Sign in to use this feature.

Years

Between: -

Subjects

remove_circle_outline
remove_circle_outline
remove_circle_outline
remove_circle_outline
remove_circle_outline
remove_circle_outline
remove_circle_outline

Journals

Article Types

Countries / Regions

Search Results (29)

Search Parameters:
Keywords = supertall building

Order results
Result details
Results per page
Select all
Export citation of selected articles as:
18 pages, 3740 KB  
Article
Study on the Strength and Mechanism Analysis of Coarse Aggregate Reactive Powder Concrete
by Xiuhong Hao, Haichuan Jia, Guangyao Ding, Xianxian Kong and Xianghe Meng
Buildings 2025, 15(13), 2327; https://doi.org/10.3390/buildings15132327 - 2 Jul 2025
Viewed by 884
Abstract
The demand for super-tall buildings and long-span bridges has driven concrete development toward higher strength and durability. Therefore, this study investigated the impact of composition of materials (aggregates, admixtures, and steel fibers) on the mechanical performance and economic feasibility of coarse aggregate reactive [...] Read more.
The demand for super-tall buildings and long-span bridges has driven concrete development toward higher strength and durability. Therefore, this study investigated the impact of composition of materials (aggregates, admixtures, and steel fibers) on the mechanical performance and economic feasibility of coarse aggregate reactive powder concrete (CA-RPC). The goal is to identify optimal combinations for both performance and cost. Scanning electron microscopy (SEM) and pore structure analysis were used to assess microstructural characteristics. The results demonstrated that replacing quartz sand with yellow sand as the fine aggregate in CA-RPC effectively reduced construction costs without compromising compressive strength. The use of basalt as the coarse aggregate led to higher mechanical strength compared to limestone. Incorporating 20% fly ash reduced the 7-day compressive strength, while the 28-day strength remained unaffected. The addition of 10% silica fume showed no obvious effect on the early strength but significantly improved the 28-day strength and workability of the concrete. Moreover, the incorporation of steel fibers improved the flexural strength and structural integrity of CA-RPC, shifting the failure mode from brittle fracture to a more ductile cracking behavior. SEM observations and pore structure analyses revealed that the admixtures altered the hydration products and pore distribution, thereby affecting the mechanical performance. This study provides valuable insights into the strength development and underlying mechanisms of CA-RPC, offering a theoretical basis for its practical application in bridge deck pavement and tunnels. Full article
(This article belongs to the Section Building Materials, and Repair & Renovation)
Show Figures

Figure 1

32 pages, 58845 KB  
Article
Using New York City’s Geographic Data in an Innovative Application of Generative Adversarial Networks (GANs) to Produce Cooling Comparisons of Urban Design
by Yuanyuan Li, Lina Zhao, Hao Zheng and Xiaozhou Yang
Land 2025, 14(7), 1393; https://doi.org/10.3390/land14071393 - 2 Jul 2025
Cited by 1 | Viewed by 1250
Abstract
Urban blue–green space (UBGS) plays a critical role in mitigating the urban heat island (UHI) effect and reducing land surface temperatures (LSTs). However, existing research has not sufficiently explored the optimization of UBGS spatial configurations or their interactions with urban morphology. This study [...] Read more.
Urban blue–green space (UBGS) plays a critical role in mitigating the urban heat island (UHI) effect and reducing land surface temperatures (LSTs). However, existing research has not sufficiently explored the optimization of UBGS spatial configurations or their interactions with urban morphology. This study takes New York City as a case and systematically investigates small-scale urban cooling strategies by integrating multiple factors, including adjustments to the blue–green ratio, spatial layouts, vegetation composition, building density, building height, and layout typologies. We utilize multi-source geographic data, including LiDAR derived land cover, OpenStreetMap data, and building footprint data, together with LST data retrieved from Landsat imagery, to develop a prediction model based on generative adversarial networks (GANs). This model can rapidly generate visual LST predictions under various configuration scenarios. This study employs a combination of qualitative and quantitative metrics to evaluate the performance of different model stages, selecting the most accurate model as the final experimental framework. Furthermore, the experimental design strictly controls the study area and pixel allocation, combining manual and automated methods to ensure the comparability of different ratio configurations. The main findings indicate that a blue–green ratio of 3:7 maximizes cooling efficiency; a shrub-to-tree coverage ratio of 2:8 performs best, with tree-dominated configurations outperforming shrub-dominated ones; concentrated linear layouts achieve up to a 10.01% cooling effect; and taller buildings exhibit significantly stronger UBGS cooling performance, with super-tall areas achieving cooling effects approximately 31 percentage points higher than low-rise areas. Courtyard layouts enhance airflow and synergistic cooling effects, whereas compact designs limit the cooling potential of UBGS. This study proposes an innovative application of GANs to address a key research gap in the quantitative optimization of UBGS configurations and provides a methodological reference for sustainable microclimate planning at the neighborhood scale. Full article
Show Figures

