Evaluation of the Performance of the Drag Force Model in Predicting Droplet Evaporation for R134a Single Droplet and Spray Characteristics for R134a Flashing Spray
Abstract
1. Introduction
2. Numerical Models
2.1. Single Droplet Evporation Model
2.2. Two-Phase Flashing Spray Model
2.2.1. Gas Phase
2.2.2. Liquid Phase
3. Modelling and Simulation Methods
4. Results and Discussions
4.1. Effect of Drag Force Model on the Prediction of Single Droplet Evaporation
4.2. Effect of Drag Force Model on the Prediction of Flashing Spray
4.3. Effect of Nozzle Diameter on R134a Flashing Spray
5. Conclusions
- (1)
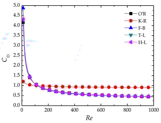
- The drag force model has no obvious effect on the predictive results of the droplet diameter, velocity and temperature for R134a single moving droplet evaporation, except that the K–R model contributes to different results with a lower droplet diameter and velocity, and a faster decrease in droplet temperature compared with other four models.
- (2)
- The O’R, F–B, T–L and H–L drag force models predict almost identical results of droplet diameter, velocity and temperature variations along both the axial and radial directions in the R134a two-phase flashing spray simulation. However, the K–R drag model contributes to quite different results than those of its counterparts. In particular, K–R model predicts a much different profile of the droplet diameter and much lower droplet temperature in the radial distance.
- (3)
- The nozzle diameter influences R134a two-phase flashing spray significantly. Stronger explosive atomization, shorter penetration distance, lower droplet diameter and velocity, and a faster decrease in droplet temperature can be achieved by a smaller diameter nozzle.
- (4)
- According to the comprephesive study, the K–R drag force model is not recommended in both single isolated droplet modelling and two-phase flashing simulation. The nozzle diameter should be carefully chosen in practice because of its great importance in determining the spray dynamics and thermal characteristics of the flashing spray.
Author Contributions
Funding
Acknowledgments
Conflicts of Interest
Nomenclature
| BM | Spalding mass transfer number | S | Source term |
| BT | Spalding heat transfer number | Y | Mass fraction |
| c | Specific heat | Greek symbols | |
| CD | Drag force coefficient | α | Thermal diffusivity or overall heat transfer coefficient |
| D | Droplet diameter (m) | Γv | Binary diffusion coefficient |
| F | Force (N) | λ | Thermal conductivity (W/(mK)) |
| g | Gravitational acceleration (m/s2) | μ | Dynamic viscosity |
| hs | Specific enthalpy (J/kg) | ρ | Density (kg/m3) |
| L | Latent heat (J/kg) | Subscripts | |
| Nu | Nusselt number | atm | Ambient gas |
| m | Mass | b | Boiling |
| P | Pressure (Pa) | eff | Effective |
| Pr | Prandtl number | evap | Evaporation |
| R | Radius or radial distance (m) | g | Ambient gas |
| Re | Reynolds number | l | Liquid |
| Sc | Schmidt number | mom | Momentum |
| Sh | Sherwood number | s | Surface |
| t | Time (s) | V | Vapour |
| T | Temperature (K) | ∞ | Far field |
| U | Velocity (m/s) | - | Average |
References
- Zhou, Z.-F.; Hu, M.-Y.; Xin, H.; Chen, B.; Wang, G.-X. Experimental and theoretical studies on the droplet temperature behavior of R407C two-phase flashing spray. Int. J. Heat Mass Tran. 2019, 136, 664–673. [Google Scholar] [CrossRef]
- Cheng, W.-L.; Zhang, W.-W.; Chen, H.; Hu, L. Spray cooling and flash evaporation cooling: The current development and application. Renew. Sust. Energ. Rev. 2016, 55, 614–628. [Google Scholar] [CrossRef]
- Zhou, Z.-F.; Lin, Y.-K.; Tang, H.-L.; Fang, Y.; Chen, B.; Wang, Y.-C. Heat transfer enhancement due to surface modification in the close-loop R410A flash evaporation spray cooling. Int. J. Heat Mass Tran. 2019, 139, 1047–1055. [Google Scholar] [CrossRef]
- Lin, Y.-K.; Zhou, Z.-F.; Fang, Y.; Tang, H.-L.; Chen, B. Heat transfer performance and optimization of a close-loop R410A flash evaporation spray cooling. Appl. Therm. Eng. 2019, 159, 113966. [Google Scholar] [CrossRef]
