Light Transfer Properties of Densely Packed Hydroxyapatite Bioceramic Nanocrystallite Aggregates: Why Do These Substances Have an Extremely High Albedo?
Abstract
1. Introduction
2. Materials and Methods
2.1. Synthesis and Characterization of HA Powders
2.2. Diffuse Reflectance Spectroscopy of the Prepared Samples
2.3. Modeling of the Light Transfer Properties of HA Layers Using an Effective Medium Approach
3. Results
3.1. Diffuse Reflectivity of HA Layers in near UV, Visible, and near IR Ranges
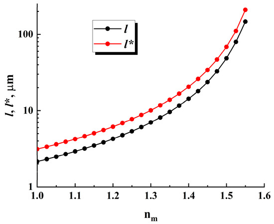
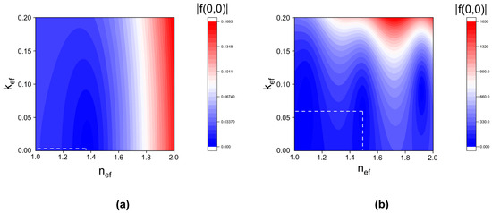
3.2. Model Data on the Light Transfer Properties of HA-Imitating Multiple Scattering Systems
4. Discussion
5. Conclusions
Author Contributions
Funding
Institutional Review Board Statement
Informed Consent Statement
Data Availability Statement
Conflicts of Interest
Abbreviations
| HA | Hydroxyapatite |
| ENT | Ear, nose, and throat |
| UV | Ultraviolet |
| IR | Infrared |
| SEM | Scanning electron microscopy |
| TEM | Transmission electron microscopy |
| FCC | Face-centered cubic [packing] |
| CCPA | Coated coherent potential approximation |
| SMFP, | Scattering mean-free path |
| Transport mean-free path | |
| USB | Universal serial bus |
| RTT | Radiative transfer theory |
| OCT | Optical coherence tomography |
| PTFE | Polytetrafluoroethylene |
| Average size of particles | |
| Layer thickness | |
| Wavelength of light | |
| Refractive index | |
| Absorption index | |
| Diffuse reflection coefficient | |
| Diffuse transmission coefficient | |
| Scattering anisotropy parameter | |
| Volume fraction of scattering particles | |
| Forward scattering amplitude | |
| Kubelka–Munk function | |
| Rubelka–Munk coefficient characterizing scattering | |
| Rubelka–Munk coefficient characterizing absorption | |
| Boundary reflectivity |
References
- Mysore, T.H.M.; Patil, A.Y.; Hegde, C.; Sudeept, M.A.; Kumar, R.; Soudagar, M.E.M.; Fattah, I.M.R. Apatite insights: From synthesis to biomedical applications. Eur. Polym. J. 2024, 209, 112842. [Google Scholar] [CrossRef]
- Du, M.; Chen, J.; Liu, K.; Xing, H.; Song, C. Recent advances in biomedical engineering of nano-hydroxyapatite including dentistry, cancer treatment and bone repair. Compos. Part B Eng. 2021, 215, 108790. [Google Scholar] [CrossRef]
- Zhang, C.; Shan, S.; Hu, T.; Wang, G.; Zhi, Y.; Su, H.; Jiang, L.; Ni, Y. Recent progress on biomedical applications of func-tionalized hollow hydroxyapatite microspheres. Ceram. Int. 2021, 47, 13552–13571. [Google Scholar] [CrossRef]
- Haider, A.; Haider, S.; Han, S.S.; Kang, I.-K. Recent advances in the synthesis, functionalization and biomedical applications of hydroxyapatite: A review. RSC Adv. 2017, 7, 7442–7458. [Google Scholar] [CrossRef]
- Hartati, Y.W.; Irkham, I.; Zulqaidah, S.; Syafira, R.S.; Kurnia, I.; Noviyanti, A.R.; Topkaya, S.N. Recent advances in hydroxyap-atite-based electrochemical biosensors: Applications and future perspectives. Sens. Bio-Sens. Res. 2022, 38, 100542. [Google Scholar]
- Nabipour, H.; Batool, S.; Hu, Y. Chemical surface modification of hydroxyapatite for biomedical application: A review. Emergent Mater. 2023, 6, 31–44. [Google Scholar] [CrossRef]