Figure 1

17 pages, 4570 KB  
Article
A Field-Based Measurement and Analysis of Wind-Generated Vibration Responses in a Super-Tall Building During Typhoon “Rumbia”
by Yan Ding, Li Lin, Guilin Xie, Xu Wang and Peng Zhao
Buildings 2025, 15(9), 1448; https://doi.org/10.3390/buildings15091448 - 24 Apr 2025
Viewed by 615
Abstract
The accuracy of identifying dynamic characteristics of super-tall buildings under typhoon conditions, as well as their correlation with the vibration amplitude, remains unclear, limiting the effective assessment of the structural performance and optimization of wind-resistant designs. To address this issue, the measured wind-generated [...] Read more.
The accuracy of identifying dynamic characteristics of super-tall buildings under typhoon conditions, as well as their correlation with the vibration amplitude, remains unclear, limiting the effective assessment of the structural performance and optimization of wind-resistant designs. To address this issue, the measured wind-generated vibration responses of Shanghai World Finance Center during the passage of Typhoon “Rumbia” were derived using data obtained from the health monitoring system of a super-tall building in Shanghai. The first and second inherent frequencies, as well as the damping ratio of the structure, were ascertained through the employment of the curve method and the standard deviation method. Based on this, a comparison and analysis were carried out regarding the variation patterns of the first and second inherent frequencies and the damping ratio with reference to the vibration amplitude. Vibration modes were identified using frequency domain analysis. The results of the natural frequency identification were compared to those from the Peak Picking method to see how well the curve method and the standard deviation method worked at finding modal parameters. Ultimately, an assessment of the super-tall building’s performance during the impact of the typhoon was conducted. The results demonstrate that the curve method and the standard deviation method can accurately identify the inherent frequency and damping ratio of the structure, with the curve method revealing a more pronounced regularity of the modal parameters. For the structure, in the horizontal and longitudinal directions, the first and second inherent frequencies exhibit a negative correlation with amplitude, while the damping ratio shows a positive correlation with amplitude. Moreover, as the floor level rises, the vibration modes in both directions of the structure steadily increase. During the impact of Typhoon “Rumbia”, the building’s performance complied with the requirements set by comfort standards. These analytical results not only provide valuable references for the wind-resistant design and vibration control of super-tall buildings but also offer critical support for condition assessment and damage identification within structural health monitoring systems. Full article
(This article belongs to the Section Building Structures)
Show Figures