- Li, Q.; Tao, L.; Li, L.; Hu, Y.; Wu, S. Experimental Investigation of the Condensation Heat Transfer Coefficient of R134a inside Horizontal Smooth and Micro-Fin Tubes. Energies 2017, 10, 1280. [Google Scholar]
- Polanco, G.; Holdo, A.E.; Munday, G. General review of flashing jet studies. J. Hazard. Mater. 2010, 173, 2–18. [Google Scholar] [CrossRef]
- Calay, R.K.; Holdo, A.E. Modelling the dispersion of flashing jets using CFD. J. Hazard. Mater. 2008, 154, 1198–1209. [Google Scholar] [CrossRef]
- Zhou, Z.-F.; Chen, B.; Wang, R.; Bai, F.-L.; Wang, G.-X. Coupling effect of hypobaric pressure and spray distance on heat transfer dynamics of R134a pulsed flashing spray cooling. Exp. Therm. Fluid Sci. 2016, 70, 96–104. [Google Scholar] [CrossRef]
- Zhou, Z.-F.; Chen, B.; Wang, R.; Wang, G.-X. Comparative investigation on the spray characteristics and heat transfer dynamics of pulsed spray cooling with volatile cryogens. Exp. Therm. Fluid Sci. 2017, 82, 189–197. [Google Scholar] [CrossRef]
- Zhou, Z.; Chen, B.; Wang, Y.; Guo, L.; Wang, G. An experimental study on pulsed spray cooling with refrigerant R-404a in laser surgery. Appl. Therm. Eng. 2012, 39, 29–36. [Google Scholar] [CrossRef]
- Aguilar, G.; Majaron, B.; Verkruysse, W.; Zhou, Y.; Nelson, J.S.; Lavernia, E.J. Theoretical and experimental analysis of droplet diameter, temperature, and evaporation rate evolution in cryogenic sprays. Int. J. Heat Mass Tran. 2001, 44, 3201–3211. [Google Scholar] [CrossRef]
- Yildiz, D.; Ambaud, P.R.; Van Beek, J.; Buchlin, J.M. Evolution of the Spray Characteristics In Superheated Liquid jet Atomization in Function of Initial Flow Conditions. In Proceedings of the Tenth International Conference on Liquid Atomization and Spray Systems, Kyoto, Japan, 27 August–1 September 2006. [Google Scholar]
- Zhou, Z.; Wu, W.; Chen, B.W.; Guo, X.; Guo, L. An experimental study on the spray and thermal characteristics of R134a two-phase flashing spray. Int. J. Heat Mass Tran. 2012, 55, 4460–4468. [Google Scholar]
- Wang, R.; Chen, B.; Wang, X.-S. Numerical simulation of cryogen spray cooling by a three-dimensional hybrid vortex method. Appl. Therm. Eng. 2017, 119, 319–330. [Google Scholar] [CrossRef]
- Zhou, Z.-F.; Lu, G.-Y.; Chen, B. Numerical study on the spray and thermal characteristics of R404A flashing spray using OpenFOAM. Int. J. Heat Mass Tran. 2018, 117, 1312–1321. [Google Scholar] [CrossRef]
- Chen, B.; Tian, J.; Wang, R.; Zhou, Z. Theoretical study of cryogen spray cooling with R134a, R404A and R1234yf: Comparison and clinical potential application. Appl. Therm. Eng. 2019, 148, 1058–1067. [Google Scholar] [CrossRef]
- Clift, R.; Grace, J.R.; Weber, M.E. Bubbles, Drops, Particles; Courier Corporation: New York, NY, USA, 2005. [Google Scholar]
- Haider, A.; Levenspiel, O. Drag Coefficient and Terminal Velocity of Spherical and Nonspherical Particles. Powder Technol. 1989, 58, 63–70. [Google Scholar] [CrossRef]
- Khan, A.R.; Richardson, J.F. The Resistance to Motion of a Solid Sphere in a Fluid. Chem. Eng. Commun. 1987, 62, 135–150. [Google Scholar] [CrossRef]
- Zhou, Z.-F.; Li, W.-Y.; Chen, B.; Wang, G.-X. A 3rd-order polynomial temperature profile model for the heating and evaporation of moving droplets. Appl. Therm. Eng. 2017, 110, 162–170. [Google Scholar] [CrossRef]
- Miller, R.S.; Harstad, K.; Bellan, J. Evaluation of equilibrium and non-equilibrium evaporation models for many-droplet gas-liquid flow simulations. Int. J. Multiphas. Flow 1998, 24, 1025–1055. [Google Scholar] [CrossRef]
- Sazhin, S.S. Advanced models of fuel droplet heating and evaporation. Prog. Energ. Combust. 2006, 32, 162–214. [Google Scholar] [CrossRef]
- Kärrholm, F.P. Numerical Modelling of Diesel Spray Injection, Turbulence Interaction and Combustion; Chalmers University of Technology: Gothenburg, Sweden, 2008. [Google Scholar]
- REITZ. Modeling atomization processes in high-pressure vaporizing sprays. At. Spray Technol. 1987, 3, 309–337. [Google Scholar]
- Adachi, M.; McDonell, V.G.; Tanaka, D.; Senda, J.; Fujimoto, H. Characterization of Fuel Vapor Concentration Inside a Flash Boiling Spray. SAE Tech. Pap. 1997, 189, 443–454. [Google Scholar]
