Sign in to use this feature.

Years

Between: -

Subjects

remove_circle_outline
remove_circle_outline
remove_circle_outline
remove_circle_outline
remove_circle_outline
remove_circle_outline
remove_circle_outline

Journals

Article Types

Countries / Regions

Search Results (12)

Search Parameters:
Keywords = tablet grinding

Order results
Result details
Results per page
Select all
Export citation of selected articles as:
14 pages, 2531 KB  
Article
Differentiating Resistance from Formulation Failure: Isoniazid Instability and Poor Dissolution in Crushed Multi-Drug Paediatric Preparations
by Halima Samsodien, Jana Winkler, Marique Aucamp and Anthony J. Garcia-Prats
Pharmaceutics 2026, 18(3), 389; https://doi.org/10.3390/pharmaceutics18030389 - 21 Mar 2026
Viewed by 340
Abstract
Background: Bedside manipulation of adult anti-tuberculosis tablets for paediatric dosing is common in low-resource settings, yet it can compromise drug stability. This study investigated how grinding and multi-drug co-suspension affect the supramolecular organisation, thermal stability, and dissolution of isoniazid (INH). Methods: INH [...] Read more.
Background: Bedside manipulation of adult anti-tuberculosis tablets for paediatric dosing is common in low-resource settings, yet it can compromise drug stability. This study investigated how grinding and multi-drug co-suspension affect the supramolecular organisation, thermal stability, and dissolution of isoniazid (INH). Methods: INH raw, INH branded tablets (whole and ground), and multi-drug combination mixtures (MCMs) that simulate paediatric multi-drug-resistant tuberculosis (MDR-TB) regimens were assessed. Samples were analysed as solids and aqueous suspensions using hot-stage microscopy (HSM), thermogravimetric analysis (TGA), differential scanning calorimetry (DSC), Raman spectroscopy, FTIR-ATR, USP dissolution, and HPLC (LOD 0.0015 mg mL−1; LOQ 0.005 mg mL−1). Results: Grinding and co-mixing lowered melting points and masked typical INH events. Spectroscopy revealed the broadening and shifting of OH/NH and pyridine-ring bands, consistent with the formation of new hydrogen-bonding networks, correlative with supramolecular rearrangements. In multi-drug suspensions, INH fell below the HPLC quantification limit in both pH 1.2 and 6.8 media, despite visible residue, suggesting the formation of non-dissociable supramolecular complexes. Using a validated HPLC assay, no quantifiable INH was detected from the crushed multi-drug suspensions in either pH 1.2 or pH 6.8, whereas intact API/tablets showed measurable release. Conclusions: Co-suspension of INH with companion tuberculosis (TB) drugs disrupts its supramolecular integrity, leading to pre-administration degradation and a loss of quantifiable drug. Dissolution testing showed minimal INH release at pH 1.2 and none at pH 6.8, contrasting with intact tablets/API. These observations highlight that converting an immediate-release tablet into an aqueous suspension fundamentally alters its physicochemical environment and requires rational formulation design to preserve molecular stability, differentiating true resistance from formulation failure. Full article
Show Figures

Figure 1

19 pages, 7923 KB  
Article
Light Transfer Properties of Densely Packed Hydroxyapatite Bioceramic Nanocrystallite Aggregates: Why Do These Substances Have an Extremely High Albedo?
by Dmitry A. Zimnyakov, Keleshek B. Zhangylyssov, Alexander V. Pivovarov, Sergey Ya. Pichkhidze, Roman A. Zdrajevsky, Dmitry A. Vereshagin, Temirulan T. Alibay, Guldari B. Bairbayeva, Yerkebulan G. Koshkinbayev and Dulat H. Daurenbekov
Ceramics 2025, 8(2), 36; https://doi.org/10.3390/ceramics8020036 - 11 Apr 2025
Viewed by 1264
Abstract
Radiation transfer in layers of densely packed aggregates of hydroxyapatite nanoparticles was studied for a spectral range from 300 to 1100 nm using diffuse reflectance measurements and the modeling of the light transfer properties of the layers. The studied samples of dispersed biogenic [...] Read more.
Radiation transfer in layers of densely packed aggregates of hydroxyapatite nanoparticles was studied for a spectral range from 300 to 1100 nm using diffuse reflectance measurements and the modeling of the light transfer properties of the layers. The studied samples of dispersed biogenic hydroxyapatite were obtained from animal bone material (bovine bones) using fast pyrolysis followed by grinding and pressing into tablets. A distinctive feature is the high reflectivity (high albedo) of the obtained samples, which is practically independent of the wavelength in the studied spectral range and comparable to the reflectivity of the diffuse reflectance standard based on Spectralon. The modeling of the light transfer properties of the studied samples within the framework of the effective medium theory (using coherent potential approximation) made it possible to establish the weak dependence of the mean scattering-free path and the mean transport-free path of light propagation in the medium on the wavelength, which is consistent with the features observed in the experiment. Possible prospects for the use of nanostructured hydroxyapatite as photonic material are discussed. Full article
Show Figures