Figure 1

23 pages, 12327 KB  
Article
Dynamic Deformation Analysis of Super High-Rise Buildings Based on GNSS and Accelerometer Fusion
by Xingxing Xiao, Houzeng Han, Jian Wang, Dong Li, Cai Chen and Lei Wang
Sensors 2025, 25(9), 2659; https://doi.org/10.3390/s25092659 - 23 Apr 2025
Cited by 1 | Viewed by 1276
Abstract
To accurately capture the dynamic displacement of super-tall buildings under complex conditions, this study proposes a data fusion algorithm that integrates NRBO-FMD optimization with Adaptive Robust Kalman Filtering (ARKF). The NRBO-FMD method preprocesses GNSS and accelerometer data to mitigate GNSS multipath effects, unmodeled [...] Read more.
To accurately capture the dynamic displacement of super-tall buildings under complex conditions, this study proposes a data fusion algorithm that integrates NRBO-FMD optimization with Adaptive Robust Kalman Filtering (ARKF). The NRBO-FMD method preprocesses GNSS and accelerometer data to mitigate GNSS multipath effects, unmodeled errors, and high-frequency noise in accelerometer signals. Subsequently, ARKF fuses the preprocessed data to achieve high-precision displacement reconstruction. Numerical simulations under varying noise conditions validated the algorithm’s accuracy. Field experiments conducted on the Hairong Square Building in Changchun further demonstrated its effectiveness in estimating three-dimensional dynamic displacement. Key findings are as follows: (1) The NRBO-FMD algorithm significantly reduced noise while preserving essential signal characteristics. For GNSS data, the root mean square error (RMSE) was reduced to 0.7 mm for the 100 s dataset and 1.0 mm for the 200 s dataset, with corresponding signal-to-noise ratio (SNR) improvements of 3.0 dB and 6.0 dB. For accelerometer data, the RMSE was reduced to 3.0 mm (100 s) and 6.2 mm (200 s), with a 4.1 dB SNR gain. (2) The NRBO-FMD–ARKF fusion algorithm achieved high accuracy, with RMSE values of 0.7 mm (100 s) and 1.9 mm (200 s). Consistent PESD and POSD values demonstrated the algorithm’s long-term stability and effective suppression of irregular errors. (3) The algorithm successfully fused 1 Hz GNSS data with 100 Hz accelerometer data, overcoming the limitations of single-sensor approaches. The fusion yielded an RMSE of 3.6 mm, PESD of 2.6 mm, and POSD of 4.8 mm, demonstrating both precision and robustness. Spectral analysis revealed key dynamic response frequencies ranging from 0.003 to 0.314 Hz, facilitating natural frequency identification, structural stiffness tracking, and early-stage performance assessment. This method shows potential for improving the integration of GNSS and accelerometer data in structural health monitoring. Future work will focus on real-time and predictive displacement estimation to enhance monitoring responsiveness and early-warning capabilities. Full article
(This article belongs to the Section Navigation and Positioning)
Show Figures

Figure 1

22 pages, 8550 KB  
Review
Comparative Analysis of Space Efficiency in Skyscrapers with Prismatic, Tapered, and Free Forms
by Hüseyin Emre Ilgın and Özlem Nur Aslantamer
Buildings 2024, 14(11), 3345; https://doi.org/10.3390/buildings14113345 - 22 Oct 2024
Cited by 5 | Viewed by 4096
Abstract
This study offers a thorough comparative analysis of space efficiency in skyscrapers across three distinct forms: prismatic, tapered, and free. By examining case studies from each form category, this research investigates how architectural and structural design features impact space utilization in supertall towers. [...] Read more.
This study offers a thorough comparative analysis of space efficiency in skyscrapers across three distinct forms: prismatic, tapered, and free. By examining case studies from each form category, this research investigates how architectural and structural design features impact space utilization in supertall towers. The findings reveal form-based differences in space efficiency and design element usage. In prismatic skyscrapers, which are primarily residential and utilize concrete outrigger frames, the average space efficiency was around 72%, with the core occupying 24% of the gross floor area (GFA). Tapered skyscrapers, commonly mixed-use with composite outrigger frames, showed an average space efficiency of over 70%, with a core-to-GFA ratio of 26%. Freeform towers, often mixed-use and using composite outrigger frames, demonstrated a space efficiency of 71%, with an average core-to-GFA ratio of 26%. Despite these variations, a consistent trend emerged: as the height of a building increases, there is a general decline in space efficiency, highlighting the challenges in optimizing space in taller structures. This analysis adds to the understanding of skyscraper design and space utilization, providing important insights for architects and urban planners aiming to improve the efficiency of future high-rise developments. Full article
(This article belongs to the Special Issue High-Rise Building Design: Phenomena and Analyses Involved)
Show Figures