- Cacciotti, I. Cationic and Anionic Substitutions in Hydroxyapatite. In Handbook of Bioceramics and Biocomposites; Antoniac, I., Ed.; Springer: Berlin/Heidelberg, Germany, 2016; pp. 145–211. [Google Scholar]
- Iriarte-Velasco, U.; Ayastuy, J.L.; Bravo, R.; Boukha, Z.; Gutiérrez-Ortiz, M.A. Biogenic hydroxyapatite as novel catalytic support for Ni and Cu for the water–gas shift reaction. J. Mater. Sci. 2021, 56, 6745–6763. [Google Scholar] [CrossRef]
- Li, B.; Yuan, X.; Li, B.; Wang, X. Impact of pore structure on hydroxyapatite supported nickel catalysts (Ni/HAP) for dry re-forming of methane. Fuel Process. Technol. 2020, 202, 106359. [Google Scholar] [CrossRef]
- Nguyen, T.T.V.; Anh, N.P.; Ho, T.G.-T.; Pham, T.T.P.; Nguyen, P.H.D.; Do, B.L.; Huynh, H.K.P.; Nguyen, T. Hydroxyapatite Derived from Salmon Bone as Green Ecoefficient Support for Ceria-Doped Nickel Catalyst for CO2 Methanation. ACS Omega 2022, 7, 36623–36633. [Google Scholar] [CrossRef]
- Yook, H.; Hwang, J.; Yeo, W.; Bang, J.; Kim, J.; Kim, T.Y.; Choi, J.-S.; Han, J.W. Design Strategies for Hydroxyapatite-Based Materials to Enhance Their Catalytic Performance and Applicability. Adv. Mater. 2023, 35, 2204938. [Google Scholar] [CrossRef]
- Rocha, R.L.P.; Honorio, L.M.C.; Bezerra, R.D.S.; Trigueiro, P.; Duarte, T.M.; Fonseca, M.G.; Silva-Filho, E.C.; Osajima, J.A. Light-Activated Hydroxyapatite Photocatalysts: New Environmentally-Friendly Materials to Mitigate Pollutants. Minerals 2022, 12, 525. [Google Scholar] [CrossRef]
- Mohammed, E.; Tbib, B.; El-Hami, K. High photocatalytic activity of hydroxyapatite biodegradable semiconductor for solar panels and environment protection. In ISTE OpenScience; ISTE Ltd.: London, UK, 2017; pp. 1–7. [Google Scholar]
- Eswaran, M.; Swamiappan, S.; Chokkiah, B.; Dhanusuraman, R.; Bharathkumar, S.; Ponnusamy, V.K. A green and economi-cal approach to derive nanostructured hydroxyapatite from Garra mullya fish scale waste for biocompatible energy storage ap-plications. Mater. Lett. 2021, 302, 130341. [Google Scholar] [CrossRef]
- Selvam, S.; Yim, J.-H. High temperature-functioning ceramic-based ionic liquid electrolyte engraved planar HAp/PVP/MnO2@MnCO3 supercapacitors on carbon cloth. J. Mater. Chem. A 2021, 9, 14319–14330. [Google Scholar] [CrossRef]
- Lang, S.B.; Tofail, S.A.M.; Gandhi, A.A.; Gregor, M.; Wolf-Brandstetter, C.; Kost, J.; Bauer, S.; Krause, M. Pyroelectric, piezoe-lectric, and photoeffects in hydroxyapatite thin films on silicon. Appl. Phys. Lett. 2011, 98, 123703. [Google Scholar] [CrossRef]
- Sadetskaya, A.V.; Bobrysheva, N.P.; Osmolowsky, M.G.; Osmolovskaya, O.M.; Voznesenskiy, M.A. Correlative experimental and theoretical characterization of transition metal doped hydroxyapatite nanoparticles fabricated by hydrothermal method. Mater. Charact. 2021, 173, 110911. [Google Scholar] [CrossRef]
- Hadagalli, K.; Shenoy, S.; Shakya, K.R.; Tarafder, K.; Mandal, S.; Basu, B. Effect of Fe3+ substitution on the structural modification and band structure modulated UV absorption of hydroxyapatite. Int. J. Appl. Ceram. Technol. 2021, 18, 332–344. [Google Scholar] [CrossRef]
- Karbivskyy, V.; Kurgan, N.; Hantusch, M.; Romansky, A.; Sukhenko, I.; Karbivska, L. Design of the electronic structure and properties of calcium apatites via isomorphic modification of the cation sublattice, and prospects of their application. J. Appl. Phys. 2024, 135, 065102. [Google Scholar] [CrossRef]
