Sign in to use this feature.

Years

Between: -

Subjects

remove_circle_outline
remove_circle_outline
remove_circle_outline
remove_circle_outline
remove_circle_outline
remove_circle_outline
remove_circle_outline
remove_circle_outline
remove_circle_outline

Journals

Article Types

Countries / Regions

Search Results (151)

Search Parameters:
Keywords = unobtrusive measurement

Order results
Result details
Results per page
Select all
Export citation of selected articles as:
26 pages, 1063 KB  
Article
Multiclass Differentiation of Dementia Subtypes Based on Low-Density EEG Biomarkers: Towards Wearable Brain Health Monitoring
by Anneliese Walsh, Shreejith Shanker and Alejandro Lopez Valdes
J. Dement. Alzheimer's Dis. 2025, 2(4), 48; https://doi.org/10.3390/jdad2040048 - 17 Dec 2025
Abstract
Background: Wearable EEG devices offer an accessible and unobtrusive system for regular brain health monitoring outside clinical settings. However, due to the current lack of data available from wearable low-density EEG devices, we need to anticipate the extraction of biomarkers for brain health [...] Read more.
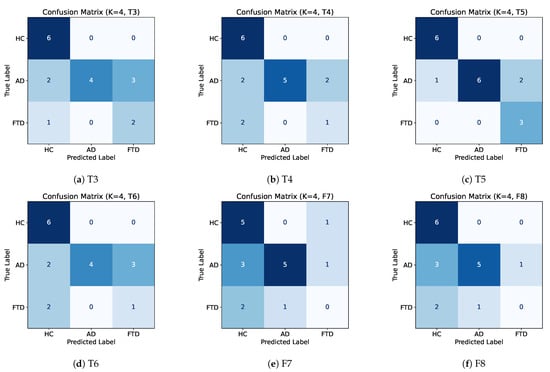
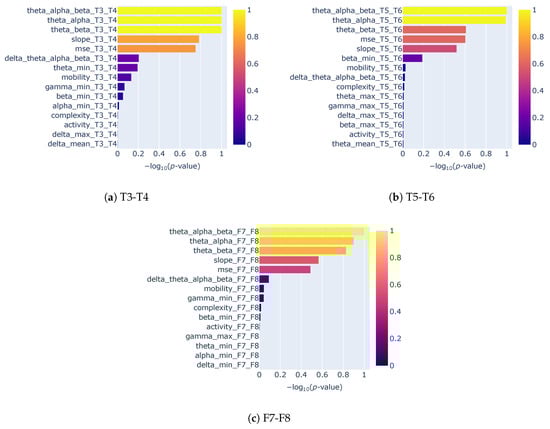
Background: Wearable EEG devices offer an accessible and unobtrusive system for regular brain health monitoring outside clinical settings. However, due to the current lack of data available from wearable low-density EEG devices, we need to anticipate the extraction of biomarkers for brain health evaluation from available clinical datasets. Methods: This study evaluates multiclass dementia classification of Alzheimer’s disease, frontotemporal dementia, and healthy controls using features derived from low-density temporal EEG electrodes as a proxy for wearable EEG setups. The feature set comprises power-based metrics, including the 1/f spectral slope, and complexity metrics such as Hjorth parameters and multiscale sample entropy. Results: Our results show that multiclass differentiation of dementia, using low-density electrode configurations restricted to temporal regions, can achieve results comparable to a full-scalp configuration. Notably, electrode T5, positioned over the left temporo-posterior region, consistently outperformed other configurations, achieving a subject-level accuracy of 83.3% and an F1 score of 82.4%. Conclusions: These findings highlight the potential of single-site EEG measurement for wearable brain health devices. Full article
Show Figures

