Sign in to use this feature.

Years

Between: -

Subjects

remove_circle_outline
remove_circle_outline
remove_circle_outline
remove_circle_outline
remove_circle_outline
remove_circle_outline

Journals

Article Types

Countries / Regions

Search Results (10)

Search Parameters:
Keywords = sweep-ejection dynamics

Order results
Result details
Results per page
Select all
Export citation of selected articles as:
19 pages, 10034 KB  
Article
Probability Distribution Functions of Velocity Fluctuations and Quadrant Analysis on Turbulent Flow Around a Horizontal Cylinder Across a Channel Bed
by Sandeep Kumar, Bimlesh Kumar, Jaan H. Pu and Prashanth Reddy Hanmaiahgari
Water 2025, 17(7), 958; https://doi.org/10.3390/w17070958 - 25 Mar 2025
Viewed by 1279
Abstract
An experiment is conducted to investigate the turbulent flow field close to a wall-fastened horizontal cylinder. The evolution of the flow field is analyzed by evaluating turbulent flow characteristics and fluid dynamics along the lengthwise direction. The approach flow velocity retards in the [...] Read more.
An experiment is conducted to investigate the turbulent flow field close to a wall-fastened horizontal cylinder. The evolution of the flow field is analyzed by evaluating turbulent flow characteristics and fluid dynamics along the lengthwise direction. The approach flow velocity retards in the immediate upstream area of the cylinder. At the crest level of the cylindrical pipe, the turbulence characteristics such as Reynolds stresses and turbulence intensities are attaining their peaks. Gram–Charlier (GC) series-based Hermite polynomials yield probability density functions that better match experimental data than those from Gram–Charlier (GC) series-based exponential distributions, demonstrating the superiority of the Hermite polynomial method. Quadrant analysis reveals that sweeps (Q4) dominate intermediate and free-surface zones, while ejections (Q2) prevail near the bed, both being primary contributors to Reynolds shear stress (RSS). The stress component remains minimal or zero for all events when hole size Hsix. Larger hole sizes (≥five) drastically reduced the stress fraction, approaching zero. The stress fraction was highest near the cylinder, decreasing with distance and eventually plateauing. The study enhances the understanding of flow hydraulics around cylindrical objects in rough-bed natural streams. Full article
(This article belongs to the Special Issue Advances in Hydraulic and Water Resources Research (3rd Edition))
Show Figures

Figure 1

21 pages, 5031 KB  
Article
Influence of Large Eddy Generation Mechanisms on the Turbulent Flux Transport in the Unstable Atmosphere Boundary Layer
by Ye Wang, Changxing Lan, Dan Zheng, Lei Li and Baomin Wang
Atmosphere 2024, 15(11), 1266; https://doi.org/10.3390/atmos15111266 - 22 Oct 2024
Viewed by 1415
Abstract
The turbulent transport dissimilarity between momentum and scalars and the transport similarity among scalars have been widely investigated in unstable atmospheric boundary layers (ABLs). Although buoyancy and mechanically driven turbulence, along with variations in scalar sources and sinks, are recognized as key factors [...] Read more.
The turbulent transport dissimilarity between momentum and scalars and the transport similarity among scalars have been widely investigated in unstable atmospheric boundary layers (ABLs). Although buoyancy and mechanically driven turbulence, along with variations in scalar sources and sinks, are recognized as key factors influencing transport similarity, the specific roles of local thermal plume-generated and nonlocal bulk shear-generated large eddies under varying stability conditions are less explored. This study utilized over four years of eddy covariance data sampled 50 m above a complex suburban canopy to characterize the influence of buoyancy and wind shear on flux transport similarity in an unstable ABL. The time threshold τ method was applied to detect large coherent events, with wind shear enhancing their intensity, while buoyancy primarily affected the ejection–sweep asymmetry of scalars. The dynamics between buoyancy and wind shear were analyzed through separate momentum, heat, and joint transport events. The results show that strong wind shear enhances nonlocal large eddies, reducing momentum–heat transport similarity, whereas strong buoyancy supports localized turbulence. As stability varies, the shift between nonlocal and local eddies alters the trends in co-transport duration and intensity, revealing distinct patterns in the water vapor intensity from that of the sensible heat owing to local sources and sinks. Full article
(This article belongs to the Section Meteorology)
Show Figures

