Sign in to use this feature.

Years

Between: -

Subjects

remove_circle_outline
remove_circle_outline
remove_circle_outline
remove_circle_outline
remove_circle_outline

Journals

Article Types

Countries / Regions

Search Results (4)

Search Parameters:
Keywords = two-phase flashing spray

Order results
Result details
Results per page
Select all
Export citation of selected articles as:
21 pages, 8967 KB  
Article
Experimental Investigation and Numerical CFD Assessment of a Thermodynamic Breakup Model for Superheated Sprays with Injection Pressure up to 700 Bar
by Francesco Duronio, Angelo De Vita, Alessandro Montanaro and Luigi Allocca
Fluids 2023, 8(5), 155; https://doi.org/10.3390/fluids8050155 - 14 May 2023
Cited by 5 | Viewed by 2852
Abstract
Among the most relevant fields of research recently investigated for improving the performance of gasoline direct injection (GDI) engines, there are ultrahigh injection pressures and the flash-boiling phenomenon. Both perform relevant roles in improving the air/fuel mixing process, reducing tailpipe emissions and implementing [...] Read more.
Among the most relevant fields of research recently investigated for improving the performance of gasoline direct injection (GDI) engines, there are ultrahigh injection pressures and the flash-boiling phenomenon. Both perform relevant roles in improving the air/fuel mixing process, reducing tailpipe emissions and implementing new combustion methods. When a high-temperature fuel is released into an environment with a pressure lower than the fuel’s saturation pressure, flash boiling occurs. Due to complex two-phase flow dynamics and quick droplet vaporization, flash boiling can significantly modify spray formation. Specifically, if properly controlled, flash boiling produces important benefits for the fuel–air mixture formation, the combustion quality and, in general, for overall engine operation. Flash boiling was broadly investigated for classical injection pressure, but few works concern ultrahigh injection pressure. Here, the investigation of the spray produced by a multihole injector was performed using both experimental imaging techniques and CFD simulations aiming to highlight the combined impact of the injection pressure and the flash boiling occurrence on the spray morphology. The shadowgraph method was employed to observe the spray experimentally. The information gathered allows for assessing the performances of an Eulerian–Lagrangian algorithm purposely developed. Breakup and evaporation models, appropriate for flashing sprays, were implemented in a CFD (Computational Fluid Dynamics) code. The experimental results and the CFD simulations demonstrate a good agreement, demonstrating that through adoption of a flash-boiling breakup model, it is possible to reproduce non-evaporating and superheated sprays while changing few simulation parameters. Finally, the results also show the significance of injection pressure in preventing spray collapse. Full article
(This article belongs to the Topic Computational Fluid Dynamics (CFD) and Its Applications)
Show Figures

Figure 1

16 pages, 6472 KB  
Article
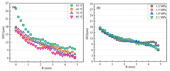
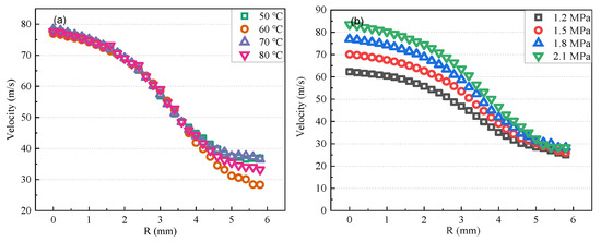
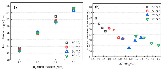
Investigation on Spray Morphology, Droplet Dynamics, and Thermal Characteristics of Iso-Pentane Flashing Spray Based on OpenFOAM
by Dong-Qing Zhu, Shu-Yan Chen, Hong-Jie Xing, Zhi-Fu Zhou, Jia-Feng Wang and Bin Chen
Appl. Sci. 2022, 12(24), 12899; https://doi.org/10.3390/app122412899 - 15 Dec 2022
Cited by 1 | Viewed by 3456
Abstract
Leakage of high-pressure hydrocarbon liquid from a vessel or pipe may easily result in a two-phase flashing spray due to the rapid pressure drop, which might produce catastrophic consequences. Understanding the flashing spray process is essential to prevent these consequences and minimize the [...] Read more.
Leakage of high-pressure hydrocarbon liquid from a vessel or pipe may easily result in a two-phase flashing spray due to the rapid pressure drop, which might produce catastrophic consequences. Understanding the flashing spray process is essential to prevent these consequences and minimize the impact. This paper conducted a numerical study through OpenFOAM to investigate the two-phase behavior of flashing spray using a volatile and flammable substance of iso-pentane. The evolution of spray morphology and the distributions of droplet temperature, diameter, and velocity under various initial injection pressures (Pinj) and temperatures (Tinj) were investigated. The simulation result showed good agreement with the experimental result in spray morphology under various Pinj and Tinj. The simulation results indicate that a higher Pinj causes a larger gas phase diffusion length, while Tinj contributes little to this length. However, increasing the Pinj and Tinj shortens the liquid penetration distance. Near the nozzle exit field of about 10 mm, liquid droplets experience a rapid decrease in diameter and velocity along the spray central axis. Meanwhile, spray presents an obvious expansion via the introduction of a spray angle as the input boundary condition of the simulation and droplet temperature has a large gradient toward the radial direction within this field. Droplets in the spray’s downstream region achieved a more stable state with less change in droplet diameter, velocity, and temperature. Full article
(This article belongs to the Section Fluid Science and Technology)
Show Figures

