Land Subsidence Monitoring and Building Risk Assessment Using InSAR and Machine Learning in a Loess Plateau City—A Case Study of Lanzhou, China
Abstract
1. Introduction
2. Study Area
3. Materials and Methods
3.1. SBAS-InSAR Technology
3.2. PS-InSAR Technology
3.3. Random Forest Model
4. Results and Discussion
4.1. Land Subsidence Monitoring
4.1.1. The Spatial Distribution of Land Subsidence Monitoring
4.1.2. Land Subsidence Time Series Results
4.1.3. Discussion of the Causes of Land Subsidence in Different Regions
4.2. Accuracy Evaluation of Land Subsidence Monitoring
4.3. The Response of Subsidence to Influential Factors
4.3.1. The Response of Subsidence to Groundwater Level Changes
4.3.2. The Response of Subsidence to Geological Faults and Lithology
4.3.3. The Response of Subsidence to Rail Transit
4.3.4. The Response of Subsidence to Building Loads
4.4. Future Land Subsidence Risk Assessment
5. Conclusions
- (1)
- The average annual deformation rate in Lanzhou ranges from −18.74 to 12.78 mm/yr. The land subsidence pattern is uneven, and it occurs mainly in the form of small subsidence funnels. The land subsidence dynamics in Lanzhou involve horizontal expansion followed by vertical development. During the monitoring period, Lanzhou was dominated by linear subsidence. The overall deformation situation in Lanzhou can be summarized as one uplift area and four subsidence areas, namely, the subsidence area along the railway in Anning District, the southern Xigu subsidence area, the Qilihe urban subsidence area, the eastern Chengguan District subsidence area, and the western Chengguan District uplift area. Most of the significant subsidence occurs along the Yellow River and railway and in villages and towns at the edge of the urban area.
- (2)
- Factors contributing to subsidence in Lanzhou include groundwater extraction, river erosion, stratigraphic lithology, fault distribution, underground pressure, and pressure from high-rise buildings. The fall in the groundwater table inevitably leads to land subsidence, but the extent of the subsidence is mainly influenced by the water table burial depth and surface building loads. A correlation between land subsidence and geological faults in Lanzhou can be established. In the presence of active faults, the land movement pattern is characterized by an uplift on one side of the fault and subsidence on the other side; this phenomenon occurs both in the Leitanhe Fault and the Jinchengguan Fault. The spatial subsidence distribution in Lanzhou is under apparent lithological control; significant subsidence mainly occurs in areas covered by loess, and the remaining large subsidence areas are almost in more compressible soils. The land subsidence in Lanzhou is strongly linked to railway lines, with subsidence mostly distributed along the railway. Moreover, Lanzhou is prone to subsidence funnels near high-rise buildings, and a high building density also causes land subsidence.
- (3)
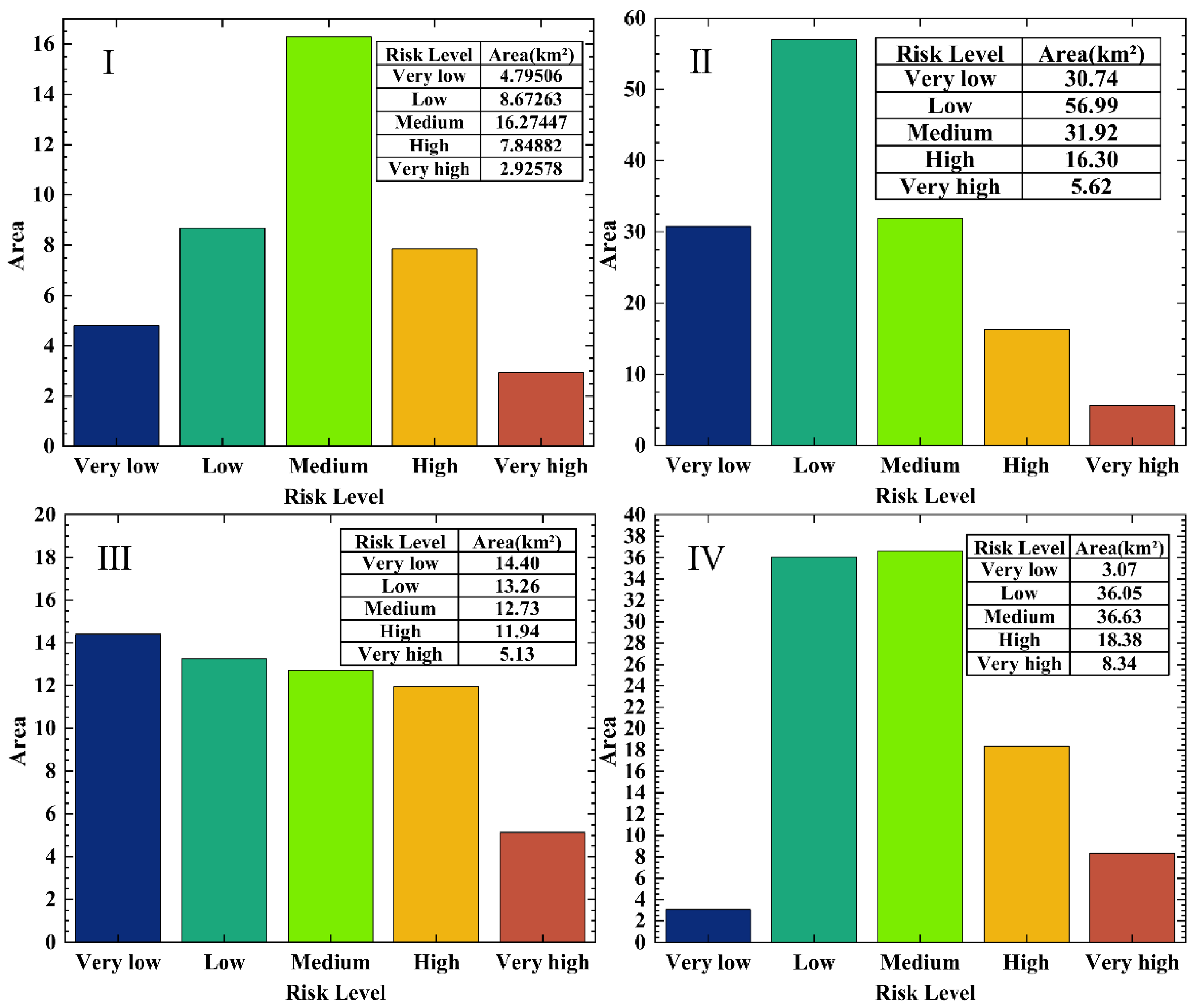
- The existing subsidence in Lanzhou will continue to occur, and may even trigger the cracking and collapse of buildings. The area at very high risk of future subsidence in Lanzhou is 22.02 km2, while the area at high risk of subsidence is 54.47 km2. A total of 51,163 houses are at very high risk of subsidence, and they are mainly located in Chengguan District and Qilihe District, accounting for 39.22% and 30.40% of the buildings at very high risk of subsidence, respectively. In total, 44.47% of brick-and-timber houses, 51.36% of old houses, and 52.78% of super-tall buildings are at very high risk of subsidence. In addition, new subsidence zones are expected to emerge due to the active use of railways, high-rise buildings, ground lithology, faults, rivers, precipitation, and other factors. This study maps the subsidence risk of each building and provides a list of areas with very high subsidence risk, which should be the focus of government efforts to prevent and control possible accidents in these buildings.