Graphical abstract

24 pages, 18536 KB  
Article
Design and Systematic Evaluation of a Multi-Layered Mattress System for Accurate, Unobtrusive Capacitive ECG Monitoring
by Rui Cui, Kaichen Wang, Xiongwen Zheng, Jiayi Li, Siheng Cao, Hongyu Chen, Wei Chen, Chen Chen and Jingchun Luo
Bioengineering 2025, 12(12), 1348; https://doi.org/10.3390/bioengineering12121348 - 10 Dec 2025
Viewed by 168
Abstract
Capacitive ECG (cECG) technology offers significant potential for improving comfort and unobtrusiveness in long-term cardiovascular monitoring. Nevertheless, current research predominantly emphasizes basic heart rate monitoring by detecting only the R-wave, thereby restricting its clinical applicability. In this study, we proposed an advanced cECG [...] Read more.
Capacitive ECG (cECG) technology offers significant potential for improving comfort and unobtrusiveness in long-term cardiovascular monitoring. Nevertheless, current research predominantly emphasizes basic heart rate monitoring by detecting only the R-wave, thereby restricting its clinical applicability. In this study, we proposed an advanced cECG mattress system and conducted a systematic evaluation. To enhance user comfort and achieve more accurate cECG morphological features, we developed a multi-layered cECG mattress incorporating flexible fabric active electrodes, signal acquisition circuits, and specialized signal processing algorithms. We conducted experimental validation to evaluate the performance of the proposed system. The system exhibited robust performance across various sleeping positions (supine, right lateral, left lateral and prone), achieving a high average true positive rate (TPR) of 0.99, ensuring reliable waveform detection. The mean absolute error (MAE) remains low at 1.12 ms for the R wave, 7.89 ms for the P wave, and 7.88 ms for the T wave, indicating accurate morphological feature extraction. Additionally, the system maintains a low MAE of 0.89 ms for the RR interval, 7.77 ms for the PR interval, and 7.85 ms for the RT interval, further underscoring its reliability in interval measurements. Compared with medical-grade devices, the signal quality obtained by the cECG mattress system is sufficient to accurately identify the crucial waveform morphology and interval durations. Moreover, the user experience evaluation and durability test demonstrated that the mattress system performed reliably and comfortably. This study provides essential information and establishes a foundation for the clinical application of cECG technology in future sleep monitoring research. Full article
(This article belongs to the Special Issue Soft and Flexible Sensors for Biomedical Applications)
Show Figures

Graphical abstract

19 pages, 4038 KB  
Article
Deriving Motor States and Mobility Metrics from Gamified Augmented Reality Rehabilitation Exercises in People with Parkinson’s Disease
by Pieter F. van Doorn, Edward Nyman, Koen Wishaupt, Marjolein M. van der Krogt and Melvyn Roerdink
Sensors 2025, 25(23), 7172; https://doi.org/10.3390/s25237172 - 24 Nov 2025
Viewed by 431
Abstract
People with Parkinson’s disease (PD) experience mobility impairments that impact daily functioning, yet conventional clinical assessments provide limited insight into real-world mobility. This study evaluated motor-state classification and the concurrent validity of mobility metrics derived from augmented-reality (AR) glasses against a markerless motion [...] Read more.
People with Parkinson’s disease (PD) experience mobility impairments that impact daily functioning, yet conventional clinical assessments provide limited insight into real-world mobility. This study evaluated motor-state classification and the concurrent validity of mobility metrics derived from augmented-reality (AR) glasses against a markerless motion capture system (Theia3D) during gamified AR exercises. Fifteen participants with PD completed five gamified AR exercises measured with both systems. Motor-state segments included straight walking, turning, squatting, and sit-to-stand/stand-to-sit transfers, from which the following mobility metrics were derived: step length, gait speed, cadence, transfer and squat durations, squat depth, turn duration, and peak turn angular velocity. We found excellent between-systems consistency for head position (X, Y, Z) and yaw-angle time series (ICC(c,1) > 0.932). The AR-based motor-state classification showed high accuracy, with F1-scores of 0.947–1.000. Absolute agreement with Theia3D was excellent for all mobility metrics (ICC(A,1) > 0.904), except for cadence during straight walking and peak angular velocity during turns, which were good and moderate (ICC(A,1) = 0.890, ICC(A,1) = 0.477, respectively). These results indicate that motor states and associated mobility metrics can be accurately derived during gamified AR exercises, verified in a controlled laboratory environment in people with mild to moderate PD, a necessary first step towards unobtrusive derivation of mobility metrics during in-clinic and at-home AR neurorehabilitation exercise programs. Full article
Show Figures