Graphical abstract

22 pages, 7794 KB  
Article
Pimozide and Adipic Acid: A New Multicomponent Crystalline Entity for Improved Pharmaceutical Behavior
by Alessandra Buscarini, Michael J. Zaworotko, Catiúcia R. M. O. Matos, Fabrizia Grepioni, Laura Contini, Doretta Capsoni, Valeria Friuli, Lauretta Maggi and Giovanna Bruni
Molecules 2024, 29(23), 5610; https://doi.org/10.3390/molecules29235610 - 27 Nov 2024
Cited by 2 | Viewed by 2265
Abstract
Pimozide is a first-generation antipsychotic used in the treatment of schizophrenia, Gilles de la Tourette syndrome, and other chronic psychoses. Its in vivo efficacy is limited by poor solubility and consequent poor bioavailability. Therefore, adipic acid was used as a coformer for the [...] Read more.
Pimozide is a first-generation antipsychotic used in the treatment of schizophrenia, Gilles de la Tourette syndrome, and other chronic psychoses. Its in vivo efficacy is limited by poor solubility and consequent poor bioavailability. Therefore, adipic acid was used as a coformer for the preparation of a binary product with improved pharmaceutical properties. The thermal behavior of the liquid-assisted grinding products of compositions included in the range 0.1 < XPMZ < 0.9 has been interpreted using a thermo-dynamic model according to which the two components originate a new crystalline entity in molar ratio pimozide:adipic acid 0.66:0.33, which forms an eutectic system with adipic acid. The model was confirmed using the quantitative analysis of the melting peaks and using the X-ray diffraction measurements from powders and single crystals. In particular, the latter have demonstrated that the new entity resulting from the pimozide:adipic acid 0.66:0.33 composition is actually salt [PMZH]2[adipate]. The crystalline product was characterized, from a pharmaceutical perspective, in terms of solubility and wettability (contact angle). Then, a tablet formulation was developed, and its dissolution behavior was compared to a commercial product considered as a reference. The new entity showed improved pharmaceutical properties in terms of solubility and wettability compared to the pure drug in both deionized water and bio-relevant fluids simulating oral administration in fed and fasted conditions. The tablets containing the new crystalline form can make this virtually insoluble drug available for absorption within minutes regardless of the variability in gastric conditions. Full article
Show Figures

Figure 1

28 pages, 1446 KB  
Review
Formulation Strategies of Nanosuspensions for Various Administration Routes
by Sıla Gülbağ Pınar, Ayşe Nur Oktay, Alptuğ Eren Karaküçük and Nevin Çelebi
Pharmaceutics 2023, 15(5), 1520; https://doi.org/10.3390/pharmaceutics15051520 - 17 May 2023
Cited by 90 | Viewed by 12697
Abstract
Nanosuspensions (NSs), which are nanosized colloidal particle systems, have recently become one of the most interesting substances in nanopharmaceuticals. NSs have high commercial potential because they provide the enhanced solubility and dissolution of low-water-soluble drugs by means of their small particle sizes and [...] Read more.
Nanosuspensions (NSs), which are nanosized colloidal particle systems, have recently become one of the most interesting substances in nanopharmaceuticals. NSs have high commercial potential because they provide the enhanced solubility and dissolution of low-water-soluble drugs by means of their small particle sizes and large surface areas. In addition, they can alter the pharmacokinetics of the drug and, thus, improve its efficacy and safety. These advantages can be used to enhance the bioavailability of poorly soluble drugs in oral, dermal, parenteral, pulmonary, ocular, or nasal routes for systemic or local effects. Although NSs often consist mainly of pure drugs in aqueous media, they can also contain stabilizers, organic solvents, surfactants, co-surfactants, cryoprotectants, osmogents, and other components. The selection of stabilizer types, such as surfactants or/and polymers, and their ratio are the most critical factors in NS formulations. NSs can be prepared both with top-down methods (wet milling, dry milling, high-pressure homogenization, and co-grinding) and with bottom-up methods (anti-solvent precipitation, liquid emulsion, and sono-precipitation) by research laboratories and pharmaceutical professionals. Nowadays, techniques combining these two technologies are also frequently encountered. NSs can be presented to patients in liquid dosage forms, or post-production processes (freeze drying, spray drying, or spray freezing) can also be applied to transform the liquid state into the solid state for the preparation of different dosage forms such as powders, pellets, tablets, capsules, films, or gels. Thus, in the development of NS formulations, the components/amounts, preparation methods, process parameters/levels, administration routes, and dosage forms must be defined. Moreover, those factors that are the most effective for the intended use should be determined and optimized. This review discusses the effect of the formulation and process parameters on the properties of NSs and highlights the recent advances, novel strategies, and practical considerations relevant to the application of NSs to various administration routes. Full article
Show Figures