- (4)
- In future urban planning and disaster prevention, the findings of this systematic study—i.e., that the loess-covered areas of Lanzhou are not suitable for medium-rise, high-rise, and super high-rise buildings, while the central city of Lanzhou is not suitable for too many super high-rise buildings—should be considered. Since the ground is highly susceptible to subsidence where the water table is shallow, the changes in groundwater levels in the area should be controlled. At the same time, attention should be paid to buildings in the transition area between the western uplift area and the eastern subsidence area in Chengguan District to prevent their cracking and collapse due to differential settlement. In addition, the authorities should pay attention to the list of buildings at high risk of settlement and the areas at very high risk of settlement that were determined and drawn up in this paper, and focus on preventing possible accidents related to these buildings.
Author Contributions
Funding
Data Availability Statement
Acknowledgments
Conflicts of Interest
Abbreviations
| CART | Classification and Regression Tree |
| DEM | Digital Elevation Model |
| ESA | European Space Agency |
| FR | Frequency Ratio |
| InSAR | Interferometric Synthetic Aperture Radar |
| IW | Interferometric Wide Swath |
| NASA | National Aeronautics and Space Administration |
| POD | Precise Orbit Determination |
| PS-InSAR | Persistent Scatterer Interferometric Synthetic Aperture Radar |
| SBAS-InSAR | Small Baselines Subset Interferometric Synthetic Aperture Radar |
| SLC | Single-Look Complex |
| SRTM | Shuttle Radar Topography Mission |
| TS-InSAR | Time Series Interferometric Synthetic Aperture Radar |
References
- Sun, Z.Z.; Zhang, Q.X. Geohazard Observation—Prevention—Rescue; Geology Press: Beijing, China, 2011; pp. 1–423. ISBN 9787116071773. [Google Scholar]
- Herrera-García, G.; Ezquerro, P.; Tomás, R.; Béjar-Pizarro, M.; López-Vinielles, J.; Rossi, M.; Mateos, R.M.; Carreón-Freyre, D.; Lambert, J.; Teatini, P. Mapping the global threat of land subsidence. Science 2021, 371, 34–36. [Google Scholar] [CrossRef] [PubMed]
- Zhang, A.G.; Yin, Y.P. Translation of Selected Papers. In Proceedings of the 7th International Symposium on Land Subsidence, Shanghai, China, 23–28 October 2005; pp. 1–329. [Google Scholar]
- Wang, F. Experimental Study on Deformation Characteristics of Structural Loess under High Stress in Yan’an Area. Master’s Thesis, Xi’an University of Science and Technology, Xi’an, China, 2018. [Google Scholar]
- Li, P.; Qian, H.; Wu, J. Environment: Accelerate research on land creation. Nature 2014, 510, 29–31. [Google Scholar] [CrossRef] [PubMed]
- Liu, Y.S.; Li, Y.H. China’s land creation project stands firm. Nature 2014, 511, 410. [Google Scholar] [CrossRef]
- Tong, J.S.; Li, J.H.; Zhou, Z.H. Analysis of the Causes of Urban Road Collapse and Refined Preventive Measures. Urban Roads Bridges Flood Control. 2021, 2, 29–33. [Google Scholar] [CrossRef]
- Zhou, Y.; Jia, S.M.; Luo, Y.; Lei, K.C.; Liu, M.K.; Jiang, Y.; Wang, R.; Tian, F.; Yang, Y.; Chen, T.Z. A Bedrock Deformation Measurement Device. C.N. Patent 203908539U, 29 October 2014. [Google Scholar]
- Zhu, L.; Zhou, J.H.; Li, J.T.; Gong, H.L.; Li, X.J.; Guo, G.X.; Luo, Y. A Method and System for Inversion of Water Release Coefficients Combining Surface Deformation and Water Level Information. C.N. Patent 113175949A, 27 July 2021. [Google Scholar]
- Yang, J.; Tang, W.; Xuan, W.; Xi, R. Tight Integration of GNSS and Static Level for High Accuracy Dilapidated House Deformation Monitoring. Remote Sens. 2022, 14, 2943. [Google Scholar] [CrossRef]
- Dzierzega, A.; Scherrer, R. Measuring with electronic total stations. Surv. Rev. 2003, 37, 55–65. [Google Scholar] [CrossRef]
- Psimoulis, P.A.; Houlié, N.; Habboub, M.; Michel, C.; Rothacher, M. Detection of ground motions using high-rate GPS time-series. Geophys. J. Int. 2018, 214, 1237–1251. [Google Scholar] [CrossRef]
- Shi, G.; Ma, P.; Hu, X.; Huang, B.; Lin, H. Surface response and subsurface features during the restriction of groundwater exploitation in Suzhou (China) inferred from decadal SAR interferometry. Remote Sens. Environ. 2021, 256, 112327. [Google Scholar] [CrossRef]
- Hu, J.; Li, Z.-W.; Zhu, J.-J.; Ding, X.-L.; Wang, C.-C.; Feng, G.-C.; Sun, Q. Measuring three-dimensional surface displacements from combined InSAR and GPS data based on BFGS method. Chin. J. Geophys. 2013, 56, 117–126. [Google Scholar] [CrossRef]
- Zhong, W.; Chu, T.; Tissot, P.; Wu, Z.; Chen, J.; Zhang, H. Integrated coastal subsidence analysis using InSAR, LiDAR, and land cover data. Remote Sens. Environ. 2022, 282, 113297. [Google Scholar] [CrossRef]
- Wu, P.C.; Wei, M.; D’Hondt, S. Subsidence in coastal cities throughout the world observed by InSAR. Geophys. Res. Lett. 2022, 49, e2022GL098477. [Google Scholar] [CrossRef]
- Zhou, L.; Guo, J.; Hu, J.; Li, J.; Xu, Y.; Pan, Y.; Shi, M. Wuhan surface subsidence analysis in 2015–2016 based on Sentinel-1A data by SBAS-InSAR. Remote Sens. 2017, 9, 982. [Google Scholar] [CrossRef]
