Sign in to use this feature.

Years

Between: -

Subjects

remove_circle_outline
remove_circle_outline
remove_circle_outline
remove_circle_outline
remove_circle_outline
remove_circle_outline
remove_circle_outline

Journals

Article Types

Countries / Regions

Search Results (16)

Search Parameters:
Keywords = underwater modal test

Order results
Result details
Results per page
Select all
Export citation of selected articles as:
29 pages, 11422 KB  
Article
Experimental and Simulation Study on Vibration Transmission Characteristics and Vibration Isolation Effect of a New Floating Raft Vibration Isolation System
by Qichao Xue, Yonghui Wang, Chaoying Wang, Quansheng Hu, Guangping Zou, Mingtao Chen and Chuan He
J. Mar. Sci. Eng. 2025, 13(2), 254; https://doi.org/10.3390/jmse13020254 - 29 Jan 2025
Cited by 1 | Viewed by 1509
Abstract
To enhance the floating raft vibration isolation system’s effect, a new two-stiffness floating raft vibration isolation experimental was constructed. First, the system’s mathematical model was established. The vibration transfer function was deduced via substructure derivative synthesis and four-end parameter matrix methods, and the [...] Read more.
To enhance the floating raft vibration isolation system’s effect, a new two-stiffness floating raft vibration isolation experimental was constructed. First, the system’s mathematical model was established. The vibration transfer function was deduced via substructure derivative synthesis and four-end parameter matrix methods, and the structural parameter impacts on it were analyzed. Then, a modal test was conducted, and a finite element model was built. Comparing finite element analysis with test results verified the model’s validity, followed by a study of the support structure’s vibration characteristics. Finally, by measuring acceleration responses at the isolator’s upper and lower ends and using the difference as an evaluation index, the isolator’s vibration isolation effect on land and underwater was investigated, along with its impact on the device’s underwater acoustic radiation. The results demonstrate that the two-stiffness vibration isolator can reduce vibration transmission within a specific frequency range both on land and underwater, guiding practical engineering vibration isolation research. Full article
(This article belongs to the Section Ocean Engineering)
Show Figures

Figure 1

12 pages, 10071 KB  
Article
A Self-Propelled Linear Piezoelectric Micro-Actuator Inspired by the Movement Patterns of Aquatic Beetles
by Xinjie Wang and Gen Wang
Micromachines 2024, 15(10), 1197; https://doi.org/10.3390/mi15101197 - 27 Sep 2024
Cited by 2 | Viewed by 1429
Abstract
The locomotion mechanisms and structural characteristics of insects in nature offer new perspectives and solutions for designing miniature actuators. Inspired by the underwater movement of aquatic beetles, this paper presents a bidirectional self-propelled linear piezoelectric micro-actuator (SLPMA), whose maximum size in three dimensions [...] Read more.
The locomotion mechanisms and structural characteristics of insects in nature offer new perspectives and solutions for designing miniature actuators. Inspired by the underwater movement of aquatic beetles, this paper presents a bidirectional self-propelled linear piezoelectric micro-actuator (SLPMA), whose maximum size in three dimensions is currently recognized as the smallest known of the self-propelled piezoelectric linear micro-actuators. Through the superposition of two bending vibration modes, the proposed actuator generates an elliptical motion trajectory at its driving feet. The size was determined as 15 mm × 12.8 mm × 5 mm after finite element analysis (FEA) through modal and transient simulations. A mathematical model was established to analyze and validate the feasibility of the proposed design. Finally, a prototype was fabricated, and an experimental platform was constructed to test the driving characteristics of the SLPMA. The experimental results showed that the maximum no-load velocity and maximum carrying load of the prototype in the forward motion were 17.3 mm/s and 14.8 mN, respectively, while those in the backward motion were 20.5 mm/s and 15.9 mN, respectively. Full article
(This article belongs to the Collection Piezoelectric Transducers: Materials, Devices and Applications)
Show Figures

