Sign in to use this feature.

Years

Between: -

Subjects

remove_circle_outline
remove_circle_outline
remove_circle_outline
remove_circle_outline
remove_circle_outline

Journals

Article Types

Countries / Regions

Search Results (18)

Search Parameters:
Keywords = tip blowing

Order results
Result details
Results per page
Select all
Export citation of selected articles as:
14 pages, 7343 KB  
Article
Experimental Investigation of Shock Boundary/Layer Interaction on a Fan Profile Under Various Inlet Conditions
by Ahmed H. Hanfy, Piotr Kaczynski, Piotr Doerffer and Pawel Flaszynski
Int. J. Turbomach. Propuls. Power 2026, 11(2), 16; https://doi.org/10.3390/ijtpp11020016 - 3 Apr 2026
Viewed by 185
Abstract
Transonic compressors encounter significant challenges from shock formations due to high-speed supersonic blade tips, particularly at high altitudes where lower Reynolds numbers result in laminar boundary layer separation and increased mixing losses. Understanding shock wave–boundary layer interaction (SBLI) is essential for improving compressor [...] Read more.
Transonic compressors encounter significant challenges from shock formations due to high-speed supersonic blade tips, particularly at high altitudes where lower Reynolds numbers result in laminar boundary layer separation and increased mixing losses. Understanding shock wave–boundary layer interaction (SBLI) is essential for improving compressor performance. This study examines SBLI under varying Reynolds numbers, simulating higher altitude conditions in a transonic blow-down wind tunnel. Using an inlet valve setup to control inflow total pressure and Reynolds numbers, this study also reveals an increase in turbulence. The findings indicate that laminar-to-turbulent transition occurs upstream of the shock wave, resulting in interaction with a turbulent boundary layer, even at lower Reynolds numbers. Full article
Show Figures

Graphical abstract

30 pages, 10108 KB  
Article
Aeroelastic Modeling of an Airborne Wind Turbine Based on a Fluid–Structure Interaction Approach
by Qazi Shahzad Ali and Man-Hoe Kim
Energies 2025, 18(23), 6098; https://doi.org/10.3390/en18236098 - 21 Nov 2025
Viewed by 764
Abstract
The airborne wind turbine (AWT) employs a flying energy conversion to harvest the stronger winds blowing at higher altitudes. This study presents an aeroelastic evaluation of the AWT, which carries a flying rotor installed inside a buoyant shell. A considerable aerodynamic impact on [...] Read more.
The airborne wind turbine (AWT) employs a flying energy conversion to harvest the stronger winds blowing at higher altitudes. This study presents an aeroelastic evaluation of the AWT, which carries a flying rotor installed inside a buoyant shell. A considerable aerodynamic impact on the structural integrity of the full-scale system is modeled using a fluid–structure interaction (FSI) approach. Both the fluid and structure models are formulated separately and validated using a series of benchmark numerical data. To analyze the structural aeroelasticity, the aerodynamic loads from the fully resolved computational model are coupled using a one-way FSI on the structural model of the blade and shell to perform the non-linear static analysis. For a detailed investigation, various wind loads from the bare and shell rotor configurations are imposed on the flexible structure. The generated torque, aerodynamic loads, tip deflection, stress estimation and operational stability of the proposed energy system are computed. The tip deflection is 18% more in the shell rotor compared to the bare rotor at rated conditions, while an average increase of 54% more tip deflection was observed for every 4 m/s increase in wind speed. The non-linear aeroelastic characteristics in each case are found to be within the chosen design criteria, according to material, operational speed and structural limits. Most importantly, the significant power gain justifies the structural response of the blade to withstand the shell-induced loads at rated conditions in the shell configuration. Full article
(This article belongs to the Section A3: Wind, Wave and Tidal Energy)
Show Figures