Figure 1

15 pages, 2660 KB  
Article
Turbulent Boundary Layer Control with Multi-Scale Riblet Design
by Md. Rafsan Zani, Nir Saar Maor, Dhanush Bhamitipadi Suresh and Yaqing Jin
Energies 2024, 17(15), 3827; https://doi.org/10.3390/en17153827 - 2 Aug 2024
Cited by 4 | Viewed by 2724
Abstract
Motivated by the saturation of drag reduction effectiveness at high non-dimensional riblet spacing in turbulent boundary layer flows, this study seeks to investigate the influence of a secondary blade riblet structure on flow statistics and friction drag reduction effectiveness in comparison to the [...] Read more.
Motivated by the saturation of drag reduction effectiveness at high non-dimensional riblet spacing in turbulent boundary layer flows, this study seeks to investigate the influence of a secondary blade riblet structure on flow statistics and friction drag reduction effectiveness in comparison to the widely explored single-scale blade riblet surface. The turbulent flow dynamics and drag reduction performance over single- and multi-scale blade riblet surfaces were experimentally examined in a flow visualization channel across various non-dimensional riblet spacings. The shear velocity was quantified by the streamwise velocity distributions from the logarithmic layer via planar Particle Image Velocimetry (PIV) measurements, whereas the near-wall flow dynamics were characterized by a Micro Particle Image Velocimetry (micro-PIV) system. The results highlighted that although both riblet surfaces exhibited similar drag reduction performances at low non-dimensional riblet spacings, the presence of a secondary riblet blade structure can effectively extend the drag reduction region with the non-dimensional riblet spacing up to 32 and achieve approximately 10% lower friction drag in comparison to the single-scale riblet surface when the non-dimensional riblet spacing increases to 44.2. The average number of uniform momentum zones (UMZs) on the multi-scaled blade riblet has also reduced by 9% compared to the single-scaled riblet which indicates the reduction of strong shear layers within a turbulent boundary layer. The inspection of near-wall flow statistics demonstrated that at high non-dimensional riblet spacings, the multi-scale riblet surface produces reduced wall-normal velocity fluctuations and Reynolds shear stresses. Quadrant analysis revealed that this design allows for the suppression of both the sweep and ejection events. This experimental result demonstrated that surfaces with spanwise variations of riblet heights have the potential to maintain drag reduction effectiveness across a wider range of flow speeds. Full article
(This article belongs to the Special Issue Computational and Experimental Fluid Dynamics for Wind Energy)
Show Figures

Figure 1

23 pages, 5035 KB  
Article
Coherent Flow Structures Linked to the Impulse Criterion for Incipient Motion of Coarse Sediment
by Khaldoon AlObaidi and Manousos Valyrakis
Appl. Sci. 2023, 13(19), 10656; https://doi.org/10.3390/app131910656 - 25 Sep 2023
Cited by 3 | Viewed by 1732
Abstract
Incipient motion has been a topic of investigation by researchers, engineers and scientists for more than a century. The main approach for studying sediment entrainment has been the static approach that uses temporal and spatial averaged flow parameters like bed shear stress and [...] Read more.
Incipient motion has been a topic of investigation by researchers, engineers and scientists for more than a century. The main approach for studying sediment entrainment has been the static approach that uses temporal and spatial averaged flow parameters like bed shear stress and stream power to link them indirectly to sediment entrainment. Recent research outputs have shed light on the important role of turbulent fluctuations in the sediment transport process. It is suggested that the approach of using temporal and spatial averaged parameters fails to account for the dynamic and probabilistic nature of the entrainment process, as inherited by flow turbulence. This has led to the introduction of the only dynamic criteria in the literature for studying sediment entrainment, namely the impulse and energy criteria. These criteria take into account both the magnitude and duration of the turbulent flow event used for assessing the conditions that can result in sediment entrainment. In light of this, this work aims to assess whether there is a trend in terms of the type of flow structures that occur in sequence before and after the occurrences of the flow impulses that have resulted in the coarse particle’s entrainment. To achieve this, we conducted a well-controlled laboratory experiment to investigate the incipient motion of a 7 cm diameter instrumented particle. Five runs of the experiment were performed at flowrates close to the threshold of motion. The instrumented particle was equipped with micro-electro-mechanical sensors (MEMS) to accurately measure its inertial dynamics and detect motion. The sensors recorded entrainment events, and these events were stochastically linked to the impulses occurring for the tested flow conditions. Quadrant analysis was used to investigate the type of flow structures that occurred before, during and after the occurrence of quadrant events with an impulse above the critical impulse. The findings herein associate coarse particle entrainments with energetic impulses linked primarily to sweep events (Q4) and secondarily, sequence of sweeps (Q4) and ejections (Q1). Full article
(This article belongs to the Special Issue Sediment Transport)
Show Figures