- Zhao, C.; Liu, X.; Zhang, Q.; Peng, J.; Xu, Q. Research on loess landslide identification, monitoring and failure mode with InSAR technique in Heifangtai, Gansu. Geomat. Inf. Sci. Wuhan Univ. 2019, 44, 996–1007. [Google Scholar] [CrossRef]
- Xu, Y.M.; Wu, Z.; Liu, J. Early Identification of Potential Landslide Hazards and Precipitation Correlation Analysis in Zhouqu County Based on SBAS-InSAR Technology. Adv. Eng. Sci. 2022. [Google Scholar] [CrossRef]
- Novellino, A.; Cesarano, M.; Cappelletti, P.; Di Martire, D.; Di Napoli, M.; Ramondini, M.; Sowter, A.; Calcaterra, D. Slow-moving landslide risk assessment combining Machine Learning and InSAR techniques. Catena 2021, 203, 105317. [Google Scholar] [CrossRef]
- Roy, P.; Martha, T.R.; Khanna, K.; Jain, N.; Kumar, K.V. Time and path prediction of landslides using InSAR and flow model. Remote Sens. Environ. 2022, 271, 112899. [Google Scholar] [CrossRef]
- Liu, Y.; Xu, C.; Wen, Y. InSAR Observation of Menyuan Mw5. 9 Earthquake Deformation and Deep Geometry of Regional Fault Zone. Geomat. Inf. Sci. Wuhan Univ. 2019, 44, 1035–1042. [Google Scholar] [CrossRef]
- De Novellis, V.; Reale, D.; Adinolfi, G.M.; Sansosti, E.; Convertito, V. Geodetic model of the March 2021 Thessaly seismic sequence inferred from seismological and InSAR data. Remote Sens. 2021, 13, 3410. [Google Scholar] [CrossRef]
- Maubant, L.; Radiguet, M.; Pathier, E.; Doin, M.-P.; Cotte, N.; Kazachkina, E.; Kostoglodov, V. Interseismic coupling along the Mexican subduction zone seen by InSAR and GNSS. Earth Planet. Sci. Lett. 2022, 586, 117534. [Google Scholar] [CrossRef]
- Li, B.; Li, Y.; Jiang, W.; Su, Z.; Shen, W. Conjugate ruptures and seismotectonic implications of the 2019 Mindanao earthquake sequence inferred from Sentinel-1 InSAR data. Int. J. Appl. Earth Obs. Geoinf. 2020, 90, 102127. [Google Scholar] [CrossRef]
- Chen, Y.; Tao, Q.; Liu, G.; Wang, L.; Wang, F.; Wang, K. Detailed mining subsidence monitoring combined with InSAR and probability integral method. Chin. J. Geophys. 2021, 64, 3554–3566. [Google Scholar] [CrossRef]
- Woo, K.S.; Eberhardt, E.; Rabus, B.; Stead, D.; Vyazmensky, A. Integration of field characterisation, mine production and InSAR monitoring data to constrain and calibrate 3-D numerical modelling of block caving-induced subsidence. Int. J. Rock Mech. Min. Sci. 2012, 53, 166–178. [Google Scholar] [CrossRef]
- Zhang, G.; Xu, Z.; Chen, Z.; Wang, S.; Cui, H.; Zheng, Y. Predictable Condition Analysis and Prediction Method of SBAS-InSAR Coal Mining Subsidence. IEEE Trans. Geosci. Remote Sens. 2022, 60, 1–14. [Google Scholar] [CrossRef]
- Wang, Y.; Dong, J.; Zhang, L.; Deng, S.; Zhang, G.; Liao, M.; Gong, J. Automatic detection and update of landslide inventory before and after impoundments at the Lianghekou reservoir using Sentinel-1 InSAR. Int. J. Appl. Earth Obs. Geoinf. 2023, 118, 103224. [Google Scholar] [CrossRef]
- Jones, J.; Jones, C.E.; Bekaert, D.P. Value of InSAR for monitoring land subsidence to support water management in the San Joaquin Valley, California. JAWRA J. Am. Water Resour. Assoc. 2022, 58, 995–1001. [Google Scholar] [CrossRef]
- Ronczyk, L.; Zelenka-Hegyi, A.; Török, G.; Orbán, Z.; Defilippi, M.; Kovács, I.P.; Kovács, D.M.; Burai, P.; Pasquali, P. Nationwide, Operational Sentinel-1 Based InSAR Monitoring System in the Cloud for Strategic Water Facilities in Hungary. Remote Sens. 2022, 14, 3251. [Google Scholar] [CrossRef]
- Pitcher, L.H.; Pavelsky, T.M.; Smith, L.C.; Moller, D.K.; Altenau, E.H.; Allen, G.H.; Lion, C.; Butman, D.; Cooley, S.W.; Fayne, J.V. AirSWOT InSAR mapping of surface water elevations and hydraulic gradients across the Yukon Flats Basin, Alaska. Water Resour. Res. 2019, 55, 937–953. [Google Scholar] [CrossRef]
- Ferretti, A.; Prati, C. Nonlinear subsidence rate estimation using permanent scatterers in differential SAR interferometry. IEEE Trans. Geosci. Remote Sens. 2000, 38, 2202–2212. [Google Scholar] [CrossRef]
- Ferretti, A.; Prati, C. Permanent Scatterers in SAR Interferometry. IEEE Trans. Geosci. Remote Sens. 2001, 39, 8–20. [Google Scholar] [CrossRef]
- Ferretti, A.; Savio, G.; Barzaghi, R.; Borghi, A.; Rocca, F. Submillimeter Accuracy of InSAR Time Series: Experimental Validation. IEEE Trans. Geosci. Remote Sens. 2007, 45, 1142–1153. [Google Scholar] [CrossRef]
- Berardino, P.; Fornaro, G.; Lanari, R.; Sansosti, E. A New Algorithm for Surface Deformation Monitoring Based on Small Baseline Differential SAR Interferograms. IEEE Trans. Geosci. Remote Sens. 2002, 40, 2375–2383. [Google Scholar] [CrossRef]
- Lanari, R.; Mora, O.; Manunta, M.; Mallorquí, J.; Sansosti, E. A small-baseline approach for investigating deformations on full-resolution differential SAR interferograms. Geosci. Remote Sens. IEEE Trans. 2004, 42, 1377–1386. [Google Scholar] [CrossRef]
- Hooper, A.J. Persistent Scatter Radar Interferometry for Crustal Deformation Studies and Modeling of Volcanic Deformation. Ph.D. Thesis, Stanford University, Stanford, CA, USA, 2006. [Google Scholar]