Figure 1

33 pages, 8558 KB  
Article
Unsteady Impact of Casing Air Injection in Reducing Aerodynamic Losses and Heat Transfer on Various Squealer Tip Geometries
by Nasser Can Kasımbeyoğlu, Levent Ali Kavurmacıoğlu and Cengiz Camci
Aerospace 2025, 12(11), 979; https://doi.org/10.3390/aerospace12110979 - 31 Oct 2025
Viewed by 638
Abstract
This study deals with the effectiveness of casing-injection for a few squealer tip designs in a turbine stage to mitigate tip leakage penalties. Seventy-two Unsteady Reynolds-Averaged Navier–Stokes (URANS) simulations were conducted. Five factors were examined: number of injection holes, axial position, jet inclination, [...] Read more.
This study deals with the effectiveness of casing-injection for a few squealer tip designs in a turbine stage to mitigate tip leakage penalties. Seventy-two Unsteady Reynolds-Averaged Navier–Stokes (URANS) simulations were conducted. Five factors were examined: number of injection holes, axial position, jet inclination, blowing ratio, and hole diameter. The ideal configuration demonstrated the highest aerodynamic loss reduction compared to the baseline flat tip by 2.66%. The optimal injection scheme was integrated with three tip-rim topologies: complete channel squealer, suction-side partial squealer, and pressure-side partial squealer. The channel squealer enhances the advantageous effects of injection; the injected jets produce a counter-rotating vortex pair that disturbs the tip leakage vortex core, while the cavity formed by the squealer rim captures low-momentum fluid, thus thermally protecting the tip surface. The injection combined with channel squealer had the highest stage isentropic efficiency and the lowest total-pressure loss, thereby validating the synergy between active jet momentum augmentation and passive geometric sealing. The best configuration shows a 2.87% total pressure loss decrement and a 4.49% total-to-total efficiency increment compared to the baseline design. The best configuration not only improved stage efficiency but also achieved a 43.9% decrease in the tip heat transfer coefficient. Full article
(This article belongs to the Section Aeronautics)
Show Figures

Figure 1

22 pages, 6517 KB  
Article
Study on the Impact of Cooling Air Parameter Changes on the Thermal Fatigue Life of Film Cooling Turbine Blades
by Huayang Sun, Xinlong Yang, Yingtao Chen, Yanting Ai and Wanlin Zhang
Aerospace 2025, 12(6), 512; https://doi.org/10.3390/aerospace12060512 - 6 Jun 2025
Cited by 4 | Viewed by 1765
Abstract
Film cooling has been increasingly applied in turbine blade cooling design due to its excellent cooling performance. Although film-cooled blades demonstrate superior cooling effectiveness, the perforation design on blade surfaces compromises structural integrity, making fatigue failure prone to occur at cooling holes. Previous [...] Read more.
Film cooling has been increasingly applied in turbine blade cooling design due to its excellent cooling performance. Although film-cooled blades demonstrate superior cooling effectiveness, the perforation design on blade surfaces compromises structural integrity, making fatigue failure prone to occur at cooling holes. Previous studies by domestic and international scholars have extensively investigated factors influencing film cooling effectiveness, including blowing ratio and hole geometry configurations. However, most research has overlooked the investigation of fatigue life in film-cooled blades. This paper systematically investigates blade fatigue life under various cooling air parameters by analyzing the relationships among cooling effectiveness, stress distribution, and fatigue life. Results indicate that maximum stress concentrations occur at cooling hole locations and near the blade root at trailing edge regions. While cooling holes effectively reduce blade surface temperature, they simultaneously create stress concentration zones around the apertures. Both excessive and insufficient cooling air pressure and temperature reduce thermal fatigue life, with optimal parameters identified as 600 K cooling temperature and 0.75 MPa pressure, achieving a maximum thermal fatigue life of 3400 cycles for this blade configuration. A thermal shock test platform was established to conduct fatigue experiments under selected cooling conditions. Initial fatigue damage traces emerged at cooling holes after 1000 cycles, with progressive damage expansion observed. By 3000 cycles, cooling holes near blade tip regions exhibited the most severe failure, demonstrating near-complete functional degradation. These findings provide critical references for cooling parameter selection in practical aeroengine applications of film-cooled blades. Full article
Show Figures