Figure 1

17 pages, 3719 KB  
Article
Case Studies on Evacuation Elevator Systems in Supertall Buildings
by Shiyu Huan, AYoung Yun and Ervin Cui
Buildings 2024, 14(10), 3164; https://doi.org/10.3390/buildings14103164 - 4 Oct 2024
Cited by 1 | Viewed by 5797
Abstract
In 2009, the International Building Code (IBC) introduced a new requirement for an additional exit stair or evacuation elevators in buildings (except residential buildings) over 420 ft. (128 m) tall. This new requirement has emerged as a critical innovation in occupant evacuation in [...] Read more.
In 2009, the International Building Code (IBC) introduced a new requirement for an additional exit stair or evacuation elevators in buildings (except residential buildings) over 420 ft. (128 m) tall. This new requirement has emerged as a critical innovation in occupant evacuation in supertall buildings, offering the potential for faster egress during emergencies. In the 2018 edition of the IBC, the analysis of full building evacuation with elevators is further required to demonstrate an evacuation time of less than 1 h. This paper examines the implementation of evacuation elevators in accordance with recent building code developments, such as the International Building Code (IBC), Chinese “General Code for Fire Protection of Buildings and Constructions” (GB 55037-2022), and the Korean Building Code (KBC). This study provides a comparative analysis of these regulations, highlighting the evolving acceptance of elevator-based evacuation methods. Since the requirements on means of egress in the codes in China and Korea follow similar concepts in the IBC, case studies of supertall buildings in China and Korea, where evacuation elevators were integrated into the overall egress strategy, are carried out to demonstrate the capability of evacuation elevators in achieving the IBC’s requirement for full evacuation within one hour. Using computer-based egress modeling, the study evaluates practical solutions for reducing evacuation times, exploring factors such as elevator capacity, speed, and coordination with traditional stairwell egress. The results suggest that, while evacuation elevators can significantly improve evacuation efficiency, achieving the one-hour target remains a challenge in complex, high-occupancy environments. The study indicates the importance of optimizing the balance between stair and elevator usage and explores the future role of artificial intelligence (AI) in enhancing evacuation systems. Full article
(This article belongs to the Section Building Energy, Physics, Environment, and Systems)
Show Figures

Figure 1

20 pages, 5530 KB  
Article
Influence of Ground Motion Non-Gaussianity on Seismic Performance of Buildings
by Xingliang Ma and Zhen Liu
Buildings 2024, 14(8), 2364; https://doi.org/10.3390/buildings14082364 - 31 Jul 2024
Cited by 3 | Viewed by 1296
Abstract
The non-Gaussian feature of seismic ground motion has been reported in some works. However, there remains a lack of research on the influence of the ground motion non-Gaussianity on the seismic performance of buildings, which motivates this study. By employing a non-Gaussian non-stationary [...] Read more.
The non-Gaussian feature of seismic ground motion has been reported in some works. However, there remains a lack of research on the influence of the ground motion non-Gaussianity on the seismic performance of buildings, which motivates this study. By employing a non-Gaussian non-stationary random process simulation method previously proposed by the authors, 40,000 ground motion acceleration signals are efficiently generated, including 20,000 Gaussian and 20,000 non-Gaussian records. As computational examples, a four-story frame building and a three-tower super-tall building are selected. The generated acceleration signals serve as external excitations for the two buildings, allowing for a comparison of the differences in seismic structural responses caused by the Gaussian and non-Gaussian earthquake groups. Probability analysis is performed using top-layer displacement and maximum inter-story drift ratio as damage indicators. The results show that the structural responses induced by both Gaussian and non-Gaussian earthquake groups have identical first- and second-order moments but different higher-order moments. The responses from non-Gaussian earthquakes display distinct non-Gaussian traits, with their distribution of extreme values exhibiting a longer tail compared to the Gaussian counterparts. This leads to a notably larger value of non-Gaussian responses under high crossing probabilities, with an amplification that can surpass 18%. Full article
(This article belongs to the Section Building Structures)
Show Figures