- Casu, F.; Manzo, M.; Lanari, R. Performance Analysis of the SBAS Algorithm for Surface Deformation Retrieval. In Proceedings of the Fringe 2005 Workshop, Frascati, Italy, 28 November–2 December 2006. [Google Scholar]
- Lauknes, T.R.; Dehls, J.; Larsen, Y.; Hgda, K.A.; Weydahl, D.J. A comparison of SBAS and PS ERS InSAR for subsidence monitoring in Oslo, Norway. In Proceedings of the Fringe 2005 Workshop, Frascati, Italy, 28 November–2 December 2006. [Google Scholar]
- Lee, C.; Lu, Z.; Kwoun, O.; Won, J. InSAR Observation of surface deformation at Augustine volcano, Alaska, 1992–2006. In Proceedings of the AGU Fall Meeting Abstracts, San Francisco, CA, USA, 11–15 December 2006; p. V51C-1679. [Google Scholar]
- Lanari, R. One year after the Abruzzo 2009 earthquake: Pre-, co- and post-seismic surface deformation investigation through advanced InSAR analyses. EGU Gen. Assem. Conf. Abstr. 2010, 40, 2375–2383. [Google Scholar]
- Akitaya, K.; Aichi, M. Land subsidence caused by seasonal groundwater level fluctuations in Kawajima (Japan) and one-dimensional numerical modeling with an evolutionary algorithm. Hydrogeol. J. 2022, 31, 147–165. [Google Scholar] [CrossRef]
- Agarwal, V.; Kumar, A.; Gee, D.; Grebby, S.; Gomes, R.L.; Marsh, S. Comparative study of groundwater-induced subsidence for London and Delhi using PSInSAR. Remote Sens. 2021, 13, 4741. [Google Scholar] [CrossRef]
- Yu, X.; Michael, H.A. Offshore pumping impacts onshore groundwater resources and land subsidence. Geophys. Res. Lett. 2019, 46, 2553–2562. [Google Scholar] [CrossRef]
- Chai, J.-C.; Shen, S.-L.; Zhu, H.-H.; Zhang, X.-L. Land subsidence due to groundwater drawdown in Shanghai. Geotechnique 2004, 54, 143–147. [Google Scholar] [CrossRef]
- Xiao, H.; Li, H.; Tang, Y. Assessing the effects of rainfall, groundwater downward leakage, and groundwater head differences on the development of cover-collapse and cover-suffosion sinkholes in central Florida (USA). Sci. Total Environ. 2018, 644, 274–286. [Google Scholar] [CrossRef]
- Shi, M.; Chen, B.; Gong, H.; Li, X.; Chen, W.; Gao, M.; Zhou, C.; Lei, K. Monitoring differential subsidence along the beijing–tianjin intercity railway with multiband SAR data. Int. J. Environ. Res. Public Health 2019, 16, 4453. [Google Scholar] [CrossRef]
- Charoenwong, C.; Connolly, D.; Woodward, P.; Galvín, P.; Costa, P.A. Analytical forecasting of long-term railway track settlement. Comput. Geotech. 2022, 143, 104–601. [Google Scholar] [CrossRef]
- Jeon, S.-S.; Park, Y.-K.; Eum, K.-Y. Stability assessment of roadbed affected by ground subsidence adjacent to urban railways. Nat. Hazards Earth Syst. Sci. 2018, 18, 2261–2271. [Google Scholar] [CrossRef]
- Cigna, F.; Tapete, D. Present-day land subsidence rates, surface faulting hazard and risk in Mexico City with 2014–2020 Sentinel-1 IW InSAR. Remote Sens. Environ. 2021, 253, 112–161. [Google Scholar] [CrossRef]
- Wetzler, N.; Segev, A.; Lyakhovsky, V. Uplift and subsidence at the periphery of the Lebanese Restraining Bend, Northern Dead Sea Fault. Tectonophysics 2022, 830, 229–292. [Google Scholar] [CrossRef]
- Doglioni, C.; Dagostino, N.; Mariotti, G. Normal faulting vs regional subsidence and sedimentation rate. Mar. Pet. Geol. 1998, 15, 737–750. [Google Scholar] [CrossRef]
- Abidin, H.Z.; Andreas, H.; Gumilar, I.; Fukuda, Y.; Pohan, Y.E.; Deguchi, T. Land subsidence of Jakarta (Indonesia) and its relation with urban development. Nat. Hazards 2011, 59, 1753–1771. [Google Scholar] [CrossRef]
- Aljammaz, A.; Sultan, M.; Izadi, M.; Abotalib, A.Z.; Elhebiry, M.S.; Emil, M.K.; Abdelmohsen, K.; Saleh, M.; Becker, R. Land subsidence induced by rapid urbanization in arid environments: A remote sensing-based investigation. Remote Sens. 2021, 13, 1109. [Google Scholar] [CrossRef]
- Cigna, F.; Tapete, D. Urban growth and land subsidence: Multi-decadal investigation using human settlement data and satellite InSAR in Morelia, Mexico. Sci. Total Environ. 2022, 811, 152211. [Google Scholar] [CrossRef]
- Notti, D.; Mateos, R.M.; Monserrat, O.; Devanthéry, N.; Peinado, T.; Roldán, F.J.; Fernández-Chacón, F.; Galve, J.P.; Lamas, F.; Azañón, J.M. Lithological control of land subsidence induced by groundwater withdrawal in new urban areas (Granada Basin, SE Spain). Multiband DInSAR monitoring. Hydrol. Process. 2016, 30, 2317–2331. [Google Scholar] [CrossRef]
- Hungr, O.; Coates, D. Deformability of joints and its relation to rock foundation settlements. Can. Geotech. J. 1978, 15, 239–249. [Google Scholar] [CrossRef]
- Miščević, P.; Vlastelica, G. Estimation of embankment settlement caused by deterioration of soft rock grains. Bull. Eng. Geol. Environ. 2019, 78, 1843–1853. [Google Scholar] [CrossRef]
- Chen, G.; Zhang, Y.; Zeng, R.; Yang, Z.; Chen, X.; Zhao, F.; Meng, X. Detection of land subsidence associated with land creation and rapid urbanization in the chinese loess plateau using time series insar: A case study of Lanzhou new district. Remote Sens. 2018, 10, 270. [Google Scholar] [CrossRef]