Figure 1

17 pages, 3848 KB  
Article
A Multi-Objective Geoacoustic Inversion of Modal-Dispersion and Waveform Envelope Data Based on Wasserstein Metric
by Jiaqi Ding, Xiaofeng Zhao, Pinglv Yang and Yapeng Fu
Remote Sens. 2023, 15(19), 4893; https://doi.org/10.3390/rs15194893 - 9 Oct 2023
Viewed by 1801
Abstract
The inversion of acoustic field data to estimate geoacoustic parameters has been a prominent research focus in the field of underwater acoustics for several decades. Modal-dispersion curves have been used to inverse seabed sound speed and density profiles, but such techniques do not [...] Read more.
The inversion of acoustic field data to estimate geoacoustic parameters has been a prominent research focus in the field of underwater acoustics for several decades. Modal-dispersion curves have been used to inverse seabed sound speed and density profiles, but such techniques do not account for attenuation inversion. In this study, a new approach where modal-dispersion and waveform envelope data are simultaneously inversed under a multi-objective framework is proposed. The inversion is performed using the Multi-Objective Bayesian Optimization (MOBO) method. The posterior probability densities (PPD) of the estimation results are obtained by resampling from the exploited state space using the Gibbs Sampler. In this study, the implemented MOBO approach is compared with individual inversions both from modal-dispersion curves and the waveform data. In addition, the effective use of the Wasserstein metric from optimal transport theory is explored. Then the MOBO performance is tested against two different cost functions based on the L2 norm and the Wasserstein metric, respectively. Numerical experiments are employed to evaluate the effect of different cost functions on inversion performance. It is found that the MOBO approach may have more profound advantages when applied to Wasserstein metrics. Results obtained from our study reveal that the MOBO approach exhibits reduced uncertainty in the inverse results when compared to individual inversion methods, such as modal-dispersion inversion or waveform inversion. However, it is important to note that this enhanced uncertainty reduction comes at the cost of sacrificing accuracy in certain parameters other than the sediment sound speed and attenuation. Full article
(This article belongs to the Special Issue Recent Advances in Underwater and Terrestrial Remote Sensing)
Show Figures

Figure 1

25 pages, 11905 KB  
Article
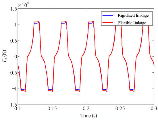
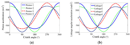
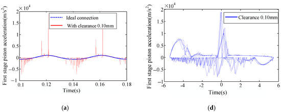
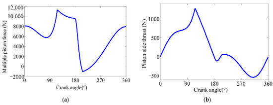
Mechanical Performance Analysis and Experimental Study of Four-Star-Type Crank-Linkage Mechanism
by Kai Chai, Jingjun Lou and Yunsheng Yang
Appl. Sci. 2023, 13(14), 8202; https://doi.org/10.3390/app13148202 - 14 Jul 2023
Cited by 1 | Viewed by 4022
Abstract
Mechanical performance analysis and experimental study of the mechanics of the four-star-type crank-linkage mechanism of the marine air compressor were carried out to improve the submerged floating performance and stealth performance of the underwater vehicle and to meet the demand of its large [...] Read more.
Mechanical performance analysis and experimental study of the mechanics of the four-star-type crank-linkage mechanism of the marine air compressor were carried out to improve the submerged floating performance and stealth performance of the underwater vehicle and to meet the demand of its large diving depth. Firstly, we analyzed the forces on the four-star-type crank-linkage mechanism, derived the inertia forces and moments of the crank-linkage mechanism, and proved the advantages of the four-star-type crank-linkage mechanism in balancing the second-order reciprocating inertia forces. The static strength of some parts was calibrated, and the modal analysis of the four-star-type crank-linkage mechanism was carried out. Second, a flexible crankshaft dynamics model was established to study the influence of kinematic pair parameters on the excitation characteristics of the main bearing. The mechanical performance analysis of the mechanics of the four-star-type crank-linkage with clearance was carried out. Finally, a test bench of four-star-type crank-linkage mechanism was designed and built independently to analyze the effects of clearance size and rotational speed on the acceleration of the motion and vibration acceleration of the slider. The results show that the first-order reciprocating inertia force and second-order reciprocating moment of inertia mainly exist in the four-star-type crank-linkage mechanism. The friction force of the revolving pair can suppress part of the resonance peak, but it will broaden the excitation band and excite high-frequency vibration. The larger the clearance of the four-star-type crank-linkage mechanism kinematic pair, the higher the crankshaft speed, the larger the acceleration amplitude, and the more concentrated the phase trajectory. The research results of this paper can guide the low-noise design of other types of air compressors, help to improve the overall level of marine air compressors, and show future directions for the vibration control of four-star-type air compressors. Full article
(This article belongs to the Section Acoustics and Vibrations)
Show Figures