- Firdaus Hussin, M.S.; Abdullah, H.Z.; Idris, M.I.; Abdul Wahap, M.A. Extraction of natural hydroxyapatite for biomedical applications—A review. Heliyon 2022, 8, 10356. [Google Scholar] [CrossRef]
- Pal, A.; Hadagalli, K.; Bhat, P.; Goel, V.; Mandal, S. Hydroxyapatite—A promising sunscreen filter. J. Aust. Ceram. Soc. 2020, 56, 345–351. [Google Scholar] [CrossRef]
- Holzmann, D.; Holzinger, D.; Hesser, G.; Schmidt, T.; Knör, G. Hydroxyapatite nanoparticles as novel low-refractive index additives for the long-term UV-photoprotection of transparent composite materials. J. Mater. Chem. 2009, 19, 8102–8106. [Google Scholar] [CrossRef]
- Avakyan, L.A.; Paramonova, E.V.; Coutinho, J.; Öberg, S.; Bystrov, V.; Bugaev, L.A. Optoelectronics and defect levels in hydroxyapatite by first-principles. J. Appl. Phys. 2018, 148, 154706. [Google Scholar] [CrossRef] [PubMed]
- Refractive Index Database. Available online: https://refractiveindex.info/ (accessed on 15 December 2024).
- Dexter, A.R.; Tanner, D.W. Packing Densities of Mixtures of Spheres with Log-normal Size Distributions. Nat. Phys. Sci. 1972, 238, 31–32. [Google Scholar] [CrossRef]
- ChemSrs. Available online: https://www.chemsrc.com/en/cas/1306-06-5_951432.html (accessed on 15 December 2024).
- Bohren, C.F.; Huffman, D.R. Absorption and Scattering of Light by Small Particles; John Wiley & Sons: New York, NY, USA, 1983. [Google Scholar]
- Ishimary, A. Wave Propagation and Scattering in Random Media; IEEE Press: New York, NY, USA; Oxford University Press: New York, NY, USA, 1997. [Google Scholar]
- Saini, S.K.; Nair, R.V. Selective-frequency-gap-induced negative anisotropic scattering in designer photonic structures with short-range order. Phys. Rev. A 2020, 102, 033529. [Google Scholar] [CrossRef]
- Zimnyakov, D.A.; Yuvchenko, S.A.; Sina, J.S.; Ushakova, O.V. Effect of the “inversion” of a scattering medium in layers of close-packed titanium dioxide nanoparticles. JETP Lett. 2013, 98, 326–330. [Google Scholar] [CrossRef]
- Zimnyakov, D.A.; Yuvchenko, S.A.; Isaeva, A.A.; Isaeva, E.A.; Ushakova, O.V. Anisotropy of light scattering by foamed liquids. Opt. Spectrosc. 2018, 125, 795–802. [Google Scholar] [CrossRef]
- Soukoulis, C.M.; Datta, S.; Economou, E.N. Propagation of classical waves in random media. Phys. Rev. B 1994, 49, 3800–3810. [Google Scholar] [CrossRef]
- Busch, K.; Soukoulis, C.M.; Economou, E.N. Transport and scattering mean free paths of classical waves. Phys. Rev. B 1994, 50, 93–98. [Google Scholar] [CrossRef]
- Busch, K.; Soukoulis, C.M. Transport properties of random media: A new effective medium theory. Phys. Rev. Lett. 1995, 75, 3442–3445. [Google Scholar] [CrossRef]
- Broyden, C.G. A class of methods for solving nonlinear simultaneous equations. Math. Comput. 1965, 19, 577–593. [Google Scholar] [CrossRef]
- Judd, B.D. Color in Business, Science, and Industry; John Wiley & Sons: New York, NY, USA, 1952. [Google Scholar]
- Yang, L.; Kruse, B. Revised Kubelka-Munk theory. I. Theory and application. J. Opt. Soc. Am. A 2004, 21, 1933–1941. [Google Scholar] [CrossRef]
- Kaplan, P.D.; Kao, M.H.; Yodh, A.G.; Pine, D.J. Geometric constraints for the design of diffusing-wave spectroscopy experiments. Appl. Opt. 1993, 32, 3828–3836. [Google Scholar] [CrossRef] [PubMed]