Figure 1

27 pages, 58686 KB  
Article
Analysis and Reflection on the Green, Low-Carbon, and Energy-Saving Design of the Super High-Rise Building
by Yangluxi Li, Huishu Chen, Peijun Yu and Li Yang
Sustainability 2024, 16(10), 4146; https://doi.org/10.3390/su16104146 - 15 May 2024
Cited by 6 | Viewed by 5152
Abstract
Shanghai Tower has become a new landmark of Shanghai. In the current trend advocating green building and energy efficiency, considerations of wind loads and thermal characteristics of the perimeter structure of Shanghai Tower are crucial. This paper conducts comparative simulation studies on the [...] Read more.
Shanghai Tower has become a new landmark of Shanghai. In the current trend advocating green building and energy efficiency, considerations of wind loads and thermal characteristics of the perimeter structure of Shanghai Tower are crucial. This paper conducts comparative simulation studies on the wind environment of Shanghai Tower using Ecotect software, and stress analyses and thermal simulations of the perimeter structure using ANSYS software. The study compared three buildings’ surface wind pressure distributions using models with equal-volume and circular cross-sections. We found that the unique exterior design of the Shanghai Tower results in a more regular and uniform distribution of wind pressure on its surface compared to both circular and square planar models, with a lower average wind pressure value. In addition, the stress analysis results indicate significant differences in deformation and stress distribution between the windward and leeward sides. Enhancing the bending moment detection of the peripheral structure and optimizing the layout of detection points are recommended. Thermal simulation results show excessive heat conduction flux in winter conditions, suggesting optimization using passive energy-saving methods such as light-sensitive thermal insulation materials during winter. This research is a reference for designing other super-tall buildings prioritizing low-carbon energy efficiency and structural safety. Full article
Show Figures

Figure 1

25 pages, 18236 KB  
Article
Investigating Space Utilization in Skyscrapers Designed with Prismatic Form
by Hüseyin Emre Ilgın and Özlem Nur Aslantamer
Buildings 2024, 14(5), 1295; https://doi.org/10.3390/buildings14051295 - 3 May 2024
Cited by 13 | Viewed by 5218
Abstract
The enduring appeal of prismatic shapes, historically prevalent in office building designs, persists in contemporary skyscraper architecture, which is attributed particularly to their advantageous aspects concerning cost-efficiency and optimal space utilization. Space efficiency is a crucial factor in prismatic skyscraper design, carrying substantial [...] Read more.
The enduring appeal of prismatic shapes, historically prevalent in office building designs, persists in contemporary skyscraper architecture, which is attributed particularly to their advantageous aspects concerning cost-efficiency and optimal space utilization. Space efficiency is a crucial factor in prismatic skyscraper design, carrying substantial implications for sustainability. However, the current academic literature lacks a complete exploration of space efficiency in supertall towers with prismatic forms, despite their widespread use. This paper seeks to address this significant gap by conducting a comprehensive analysis of data gathered from a carefully selected set of 35 case studies. The primary discoveries presented in this paper are outlined as follows: (i) average space efficiency stood at approximately 72%, covering a range that extended from 56% to 84%; (ii) average core to gross floor area ratio averaged around 24%, spanning a spectrum that ranged from 12% to 36%; (iii) the majority of prismatic skyscrapers utilized a central core approach, mainly customized for residential use; (iv) the dominant structural system observed in the analyzed cases was the outriggered frame system, with concrete being the commonly utilized material for the structural components; and (v) the impact of diverse structural systems on space efficiency showed no significant deviation, although differences in function led to variations in average space efficiency. The authors expect that these findings will provide valuable guidance, especially for architects, as they strive to enhance the sustainable planning of prismatic towers. Full article
(This article belongs to the Special Issue Sustainable Tall Building Developments and the 21st Century City)
Show Figures