Figure 1

18 pages, 3959 KB  
Article
Multi-Mode Channel Position Attention Fusion Side-Scan Sonar Transfer Recognition
by Jian Wang, Haisen Li, Guanying Huo, Chao Li and Yuhang Wei
Electronics 2023, 12(4), 791; https://doi.org/10.3390/electronics12040791 - 4 Feb 2023
Cited by 2 | Viewed by 2192
Abstract
Side-scan sonar (SSS) target recognition is an important part of building an underwater detection system and ensuring a high-precision perception of underwater information. In this paper, a novel multi-channel multi-location attention mechanism is proposed for a multi-modal phased transfer side-scan sonar target recognition [...] Read more.
Side-scan sonar (SSS) target recognition is an important part of building an underwater detection system and ensuring a high-precision perception of underwater information. In this paper, a novel multi-channel multi-location attention mechanism is proposed for a multi-modal phased transfer side-scan sonar target recognition model. Optical images from the ImageNet database, synthetic aperture radar (SAR) images and SSS images are used as the training datasets. The backbone network for feature extraction is transferred and learned by a staged transfer learning method. The head network used to predict the type of target extracts the attention features of SSS through a multi-channel and multi-position attention mechanism, and subsequently performs target recognition. The proposed model is tested on the SSS test dataset and evaluated using several metrics, and compared with different recognition algorithms as well. The results show that the model has better recognition accuracy and robustness for SSS targets. Full article
Show Figures

Figure 1

18 pages, 7493 KB  
Article
An External Ocean Thermal Energy Power Generation Modular Device for Powering Smart Float
by Hongwei Zhang, Xinghai Ma and Yanan Yang
Energies 2022, 15(10), 3747; https://doi.org/10.3390/en15103747 - 19 May 2022
Cited by 9 | Viewed by 3259
Abstract
Smart Float is a new multi-modal underwater vehicle, a tool for ocean observation and detection, whose performance is limited by its underwater voyage distance and endurance like most underwater vehicles. The utilization of marine energy provides an ideal way to overcome these limitations. [...] Read more.
Smart Float is a new multi-modal underwater vehicle, a tool for ocean observation and detection, whose performance is limited by its underwater voyage distance and endurance like most underwater vehicles. The utilization of marine energy provides an ideal way to overcome these limitations. In this paper, an external ocean thermal energy power generation module is developed for Smart Float, which can be used for multiple times of energy storage and power generation and is expected to be further applied to small and medium-sized underwater vehicles. The integration of the proposed device will cause changes in the counterweight characteristic, hydrodynamic characteristic, and heat transfer characteristic of the vehicle, which are deeply analyzed in this study, and adaptive modification solutions are proposed according to the analysis results. Finally, a prototype of Smart Float integrating the proposed device was deployed in the South China Sea to perform a sea trial, to test its performance in thermal energy utilization. According to the results, the device generates 1.341 Wh in a profile diving to 700 m, with the maximum single-profile generation of 1.487 Wh, the average electrical energy of 1.368 Wh, and the hydraulic-to-electric efficiency of about 60% in the power generation stage, which verifies its excellent performance in thermal energy utilization. This study realizes the integration of thermal energy power generation modules into an underwater vehicle for the first time, exploring a new way to improve the endurance and self-sustainability of commercial underwater vehicles. Full article
(This article belongs to the Special Issue Heat and Mass Transfer)
Show Figures