- Rongrong, L.; Weifang, Y.; Deyan, L. Land Deformation Monitoring in Lanzhou City Based on SBAS-InSAR Technology. Proc. IOP Conf. Ser. Earth Environ. Sci. 2020, 608, 1–8. [Google Scholar] [CrossRef]
- Yuan, D.Y.; Wang, L.M.; He, W.G.; Liu, B.C.; Ge, W.P.; Liu, X.W.; Liang, M.J.; Zheng, J.W. New progress of seismic active fault prospecting in lanzhou city. Seismol. Geol. 2008, 30, 236–249. [Google Scholar] [CrossRef]
- Wang, Z.Y.; Shi, P.J.; Zhang, X.B.; Wang, Y.S.; Xie, X.Y. Simulation of Lanzhou urban land expansion based on multi-agent model. Chin. J. Appl. Ecol. 2021, 32, 2169–2179. [Google Scholar] [CrossRef]
- He, S.; Wang, X.; Dong, J.; Wei, B.; Duan, H.; Jiao, J.; Xie, Y. Three-dimensional urban expansion analysis of valley-type cities: A case study of chengguan district, lanzhou, China. Sustainability 2019, 11, 5663. [Google Scholar] [CrossRef]
- Zhang, J. Research on Land Subsidence Monitoring in Lanzhou City Center Based on Sentinel-1 Data. Master’s Thesis, Lanzhou Jiaotong University, Lanzhou, China, 2020. [Google Scholar]
- Guo, H.D.; Wei, L.S.; Zheng, W.; Wei, Y.T.; Zhong, H. Impact from subway project on groundwater environment in Lanzhou fault basin. Water Resour. Hydropower Eng. 2020, 51, 119–128. [Google Scholar] [CrossRef]
- Goldstein, R.M.; Werner, C.L. Radar interferogram filtering for geophysical applications. Geophys. Res. Lett. 1998, 25, 4035–4038. [Google Scholar] [CrossRef]
- Usai, S. A New Approach for Longterm Monitoring of Deformations by Differential SAR Interferometry; Delft University Press: Delft, The Netherlands, 2001; pp. 1–165. ISBN 90-407-2189-0. [Google Scholar]
- Achour, Y.; Pourghasemi, H.R. How do machine learning techniques help in increasing accuracy of landslide susceptibility maps? Geosci. Front. 2020, 11, 871–883. [Google Scholar] [CrossRef]
- Sun, D.; Wen, H.; Wang, D.; Xu, J. A random forest model of landslide susceptibility mapping based on hyperparameter optimization using Bayes algorithm. Geomorphology 2020, 362, 107201. [Google Scholar] [CrossRef]
- Mohammady, M.; Pourghasemi, H.R.; Amiri, M. Land subsidence susceptibility assessment using random forest machine learning algorithm. Environ. Earth Sci. 2019, 78, 503. [Google Scholar] [CrossRef]
- Lee, S.; Park, I. Application of decision tree model for the ground subsidence hazard mapping near abandoned underground coal mines. J. Environ. Manag. 2013, 127, 166–176. [Google Scholar] [CrossRef] [PubMed]
- Jenks, G.F. Optimal data classification for choropleth maps. Dep. Geogr. Univ. Kans. Occas. Pap. 1977, 13, 11–20. [Google Scholar] [CrossRef]
- Berhane, G.; Kebede, M.; Alfarah, N.; Hagos, E.; Grum, B.; Giday, A.; Abera, T. Landslide susceptibility zonation mapping using GIS-based frequency ratio model with multi-class spatial data-sets in the Adwa-Adigrat mountain chains, northern Ethiopia. J. Afr. Earth Sci. 2020, 164, 103795. [Google Scholar] [CrossRef]
- Huang, F.; Cao, Z.; Guo, J.; Jiang, S.-H.; Li, S.; Guo, Z. Comparisons of heuristic, general statistical and machine learning models for landslide susceptibility prediction and mapping. Catena 2020, 191, 104580. [Google Scholar] [CrossRef]
- Park, S.-J.; Lee, C.-W.; Lee, S.; Lee, M.-J. Landslide susceptibility mapping and comparison using decision tree models: A Case Study of Jumunjin Area, Korea. Remote Sens. 2018, 10, 1545. [Google Scholar] [CrossRef]
- RenéJacques, B. Some specific problems of wetted loessial soils in civil engineering. Eng. Geol. 1988, 25, 303–324. [Google Scholar] [CrossRef]
- Kie, T.T. Fundamental properties of loess from Northwestern China. Eng. Geol. 1988, 25, 103–122. [Google Scholar] [CrossRef]
- Bykov, A.; Grecheneva, A.; Kuzichkin, O.; Surzhik, D.; Vasilyev, G.; Yerbayev, Y. Mathematical Description and Laboratory Study of Electrophysical Methods of Localization of Geodeformational Changes during the Control of the Railway Roadbed. Mathematics 2021, 9, 3164. [Google Scholar] [CrossRef]
- Mathu, E.M.; Onyancha, C.; Mwea, S.; Ngecu, W. Effects of drilling deep tube wells in the urban areas of Nairobi city, Kenya. ARPN J. Earth Sci. 2014, 3, 17–24. [Google Scholar]
- Jingtao, L.; Jichao, S.; Liang, Z.; Xiaoli, L.; Chunyan, L. Analysis of Groundwater Environmental Conditions and Influencing Factors in Typical City in Northwest China. J. Groundw. Sci. Eng. 2013, 2, 60–73. [Google Scholar]
- Burbey, T.J. The influence of faults in basin-fill deposits on land subsidence, Las Vegas Valley, Nevada, USA. Hydrogeol. J. 2002, 10, 525–538. [Google Scholar] [CrossRef]
- Holzer, T.L.; Pampeyan, E.H. Earth fissures and localized differential subsidence. Water Resour. Res. 1981, 17, 223–227. [Google Scholar] [CrossRef]
- Chaussard, E.; Wdowinski, S.; Cabral-Cano, E.; Amelung, F. Land subsidence in central Mexico detected by ALOS InSAR time-series. Remote Sens. Environ. 2014, 140, 94–106. [Google Scholar] [CrossRef]
- Frýba, L. Vibration of Solids and Structures Under Moving Loads; Springer: Berlin, Germany, 2012; pp. 1–484. ISBN 9401196877. [Google Scholar]
- Zicha, J.H. High-speed rail track design. J. Transp. Eng. 1989, 115, 68–83. [Google Scholar] [CrossRef]