Figure 1

31 pages, 13947 KB  
Review
Prediction and Control of Broadband Noise Associated with Advanced Air Mobility—A Review
by Jie Hua and Reda R. Mankbadi
Appl. Sci. 2024, 14(18), 8455; https://doi.org/10.3390/app14188455 - 19 Sep 2024
Cited by 20 | Viewed by 4782
Abstract
This review presents an overview of advanced air mobility broadband noise (BBN) prediction and control techniques, highlighting significant advancements in various prediction models. Methods such as the semi-empirical Brooks–Pope–Marcolini (BPM) model, analytical Amiet model, and time-domain models based on the FW-H equation have [...] Read more.
This review presents an overview of advanced air mobility broadband noise (BBN) prediction and control techniques, highlighting significant advancements in various prediction models. Methods such as the semi-empirical Brooks–Pope–Marcolini (BPM) model, analytical Amiet model, and time-domain models based on the FW-H equation have been extensively studied. Machine learning (ML) shows promise in BBN prediction but requires extensive data training and application to noise source mechanisms. Passive control methods, such as leading and trailing edge serrations and blade tip designs, have been partially successful but often compromise the aerodynamic performance. Active control methods, like suction and blowing control, trim adjustments, and dielectric barrier discharge (DBD) plasma actuators, show great potential, with the latter two being particularly effective for reducing BBN in thin propeller structures. Overall, while progress has been made in understanding and predicting BBN, further research is needed to refine these methods and develop comprehensive noise control strategies. These advancements hold significant promise for effective and efficient noise mitigation in future AAM vehicles. Full article
(This article belongs to the Section Transportation and Future Mobility)
Show Figures

Figure 1

19 pages, 14645 KB  
Article
Influence of Active Flow Control of Synthetic Jet at Suction Surface on the Performance of a Subsonic Axial Compressor Rotor
by Guang Wang, Qing Wu, Yingke Liao and Wuli Chu
Appl. Sci. 2024, 14(5), 2039; https://doi.org/10.3390/app14052039 - 29 Feb 2024
Cited by 2 | Viewed by 1485
Abstract
In order to investigate the effect of a synthetic jet arranged at the suction surface on the aerodynamic performance of an axial flow compressor, a high-speed subsonic axial flow compressor rotor was numerically simulated in this paper. The results showed that after being [...] Read more.
In order to investigate the effect of a synthetic jet arranged at the suction surface on the aerodynamic performance of an axial flow compressor, a high-speed subsonic axial flow compressor rotor was numerically simulated in this paper. The results showed that after being excited by the synthetic jet, the flow margin of the compressor decreased by 1.3%, but the peak efficiency increased by 0.47%. After analyzing the internal flow field, it was found that although the alternating blowing and suction effect of the synthetic jet can reduce the separation loss of the suction surface, the radial velocity of the flow is higher when stimulated and converges towards the blade tip, resulting in more severe blockage at the blade tip than in the prototype compressor, leading to a slight decrease in stability margin. To balance the stability margin of the compressor, a coupled flow control numerical simulation combining passive control of the casing treatment and active control of the suction surface synthetic jet was subsequently carried out. The results showed that the coupled flow control could exert their respective advantages, resulting in an increase of 17.84% in the compressor flow margin and a decrease of only 0.2% in peak efficiency. Full article
(This article belongs to the Section Fluid Science and Technology)
Show Figures

Figure 1

12 pages, 1624 KB  
Article
Effect of Tip Gap Size on the Performance of an Axial Compressor Stage with and without Active Flow Control
by Clémence Rannou, Julien Marty, Geoffrey Tanguy and Antoine Dazin
Int. J. Turbomach. Propuls. Power 2023, 8(3), 30; https://doi.org/10.3390/ijtpp8030030 - 1 Sep 2023
Cited by 3 | Viewed by 2871
Abstract
The tip gap region of an axial compressor rotor is a source of complex flows, inducing losses and stability issues. Recent works have proven the ability of blowing high-speed jets in the tip region to improve the surge margin of an axial compressor [...] Read more.
The tip gap region of an axial compressor rotor is a source of complex flows, inducing losses and stability issues. Recent works have proven the ability of blowing high-speed jets in the tip region to improve the surge margin of an axial compressor stage with a narrow tip gap configuration. However, the tip gap size can evolve during the compressor lifetime, possibly affecting its performance and operability. The objective is to evaluate the performance of an active flow control system on a compressor with different tip gap sizes. The present work is based on the single-stage compressor CME2 located at the Laboratory of Fluid Mechanics of Lille and equipped with actuators blowing at the rotor tip leading edge. Configurations with two different values of the tip gap to chord ratio (0.6% and 2.4%) are experimentally tested. RANS simulations are also performed. The effect of tip gap sizes and tip blowing on the flow topology and compressor performance is evaluated (surge margin improvement of the order of 200% for the larger tip gap size). Full article
Show Figures