Figure 1

24 pages, 7241 KB  
Article
Turbulent Momentum Flux Behavior above a Fire Front in an Open-Canopied Forest
by Warren E. Heilman, Kenneth L. Clark, Xindi Bian, Joseph J. Charney, Shiyuan Zhong, Nicholas S. Skowronski, Michael R. Gallagher and Matthew Patterson
Atmosphere 2021, 12(8), 956; https://doi.org/10.3390/atmos12080956 - 24 Jul 2021
Cited by 11 | Viewed by 2665
Abstract
Atmospheric turbulent circulations in the vicinity of wildland fire fronts play an important role in the transfer of momentum into and out of combustion zones, which in turn can potentially affect the behavior and spread of wildland fires. The vertical turbulent transfer of [...] Read more.
Atmospheric turbulent circulations in the vicinity of wildland fire fronts play an important role in the transfer of momentum into and out of combustion zones, which in turn can potentially affect the behavior and spread of wildland fires. The vertical turbulent transfer of momentum is accomplished via individual sweep, ejection, outward interaction, and inward interaction events, collectively known as sweep-ejection dynamics. This study examined the sweep-ejection dynamics that occurred before, during, and after the passage of a surface fire front during a prescribed fire experiment conducted in an open-canopied forest in the New Jersey Pine Barrens. High-frequency (10 Hz), tower-based, sonic anemometer measurements of horizontal and vertical wind velocity components in the vicinity of the fire front were used to assess the relative frequencies of occurrence of the different types of momentum-flux events, their contributions to the overall momentum fluxes, and their periodicity patterns. The observational results suggest that the presence of surface fire fronts in open-canopied forests can substantially change the sweep-ejection dynamics that typically occur when fires are not present. In particular, sweep events resulting in the downward transport of high horizontal momentum air from above were found to be more prominent during fire-front-passage periods. Full article
(This article belongs to the Section Biometeorology and Bioclimatology)
Show Figures

Figure 1

14 pages, 1818 KB  
Article
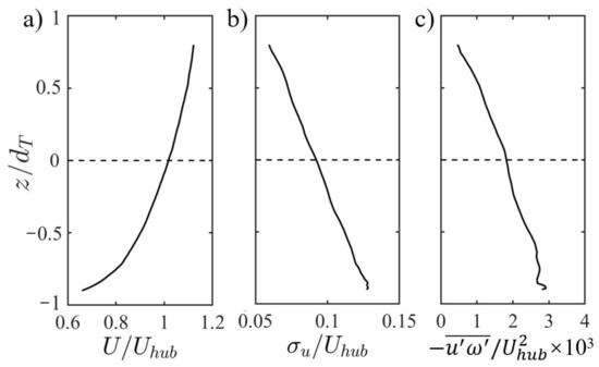
Impact of Topographic Steps in the Wake and Power of a Wind Turbine: Part A—Statistics
by Buen Zhang, Shyuan Cheng, Fanghan Lu, Yuan Zheng and Leonardo P. Chamorro
Energies 2020, 13(23), 6411; https://doi.org/10.3390/en13236411 - 4 Dec 2020
Cited by 6 | Viewed by 2461
Abstract
We experimentally explored the modulation of various forward- and backward-facing topographic steps on the wake and power output of a wind turbine model. The sharp surface changes located in the vicinity of the turbine tower consisted of steps [...] Read more.
We experimentally explored the modulation of various forward- and backward-facing topographic steps on the wake and power output of a wind turbine model. The sharp surface changes located in the vicinity of the turbine tower consisted of steps Δz0/dT=0.64, −0.42, −0.21, 0, 0.21, and 0.42, where Δz0 is the level difference between the upwind and downwind sides of the step and dT is the turbine diameter. Particle image velocimetry was used to obtain the wake statistics in the wake within the streamwise distance x/dT[2, 5] and vertical span z/dT[0.7, 0.7], where the origin is set at the rotor hub. Complementary single-point hotwire measurements were obtained in the wake along the rotor axis every Δx/dT=1 within x/dT[1, 8]. Mean power output and its fluctuations were obtained for each of the six scenarios. The results indicate strong modulation of the steps in the wake statistics and some effect on the power output. Remarkably, the backward-facing steps induced a larger velocity deficit in the wake with respect to the base case with substantial wake deflection. In contrast, the forward-facing steps exhibited a much lower velocity deficit and negligible wake deflection. The mean flow and velocity gradients’ changes promoted distinct turbulence dynamics and, consequently, associated levels. In particular, turbulence intensity and kinematic Reynolds shear stress were enhanced and reduced with the backward- and forward-facing steps, respectively. It is worth pointing out the particular effect of the steps on the transport of the turbulence kinetic energy TKE. Ejections were predominant around the top tip, whereas sweeps dominated around the turbine hub height. The magnitude of these quantities was sensitive to the step height. In particular, a much weaker sweep occurred in the forward-facing steps; in addition, the flat terrain and the backward-facing step cases shared strong sweeps. Full article
(This article belongs to the Section A3: Wind, Wave and Tidal Energy)
Show Figures