Figure 1

25 pages, 6086 KB  
Article
Space Efficiency in Tapered Super-Tall Towers
by Hüseyin Emre Ilgın
Buildings 2023, 13(11), 2819; https://doi.org/10.3390/buildings13112819 - 10 Nov 2023
Cited by 21 | Viewed by 8028
Abstract
In modern skyscraper architecture, the preference for incorporating tapered building configurations is on the rise, constituting a prominent trend in the industry, particularly due to their structural and aerodynamic benefits. The efficient utilization of space is a critical consideration in the design of [...] Read more.
In modern skyscraper architecture, the preference for incorporating tapered building configurations is on the rise, constituting a prominent trend in the industry, particularly due to their structural and aerodynamic benefits. The efficient utilization of space is a critical consideration in the design of tapered skyscrapers, holding significant importance for sustainability. Nevertheless, the existing body of scholarly work falls short in providing an all-encompassing investigation into the space efficiency of super-tall towers featuring tapered configurations, despite their prevalent adoption. This research endeavors to rectify this notable void by undertaking an exhaustive examination of data derived from 40 case studies. The key findings are as follows: (1) average space efficiency was about 72%, with values fluctuating between a minimum of 55% and a maximum of 84%; (2) average ratio of core area to the gross floor area (GFA) registered about 26%, encompassing a spectrum ranging from 11% to 38%; (3) most tapered skyscrapers employed a central core design, primarily tailored for mixed-use purposes; (4) an outriggered frame system was the prevailing structural system, while composite materials were the most commonly used structural materials; and (5) significant differences in the influence of function and load-bearing systems on the space efficiency of tapered towers were not observed. The author anticipates that these results will offer valuable direction, particularly to architectural designers, as they work towards advancing the sustainable development of tapered skyscrapers. Full article
(This article belongs to the Section Building Energy, Physics, Environment, and Systems)
Show Figures

Figure 1

21 pages, 12159 KB  
Article
Automatic Identification of the Working State of High-Rise Building Machine Based on Machine Learning
by Xi Pan, Tingsheng Zhao, Xiaowei Li, Zibo Zuo, Gang Zong and Longlong Zhang
Appl. Sci. 2023, 13(20), 11411; https://doi.org/10.3390/app132011411 - 18 Oct 2023
Cited by 9 | Viewed by 2161
Abstract
High-rise building machines (HBMs) play a crucial role in the construction of super-tall buildings, with their working states directly impacting safety, quality, and progress. Given their extensive floor coverage and complex internal structures, monitoring priorities should shift according to specific workflows. However, existing [...] Read more.
High-rise building machines (HBMs) play a crucial role in the construction of super-tall buildings, with their working states directly impacting safety, quality, and progress. Given their extensive floor coverage and complex internal structures, monitoring priorities should shift according to specific workflows. However, existing research has primarily focused on monitoring key HBM components during specific stages, neglecting the automated recognition of HBM workflows, which hinders adaptive monitoring strategies. This study investigates the critical states of HBM construction across various structural layers and proposes a method rooted in vibration signal analysis to determine the HBM’s working state. The method involves collecting vibration signals with a triaxial accelerometer, extracting five distinct vibration signal features, classifying these signals using a k-Nearest Neighbors (kNN) classifier, and finally, outputting the results through a classification rule that aligns with the actual workflow of the HBM. The method was implemented in super-high-rise buildings exceeding 350 m, achieving a measured accuracy of 97.4% in HBM working state recognition. This demonstrates its proficiency in accurately determining the construction state and facilitating timely feedback. Utilizing vibration signal analysis can enhance the efficiency and safety, with potential applications in monitoring large-scale formwork equipment construction processes. This approach provides a versatile solution for a wide range of climbing equipment used in the construction of super-tall buildings and towering structures. Full article
Show Figures