Figure 1

12 pages, 51717 KB  
Article
Mechanochemical Effect on Controlled Drug Release of Konjac Glucomannan Matrix Tablets during Dry Grinding
by Fuminori Okazaki, Yusuke Hattori, Tetsuo Sasaki and Makoto Otsuka
Gels 2022, 8(3), 181; https://doi.org/10.3390/gels8030181 - 15 Mar 2022
Cited by 6 | Viewed by 4003
Abstract
To design a controlled drug release preparation based on a safe natural material, a Konjac glucomannan (KGM) mixture containing 16.0 w/w% calcium hydroxide (Ca(OH)2) was ground in a planetary ball mill for 0–120 min. The mechanochemical effect on the physicochemical [...] Read more.
To design a controlled drug release preparation based on a safe natural material, a Konjac glucomannan (KGM) mixture containing 16.0 w/w% calcium hydroxide (Ca(OH)2) was ground in a planetary ball mill for 0–120 min. The mechanochemical effect on the physicochemical properties of the KGM ground product was investigated by Fourier-transform infrared spectroscopy (FT-IR), powder X-ray spectroscopy, scanning electron microscopy with energy-dispersive X-ray spectroscopy, and drug release testing. The FT-IR spectra of the ground KGM indicated that the deacetylation reaction of KGM was accelerated in the Ca(OH)2-containing sols by mechanochemical energy, and the degree of deacetylation of KGM was dependent on the grinding time. The time required for tablet disintegration of the KGM matrix tablets containing theophylline increased as the grinding time increased; therefore, drug release was sustained. The Higuchi plots of the matrix tablets obtained from KGM ground for 60–120 min exhibited good linearity because they maintained their gel matrix tablet shape during the release test. However, KGM tablets ground for 0–30 min exhibited nonlinear curves, which were caused by tablet disintegration. This suggests that drug release from the KGM matrix tablet can be freely controlled by the degree of mechanochemical treatment. Full article
Show Figures