Figure 1

20 pages, 8255 KB  
Article
Experimental Investigation on the Combined Blowing Control of a Hybrid Wing Body Aircraft
by Jiaxin Pan, Wanbo Wang, Chen Qin, Xunnian Wang, Qixiang Sun and Xin Zhang
Actuators 2023, 12(6), 237; https://doi.org/10.3390/act12060237 - 8 Jun 2023
Cited by 3 | Viewed by 3280
Abstract
Combined blowing was performed on a Hybrid Wing Body (HWB) aircraft through wind tunnel testing at a Reynolds number of 1.75 × 106. The full cycle of separation and reattachment under the control of combined blowing was implemented using Computational Fluid [...] Read more.
Combined blowing was performed on a Hybrid Wing Body (HWB) aircraft through wind tunnel testing at a Reynolds number of 1.75 × 106. The full cycle of separation and reattachment under the control of combined blowing was implemented using Computational Fluid Dynamics (CFD), and the mechanism of combined blowing inhibiting separation was analyzed. The aerodynamic characteristics of the baseline and the independent effects of the blown deflected trailing edge (TE), blown leading edge (LE), and combined blowing on the TE and LE were investigated. The results clearly show that combined blowing can inhibit the development of cross-flow, reduce the accumulation of a boundary layer at the tip, and inhibit the flow separation effect. The effect of using seamless simple flaps alone to increase the lift is limited; blowing control is required to enhance the lift further. Applying the blown deflected TE can improve the lift linear segment, so that 30° flap achieves the lift gain of 40° flap without control, while the drag coefficient is approximately 0.02 smaller, but the stall gradually advances. Using the blown LE can significantly increase the stall angle from 12° to 18°. However, the lift linear segment remains unaffected. In particular, combined blowing can achieve the control effect of improving the lift linear segment, delaying stall, and decreasing drag. Moreover, the maximum lift coefficient is approximately 0.19, and the lift-to-drag ratio increment in the control state with a 30° flap deflection angle is above 2.2 in the angle of attack range of 4° to 12° compared to the uncontrolled state with a 40° flap deflection angle. Full article
Show Figures

Figure 1

17 pages, 6329 KB  
Article
A Numerical Study on the Flap Side-Edge Noise Reduction Using Passive Blowing Air Concept
by Yingzhe Zhang, Baohong Bai, Dakai Lin and Peiqing Liu
Aerospace 2023, 10(4), 360; https://doi.org/10.3390/aerospace10040360 - 7 Apr 2023
Cited by 8 | Viewed by 3248
Abstract
The flap side-edge is a vital contributor to airframe noise. In this study, we propose a novel flap side-edge noise reduction method based on the concept of active blowing air. A long slot is opened from the flap’s lower surface to the tip [...] Read more.
The flap side-edge is a vital contributor to airframe noise. In this study, we propose a novel flap side-edge noise reduction method based on the concept of active blowing air. A long slot is opened from the flap’s lower surface to the tip surface to induce a secondary jet flow, which is driven by the local pressure difference between the flap’s lower surface and the tip surface. The unsteady flow field around the flap side-edge was computed by the lattice Boltzmann solver PowerFLOW, and the far-field noise was predicted by the FW-H equation. It is demonstrated that the dominant features of the flap side-edge flow are the double vortex structures, and the new passive blowing air reduction method can achieve about 3.3 dB noise reduction. Moreover, the underlying noise reduction mechanism has been analyzed and revealed. It is shown that the secondary jet flow from the long slot on the flap side-edge would dissipate the flap side-edge vortex and displace the flap side-edge vortical structure away from the flap surface, thus resulting in a decrease in the pressure fluctuations on the flap side-edge surface. As a result, the flap side-edge noise was reduced. In contrast to the current active air blowing technique, the newly proposed blowing air technique is passive and quite simple and does not require an extra air source or control system. This novel flap side-edge noise reduction technology provides a new flow control strategy and noise reduction methodology and can be further optimized. Full article
(This article belongs to the Special Issue Aeroacoustics and Noise Mitigation)
Show Figures