Figure 1

14 pages, 1729 KB  
Article
Towards Wearable Respiration Monitoring: 1D-CRNN-Based Breathing Detection in Smart Textiles
by Tobias Steinmetzer and Sven Michel
Sensors 2025, 25(22), 6832; https://doi.org/10.3390/s25226832 - 8 Nov 2025
Cited by 1 | Viewed by 549
Abstract
Monitoring respiratory activity is a key indicator of physiological health and an essential component in smart textile systems for unobtrusive vital sign assessment. In this work, we present a one-dimensional convolutional recurrent neural network (1D-CRNN) for automatic classification of breathing activity from inertial [...] Read more.
Monitoring respiratory activity is a key indicator of physiological health and an essential component in smart textile systems for unobtrusive vital sign assessment. In this work, we present a one-dimensional convolutional recurrent neural network (1D-CRNN) for automatic classification of breathing activity from inertial data acquired by a smart e-textile of 59 subjects. The proposed method integrates convolutional layers for local feature extraction with recurrent layers for temporal context modeling, enabling robust segmentation of breathing and noise segments. The model was trained and evaluated using a stratified five-fold cross-validation scheme to account for inter-subject variability and class imbalance. Across different window sizes, the classifier achieved a mean accuracy of 0.88 and an F1-score of 0.92 at a window size of 2000 samples. The best-performing configuration for a single fold, reached an accuracy of 0.995 and an F1-score of 0.99. Furthermore, near-real-time feasibility was demonstrated, with a total processing time—including data loading, classification, segmentation, and visualization—of only 1.76 s for a 250 s measurement, corresponding to more than 100× faster than the recording time. These results indicate that the proposed approach is highly suitable for embedded, on-device inference within wearable systems. Full article
Show Figures

Figure 1

14 pages, 983 KB  
Article
Gait Variability and Spatiotemporal Parameters During Emotion-Induced Walking: Assessment with Inertial Measurement Units
by Marvin Alvarez, Angeloh Stout, Luke Fisanick, Chuan-Fa Tang, David George Wilson, Leslie Gray, Breanne Logan and Gu Eon Kang
Sensors 2025, 25(19), 6222; https://doi.org/10.3390/s25196222 - 8 Oct 2025
Viewed by 908
Abstract
Emotion alters the way humans walk, yet most prior studies have relied on laboratory-based 3D motion capture systems. While accurate, these approaches limit translation to real-world settings and have largely focused on spatiotemporal parameters and joint motions. This study evaluated the feasibility of [...] Read more.
Emotion alters the way humans walk, yet most prior studies have relied on laboratory-based 3D motion capture systems. While accurate, these approaches limit translation to real-world settings and have largely focused on spatiotemporal parameters and joint motions. This study evaluated the feasibility of using inertial measurement units (IMUs) to detect emotion-related changes in gait variability as well as spatiotemporal gait parameters. Fourteen healthy young adults completed overground gait trials while wearing two ankle-mounted IMUs. Five target emotions, anger, sadness, neutral emotion, joy, and fear, were elicited using an autobiographical memory paradigm. The IMUs measured stride length, stride time, stride velocity, cadence, and gait variability. The results showed that stride length, stride time, stride velocity, and cadence significantly differed across emotions. Anger and joy were associated with longer strides and faster velocities, while sadness produced slower walking with longer stride times and reduced cadence. Interestingly, gait variability did not differ significantly across emotional states. These findings demonstrate that IMUs can capture emotion specific gait changes previously documented with motion capture, supporting their feasibility for use in natural and clinical contexts. This work advances understanding of how emotions shape gait and highlights the potential of wearable technology for unobtrusive emotion and mobility research. Full article
(This article belongs to the Special Issue Applications of Body Worn Sensors and Wearables)
Show Figures