Figure 1

17 pages, 2182 KB  
Review
A Review on Hydrodynamics of Free Surface Flows in Emergent Vegetated Channels
by Soumen Maji, Prashanth Reddy Hanmaiahgari, Ram Balachandar, Jaan H. Pu, Ana M. Ricardo and Rui M.L. Ferreira
Water 2020, 12(4), 1218; https://doi.org/10.3390/w12041218 - 24 Apr 2020
Cited by 40 | Viewed by 8234
Abstract
This review paper addresses the structure of the mean flow and key turbulence quantities in free-surface flows with emergent vegetation. Emergent vegetation in open channel flow affects turbulence, flow patterns, flow resistance, sediment transport, and morphological changes. The last 15 years have witnessed [...] Read more.
This review paper addresses the structure of the mean flow and key turbulence quantities in free-surface flows with emergent vegetation. Emergent vegetation in open channel flow affects turbulence, flow patterns, flow resistance, sediment transport, and morphological changes. The last 15 years have witnessed significant advances in field, laboratory, and numerical investigations of turbulent flows within reaches of different types of emergent vegetation, such as rigid stems, flexible stems, with foliage or without foliage, and combinations of these. The influence of stem diameter, volume fraction, frontal area of stems, staggered and non-staggered arrangements of stems, and arrangement of stems in patches on mean flow and turbulence has been quantified in different research contexts using different instrumentation and numerical strategies. In this paper, a summary of key findings on emergent vegetation flows is offered, with particular emphasis on: (1) vertical structure of flow field, (2) velocity distribution, 2nd order moments, and distribution of turbulent kinetic energy (TKE) in horizontal plane, (3) horizontal structures which includes wake and shear flows and, (4) drag effect of emergent vegetation on the flow. It can be concluded that the drag coefficient of an emergent vegetation patch is proportional to the solid volume fraction and average drag of an individual vegetation stem is a linear function of the stem Reynolds number. The distribution of TKE in a horizontal plane demonstrates that the production of TKE is mostly associated with vortex shedding from individual stems. Production and dissipation of TKE are not in equilibrium, resulting in strong fluxes of TKE directed outward the near wake of each stem. In addition to Kelvin–Helmholtz and von Kármán vortices, the ejections and sweeps have profound influence on sediment dynamics in the emergent vegetated flows. Full article
Show Figures

Figure 1

9 pages, 1479 KB  
Article
Rapidly Pulsed Pumping Accelerates Remediation in A Vertical Circulation Well Model
by David M. Kahler and Zbigniew J. Kabala
Water 2018, 10(10), 1423; https://doi.org/10.3390/w10101423 - 11 Oct 2018
Cited by 15 | Viewed by 4934
Abstract
One factor that slows groundwater remediation is the sequestration of contaminant in dead-end pores, that is, pores that are not flushed through by flow through the aquifer. Furthermore, rebound of apparently remediated aquifers can occur as a result of the eventual release of [...] Read more.
One factor that slows groundwater remediation is the sequestration of contaminant in dead-end pores, that is, pores that are not flushed through by flow through the aquifer. Furthermore, rebound of apparently remediated aquifers can occur as a result of the eventual release of the contaminant trapped in these dead-end pores. Since the operational costs generally outweigh the capital costs of a remediation project, reduction of the duration of treatment should reduce the overall cost of the average remediation. It has been shown that a rapidly pulsed flow can increase the mixing between dead-end and well-connected pores through computational fluid dynamics models with idealized pore geometry and column tests. A rapidly pulsed flow induces a deep sweep upon a sudden increase in velocity and a vortex ejection upon a sudden decrease in velocity that substantially accelerates the remediation of contaminant from these dead-end pores. To examine rapidly pulsed pumping in a more realistic configuration, a model vertical circulation well was constructed. The porous medium was well-sorted crushed glass to minimize sorption. Removal of a fluorescent dye, which represents a dissolved contaminant, under a rapidly pulsed flow was compared to a steady flow. The modeled well revealed accelerated removal of dissolved contaminants under a rapidly pulsed flow. Full article
(This article belongs to the Section Hydrology)
Show Figures