Figure 1

19 pages, 8556 KB  
Article
Integral Lifting of Steel Structure Corridor between Two Super High-Rise Buildings under Wind Load
by Ruolin Ruan, Muhuo Lai, Chen Jiang, Jinbing Wang and Yong Lin
Buildings 2023, 13(10), 2441; https://doi.org/10.3390/buildings13102441 - 26 Sep 2023
Cited by 6 | Viewed by 3247
Abstract
This paper explores the lifting project of a steel structure corridor in the Haiyue Center, Quanzhou City, with a focus on mechanical response, safety, stability, and construction guidance under wind load conditions. The investigation attends to safety apprehensions stemming from the absence of [...] Read more.
This paper explores the lifting project of a steel structure corridor in the Haiyue Center, Quanzhou City, with a focus on mechanical response, safety, stability, and construction guidance under wind load conditions. The investigation attends to safety apprehensions stemming from the absence of horizontal constraints within the corridor, rendering it vulnerable to wind-induced loads. Measures are implemented to prevent collisions with nearby buildings during lifting. Stability challenges, including beam displacement and excessive stress, are examined. Anti-deformation trusses and inclined web rods are employed to ensure stability, prevent potential instabilities, and promote uniform deformation. The study also analyzes stress during asynchronous lifting. Through the enforcement of stringent parameters, where asynchronous displacement is confined to a maximum of 25 mm and asynchronous lifting load is limited to 20%, the structural integrity of the corridor is meticulously upheld. This judicious approach serves to not only avert deformation but also to forestall structural impairment. Therefore, the significance of stress distribution and deformation is emphasized when conducting the integral lifting of steel structure corridor between two super-tall buildings under wind load conditions. Simultaneously, relevant construction control measures have been devised, along with offering scientific recommendations for similar cases involving lifting construction processes under the influence of wind. Full article
(This article belongs to the Section Building Structures)
Show Figures

Figure 1

14 pages, 6167 KB  
Article
The Influence of Aeroelastic Effects on Wind Load and Wind-Induced Response of a Super-Tall Building: An Experimental Study
by Ze Xu and Jiangjiang Yin
Buildings 2023, 13(7), 1871; https://doi.org/10.3390/buildings13071871 - 24 Jul 2023
Cited by 7 | Viewed by 3064
Abstract
To investigate the wind-induced response and equivalent wind load of a super-tall building, an aeroelastic model of the building was designed to measure aerodynamic interference in wind tunnel tests. Experiments on pressure and vibration measurements were conducted in both uniform and turbulent wind [...] Read more.
To investigate the wind-induced response and equivalent wind load of a super-tall building, an aeroelastic model of the building was designed to measure aerodynamic interference in wind tunnel tests. Experiments on pressure and vibration measurements were conducted in both uniform and turbulent wind fields, and the displacement response and surface wind pressure at different locations of the model were recorded. The displacement time-history response spectrum and aerodynamic spectrum in both fields were compared and analyzed. The research showed that the mean displacement responses of the model in the across-wind and along-wind directions gradually increased with velocity under different wind attack angles. The mean displacement response of torsion moment in a uniform wind field changed very little, and the mean and fluctuating wind pressures in each layer were significantly stratified, making it is easy to generate a coupled vortex-induced resonance. On the other hand, the mean displacement response of torsion moment in a turbulent field increased with wind velocity. Strong turbulence made the fluctuating wind pressure at the top and bottom of the model slightly more significant than in a uniform field. The resistance of super-tall buildings came from turbulence excitation in the along-wind direction and the self-excited resistance generated by the across-wind direction. The test methods and main research conclusions may provide a reference for glass curtain walls and the structural wind-resistant design of super-tall buildings. Full article
Show Figures