Figure 1

16 pages, 5019 KB  
Article
Research on the Jet Characteristics and Dephosphorization Efficiency of Converter Oxygen Lance Blowing CO2-O2 Mixed Gas
by Guoli Wei, Changli Zhou, Shaoyan Hu, Jun Tian, Rong Zhu, Deyong Wang and Qingde Zhu
Metals 2022, 12(9), 1457; https://doi.org/10.3390/met12091457 - 30 Aug 2022
Cited by 4 | Viewed by 2800
Abstract
Utilization of CO2 in steelmaking process has attracted extensive attention in recent years, not only because of its social benefits, but also its better metallurgical performance. Mixing CO2 with O2 blown by converter oxygen lance is gradually being adopted by [...] Read more.
Utilization of CO2 in steelmaking process has attracted extensive attention in recent years, not only because of its social benefits, but also its better metallurgical performance. Mixing CO2 with O2 blown by converter oxygen lance is gradually being adopted by steelmaking plants, due to its potential of reducing consumption and improving steel quality. In the present research, effect of mixing CO2 on the jet characteristics of a four-nozzle oxygen lance was studied in detail by numerical simulation, taking the combustion behavior between supersonic jets and ambient atmosphere into consideration innovatively. The simulated results showed that the combustion flame is mainly distributed in the region between multiple jets, and the high temperature flame has a noticeable influence on the low-velocity region of the jet. Due to the dilution effect of CO2, mixing CO2 into the oxygen jets will reduce the maximum temperature of the flame and slow down the combustion rate. With the increase of CO2 mixing ratio, the high-temperature zone of combustion flame moves away from the lance tip significantly. At the same distance from the nozzle, although mixing CO2 can hardly increase the velocity magnitude of the jet, but it can achieve higher dynamic pressure, indicating stronger impacting power. Then the industrial experiment of top blowing O2-CO2 was carried out in a 120-ton converter. During the blowing time of 120~300 s, the mixing ratio of CO2 was 15 vol.% for better dephosphorization, and no CO2 was mixed in the rest time of blowing. Due to the stronger stirring and better thermodynamics, the average [P] content in the final molten steel was decreased from 0.0155 wt.% to 0.0129 wt.%, achieving higher dephosphorization efficiency. Full article
(This article belongs to the Special Issue Clean Ironmaking and Steelmaking Processes)
Show Figures

Figure 1

15 pages, 5092 KB  
Article
Stall Margin Improvement in an Axial Compressor by Continuous and Pulsed Tip Injection
by Joseph Moubogha Moubogha, Gabriel Margalida, Pierric Joseph, Olivier Roussette and Antoine Dazin
Int. J. Turbomach. Propuls. Power 2022, 7(1), 10; https://doi.org/10.3390/ijtpp7010010 - 16 Mar 2022
Cited by 13 | Viewed by 5531
Abstract
Stall and surge are strong limitations in the operating range of compressors and thus one of the major limits of jet engine performance. A promising way to push the stability limit of compression machines is to inject a small amount of flow at [...] Read more.
Stall and surge are strong limitations in the operating range of compressors and thus one of the major limits of jet engine performance. A promising way to push the stability limit of compression machines is to inject a small amount of flow at the blade tip to alter the physical mechanism responsible for stall onset. This study focuses on the experimental performance of such a system. To do so, an axial compressor test bench was equipped with 40 actuators connected to an auxiliary pressurised air supply system. They were able to generate high-speed jet blowing just at the tip of the rotor blades. The opening of each actuator was controlled by an electromagnetic valve. This allowed generating continuous or pulsed jets with frequencies up to 500 Hz at different duty cycles. The performance of the control system was investigated for various control strategies, where the injected flow rate, the injection angle, the number of injectors, the jet frequency and the duty cycle were systematically varied. This paper is concluded by a study of the energy balance of the system for various configurations. To the best of the authors’ knowledge, this constitutes a rarely seen analysis in the literature. Full article
Show Figures