Figure 1

37 pages, 6312 KB  
Article
Cardiac Monitoring with Textile Capacitive Electrodes in Driving Applications: Characterization of Signal Quality and RR Duration Accuracy
by James Elber Duverger, Geordi-Gabriel Renaud Dumoulin, Victor Bellemin, Patricia Forcier, Justine Decaens, Ghyslain Gagnon and Alireza Saidi
Sensors 2025, 25(19), 6097; https://doi.org/10.3390/s25196097 - 3 Oct 2025
Cited by 1 | Viewed by 929
Abstract
Capacitive ECG sensors in automobiles enable unobtrusive heart rate monitoring as an indicator of a driver’s alertness and health. This paper introduces a capacitive sensor with textile electrodes and provides insights into signal quality and RR duration accuracy. Electrodes of various shapes, sizes, [...] Read more.
Capacitive ECG sensors in automobiles enable unobtrusive heart rate monitoring as an indicator of a driver’s alertness and health. This paper introduces a capacitive sensor with textile electrodes and provides insights into signal quality and RR duration accuracy. Electrodes of various shapes, sizes, and fabrics were integrated at various positions into the seat back of a driving simulator car seat. Seven subjects completed identical driving circuits with their cardiac signals being recorded simultaneously with textile electrodes and reference Ag-AgCl electrodes. Capacitive ECG signals with observable R peaks (after filtering) could be captured with almost all pairs of textile electrodes, independently of design or placement. Signal quality from textile electrodes was consistently lower compared with reference Ag-AgCl electrodes. Proximity to the heart or even contact with the body seems to be key but not enough to improve signal quality. However, accurate measurement of RR durations was mostly independent of signal quality since 90% of all RR durations measured on capacitive ECG signals had a percentage error below 5% compared to reference ECG signals. Accuracy was actually algorithm-dependent, where a classic Pan–Tompkins-based algorithm was interestingly outperformed by an in-house frequency-domain algorithm. Full article
(This article belongs to the Special Issue Smart Textile Sensors, Actuators, and Related Applications)
Show Figures

Figure 1

22 pages, 558 KB  
Review
Smart Healthcare at Home: A Review of AI-Enabled Wearables and Diagnostics Through the Lens of the Pi-CON Methodology
by Steffen Baumann, Richard T. Stone and Esraa Abdelall
Sensors 2025, 25(19), 6067; https://doi.org/10.3390/s25196067 - 2 Oct 2025
Cited by 2 | Viewed by 3030
Abstract
The rapid growth of AI-enabled medical wearables and home-based diagnostic devices has opened new pathways for preventive care, chronic disease management and user-driven health insights. Despite significant technological progress, many solutions face adoption hurdles, often due to usability challenges, episodic measurements and poor [...] Read more.
The rapid growth of AI-enabled medical wearables and home-based diagnostic devices has opened new pathways for preventive care, chronic disease management and user-driven health insights. Despite significant technological progress, many solutions face adoption hurdles, often due to usability challenges, episodic measurements and poor alignment with daily life. This review surveys the current landscape of at-home healthcare technologies, including wearable vital sign monitors, digital diagnostics and body composition assessment tools. We synthesize insights from the existing literature for this narrative review, highlighting strengths and limitations in sensing accuracy, user experience and integration into daily health routines. Special attention is given to the role of AI in enabling real-time insights, adaptive feedback and predictive monitoring across these devices. To examine persistent adoption challenges from a user-centered perspective, we reflect on the Pi-CON methodology, a conceptual framework previously introduced to stimulate discussion around passive, non-contact, and continuous data acquisition. While Pi-CON is highlighted as a representative methodology, recent external studies in multimodal sensing, RFID-based monitoring, and wearable–ambient integration confirm the broader feasibility of unobtrusive, passive, and continuous health monitoring in real-world environments. We conclude with strategic recommendations to guide the development of more accessible, intelligent and user-aligned smart healthcare solutions. Full article
Show Figures