Figure 1

19 pages, 2201 KB  
Article
A Nonlinear Model and Parameter Identification Method for Rubber Isolators under Shock Excitation in Underwater Vehicles
by Heye Xiao, Chizhen Xu, Ruobing Wang, Peixun Yu, Jie Zhou and Junqiang Bai
J. Mar. Sci. Eng. 2021, 9(11), 1282; https://doi.org/10.3390/jmse9111282 - 17 Nov 2021
Cited by 8 | Viewed by 2292
Abstract
Rubber isolators are usually used to protect high-precision equipment of autonomous underwater vehicles (AUVs), avoiding damage from overlarge dynamic excitation. Considering the nonlinear properties of the rubber material, the nonlinear behavior of rubber isolators under shock exaltation is hard to be predict accurately [...] Read more.
Rubber isolators are usually used to protect high-precision equipment of autonomous underwater vehicles (AUVs), avoiding damage from overlarge dynamic excitation. Considering the nonlinear properties of the rubber material, the nonlinear behavior of rubber isolators under shock exaltation is hard to be predict accurately without the available modal and accurate parameters. In view of this, the present study proposes a nonlinear model and parameter identification method of rubber isolators to present their transient responses under shock excitation. First, a nonlinear model of rubber isolators is introduced for simulating their amplitude and frequency-dependent deformation under shock excitation. A corresponding dynamic equation of the isolation system is proposed and analytically solved by the Newmark method and the Newton-arithmetic mean method. Secondly, a multilayer feed-forward neural network (MFFNN) is constructed with the current model to search the parameters, in which the differences between the estimated and tested responses are minimized. The sine-sweep and drop test are planned with MFFNN to build the parameter identification process of rubber isolators. Then, a T-shaped isolator composed of high-damping silicon rubber is selected as a sample, and its parameters were determined by the current identification process. The transient responses of the isolation system are reconstructed by the current mode with the identified parameter, which show good agreement with measured responses. The accuracy of the proposed model and parameter identification method is proved. Finally, the errors between the reconstructed responses and tested responses are analyzed, and the main mode of energy attenuation in the rubber isolator is discussed in order to provide an inside view of the current model. Full article
(This article belongs to the Section Ocean Engineering)
Show Figures

Figure 1

14 pages, 5473 KB  
Article
A Matching Algorithm for Underwater Acoustic and Optical Images Based on Image Attribute Transfer and Local Features
by Xiaoteng Zhou, Changli Yu, Xin Yuan and Citong Luo
Sensors 2021, 21(21), 7043; https://doi.org/10.3390/s21217043 - 24 Oct 2021
Cited by 9 | Viewed by 3264
Abstract
In the field of underwater vision, image matching between the main two sensors (sonar and optical camera) has always been a challenging problem. The independent imaging mechanism of the two determines the modalities of the image, and the local features of the images [...] Read more.
In the field of underwater vision, image matching between the main two sensors (sonar and optical camera) has always been a challenging problem. The independent imaging mechanism of the two determines the modalities of the image, and the local features of the images under various modalities are significantly different, which makes the general matching method based on the optical image invalid. In order to make full use of underwater acoustic and optical images, and promote the development of multisensor information fusion (MSIF) technology, this letter proposes to apply an image attribute transfer algorithm and advanced local feature descriptor to solve the problem of underwater acousto-optic image matching. We utilize real and simulated underwater images for testing; experimental results show that our proposed method could effectively preprocess these multimodal images to obtain an accurate matching result, thus providing a new solution for the underwater multisensor image matching task. Full article
(This article belongs to the Section Sensing and Imaging)
Show Figures