Figure 1

14 pages, 260 KB  
Article
Performance of Tablet Splitters, Crushers, and Grinders in Relation to Personalised Medication with Tablets
by Herman J. Woerdenbag, J. Carolina Visser, Marlyn P. A. M. Leferink op Reinink, Roël R. van Orsoy, Anko C. Eissens, Paul Hagedoorn, Hilda Dijkstra, Derk P. Allersma, Shi W. Ng, Oscar S. N. M. Smeets and Henderik W. Frijlink
Pharmaceutics 2022, 14(2), 320; https://doi.org/10.3390/pharmaceutics14020320 - 28 Jan 2022
Cited by 17 | Viewed by 6856
Abstract
Swallowing problems and the required dose adaptations needed to obtain optimal pharmacotherapy may be a hurdle in the use of tablets in daily clinical practice. Tablet splitting, crushing, or grinding is often applied to personalise medication, especially for the elderly and children. In [...] Read more.
Swallowing problems and the required dose adaptations needed to obtain optimal pharmacotherapy may be a hurdle in the use of tablets in daily clinical practice. Tablet splitting, crushing, or grinding is often applied to personalise medication, especially for the elderly and children. In this study, the performance of different types of (commercially available) devices was studied. Included were splitters, screwcap crushers, manual grinders, and electric grinders. Unscored tablets without active ingredient were prepared, with a diameter of 9 and 13 mm and a hardness of 100–220 N. Tablets were split into two parts and the difference in weight was measured. The time needed to pulverise the tablets (crush time) was recorded. The residue remaining in the device (loss) was measured. The powder was sieved to obtain a particle fraction >600 µm and <600 µm. The median particle size and particle size distribution of the later fraction were determined using laser diffraction analysis. Splitting tablets into two equal parts appeared to be difficult with the devices tested. Most screwcap grinders yielded a coarse powder containing larger chunks. Manual and especially electric grinders produced a finer powder, making it suitable for administration via an enteral feeding tube as well as for use in individualised preparations such as capsules. In conclusion, for domestic and incidental use, a screwcap crusher may provide sufficient size reduction, while for the more demanding regular use in hospitals and nursing residences, a manual or electric grinder is preferred. Full article
15 pages, 2454 KB  
Article
Role of Cyclodextrins and Drug Solid State Properties on Flufenamic Acid Dissolution Performance from Tablets
by Francesca Maestrelli, Marzia Cirri, Enrico De Luca, Diletta Biagi and Paola Mura
Pharmaceutics 2022, 14(2), 284; https://doi.org/10.3390/pharmaceutics14020284 - 26 Jan 2022
Cited by 7 | Viewed by 3820
Abstract
Flufenamic acid (FFA) is a non-steroidal anti-inflammatory drug characterised by a low solubility and problems of variable dissolution rate and bio-inequivalence. Different FFA batches, obtained by different suppliers, showed different powder characteristics (particle size, shape and surface properties) that may affect its dissolution [...] Read more.
Flufenamic acid (FFA) is a non-steroidal anti-inflammatory drug characterised by a low solubility and problems of variable dissolution rate and bio-inequivalence. Different FFA batches, obtained by different suppliers, showed different powder characteristics (particle size, shape and surface properties) that may affect its dissolution behaviour from solid dosage forms. Aim of this work was the improvement of FFA solubility and dissolution rate by the use of cyclodextrins (CDs) and the obtainment of an effective tablet formulation by direct compression. Several CDs have been tested, both in solution and in solid state and several binary systems drug-CDs have been obtained with different techniques, with the scope to select the most effective system. Grinding technique with randomly methylated-β-cyclodextrin (RAMEB) was the only one that allowed the complete drug amorphization, together with the highest improvement in drug dissolution rate, and was then selected for tablets formulation. Conventional and immediate release tablets were obtained and fully characterised for technological properties. In both cases an improved and well reproducible drug dissolution performance was obtained, independently from the FFA supplier and thus no more affected by the differences observed between the original FFA crystalline samples. Full article
Show Figures

Figure 1

13 pages, 3725 KB  
Article
Preparation and Evaluation of a Powdered Rebamipide Mouthwash as In-Hospital Formulation: Considering Dispersion before Use in Patients
by Naoko Ishii, Senri Mizobuchi, Yayoi Kawano and Takehisa Hanawa
Pharmaceutics 2021, 13(11), 1848; https://doi.org/10.3390/pharmaceutics13111848 - 3 Nov 2021
Cited by 5 | Viewed by 2969
Abstract
In Japan, rebamipide (RB) mouthwash (RB-MW) for oral mucositis induced by cancer chemotherapy has been prepared using in-hospital formulation. Usually, RB-MW is prepared by dispersing crushed commercial RB tablets in the dispersion medium; however, uniformity is difficult to obtain due to low solubility. [...] Read more.
In Japan, rebamipide (RB) mouthwash (RB-MW) for oral mucositis induced by cancer chemotherapy has been prepared using in-hospital formulation. Usually, RB-MW is prepared by dispersing crushed commercial RB tablets in the dispersion medium; however, uniformity is difficult to obtain due to low solubility. The current study aims is to prepare homogenously dispersed formulations using the fine particles of crushed tablets by a method that is convenient for hospital use. Commercial RB tablets were pre-milled at different milling times as “RB-Ts”. A ground mixture was then prepared by co-grinding the RB-Ts with HPC-L or PVP K30 via a benchtop ball milling machine (MM400). The physicochemical properties of samples were evaluated for PXRD, FTIR, turbidity, particle size, and solubility. Although the milling of RB tablets decreased the crystallinity, the length of milling time did not affect them. In contrast, grinding using MM400 significantly decreased RB crystallinity; their PXRD patterns showed a halo, suggesting the amorphization of RB crystals by grinding. Although solubility and turbidity seemed to be affected by the type of polymer rather than the particle size, every ground mixture showed high dispersibility. Thus, grinding the RB-Ts with polymers appeared to be the most promising way to obtain stable dispersion as an in-hospital formulation. Full article
Show Figures