Figure 1

16 pages, 937 KB  
Article
Analysis of Sensor Location and Time–Frequency Feature Contributions in IMU-Based Gait Identity Recognition
by Fangyu Liu, Hao Wang, Xiang Li and Fangmin Sun
Electronics 2025, 14(19), 3905; https://doi.org/10.3390/electronics14193905 - 30 Sep 2025
Viewed by 604
Abstract
Inertial measurement unit (IMU)-based gait biometrics have attracted increasing attention for unobtrusive identity recognition. While recent studies often fuse signals from multiple sensor positions and time–frequency features, the actual contribution of each sensor location and signal modality remains insufficiently explored. In this work, [...] Read more.
Inertial measurement unit (IMU)-based gait biometrics have attracted increasing attention for unobtrusive identity recognition. While recent studies often fuse signals from multiple sensor positions and time–frequency features, the actual contribution of each sensor location and signal modality remains insufficiently explored. In this work, we present a comprehensive quantitative analysis of the role of different IMU placements and feature domains in gait-based identity recognition. IMU data were collected from three body positions (shank, waist, and wrist) and processed to extract both time-domain and frequency-domain features. An attention-gated fusion network was employed to weight each signal branch adaptively, enabling interpretable assessment of their discriminative power. Experimental results show that shank IMU dominates recognition accuracy, while waist and wrist sensors primarily provide auxiliary information. Similarly, the contribution of time-domain features to classification performance is the greatest, while frequency-domain features offer complementary robustness. These findings illustrate the importance of sensor and feature selection in designing efficient, scalable IMU-based identity recognition systems for wearable applications. Full article
Show Figures

Figure 1

22 pages, 568 KB  
Review
A Review of Methods for Unobtrusive Measurement of Work-Related Well-Being
by Zoja Anžur, Klara Žinkovič, Junoš Lukan, Pietro Barbiero, Gašper Slapničar, Mohan Li, Martin Gjoreski, Maike E. Debus, Sebastijan Trojer, Mitja Luštrek and Marc Langheinrich
Mach. Learn. Knowl. Extr. 2025, 7(3), 62; https://doi.org/10.3390/make7030062 - 1 Jul 2025
Viewed by 2106
Abstract
Work-related well-being is an important research topic, as it is linked to various aspects of individuals’ lives, including job performance. To measure it effectively, unobtrusive sensors are desirable to minimize the burden on employees. Because there is a lack of consensus on the [...] Read more.
Work-related well-being is an important research topic, as it is linked to various aspects of individuals’ lives, including job performance. To measure it effectively, unobtrusive sensors are desirable to minimize the burden on employees. Because there is a lack of consensus on the definitions of well-being in the psychological literature in terms of its dimensions, our work begins by proposing a conceptualization of well-being based on the refined definition of health provided by the World Health Organization. We focus on reviewing the existing literature on the unobtrusive measurement of well-being. In our literature review, we focus on affect, engagement, fatigue, stress, sleep deprivation, physical comfort, and social interactions. Our initial search resulted in a total of 644 studies, from which we then reviewed 35, revealing a variety of behavioral markers such as facial expressions, posture, eye movements, and speech. The most commonly used sensory devices were red, green, and blue (RGB) cameras, followed by microphones and smartphones. The methods capture a variety of behavioral markers, the most common being body movement, facial expressions, and posture. Our work serves as an investigation into various unobtrusive measuring methods applicable to the workplace context, aiming to foster a more employee-centric approach to the measurement of well-being and to emphasize its affective component. Full article
(This article belongs to the Special Issue Sustainable Applications for Machine Learning)
Show Figures