- Zhang, C.; Chen, W.K.; Lin, X.C. Earthquake damage simulation of urban buildings based on ground motion parameters: A case study of Chengguan District in Lanzhou City. China Earthq. Eng. J. 2022, 44, 172–182. [Google Scholar] [CrossRef]
- Solari, L.; Ciampalini, A.; Raspini, F.; Bianchini, S.; Moretti, S. PSInSAR analysis in the Pisa urban area (Italy): A case study of subsidence related to stratigraphical factors and urbanization. Remote Sens. 2016, 8, 120. [Google Scholar] [CrossRef]
- Qin, X.Q.; Yang, M.S.; Liao, M.S.; Wang, H.M.; Yang, T.L. Exploring Temporal-Spatial Characteristics of Shanghai Road Networks Settlement with Muti-temporal PSInSAR Technique. Geomat. Inf. Sci. Wuhan Univ. 2017, 42, 170–177. [Google Scholar] [CrossRef]
- Gong, X.N. Foundation Treatment Brochure; China Architecture & Building Press: Beijing, China, 2008; pp. 1–1063. ISBN 9787112091010. [Google Scholar]
- Fernández-Torres, E.; Cabral-Cano, E.; Solano-Rojas, D.; Havazli, E.; Salazar-Tlaczani, L. Land Subsidence risk maps and InSAR based angular distortion structural vulnerability assessment: An example in Mexico City. Proc. Int. Assoc. Hydrol. Sci. 2020, 382, 583–587. [Google Scholar] [CrossRef]
- Vassileva, M.; Al-Halbouni, D.; Motagh, M.; Walter, T.R.; Dahm, T.; Wetzel, H.-U. A decade-long silent ground subsidence hazard culminating in a metropolitan disaster in Maceió, Brazil. Sci. Rep. 2021, 11, 7704. [Google Scholar] [CrossRef]

















| Time of Occurrence | Area of Occurrence | Remarks |
|---|---|---|
| 17 August 2015 | Around West Station Cross, in QLH | Bus plunged |
| 23 August 2015 | Around West Station Cross, in QLH | An off-road vehicle plunged |
| 9 September 2015 | Dingxi Road, in CG | A small car caught in collapsed pit |
| 27 July 2016 | Yanchangbao Fort junction, in CG | Road cave-in, a mixer truck caught in |
| 27 July 2016 | Donggang East Road, in CG | The ground collapsed, with an area of about 2 m2 |
| 27 July 2016 | South exit of Tongwei Road, in CG | Collapse around a manhole cover |
| 12 August 2016 | Feijiaying Shizhi, in AN | Road collapsed and the gas pipeline was damaged |
| 23 August 2016 | Zhangye Road, in CG | The ground has collapsed extensively |
| 25 August 2016 | East Donggang Road, in CG | The buses full of passengers sank into a large pit |
| 30 August 2016 | West lane of Jiuquan Road, in CG | The ground collapsed, with an area of about 5 m2 |
| 8 September 2016 | Guazhou Road, in QLH | Road caved in, and a traffic police patrol car was stuck |
| 11 October 2016 | West Station Cross, in QLH | The ground collapsed, with an area of about 2 m2 |
| 23 October 2016 | Opposite the court, in AN | Road surface collapsed twice |
| 27 November 2016 | The middle section of Minle Road, in QLH | Large area collapsed, trees fell into the pit |
| 2 December 2016 | Foci Street Kangtai Hospital, in CG | Medium-sized truck fell into a pit |
| 13 December 2016 | Liujiaying Cross, in QLH | The road caved in and a passing car became stuck |
| 4 May 2017 | Xijin West Road, in QLH | Road collapsed |
| 17 July 2017 | North entrance of Jingning Road, in CG | Road collapsed |
| 10 August 2017 | South of Twenty-seventh Middle School, in CG | Road collapsed |
| 27 August 2017 | The west exit of Dongfanghong Square, in CG | Road collapsed |
| 8 October 2017 | South exit of Hongxing Lane, in CG | An electric vehicle fell into a collapsed road |
| 23 December 2017 | Wudu Road, in CG | Road collapsed |
| 1 January 2018 | LanGongPing tri-junction section, in QLH | Road collapsed |
| 23 April 2018 | East of Lanzhou Museum, in CG | Road collapsed |
| 3 May 2018 | Jingyang Building, Wudou Road, in CG | Road collapsed |
| 11 June 2018 | Bus terminal of Dashaping No. 8, in CG | Road collapsed |
| 29 August 2018 | Xijin Road West Bus Station, in QLH | Road collapsed |
| 1 September 2018 | Wushan Road, in QLH | Road collapsed |
| 6 September 2018 | Lanxin Garden, 12 blocks, in XG | Road caved in near a bus station |
| 21 September 2018 | Nanbinhe Road, in QLH | Road collapsed |
| 27 September 2018 | Pingliang Road North, in CG | Road collapsed |
| 28 September 2018 | Jinchang Road crosses Nanbinhe Road, in CG | Greenbelt and road collapse, people trapped |
| 25 October 2018 | Northeast corner of Jianxi Road Cross, in QLH | Road collapsed |
| 11 November 2018 | Ruide Avenue, in CG | A passing woman fell into a collapsed sidewalk |
| 11 November 2018 | Cross of West Station, in QLH | The ground collapsed, with an area of about 2 m2 |
| 21 March 2020 | Dashaoping area, in CG | The residential buildings sank more than 30 cm |
| Parameter | Sentinel-1A |
|---|---|
| Orbital altitude | 693 km |
| Band | C |
| Wavelength | 5.6 cm |
| Polarization | VV |
| Orbit direction | Descending |
| Repeat observation period | 12 days |
| Products | Single-Look Complex (SLC) |
| Acquisition mode | Interferometric Wide Swath (IW) |
| Incidence angle | Approximately 34.03 to 34.04 |
| Spatial resolution | 2.7 × 22 m to 3.5 × 22 m |
| Number of images | 150 |