- O’Rourke, P.J. Collective Drop Effects on Vaporizing Liquid Sprays; LA-9069-T, Ed.; Los Alamos National Lab.: NM, USA, 1981; p. 357. [Google Scholar]
- Flemmer, R.L.C.; Banks, C.L. On the drag coefficient of a sphere. Powder Technol. 1986, 48, 217–221. [Google Scholar] [CrossRef]
- Turton, R.; Levenspiel, O. A short note on the drag correlation for spheres. Powder Technol. 1986, 47, 83–86. [Google Scholar] [CrossRef]
- Zhou, Z.; Wang, G.; Chen, B.; Guo, L.; Wang, Y. Evaluation of Evaporation Models for Single Moving Droplet with a High Evaporation Rate. Powder Technol. 2013, 240, 95–102. [Google Scholar]
- Zhou, Z.-F.; Lu, G.-Y.; Zhu, D.-Q.; Zhang, L.; Wang, J.-F.; Chen, B. The performance of droplet evaporation model in predicting droplet dynamics and thermal characteristics for R134a single isolated droplet and two-phase flashing spray. Aerosp. Sci. Technol. 2019, 93, 105363. [Google Scholar] [CrossRef]
- Minea, A.A.; Buonomo, B.; Burggraf, J.; Ercole, D.; Karpaiya, K.R.; Di Pasqua, A.; Sekrani, G.; Steffens, J.; Tibaut, J.; Wichmann, N.; et al. A benchmark study on the numerical approach in nanofluids' simulation. Int. Commun. Heat Mass 2019, 108, 104292. [Google Scholar] [CrossRef]
- Ishak, M.H.H.; Ismail, F.; Che Mat, S.; Abdullah, M.Z.; Abdul Aziz, M.S.; Idroas, M.Y. Numerical Analysis of Nozzle Flow and Spray Characteristics from Different Nozzles Using Diesel and Biofuel Blends. Energies 2019, 12, 281. [Google Scholar] [CrossRef]
- Wang, X.-S.; Chen, B.; Wang, R.; Xin, H.; Zhou, Z.-F. Experimental study on the relation between internal flow and flashing spray characteristics of R134a using straight tube nozzles. Int. J. Heat Mass Tran. 2017, 115, 524–536. [Google Scholar] [CrossRef]













| Model | Equations of Drag Force Coefficient | Comments |
|---|---|---|
| O’R | O’Rourke [26] | |
| K–R | Khan and Richardson [19] | |
| F-B | Flemmer and Banks [27] | |
| T-L | Turton and Levenspiel [28] | |
| H-L | Haider and Levenspiel [18] |
| Parameter | Value |
|---|---|
| air temperature, Tambi (°C) | 25 |
| air pressure, Pambi (MPa) | 0.1 |
| R134a droplet initial temperature, T0 (°C) | −27 |
| R134a droplet initial velocity, V0 (m/s) | 60 |
| R134a droplet initial diameter (μm) | 100 |
| Parameter | Value |
|---|---|
| Ambient temperature, Tambi (°C) | 25 |
| Ambient pressure, Pambi (MPa) | 0.1 |
| R134a initial temperature, T0 (°C) | 25 |
| R134a injection pressure, Pinj (MPa) | 0.7 |
| Diameter of nozzle, dnozzle (mm) | 0.81 |
| Rosin-Rammler distribution parameter d (μm) | 12 |
| Rosin-Rammler distribution parameter n | 1.7 |
| Spurt duration of spray, tdur (ms) | 50 |
| Parcels per second | 20,000,000 |
© 2019 by the authors. Licensee MDPI, Basel, Switzerland. This article is an open access article distributed under the terms and conditions of the Creative Commons Attribution (CC BY) license (http://creativecommons.org/licenses/by/4.0/).
Share and Cite
Zhou, Z.-F.; Zhu, D.-Q.; Lu, G.-Y.; Chen, B.; Wu, W.-T.; Li, Y.-B. Evaluation of the Performance of the Drag Force Model in Predicting Droplet Evaporation for R134a Single Droplet and Spray Characteristics for R134a Flashing Spray. Energies 2019, 12, 4618. https://doi.org/10.3390/en12244618
Zhou Z-F, Zhu D-Q, Lu G-Y, Chen B, Wu W-T, Li Y-B. Evaluation of the Performance of the Drag Force Model in Predicting Droplet Evaporation for R134a Single Droplet and Spray Characteristics for R134a Flashing Spray. Energies. 2019; 12(24):4618. https://doi.org/10.3390/en12244618
Chicago/Turabian StyleZhou, Zhi-Fu, Dong-Qing Zhu, Guan-Yu Lu, Bin Chen, Wei-Tao Wu, and Yu-Bai Li. 2019. "Evaluation of the Performance of the Drag Force Model in Predicting Droplet Evaporation for R134a Single Droplet and Spray Characteristics for R134a Flashing Spray" Energies 12, no. 24: 4618. https://doi.org/10.3390/en12244618
APA StyleZhou, Z.-F., Zhu, D.-Q., Lu, G.-Y., Chen, B., Wu, W.-T., & Li, Y.-B. (2019). Evaluation of the Performance of the Drag Force Model in Predicting Droplet Evaporation for R134a Single Droplet and Spray Characteristics for R134a Flashing Spray. Energies, 12(24), 4618. https://doi.org/10.3390/en12244618
