower with cold spots appearing around human gathering areas, while that of southern and southeastern Guizhou were higher with hot spots that formed in continually distributed woodland. Moreover, the ESV per unit area and its change rate in karst regions were always lower than that in non-karst areas. Precipitation and temperature were the dominant nature factors while cultivation and population density were the main anthropogenic effects driving the evolution of ecosystem services. Therefore, positive human activities as well as rational and efficient land-use should be guided to promote the coordinated and high-quality development of ecology and the economy. Full article
Show Figures

Figure 1

Back to TopTop