Figure 1

27 pages, 9624 KB  
Article
On Street-Canyon Flow Dynamics: Advanced Validation of LES by Time-Resolved PIV
by Radka Kellnerová, Vladimír Fuka, Václav Uruba, Klára Jurčáková, Štěpán Nosek, Hana Chaloupecká and Zbyněk Jaňour
Atmosphere 2018, 9(5), 161; https://doi.org/10.3390/atmos9050161 - 25 Apr 2018
Cited by 14 | Viewed by 5807
Abstract
The advanced statistical techniques for qualitative and quantitative validation of Large Eddy Simulation (LES) of turbulent flow within and above a two-dimensional street canyon are presented. Time-resolved data from 3D LES are compared with those obtained from time-resolved 2D Particle Image Velocimetry (PIV) [...] Read more.
The advanced statistical techniques for qualitative and quantitative validation of Large Eddy Simulation (LES) of turbulent flow within and above a two-dimensional street canyon are presented. Time-resolved data from 3D LES are compared with those obtained from time-resolved 2D Particle Image Velocimetry (PIV) measurements. We have extended a standard validation approach based solely on time-mean statistics by a novel approach based on analyses of the intermittent flow dynamics. While the standard Hit rate validation metric indicates not so good agreement between compared values of both the streamwise and vertical velocity within the canyon canopy, the Fourier, quadrant and Proper Orthogonal Decomposition (POD) analyses demonstrate very good LES prediction of highly energetic and characteristic features in the flow. Using the quadrant analysis, we demonstrated similarity between the model and the experiment with respect to the typical shape of intensive sweep and ejection events and their frequency of appearance. These findings indicate that although the mean values predicted by the LES do not meet the criteria of all the standard validation metrics, the dominant coherent structures are simulated well. Full article
(This article belongs to the Special Issue Recent Advances in Urban Ventilation Assessment and Flow Modelling)
Show Figures

Figure 1

19 pages, 12093 KB  
Article
Direct Numerical Simulation of Turbulent Channel Flow on High-Performance GPU Computing System
by Giancarlo Alfonsi, Stefania A. Ciliberti, Marco Mancini and Leonardo Primavera
Computation 2016, 4(1), 13; https://doi.org/10.3390/computation4010013 - 26 Feb 2016
Cited by 11 | Viewed by 11012
Abstract
The flow of a viscous fluid in a plane channel is simulated numerically following the DNS approach, and using a computational code for the numerical integration of the Navier-Stokes equations implemented on a hybrid CPU/GPU computing architecture (for the meaning of symbols and [...] Read more.
The flow of a viscous fluid in a plane channel is simulated numerically following the DNS approach, and using a computational code for the numerical integration of the Navier-Stokes equations implemented on a hybrid CPU/GPU computing architecture (for the meaning of symbols and acronyms used, one can refer to the Nomenclature). Three turbulent-flow databases, each representing the turbulent statistically-steady state of the flow at three different values of the Reynolds number, are built up, and a number of statistical moments of the fluctuating velocity field are computed. For turbulent-flow-structure investigation, the vortex-detection technique of the imaginary part of the complex eigenvalue pair in the velocity-gradient tensor is applied to the fluctuating-velocity fields. As a result, and among other types, hairpin vortical structures are unveiled. The processes of evolution that characterize the hairpin vortices in the near-wall region of the turbulent channel are investigated, in particular at one of the three Reynolds numbers tested, with specific attention given to the relationship that exists between the dynamics of the vortical structures and the occurrence of ejection and sweep quadrant events. Interestingly, it is found that the latter events play a preminent role in the way in which the morphological evolution of a hairpin vortex develops over time, as related in particular to the establishment of symmetric and persistent hairpins. The present results have been obtained from a database that incorporates genuine DNS solutions of the Navier-Stokes equations, without superposition of any synthetic structures in the form of initial and/or boundary conditions for the simulations. Full article
(This article belongs to the Section Computational Engineering)
Show Figures

Graphical abstract

Back to TopTop