Figure 1

17 pages, 11694 KB  
Article
The Design and Performance Evaluation of a Compact, Low-Cost Rectenna on a 3D-Printed Composite Substrate for Sustainable IoT Devices
by Blagovest Atanasov, Nikolay Atanasov and Gabriela Atanasova
Electronics 2025, 14(13), 2625; https://doi.org/10.3390/electronics14132625 - 29 Jun 2025
Cited by 1 | Viewed by 808
Abstract
The Internet of Things (IoT) is one of the pivotal technologies driving the digital transformation of industry, business, and personal life. Along with new opportunities, the exponential growth of IoT devices also brings environmental challenges, driven by the increasing accumulation of e-waste. This [...] Read more.
The Internet of Things (IoT) is one of the pivotal technologies driving the digital transformation of industry, business, and personal life. Along with new opportunities, the exponential growth of IoT devices also brings environmental challenges, driven by the increasing accumulation of e-waste. This paper introduces a novel, compact, cubic-shaped rectenna with a 3D-printed composite substrate featuring five identical patches. The design aims to integrate RF energy harvesting technology with eco-friendly materials, enabling its application in powering next-generation sustainable IoT systems. Due to its symmetrical design, each patch antenna achieves a bandwidth of 130 MHz within the frequency range of 2.4 GHz to 2.57 GHz, with a maximum efficiency of 60.5% and an excellent isolation of below −25 dB between adjacent patch antennas. Furthermore, measurements of the rectifier circuit indicate a maximum conversion efficiency of 33%, which is comparable to that of other rectennas made on 3D-printed substrates. The proposed visually unobtrusive design not only enhances compactness but also allows the proposed rectenna to harvest RF energy from nearly all directions. Full article
Show Figures

Figure 1

30 pages, 2018 KB  
Article
Comprehensive Performance Comparison of Signal Processing Features in Machine Learning Classification of Alcohol Intoxication on Small Gait Datasets
by Muxi Qi, Samuel Chibuoyim Uche and Emmanuel Agu
Appl. Sci. 2025, 15(13), 7250; https://doi.org/10.3390/app15137250 - 27 Jun 2025
Cited by 1 | Viewed by 1125
Abstract
Detecting alcohol intoxication is crucial for preventing accidents and enhancing public safety. Traditional intoxication detection methods rely on direct blood alcohol concentration (BAC) measurement via breathalyzers and wearable sensors. These methods require the user to purchase and carry external hardware such as breathalyzers, [...] Read more.
Detecting alcohol intoxication is crucial for preventing accidents and enhancing public safety. Traditional intoxication detection methods rely on direct blood alcohol concentration (BAC) measurement via breathalyzers and wearable sensors. These methods require the user to purchase and carry external hardware such as breathalyzers, which is expensive and cumbersome. Convenient, unobtrusive intoxication detection methods using equipment already owned by users are desirable. Recent research has explored machine learning-based approaches using smartphone accelerometers to classify intoxicated gait patterns. While neural network approaches have emerged, due to the significant challenges with collecting intoxicated gait data, gait datasets are often too small to utilize such approaches. To avoid overfitting on such small datasets, traditional machine learning (ML) classification is preferred. A comprehensive set of ML features have been proposed. However, until now, no work has systematically evaluated the performance of various categories of gait features for alcohol intoxication detection task using traditional machine learning algorithms. This study evaluates 27 signal processing features handcrafted from accelerometer gait data across five domains: time, frequency, wavelet, statistical, and information-theoretic. The data were collected from 24 subjects who experienced alcohol stimulation using goggle busters. Correlation-based feature selection (CFS) was employed to rank the features most correlated with alcohol-induced gait changes, revealing that 22 features exhibited statistically significant correlations with BAC levels. These statistically significant features were utilized to train supervised classifiers and assess their impact on alcohol intoxication detection accuracy. Statistical features yielded the highest accuracy (83.89%), followed by time-domain (83.22%) and frequency-domain features (82.21%). Classifying all domain 22 significant features using a random forest model improved classification accuracy to 84.9%. These findings suggest that incorporating a broader set of signal processing features enhances the accuracy of smartphone-based alcohol intoxication detection. Full article
(This article belongs to the Special Issue AI-Based Biomedical Signal and Image Processing)
Show Figures