Figure 1

26 pages, 9025 KB  
Article
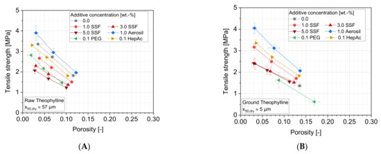
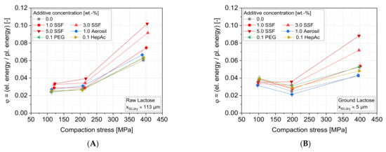
Opposing Effects of Additives in Dry Milling and Tableting of Organic Particles
by Lina Miethke, Paul Prziwara, Jan Henrik Finke and Sandra Breitung-Faes
Pharmaceutics 2021, 13(9), 1434; https://doi.org/10.3390/pharmaceutics13091434 - 9 Sep 2021
Cited by 4 | Viewed by 3249
Abstract
Applying additives and excipients during the dry processing of fine particles is a common measure to control the particle–particle interactions, to specifically influence the powder properties and to enhance the process efficiency or product quality. In this study, the impacts of a particulate [...] Read more.
Applying additives and excipients during the dry processing of fine particles is a common measure to control the particle–particle interactions, to specifically influence the powder properties and to enhance the process efficiency or product quality. In this study, the impacts of a particulate lubricant, a nano-disperse flow additive and liquid grinding aids on the dry fine milling and subsequent tableting of the ground material were investigated for three different organic model compounds. It is presented that the three additive classes cause varying and partly opposing effects during these process steps. Especially the lubricant and the grinding aids were shown to increase the efficiency of the milling process as well as the product fineness of the ground material, and to avoid critical product adhesions on the machine surfaces. Thereby, stable and efficient grinding conditions were partially not possible without the addition of such additives. However, as these positive effects are attributed to a reduction of the adhesive forces between the particles, much lower tablet strengths were achieved for these additives. This propagation of powder, and in turn, final product properties over whole process chains, has not been studied in detail so far. It was further revealed that the material behavior and the microstructure of the product particles is decisive for the processing as well, which is why additive effects may be product-specific and can even be suppressed under certain processing conditions. In comparison to the process performances, the powder properties and surface energies of the product particles were less influenced by the additives. On the contrary, particle-based morphologies or deformation behavior seem to play a major role in comparison to inorganic materials. Thus, it can be stated that global bulk properties and surface energies provide first indications of powder behavior and susceptibility. However, additional specific properties need to be evaluated to more clearly understand the influences of additives. Full article
(This article belongs to the Section Pharmaceutical Technology, Manufacturing and Devices)
Show Figures

Figure 1

12 pages, 2773 KB  
Article
Scaled-Up Production and Tableting of Grindable Electrospun Fibers Containing a Protein-Type Drug
by Panna Vass, Edit Hirsch, Rita Kóczián, Balázs Démuth, Attila Farkas, Csaba Fehér, Edina Szabó, Áron Németh, Sune K. Andersen, Tamás Vigh, Geert Verreck, István Csontos, György Marosi and Zsombor K. Nagy
Pharmaceutics 2019, 11(7), 329; https://doi.org/10.3390/pharmaceutics11070329 - 11 Jul 2019
Cited by 36 | Viewed by 4729
Abstract
The aims of this work were to develop a processable, electrospun formulation of a model biopharmaceutical drug, β-galactosidase, and to demonstrate that higher production rates of biopharmaceutical-containing fibers can be achieved by using high-speed electrospinning compared to traditional electrospinning techniques. An aqueous solution [...] Read more.
The aims of this work were to develop a processable, electrospun formulation of a model biopharmaceutical drug, β-galactosidase, and to demonstrate that higher production rates of biopharmaceutical-containing fibers can be achieved by using high-speed electrospinning compared to traditional electrospinning techniques. An aqueous solution of 7.6 w/w% polyvinyl alcohol, 0.6 w/w% polyethylene oxide, 9.9 w/w% mannitol, and 5.4 w/w% β-galactosidase was successfully electrospun with a 30 mL/h feeding rate, which is about 30 times higher than the feeding rate usually attained with single-needle electrospinning. According to X-ray diffraction measurements, polyvinyl alcohol, polyethylene oxide, and β-galactosidase were in an amorphous state in the fibers, whereas mannitol was crystalline (δ-polymorph). The presence of crystalline mannitol and the low water content enabled appropriate grinding of the fibrous sample without secondary drying. The ground powder was mixed with excipients commonly used during the preparation of pharmaceutical tablets and was successfully compressed into tablets. β-galactosidase remained stable during each of the processing steps (electrospinning, grinding, and tableting) and after one year of storage at room temperature in the tablets. The obtained results demonstrate that high-speed electrospinning is a viable alternative to traditional biopharmaceutical drying methods, especially for heat sensitive molecules, and tablet formulation is achievable from the electrospun material prepared this way. Full article
(This article belongs to the Special Issue Recent Development of Electrospinning for Drug Delivery)
Show Figures