Figure 1

17 pages, 9299 KB  
Article
Sensor Placement with Two-Dimensional Equal Arc Length Non-Uniform Sampling for Underwater Terrain Deformation Monitoring
by Chunying Xu, Junwei Hu, Jiawang Chen, Yongqiang Ge and Ruixin Liang
J. Mar. Sci. Eng. 2021, 9(9), 954; https://doi.org/10.3390/jmse9090954 - 1 Sep 2021
Cited by 11 | Viewed by 2977
Abstract
Sensor placement plays an important role in terrain deformation monitoring systems and has an essential effect on data collection. The difficulty of sensor placement entails obtaining the most adequate and reliable information with the fewest number of sensors. Most sensor placement schemes are [...] Read more.
Sensor placement plays an important role in terrain deformation monitoring systems and has an essential effect on data collection. The difficulty of sensor placement entails obtaining the most adequate and reliable information with the fewest number of sensors. Most sensor placement schemes are currently based on randomized non-uniform sampling and probability statistics, such as structural modality and optimization methods, which are difficult to directly apply due to the randomness and spatial heterogeneity of terrain deformation. In this study, the placement conditions of two-dimensional non-uniform sampling with equal arc length were deduced for underwater terrain deformation monitoring based on the MEMS accelerometer network. In order to completely reconstruct the underwater terrain, the arc length interval of the sensors should be less than 12Ω (Ω is the maximum frequency of the detected terrain). The maximum MRE and maximum RMSE were both less than seven percent in a terrain deformation monitoring experiment and a water tank test. The research results help technicians apply contact sensor arrays for underwater terrain monitoring. Full article
(This article belongs to the Special Issue Marine Measurements: Theory, Methods and Applications)
Show Figures

Figure 1

8 pages, 243 KB  
Review
An Updated Narrative Review on Ergometric Systems Applied to Date in Assessing Divers’ Fitness
by Sven Dreyer, Johannes Schneppendahl, Fabian Moeller, Andreas Koch, Thomas Muth and Jochen D. Schipke
Healthcare 2021, 9(8), 1044; https://doi.org/10.3390/healthcare9081044 - 13 Aug 2021
Cited by 3 | Viewed by 3017
Abstract
Many recreational divers suffer medical conditions, potentially jeopardizing their safety. To scale down risks, medical examinations are mandatory and overwhelmingly performed using bicycle ergometry, which overlooks some important aspects of diving. Searching ergometric systems that better address the underwater environment, a systematic literature [...] Read more.
Many recreational divers suffer medical conditions, potentially jeopardizing their safety. To scale down risks, medical examinations are mandatory and overwhelmingly performed using bicycle ergometry, which overlooks some important aspects of diving. Searching ergometric systems that better address the underwater environment, a systematic literature search was conducted using the keywords ‘diving’, ‘fitness’, ‘ergometry’, and ‘exertion’. All presented alternative systems found convincingly describe a greatly reduced underwater physical performance. Thus, if a diver’s workload in air should already be limited, he/she will suffer early from fatigue, risking a diving incident. How to assess fitness? Performance diagnostics in sports is always specific for a modality or movement. Therefore, professional scuba divers should be tested when fin-swimming underwater. For the vast number of recreational divers, the current screening can likely not be replaced. However, to prevent accidents, divers need to understand and be able to improve factors that limit their physical performance underwater. Other systems, presented here, will continue to be important tools in underwater research. Full article
(This article belongs to the Special Issue Diving Physiology and Medical Healthcare)
25 pages, 23065 KB  
Article
Induced Magnetic Field-Based Indoor Positioning System for Underwater Environments
by Sizhen Bian, Peter Hevesi, Leif Christensen and Paul Lukowicz
Sensors 2021, 21(6), 2218; https://doi.org/10.3390/s21062218 - 22 Mar 2021
Cited by 15 | Viewed by 5384
Abstract
Autonomous underwater vehicles (AUV) are seen as an emerging technology for maritime exploration but are still restricted by the availability of short range, accurate positioning methods necessary, e.g., when docking remote assets. Typical techniques used for high-accuracy positioning in indoor use case scenarios, [...] Read more.
Autonomous underwater vehicles (AUV) are seen as an emerging technology for maritime exploration but are still restricted by the availability of short range, accurate positioning methods necessary, e.g., when docking remote assets. Typical techniques used for high-accuracy positioning in indoor use case scenarios, such as systems using ultra-wide band radio signals (UWB), cannot be applied for underwater positioning because of the quick absorption of the positioning medium caused by the water. Acoustic and optic solutions for underwater positioning also face known problems, such as the multi-path effects, high propagation delay (acoustics), and environmental dependency. This paper presents an oscillating magnetic field-based indoor and underwater positioning system. Unlike those radio wave-based positioning modalities, the magnetic approach generates a bubble-formed magnetic field that will not be deformed by the environmental variation because of the very similar permeability of water and air. The proposed system achieves an underwater positioning mean accuracy of 13.3 cm in 2D and 19.0 cm in 3D with the multi-lateration positioning method and concludes the potential of the magnetic field-based positioning technique for underwater applications. A similar accuracy was also achieved for various indoor environments that were used to test the influence of cluttered environment and of cross environment. The low cost and power consumption system is scalable for extensive coverage area and could plug-and-play without pre-calibration. Full article
(This article belongs to the Special Issue Underwater Wireless Sensing and Wireless Sensor Networks)
Show Figures