Figure 1

34 pages, 720 KB  
Review
A Comprehensive Review of Unobtrusive Biosensing in Intelligent Vehicles: Sensors, Algorithms, and Integration Challenges
by Shiva Maleki Varnosfaderani, Mohd. Rizwan Shaikh and Mohamad Forouzanfar
Bioengineering 2025, 12(6), 669; https://doi.org/10.3390/bioengineering12060669 - 18 Jun 2025
Cited by 1 | Viewed by 2080
Abstract
Unobtrusive in-vehicle measurement and the monitoring of physiological signals have recently attracted researchers in industry and academia as an innovative approach that can provide valuable information about drivers’ health and status. The main goal is to reduce the number of traffic accidents caused [...] Read more.
Unobtrusive in-vehicle measurement and the monitoring of physiological signals have recently attracted researchers in industry and academia as an innovative approach that can provide valuable information about drivers’ health and status. The main goal is to reduce the number of traffic accidents caused by driver errors by monitoring various physiological parameters and devising appropriate actions to alert the driver or to take control of the vehicle. The research on this topic is in its early stages. While there have been several publications on this topic and industrial prototypes made by car manufacturers, a comprehensive and critical review of the current trends and future directions is missing. This review examines the current research and findings in in-vehicle physiological monitoring and suggests future directions and potential uses. Various physiological sensors, their potential locations, and the results they produce are demonstrated. The main challenges of in-vehicle biosensing, including unobtrusive sensing, vehicle vibration and driver movement cancellation, and privacy management, are discussed, and possible solutions are presented. The paper also reviews the current in-vehicle biosensing prototypes built by car manufacturers and other researchers. The reviewed methods and presented directions provide valuable insights into robust and accurate biosensing within vehicles for researchers in the field. Full article
(This article belongs to the Section Biosignal Processing)
Show Figures

Figure 1

23 pages, 40206 KB  
Article
Development of a Body-Worn Textile-Based Strain Sensor: Application to Diabetic Foot Assessment
by Rory P. Turnbull, Jenny Corser, Giorgio Orlando, Prabhuraj D. Venkatraman, Irantzu Yoldi, Kathrine Bradbury, Neil D. Reeves and Peter Culmer
Sensors 2025, 25(7), 2057; https://doi.org/10.3390/s25072057 - 26 Mar 2025
Cited by 1 | Viewed by 2084
Abstract
Diabetic Foot Ulcers (DFUs) are a significant health and economic burden, potentially leading to limb amputation, with a severe impact on a person’s quality of life. During active movements like gait, the monitoring of shear has been suggested as an important factor for [...] Read more.
Diabetic Foot Ulcers (DFUs) are a significant health and economic burden, potentially leading to limb amputation, with a severe impact on a person’s quality of life. During active movements like gait, the monitoring of shear has been suggested as an important factor for effective prevention of DFUs. It is proposed that, in textiles, strain can be measured as a proxy for shear stress at the skin. This paper presents the conceptualisation and development of a novel strain-sensing approach that can be unobtrusively integrated within sock textiles and worn within the shoe. Working with close clinical and patient engagement, a sensor specification was identified, and 12 load-sensing approaches for the prevention of DFU were evaluated. A lead concept using a conductive adhesive was selected for further development. The method was developed using a Lycra sample, before being translated onto a knitted ‘sock’ substrate. The resultant strain sensor can be integrated within mass-produced textiles fabricated using industrial knitting machines. A case-study was used to demonstrate a proof-of-concept version of the strain sensor, which changes resistance with applied mechanical strain. A range of static and dynamic laboratory testing was used to assess the sensor’s performance, which demonstrated a resolution of 0.013 Ω across a range of 0–430 Ω and a range of interest of 0–20 Ω. In cyclic testing, the sensor exhibited a cyclic strain threshold of 6% and a sensitivity gradient of 0.3 ± 0.02, with a low dynamic drift of 0.039 to 0.045% of the total range. Overall, this work demonstrates a viable textile-based strain sensor capable of integration within worn knitted structures. It provides a promising first step towards developing a sock-based strain sensor for the prevention of DFU formation. Full article
(This article belongs to the Special Issue Body Sensor Networks and Wearables for Health Monitoring)
Show Figures