Graphical abstract

17 pages, 2679 KB  
Article
Optimization of Silver Ion Release from Silver-Ceramic Porous Media for Household Level Water Purification
by Rekha Singh, Chloe Rento, Veronica Son, Sydney Turner and James A. Smith
Water 2019, 11(4), 816; https://doi.org/10.3390/w11040816 - 19 Apr 2019
Cited by 9 | Viewed by 8337
Abstract
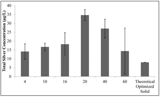
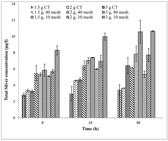
A novel method has been developed to produce zerovalent silver nanopatches in a porous ceramic tablet using only clay, sawdust, water, and silver nitrate as precursors. When placed in 10 L of water, the silver nanopatches (2 to 3 nm diameter per patch) [...] Read more.
A novel method has been developed to produce zerovalent silver nanopatches in a porous ceramic tablet using only clay, sawdust, water, and silver nitrate as precursors. When placed in 10 L of water, the silver nanopatches (2 to 3 nm diameter per patch) are gradually oxidized to produce silver ions, which diffuse out of the tablet into the bulk solution. The objective of this work is to optimize the silver-ceramic design to increase the rate of silver ion release from the tablet to further improve disinfection kinetics. To meet this objective, ceramic tablets were fabricated in different ways and tested for silver ion release into water over 8 to 24 h periods. Silver addition had an approximately linear effect on silver ion. Grinding the tablet into different particle sizes (4–60 mesh) had the most significant effect on silver release. However, if this ground fraction is compartmentalized into a fabric bag, silver levels produced in the water drop back to levels comparable to the single tablet form. Based on these results, 1 and 2 cm ceramic cubes were manufactured and represented a reasonable compromise between silver release and usability. Disinfection experiments on these silver-ceramic cubes resulted in effective disinfection of E. coli in laboratory experiments. Full article
(This article belongs to the Section Wastewater Treatment and Reuse)
Show Figures

Graphical abstract

9 pages, 892 KB  
Article
Optimization of Grinding Parameters for Minimum Grinding Time When Grinding Tablet Punches by CBN Wheel on CNC Milling Machine
by Ngoc-Pi Vu, Quoc-Tuan Nguyen, Thi-Hong Tran, Hong-Ky Le, Anh-Tuan Nguyen, Anh-Tung Luu, Van-Tung Nguyen and Xuan-Hung Le
Appl. Sci. 2019, 9(5), 957; https://doi.org/10.3390/app9050957 - 6 Mar 2019
Cited by 36 | Viewed by 5920
Abstract
Cutting regime parameters play an important role in determining the efficiency of the grinding process and the quality of the ground parts. In this study, the influences of the cutting parameters, including the cutting depth (ae), the feed rate (Fe [...] Read more.
Cutting regime parameters play an important role in determining the efficiency of the grinding process and the quality of the ground parts. In this study, the influences of the cutting parameters, including the cutting depth (ae), the feed rate (Fe) and the wheel speed (RPM) on the grinding time when grinding tablet shape punches by a cubic boron nitride (CBN) wheel on a CNC (Computerized Numerical Control) milling machine are investigated. The Taguchi technique based on orthogonal array and analysis of variance (ANOVA) was then applied to design the number of experiments and evaluate the influence of cutting depth, feed rate and wheel speed on the grinding time. The results show that among the three cutting parameters, the most influential parameter on the grinding time is the cutting depth. The second influential parameter on the grinding time is the feed rate. The least influential parameter on grinding time is the wheel speed. In addition, the optimal condition of cutting parameters obtained for grinding tablet shape punches by cubic boron nitride wheels on a CNC milling machine are a cutting depth of 0.03 mm, wheel speed of 5000 rpm and feed rate of 3500 mm/min. This optimum cutting parameters ensure the least grinding time. Full article
(This article belongs to the Section Mechanical Engineering)
Show Figures

Figure 1

Back to TopTop