Figure 1

32 pages, 10007 KB  
Article
Land Subsidence Monitoring and Building Risk Assessment Using InSAR and Machine Learning in a Loess Plateau City—A Case Study of Lanzhou, China
by Yuanmao Xu, Zhen Wu, Huiwen Zhang, Jie Liu and Zhaohua Jing
Remote Sens. 2023, 15(11), 2851; https://doi.org/10.3390/rs15112851 - 30 May 2023
Cited by 16 | Viewed by 5774
Abstract
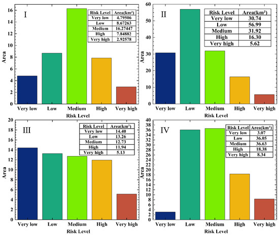
As a representative city located in the Loess Plateau region of China, Lanzhou is affected by various environmental and engineering factors, such as precipitation, earthquake subsidence, and building construction, which all lead to frequent geological disasters. Obtaining information on land subsidence over a [...] Read more.
As a representative city located in the Loess Plateau region of China, Lanzhou is affected by various environmental and engineering factors, such as precipitation, earthquake subsidence, and building construction, which all lead to frequent geological disasters. Obtaining information on land subsidence over a long time series helps us grasp the patterns of change in various types of ground hazard. In this paper, we present the results of using Interferometric Synthetic Aperture Radar (InSAR) to monitor land subsidence in the main urban area of Lanzhou from 26 October 2014 to 12 December 2021. The main influential factors leading to subsidence were analyzed and combined via machine learning simulation to assess the land subsidence risk grade distribution of a building unit. The results show that the annual average deformation rate in Lanzhou ranged from −18.74 to 12.78 mm/yr. Linear subsidence dominated most subsidence areas in Lanzhou during the monitoring period. The subsidence areas were mainly distributed along the Yellow River, the railway, and villages and towns on the edges of urban areas. The main areas where subsidence occurred were the eastern part of Chengguan District, the railway line in Anning District, and the southern parts of Xigu District and Qilihe urban area, accounting for 38.8, 43.5, 32.5, and 51.8% of the area of their respective administrative districts, respectively. The random forest model analysis results show that the factors influencing surface subsidence in Lanzhou were, in order of importance, precipitation, the distribution of faults, the lithology of strata, high-rise buildings, and the distance to the river and railway. Lanzhou experienced excessive groundwater drainage in some areas from 2015 to 2017, with a 1 m drop in groundwater and 14.61 mm surface subsidence in the most critical areas. At the same time, extensive subsidence occurred in areas with highly compressible loess ground and most railway sections, reaching a maximum of −11.68 mm/yr. More than half of the super-tall building areas also showed settlement funnels. The area at a very high risk of future subsidence in Lanzhou covers 22.02 km2, while the high-subsidence-risk area covers 54.47 km2. The areas at greatest risk of future subsidence are Chengguan District and Qilihe District. The city contains a total of 51,163 buildings in the very high-risk area, including about 44.57% of brick-and-timber houses, 51.36% of old housing, and 52.78% of super-tall buildings, which are at especially high risk of subsidence, threatening the lives and properties of the population. The deformation results reveal poor building safety in Lanzhou, providing an essential basis for future urban development and construction. Full article
(This article belongs to the Section Environmental Remote Sensing)
Show Figures

Figure 1

19 pages, 8416 KB  
Article
The Generalized Mohr-Coulomb Failure Criterion
by Dongshuai Tian and Hong Zheng
Appl. Sci. 2023, 13(9), 5405; https://doi.org/10.3390/app13095405 - 26 Apr 2023
Cited by 20 | Viewed by 10914
Abstract
With the construction of supertall buildings such as high earth dams, the linear envelope of the Mohr-Coulomb (M-C) failure criterion fitted to lower confined pressure would significantly underestimate the loading capacity of foundations, causing a huge increase in the amount of earthwork. Given [...] Read more.
With the construction of supertall buildings such as high earth dams, the linear envelope of the Mohr-Coulomb (M-C) failure criterion fitted to lower confined pressure would significantly underestimate the loading capacity of foundations, causing a huge increase in the amount of earthwork. Given that the M-C criterion has dominated in the stability analysis of geotechnical structures, it is proposed in this study that the M-C criterion remain invariant in form but the cohesion c and the frictional factor f be related to the coefficient of intermediate principal stress b, called the Generalized Mohr-Coulomb (GMC) criterion. In other words, c and f are both functions of b, written as c(b) and f(b). In the simplest way, the GMC criterion for soils, a true three-dimensional failure criterion, can be established by using a piece of conventional triaxial apparatus. The GMC has a non-smooth strength surface like its conventional version. However, we prove from true triaxial tests and the characteristic theory of stress tensors that the failure surfaces in the stress space should be non-smooth per se for b = 0 or 1. Comparisons with other prominent failure criteria indicate that the GMC fits the test data best. Full article
(This article belongs to the Special Issue Urban Underground Engineering: Excavation, Monitoring, and Control)
Show Figures

Figure 1

Back to TopTop