| Date range | October 2014 to December 2021 |
| Factor | Class | %Subsidence (+) | %Domain (+) | FR Value |
|---|---|---|---|---|
| Geology | 1 | 0.269 | 0.319 | 0.104 |
| 2 | 0.163 | 0.293 | 0.068 | |
| 3 | 0.438 | 0.197 | 0.273 | |
| 4 | 0.013 | 0.060 | 0.026 | |
| 5 | 0.022 | 0.018 | 0.153 | |
| 6 | 0.020 | 0.025 | 0.096 | |
| 7 | 0.049 | 0.054 | 0.112 | |
| 8 | 0.021 | 0.018 | 0.145 | |
| 9 | 0.004 | 0.015 | 0.036 | |
| 10 | 0.000 | 0.001 | 0.037 | |
| 11 | 0.000 | 0.002 | 0.014 | |
| Distance to fault (m) | 0–1000 | 0.173 | 0.179 | 0.965 |
| 1000–2000 | 0.159 | 0.163 | 0.975 | |
| 2000–3000 | 0.152 | 0.159 | 0.956 | |
| 3000–4000 | 0.163 | 0.151 | 1.081 | |
| 4000–5000 | 0.140 | 0.134 | 1.048 | |
| 5000–6000 | 0.076 | 0.092 | 0.823 | |
| 6000–7000 | 0.064 | 0.061 | 1.042 | |
| 7000–8000 | 0.047 | 0.040 | 1.187 | |
| 8000–9000 | 0.014 | 0.013 | 1.058 | |
| 9000–10,000 | 0.010 | 0.006 | 1.590 | |
| >10,000 | 0.003 | 0.003 | 1.163 | |
| Distance to river (m) | 0–500 | 0.386 | 0.231 | 1.672 |
| 500–1000 | 0.273 | 0.194 | 1.409 | |
| 1000–1500 | 0.140 | 0.145 | 0.965 | |
| >1500 | 0.202 | 0.431 | 0.468 | |
| Distance to railway (m) | 0–500 | 0.360 | 0.193 | 1.862 |
| 500–1000 | 0.183 | 0.140 | 1.302 | |
| >1000 | 0.458 | 0.667 | 0.687 | |
| Building height (m) | 1–8 | 0.277 | 0.289 | 0.958 |
| 9–17 | 0.380 | 0.340 | 1.118 | |
| 18–26 | 0.177 | 0.191 | 0.923 | |
| 27–37 | 0.073 | 0.099 | 0.736 | |
| 38–51 | 0.024 | 0.026 | 0.917 | |
| 52–68 | 0.014 | 0.014 | 1.020 | |
| 69–85 | 0.011 | 0.010 | 1.127 | |
| 86–99 | 0.021 | 0.015 | 1.427 | |
| 100–125 | 0.022 | 0.015 | 1.467 | |
| 126–166 | 0.001 | 0.001 | 1.538 | |
| 183–214 | 0.000 | 0.000 | 1.269 | |
| Precipitation (mm) | 261–282 | 0.392 | 0.213 | 1.839 |
| 282–299 | 0.505 | 0.299 | 1.688 | |
| 299–314 | 0.067 | 0.137 | 0.488 | |
| 314–331 | 0.026 | 0.121 | 0.213 | |
| 331–352 | 0.010 | 0.072 | 0.144 | |
| 352–374 | 0.000 | 0.056 | 0.000 | |
| 374–396 | 0.000 | 0.058 | 0.000 | |
| 396–421 | 0.000 | 0.031 | 0.000 | |
| 421–465 | 0.000 | 0.013 | 0.000 |
| Deformation Rate (mm/yr) | Chengguan District Percentage | Qilihe District Percentage | Anning District Percentage | Xigu District Percentage |
|---|---|---|---|---|
| ≦−8.81 | 0.10 | 0.21 | 0.02 | 0.20 |
| −8.81~−5.08 | 0.38 | 1.32 | 0.22 | 0.37 |
| −5.08~−2.77 | 1.53 | 3.17 | 0.82 | 0.92 |
| −2.77~−1.36 | 4.90 | 7.10 | 4.85 | 3.80 |
| −1.36~−0.46 | 14.35 | 18.09 | 16.30 | 11.51 |
| −0.46~0.18 | 27.83 | 31.92 | 33.06 | 24.86 |
| 0.18~0.83 | 35.31 | 24.06 | 35.13 | 40.23 |
| 0.83~3.78 | 15.52 | 12.96 | 8.56 | 18.10 |
| 3.78~13.16 | 0.08 | 1.17 | 0.04 | 0.00 |
| Subsidence area | 38.76 | 51.77 | 43.46 | 32.50 |
| Deformation rate threshold | (−15.28,6.86) | (−14.54,13.16) | (−11.42,5.71) | (−19.73,3.47) |
| Number | Geology | Compressibility Degree | Max Rate (mm/yr) | Land Use | Distribution Proportion (%) | Subsidence Area Proportion (%) |
|---|---|---|---|---|---|---|
| 1 | Loess | Highly compressible | −18.74 | Village; Agri. | 82.92 | 26.94 |
| 2 | Sandstone, conglomerate, sandstone and conglomerate, muddy siltstone and mudstone, clay | Moderately compressible | −15.28 | Village; Agri. | 9.86 | 16.33 |
| 3 | Clayey sandy soil, sandy clay interbedded with sand, sand and gravel layer lenses | Moderately compressible | −7.63 | Urban; Village | 2.09 | 43.81 |
| 4 | Metamorphic rock | Incompressible | −7.38 | Village; Agri. | 1.64 | 1.27 |
| 5 | Granite | Incompressible | −6.39 | Village; Agri. | 1.53 | 2.22 |
| 6 | Red mudstone with sandstone (rich in gypsum and aragonite) | Moderately compressible | −11.42 | Village; Agri. | 0.98 | 1.95 |
| 7 | Red massive sparse sandstone, grey–white fine conglomerate, sandy conglomerate | Moderately compressible | −8.31 | Village; Agri. | 0.83 | 4.93 |
| 8 | Alluvial gravel layer (lower); flooded micro-colluvial gravel layer interspersed with chalky clay (upper) | Moderately compressible | −10.29 | Urban; Agri. | 0.07 | 2.08 |
| 9 | Conglomerate, sandstone interbedded with mudstone, shale | Moderately compressible | −10.71 | Village; Agri. | 0.06 | 0.43 |
| 10 | Sandstone, shale, carbonaceous shale interbedded with coal seam (lower), conglomerate, sandstone interbedded with mudstone (upper) | Moderately compressible | −1.12 | Agri. | 0.02 | 0.02 |
| 11 | Diorite | Incompressible | −2.41 | Village; Agri. | 0.01 | 0.02 |
| Railway | Subsidence Section | Deformation Rate Range (mm/yr) | Percentage of Subsidence Area (%) | Subsidence Severity Ranking |
|---|---|---|---|---|
| Longhai Railway in Chengguan | All | (−11.68,1.21) | 100.00 | 1 |
| Lanyu Railway | All | (−10.67,0.01) | 100.00 | 2 |
| Lanzhou North Ring Road Railway | Lanzhouxi Railway Station, Shangping Village, Baidaoping Village | (−6.18,3.31) | 64.43 | 3 |
| Lanqing Railway | Uplift and settlement occur alternately | (−2.44,0.72) | 73.29 | 9 |
| Lanxin Railway | Xigu District, Qilihe District | (−4.09,1.49) | 39.86 | 8 |
| Lanzhou Metro | Uplift and settlement occur alternately | (−4.13,2.18) | 49.71 | 6 |
| Xulan Railway | Qilihe urban area | (−4.35,1.97) | 46.43 | 7 |