Figure 1

15 pages, 5573 KB  
Article
Spray Analysis and Combustion Assessment of Diesel-LPG Fuel Blends in Compression Ignition Engine
by Massimo Cardone, Renato Marialto, Roberto Ianniello, Maurizio Lazzaro and Gabriele Di Blasio
Fuels 2021, 2(1), 1-15; https://doi.org/10.3390/fuels2010001 - 31 Dec 2020
Cited by 10 | Viewed by 5026
Abstract
A major challenge for internal combustion engines (ICEs), and diesel engines, in particular, is the reduction of exhaust emissions, essentially nitrogen oxides (NOx) and particulate matter (PM). In this regard, the potential of LPG-diesel blends was evaluated in this work. The LPG and [...] Read more.
A major challenge for internal combustion engines (ICEs), and diesel engines, in particular, is the reduction of exhaust emissions, essentially nitrogen oxides (NOx) and particulate matter (PM). In this regard, the potential of LPG-diesel blends was evaluated in this work. The LPG and diesel blends were externally prepared by exploiting their perfect miscibility at high pressures. Two diesel-LPG mixtures with 20% and 35% by mass LPG concentrations were tested. In terms of spatial and temporal evolution, the spray characterization was performed for the two blends and pure diesel fuel through high-speed imaging technique. The combustion behavior, engine performance and exhaust emissions of LPG-diesel blends were evaluated through a test campaign carried out on a single-cylinder diesel engine. Diesel/LPG sprays penetrate less than pure diesel. This behavior results from a lower momentum, surface tension and viscosity, of the blend jets in comparison to diesel which guarantee greater atomization. The addition of LPG to diesel tends to proportionally increase the spray cone angle, due to the stronger turbulent flow interaction caused by, the lower density and low flash-boiling point. Because of improved atomization and mixing during the injection phase, the blends have shown great potential in reducing PM emissions, without affecting engine performance (CO2 emissions). The addition of LPG resulted in a significant smoke reduction (about 95%) with similar NOx emissions and acceptable THC and CO emissions. Furthermore, the low cetane number (CN) and high low-heating value (LHV) ensuring leaner air-fuel mixture, and improvements in terms of efficiency, particularly for a blend with a higher concentration of LPG. Full article
Show Figures

Figure 1

17 pages, 5065 KB  
Article
Evaluation of the Performance of the Drag Force Model in Predicting Droplet Evaporation for R134a Single Droplet and Spray Characteristics for R134a Flashing Spray
by Zhi-Fu Zhou, Dong-Qing Zhu, Guan-Yu Lu, Bin Chen, Wei-Tao Wu and Yu-Bai Li
Energies 2019, 12(24), 4618; https://doi.org/10.3390/en12244618 - 5 Dec 2019
Cited by 13 | Viewed by 4880
Abstract
Drag force plays an important role in determining the momentum, heat and mass transfer of droplets in a flashing spray. This paper conducts a comparative study to examine the performance of drag force models in predicting the evolution of droplet evaporation for R134a [...] Read more.
Drag force plays an important role in determining the momentum, heat and mass transfer of droplets in a flashing spray. This paper conducts a comparative study to examine the performance of drag force models in predicting the evolution of droplet evaporation for R134a single droplet and spray characteristics for its flashing spray. The study starts from single moving R134a droplet vaporizing in atomispheric environment, to a fully turbulent, flashing spray caused by an accidental release of high-pressure R134a liquid in the form of a straight-tube nozzle, using in-house developed code and a modified sprayFoam solver in OpenFOAM, respectively. The effect of the nozzle diameter on the spray characteristics of R134a two-phase flashing spray is also examined. The results indicate that most of the drag force models have little effect on droplet evporation in both single isolated droplet modelling and fully two-phase flashing spray simulation. However, the Khan–Richardson model contributes to different results. In particular, it predicts a much different profile of the droplet diameter distribution and a much lower droplet temperature in the radial distance. The nozzle diameter has a significant impact on the flashing spray. A smaller diameter nozzle leads to more internse explosive atomization, shorter penetration distance, lower droplet diameter and velocity, and a faster temperature decrease. Full article
Show Figures

Figure 1

Back to TopTop