Graphical abstract

16 pages, 2968 KB  
Article
Combining 24-Hour Continuous Monitoring of Time-Locked Heart Rate, Physical Activity and Gait in Older Adults: Preliminary Findings
by Eitan E. Asher, Eran Gazit, Nasim Montazeri, Elisa Mejía-Mejía, Rachel Godfrey, David A. Bennett, Veronique G. VanderHorst, Aron S. Buchman, Andrew S. P. Lim and Jeffrey M. Hausdorff
Sensors 2025, 25(6), 1945; https://doi.org/10.3390/s25061945 - 20 Mar 2025
Cited by 2 | Viewed by 1586
Abstract
Hemodynamic homeostasis is essential for adapting the heart rate (HR) to postural and physiological changes during daily activities. Traditional HR monitoring, such as 24 hour (h) Holter monitoring, provides important information on homeostasis during daily living. However, this approach lacks concurrent activity recording, [...] Read more.
Hemodynamic homeostasis is essential for adapting the heart rate (HR) to postural and physiological changes during daily activities. Traditional HR monitoring, such as 24 hour (h) Holter monitoring, provides important information on homeostasis during daily living. However, this approach lacks concurrent activity recording, limiting insights into hemodynamic adaptation and our ability to interpret changes in HR. To address this, we utilized a novel wearable sensor system (ANNE@Sibel) to capture time-locked HR and daily activity (i.e., lying, sitting, standing, walking) data in 105 community-dwelling older adults. We developed custom tools to extract 24 h time-locked measurements and introduced a “heart rate response score” (HRRS), based on root Jensen–Shannon divergence, to quantify HR changes relative to activity. As expected, we found a progressive HR increase with more vigorous activities, though individual responses varied widely, highlighting heterogeneous HR adaptations. The HRRS (mean: 0.38 ± 0.14; min: −0.11; max: 0.74) summarized person-specific HR changes and was correlated with several clinical measures, including systolic blood pressure changes during postural transitions (r = 0.325, p = 0.003), orthostatic hypotension status, and calcium channel blocker medication use. These findings demonstrate the potential of unobtrusive sensors in remote phenotyping as a means of providing valuable physiological and behavioral data to enhance the quantitative description of aging phenotypes. This approach could enhance personalized medicine by informing targeted interventions based on hemodynamic adaptations during everyday activities. Full article
(This article belongs to the Special Issue IMU and Innovative Sensors for Healthcare)
Show Figures

Figure 1

20 pages, 1240 KB  
Article
Continuous Monitoring of Recruits During Military Basic Training to Mitigate Attrition
by Robbe Decorte, Jelle Vanhaeverbeke, Sarah VanDen Berghe, Maarten Slembrouck and Steven Verstockt
Sensors 2025, 25(6), 1828; https://doi.org/10.3390/s25061828 - 14 Mar 2025
Viewed by 2702
Abstract
This paper explores the use of wearable technology (Garmin Fenix 7) to monitor physiological and psychological factors contributing to attrition during basic military training. Attrition, or the voluntary departure of recruits from the military, often results from physical and psychological challenges, such as [...] Read more.
This paper explores the use of wearable technology (Garmin Fenix 7) to monitor physiological and psychological factors contributing to attrition during basic military training. Attrition, or the voluntary departure of recruits from the military, often results from physical and psychological challenges, such as fatigue, injury, and stress, which lead to significant costs for the military. To better understand and mitigate attrition, we designed and implemented a comprehensive and continuous data-capturing methodology to monitor 63 recruits during their basic infantry training. It’s optimized for military use by being minimally invasive (for both recruits and operators), preventing data leakage, and being built for scale. We analysed data collected from two test phases, focusing on seven key psychometric and physical features derived from baseline questionnaires and physiological measurements from wearable devices. The preliminary results revealed that recruits at risk of attrition tend to cluster in specific areas of the feature space in both Linear Discriminant Analysis (LDA) and Principal Component Analysis (PCA). Key indicators of attrition included low motivation, low resilience, and a stress mindset. Furthermore, we developed a predictive model using physiological data, such as sleep scores and step counts from Garmin devices, achieving a macro mean absolute error (MAE) of 0.74. This model suggests the potential to reduce the burden of daily wellness questionnaires by relying on continuous, unobtrusive monitoring. Full article
Show Figures

Figure 1

Back to TopTop