Graphical abstract

15 pages, 3198 KB  
Article
Field Tests on Bearing Characteristics of Large-Diameter Combined Tip-and-Side Post Grouted Drilled Shafts
by Zhitong Zhang, Weiming Gong, Guoliang Dai, Xiaolin Cao, Yu Zhu and Hao Huang
Appl. Sci. 2021, 11(24), 11883; https://doi.org/10.3390/app112411883 - 14 Dec 2021
Cited by 6 | Viewed by 2314
Abstract
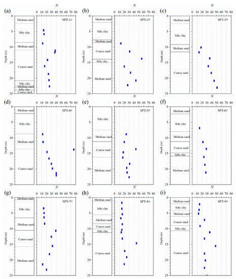
This paper presents a field study on the axial behavior of four large-diameter drilled shafts embedded in coarse sand. The grouting and loading test procedures were reported. The bearing capacity of shafts (TS1 and TS2) and grouted drilled shafts (TS3 and TS4) were [...] Read more.
This paper presents a field study on the axial behavior of four large-diameter drilled shafts embedded in coarse sand. The grouting and loading test procedures were reported. The bearing capacity of shafts (TS1 and TS2) and grouted drilled shafts (TS3 and TS4) were herein determined by the bi-directional static test and top-down load test, respectively. The enhancement mechanism of bearing characteristics of the grouted shafts was discussed in detail. The test results indicate that the bearing characteristics and load transfer mechanisms of the test shafts were significantly affected by the quantity of pressurized cement slurry and the mechanical properties of the soil surrounding the shafts. Furthermore, the tip resistance of shaft can be mobilized more rapidly and fully after grouting, the side and tip resistance are mobilized in a more synchronized and coordinated manner due to the pre-mobilization of the grouted cement. Additionally, the standard penetration test (SPT) prediction model was introduced to calculate and predict the SPT blow counts of soil after grouting. The results show that the post grouting has a more obvious improvement on the strength of cohesionless soil. Full article
(This article belongs to the Special Issue Recent Progress on Advanced Foundation Engineering)
Show Figures

Figure 1

27 pages, 1329 KB  
Article
Vortex Ring Theory—An Alternative to the Existing Actuator Disk and Rotating Annular Stream Tube Theories
by James Agbormbai, Weidong Zhu and Liang Li
Appl. Sci. 2021, 11(14), 6576; https://doi.org/10.3390/app11146576 - 17 Jul 2021
Cited by 1 | Viewed by 3500
Abstract
Currently, the actuator disk theory (ADT) and the rotating annular stream-tube theory (RAST), both of which predicate on the axial momentum and generalized momentum theories, among others, are commonly used in investigating the aerodynamic characteristics of horizontal axis wind turbines (HAWTs). These theories, [...] Read more.
Currently, the actuator disk theory (ADT) and the rotating annular stream-tube theory (RAST), both of which predicate on the axial momentum and generalized momentum theories, among others, are commonly used in investigating the aerodynamic characteristics of horizontal axis wind turbines (HAWTs). These theories, which are based on a rotor with an infinite number of blades, typically do not properly capture the flow physics of wind blowing past the rotors of HAWTs. A vortex ring theory (VRT) that analyzes HAWTs based solely on the characteristics of fluids flowing past obstructions is proposed. The VRT is not predicated on the assertion that the induced velocity in the wake is twice the induced velocity at the rotor. On the contrary, it splits the axial induction factor in the wake into two components, namely, the induction or interference factor due to the solidity of the rotor and the induction factor due to the wake of the rotor aw; aw and its azimuthal counterpart are determined using the Biot–Savart law. The pressure differences across the rotor segments of a HAWT are derived from the Bernoulli equation for all the three theories. Blade segment/local areas based on the blade sectional geometry of the rotor are used in the case of the VRT to estimate the local forces. All the calculations in this study are based on the design parameters of the 5 MW National Renewable Energy Laboratory’s reference offshore wind turbine. Pressure differences are plotted as functions of local radii using the calculated axial and azimuthal induction factors for each theory. The local power coefficient is plotted as a function of the local tip-speed ratio, while the local thrust coefficient is plotted as a function of the local radii for all the three theories. There is piece-wise agreement between the VRT, the ADT, the RAST and numerical and experimental data available in the literature. Full article
Show Figures