Figure 1

14 pages, 11746 KB  
Article
Underwater Pipe and Valve 3D Recognition Using Deep Learning Segmentation
by Miguel Martin-Abadal, Manuel Piñar-Molina, Antoni Martorell-Torres, Gabriel Oliver-Codina and Yolanda Gonzalez-Cid
J. Mar. Sci. Eng. 2021, 9(1), 5; https://doi.org/10.3390/jmse9010005 - 23 Dec 2020
Cited by 31 | Viewed by 5830
Abstract
During the past few decades, the need to intervene in underwater scenarios has grown due to the increasing necessity to perform tasks like underwater infrastructure inspection and maintenance or archaeology and geology exploration. In the last few years, the usage of Autonomous Underwater [...] Read more.
During the past few decades, the need to intervene in underwater scenarios has grown due to the increasing necessity to perform tasks like underwater infrastructure inspection and maintenance or archaeology and geology exploration. In the last few years, the usage of Autonomous Underwater Vehicles (AUVs) has eased the workload and risks of such interventions. To automate these tasks, the AUVs have to gather the information of their surroundings, interpret it and make decisions based on it. The two main perception modalities used at close range are laser and video. In this paper, we propose the usage of a deep neural network to recognise pipes and valves in multiple underwater scenarios, using 3D RGB point cloud information provided by a stereo camera. We generate a diverse and rich dataset for the network training and testing, assessing the effect of a broad selection of hyperparameters and values. Results show F1-scores of up to 97.2% for a test set containing images with similar characteristics to the training set and up to 89.3% for a secondary test set containing images taken at different environments and with distinct characteristics from the training set. This work demonstrates the validity and robust training of the PointNet neural in underwater scenarios and its applicability for AUV intervention tasks. Full article
(This article belongs to the Special Issue Localization, Mapping and SLAM in Marine and Underwater Environments)
Show Figures

Figure 1

17 pages, 3201 KB  
Article
Joint Representation and Recognition for Ship-Radiated Noise Based on Multimodal Deep Learning
by Fei Yuan, Xiaoquan Ke and En Cheng
J. Mar. Sci. Eng. 2019, 7(11), 380; https://doi.org/10.3390/jmse7110380 - 27 Oct 2019
Cited by 43 | Viewed by 5191
Abstract
Ship recognition based on ship-radiated noise is one of the most important and challenging subjects in underwater acoustic signal processing. The recognition methods for ship-radiated noise recognition include traditional methods and deep learning (DL) methods. Developing from the DL methods and inspired by [...] Read more.
Ship recognition based on ship-radiated noise is one of the most important and challenging subjects in underwater acoustic signal processing. The recognition methods for ship-radiated noise recognition include traditional methods and deep learning (DL) methods. Developing from the DL methods and inspired by audio–video speech recognition (AVSR), the paper further introduces multimodal deep learning (multimodal-DL) methods for the recognition of ship-radiated noise. In this paper, ship-radiated noise (acoustics modality) and visual observation of the ships (visual modality) are two different modalities that the multimodal-DL methods model on. The paper specially designs a multimodal-DL framework, the multimodal convolutional neural networks (multimodal-CNNs) for the recognition of ship-radiated noise. Then the paper proposes a strategy based on canonical correlation analysis (CCA-based strategy) to build a joint representation and recognition on the two different single-modality (acoustics modality and visual modality). The multimodal-CNNs and the CCA-based strategy are tested on real ship-radiated noise data recorded. Experimental results show that, using the CCA-based strategy, strong-discriminative information can be built from weak-discriminative information provided from a single-modality. Experimental results also show that as long as any one of the single-modalities can provide information for the recognition, the multimodal-DL methods can have a much better multiclass recognition performance than the DL methods. The paper also discusses the advantages and superiorities of the multimodal-Dl methods over the traditional methods for ship-radiated noise recognition. Full article
Show Figures