| Longhai Railway | Qilihe urban area | (−4.35,1.49) | 67.32 | 4 |
| Baolan Railway | Shangping Village, Shajinping Village | (−4.87,1.15) | 55.06 | 5 |
| Zhongchuan Intercity Railway | Eastern section of Xigu District | (−3.44,2.73) | 34.24 | 10 |
| Zhoujiazhuang Railway | Uplift and settlement occur alternately | (−5.90,3.75) | 32.34 | 11 |
| Building Height (m) | Height Classification | Building Quantity Proportion (%) | Building Height FR | Civil Building Proportion (%) | Brick-and-Timber Building Proportion (%) | Brick-and-Mortar Building Proportion (%) | Frame Building Proportion (%) | Old Housing Building Proportion (%) |
|---|---|---|---|---|---|---|---|---|
| 1–8 | Low rise | 39.23 | 0.96 | 0.69 | 0.43 | 0.49 | 0.01 | 0.02 |
| 9–17 | Multi-rise | 34.96 | 1.12 | 0.31 | 0.52 | 0.41 | 0.08 | 0.98 |
| 18–26 | Mid-rise | 13.7 | 0.92 | 0.00 | 0.05 | 0.10 | 0.30 | 0.00 |
| 27–37 | High-rise | 7.47 | 0.74 | 0.00 | 0.00 | 0.00 | 0.38 | 0.00 |
| 38–51 | High-rise | 1.76 | 0.92 | 0.00 | 0.00 | 0.00 | 0.09 | 0.00 |
| 52–68 | High-rise | 0.96 | 1.02 | 0.00 | 0.00 | 0.00 | 0.05 | 0.00 |
| 69–85 | High-rise | 0.54 | 1.13 | 0.00 | 0.00 | 0.00 | 0.03 | 0.00 |
| 86–99 | High-rise | 0.68 | 1.43 | 0.00 | 0.00 | 0.00 | 0.03 | 0.00 |
| 100–125 | Super high-rise | 0.67 | 1.47 | 0.00 | 0.00 | 0.00 | 0.03 | 0.00 |
| 126–166 | Super high-rise | 0.02 | 1.54 | 0.00 | 0.00 | 0.00 | 0.00 | 0.00 |
| 183–214 | Super high-rise | 0 | 1.27 | 0.00 | 0.00 | 0.00 | 0.00 | 0.00 |
| Administrative District | Subsidence Area Code | Subsidence Name | Max Subsidence Rate in 2014–2021 (mm/yr) | Predicted Area and Monitored Area Comparison |
|---|---|---|---|---|
| Ⅰ Anning District | L | Lanzhou North Railway Station | −11.42 | No change in size |
| M | North of Anning | −7.39 | No change in size | |
| n1 | Gansu Agricultural University | −2.43 | New very high-risk area | |
| Ⅱ Xigu District | I | Fanping Village | −7.56 | No change in size |
| J | Xinghutai Village | −12.14 | No change in size | |
| K | Liuquan Town | −12.61 | No change in size | |
| W | South of Xigu | −4.94 | Extended very high-risk area | |
| V | Along the Zhongchuan Intercity and Lanxin Railways | −3.39 | Extended very high-risk area | |
| n4 | Beitanzhuang, Xintan, Chenping | −2.64 | Extended very high-risk area | |
| Ⅲ Qilihe District | F | West Park, Hualin Road | −7.23 | No change in size |
| G | Yanjiaping Village | −8.33 | No change in size | |
| H | Pengjiaping and Jiangjiaping Village | −8.66 | Reduced area | |
| T | High-Speed Railway West Station | −2.66 | No change in size | |
| n2 | Matan, Xiuchuan | −3.02 | New very high-risk area | |
| n3 | Yanjiaping | −4.24 | New very high-risk and high-risk areas | |
| Ⅳ Chengguan District | A | Majiawan, Qingshiwan and Shajinping villages | −5.09 | Extended very high-risk area |
| B | Shangping and Baidaoping Village | −13.91 | No change in size | |
| C | Jiaojiawan and Dawashan Villages | −6.31 | Extended very high-risk area | |
| D | Ruian Estate, Caochang Street | −7.09 | Extended very high-risk area | |
| E | Central Plaza | −4.08 | No change in size | |
| S | Guchengping and Taoshuping Village | −12.95 | No change in size | |
| n5 | Yanyuan, High-tech Region | −2.91 | New very high-risk and high-risk areas | |
| n6 | West of Chengguan | −1.05 | New high-risk area |
Disclaimer/Publisher’s Note: The statements, opinions and data contained in all publications are solely those of the individual author(s) and contributor(s) and not of MDPI and/or the editor(s). MDPI and/or the editor(s) disclaim responsibility for any injury to people or property resulting from any ideas, methods, instructions or products referred to in the content. |
© 2023 by the authors. Licensee MDPI, Basel, Switzerland. This article is an open access article distributed under the terms and conditions of the Creative Commons Attribution (CC BY) license (https://creativecommons.org/licenses/by/4.0/).
Share and Cite
Xu, Y.; Wu, Z.; Zhang, H.; Liu, J.; Jing, Z. Land Subsidence Monitoring and Building Risk Assessment Using InSAR and Machine Learning in a Loess Plateau City—A Case Study of Lanzhou, China. Remote Sens. 2023, 15, 2851. https://doi.org/10.3390/rs15112851
Xu Y, Wu Z, Zhang H, Liu J, Jing Z. Land Subsidence Monitoring and Building Risk Assessment Using InSAR and Machine Learning in a Loess Plateau City—A Case Study of Lanzhou, China. Remote Sensing. 2023; 15(11):2851. https://doi.org/10.3390/rs15112851
Chicago/Turabian StyleXu, Yuanmao, Zhen Wu, Huiwen Zhang, Jie Liu, and Zhaohua Jing. 2023. "Land Subsidence Monitoring and Building Risk Assessment Using InSAR and Machine Learning in a Loess Plateau City—A Case Study of Lanzhou, China" Remote Sensing 15, no. 11: 2851. https://doi.org/10.3390/rs15112851
APA StyleXu, Y., Wu, Z., Zhang, H., Liu, J., & Jing, Z. (2023). Land Subsidence Monitoring and Building Risk Assessment Using InSAR and Machine Learning in a Loess Plateau City—A Case Study of Lanzhou, China. Remote Sensing, 15(11), 2851. https://doi.org/10.3390/rs15112851