Figure 1

17 pages, 5738 KB  
Article
Evaluation of Ultimate Bearing Capacity of Pre-Stressed High-Strength Concrete Pipe Pile Embedded in Saturated Sandy Soil Based on In-Situ Test
by Yingjie Wei, Duli Wang, Jiawang Li, Yuxin Jie, Zundong Ke, Jianguang Li and Tsunming Wong
Appl. Sci. 2020, 10(18), 6269; https://doi.org/10.3390/app10186269 - 9 Sep 2020
Cited by 22 | Viewed by 5338
Abstract
Estimation of ultimate bearing capacity (UBC) of pre-stressed high-strength concrete (PHC) pipe pile is critical for optimizing pile design and construction. In this study, a standard penetration test (SPT), static cone penetration test (CPT) and static load test (SLT) were carried out to [...] Read more.
Estimation of ultimate bearing capacity (UBC) of pre-stressed high-strength concrete (PHC) pipe pile is critical for optimizing pile design and construction. In this study, a standard penetration test (SPT), static cone penetration test (CPT) and static load test (SLT) were carried out to assess, determine and compare the UBC of the PHC pipe pile embedded in saturated sandy layers at different depths. The UBC was calculated with three methods including the JGJ94-2008 method, Meyerhof method and Schmertmann method based on in-situ blow count (N) of SPT (SPT-N) which was higher than the values recommended in survey report regardless of pile length. The average UBC values calculated with cone-tip resistance and sleeve friction from CPTs was also higher than the value recommended in the survey report. Moreover, the actual UBC values directly obtained by load-displacement curves from SLTs were in line with the calculated values based on in-situ SPTs and CPTs, but approximately twice as high as the values recommended in the survey report regardless of pile length. For the SPT method, the application of bentonite mud in saturated sand layers is critical for the assessment of pile capacity in the survey phase, CPTs can provide reliable results regardless of soil characteristics and groundwater if the soil layer can be penetrated, and SLTs are necessary to accurately determine the UBC in complex stratum. Full article
(This article belongs to the Section Civil Engineering)
Show Figures

Figure 1

21 pages, 6109 KB  
Article
Prediction of Pile Axial Bearing Capacity Using Artificial Neural Network and Random Forest
by Tuan Anh Pham, Hai-Bang Ly, Van Quan Tran, Loi Van Giap, Huong-Lan Thi Vu and Hong-Anh Thi Duong
Appl. Sci. 2020, 10(5), 1871; https://doi.org/10.3390/app10051871 - 9 Mar 2020
Cited by 113 | Viewed by 10707
Abstract
Axial bearing capacity of piles is the most important parameter in pile foundation design. In this paper, artificial neural network (ANN) and random forest (RF) algorithms were utilized to predict the ultimate axial bearing capacity of driven piles. An unprecedented database containing 2314 [...] Read more.
Axial bearing capacity of piles is the most important parameter in pile foundation design. In this paper, artificial neural network (ANN) and random forest (RF) algorithms were utilized to predict the ultimate axial bearing capacity of driven piles. An unprecedented database containing 2314 driven pile static load test reports were gathered, including the pile diameter, length of pile segments, natural ground elevation, pile top elevation, guide pile segment stop driving elevation, pile tip elevation, average standard penetration test (SPT) value along the embedded length of pile, and average SPT blow counts at the tip of pile as input variables, whereas the ultimate load on pile top was considered as output variable. The dataset was divided into the training (70%) and testing (30%) parts for the construction and validation phases, respectively. Various error criteria, namely mean absolute error (MAE), root mean squared error (RMSE), and the coefficient of determination (R2) were used to evaluate the performance of RF and ANN algorithms. In addition, the predicted results of pile load tests were compared with five empirical equations derived from the literature and with classical multi-variable regression. The results showed that RF outperformed ANN and other methods. Sensitivity analysis was conducted to reveal that the average SPT value and pile tip elevation were the most important factors in predicting the axial bearing capacity of piles. Full article
(This article belongs to the Special Issue Soft Computing Techniques in Structural Engineering and Materials)
Show Figures

Figure 1

Back to TopTop