Figure 1

11 pages, 5021 KB  
Article
Research of Modal Analysis for Impeller of Reactor Coolant Pump
by Jiaming Wang, Pengfei Wang, Xu Zhang, Xiaodong Ruan, Zhongbin Xu and Xin Fu
Appl. Sci. 2019, 9(21), 4551; https://doi.org/10.3390/app9214551 - 26 Oct 2019
Cited by 7 | Viewed by 3313
Abstract
This paper studies the influence of added mass, centrifugal force and hydraulic load on natural frequencies of a Reactor Coolant Pump (RCP) impeller. A series of comparative studies under different conditions were carried out on a modal test bench and a simulation platform. [...] Read more.
This paper studies the influence of added mass, centrifugal force and hydraulic load on natural frequencies of a Reactor Coolant Pump (RCP) impeller. A series of comparative studies under different conditions were carried out on a modal test bench and a simulation platform. Modal analysis of a full-scale RCP impeller was conducted by simulation, and an improved design of impeller was proposed to prevent hydraulic resonance. These results indicated that hydraulic load increases natural frequencies of the impeller. While the centrifugal force slightly reduces them, but it is negligible. Because the distribution of hydraulic load has an effect to natural frequencies, a solution of cutting inlet edges of blades can be used to increase the natural frequency that may cause hydraulic resonance. In summary, our research shows that both added mass and hydraulic load have a significant influence on natural frequencies of the RCP impeller, and redistributing the hydraulic load can alter natural frequencies of the impeller. Full article
(This article belongs to the Section Mechanical Engineering)
Show Figures

Figure 1

20 pages, 3807 KB  
Article
Depth Discrimination for Low-Frequency Sources Using a Horizontal Line Array of Acoustic Vector Sensors Based on Mode Extraction
by Guolong Liang, Yifeng Zhang, Guangpu Zhang, Jia Feng and Ce Zheng
Sensors 2018, 18(11), 3692; https://doi.org/10.3390/s18113692 - 30 Oct 2018
Cited by 6 | Viewed by 3514
Abstract
Depth discrimination is a key procedure in acoustic detection or target classification for low-frequency underwater sources. Conventional depth-discrimination methods use a vertical line array, which has disadvantage of poor mobility due to the size of the sensor array. In this paper, we propose [...] Read more.
Depth discrimination is a key procedure in acoustic detection or target classification for low-frequency underwater sources. Conventional depth-discrimination methods use a vertical line array, which has disadvantage of poor mobility due to the size of the sensor array. In this paper, we propose a depth-discrimination method for low-frequency sources using a horizontal line array (HLA) of acoustic vector sensors based on mode extraction. First, we establish linear equations related to the modal amplitudes based on modal beamforming in the vector mode space. Second, we solve the linear equations by introducing the total least square algorithm and estimate modal amplitudes. Third, we select the power percentage of the low-order modes as the decision metric and construct testing hypotheses based on the modal amplitude estimation. Compared with a scalar sensor, a vector sensor improves the depth discrimination, because the mode weights are more appropriate for doing so. The presented linear equations and the solution algorithm allow the method to maintain good performance even using a relatively short HLA. The constructed testing hypotheses are highly robust against mismatched environments. Note that the method is not appropriate for the winter typical sound speed waveguide, because the characteristics of the modes differ from those in downward-refracting sound speed waveguide. Robustness analysis and simulation results validate the effectiveness of the proposed method. Full article
(This article belongs to the Special Issue Underwater Sensing, Communication, Networking and Systems)
Show Figures

Figure 1

Back to TopTop