- Zhu, J.X.; Pine, D.J.; Weitz, D.A. Internal reflection of diffusive light in random media. Phys. Rev. A 1991, 44, 3948–3959. [Google Scholar] [CrossRef] [PubMed]
- Haberko, J.; Froufe-Pérez, L.S.; Scheffold, F. Transition from light diffusion to localization in three-dimensional amorphous dielectric networks near the band edge. Nat. Commun. 2020, 11, 4867. [Google Scholar] [CrossRef]
- Tuchin, V.V.; Zhu, D.; Genina, A.A. (Eds.) Handbook of Tissue Optical Clearing: New Prospects in Optical Imaging; Taylor & Francis Group LLC: Abingdon, UK; CRC Press: Boca Raton, FL, USA, 2022. [Google Scholar]
- Wiersma, D.S. The physics and applications of random lasers. Nat. Phys. 2008, 4, 359–367. [Google Scholar] [CrossRef]
- Zimnyakov, D.A.; Volchkov, S.S.; Kochubey, V.I.; Plekhanova, I.A.; Dorogov, A.F. Fluorescence amplification in laser-pumped random media: Fundamental limitations. J. Lumin. 2024, 272, 120667. [Google Scholar] [CrossRef]











Disclaimer/Publisher’s Note: The statements, opinions and data contained in all publications are solely those of the individual author(s) and contributor(s) and not of MDPI and/or the editor(s). MDPI and/or the editor(s) disclaim responsibility for any injury to people or property resulting from any ideas, methods, instructions or products referred to in the content. |
© 2025 by the authors. Licensee MDPI, Basel, Switzerland. This article is an open access article distributed under the terms and conditions of the Creative Commons Attribution (CC BY) license (https://creativecommons.org/licenses/by/4.0/).
Share and Cite
Zimnyakov, D.A.; Zhangylyssov, K.B.; Pivovarov, A.V.; Pichkhidze, S.Y.; Zdrajevsky, R.A.; Vereshagin, D.A.; Alibay, T.T.; Bairbayeva, G.B.; Koshkinbayev, Y.G.; Daurenbekov, D.H. Light Transfer Properties of Densely Packed Hydroxyapatite Bioceramic Nanocrystallite Aggregates: Why Do These Substances Have an Extremely High Albedo? Ceramics 2025, 8, 36. https://doi.org/10.3390/ceramics8020036
Zimnyakov DA, Zhangylyssov KB, Pivovarov AV, Pichkhidze SY, Zdrajevsky RA, Vereshagin DA, Alibay TT, Bairbayeva GB, Koshkinbayev YG, Daurenbekov DH. Light Transfer Properties of Densely Packed Hydroxyapatite Bioceramic Nanocrystallite Aggregates: Why Do These Substances Have an Extremely High Albedo? Ceramics. 2025; 8(2):36. https://doi.org/10.3390/ceramics8020036
Chicago/Turabian StyleZimnyakov, Dmitry A., Keleshek B. Zhangylyssov, Alexander V. Pivovarov, Sergey Ya. Pichkhidze, Roman A. Zdrajevsky, Dmitry A. Vereshagin, Temirulan T. Alibay, Guldari B. Bairbayeva, Yerkebulan G. Koshkinbayev, and Dulat H. Daurenbekov. 2025. "Light Transfer Properties of Densely Packed Hydroxyapatite Bioceramic Nanocrystallite Aggregates: Why Do These Substances Have an Extremely High Albedo?" Ceramics 8, no. 2: 36. https://doi.org/10.3390/ceramics8020036
APA StyleZimnyakov, D. A., Zhangylyssov, K. B., Pivovarov, A. V., Pichkhidze, S. Y., Zdrajevsky, R. A., Vereshagin, D. A., Alibay, T. T., Bairbayeva, G. B., Koshkinbayev, Y. G., & Daurenbekov, D. H. (2025). Light Transfer Properties of Densely Packed Hydroxyapatite Bioceramic Nanocrystallite Aggregates: Why Do These Substances Have an Extremely High Albedo? Ceramics, 8(2), 36. https://doi.org/10.3390/ceramics8020036

