Sign in to use this feature.

Years

Between: -

Subjects

remove_circle_outline
remove_circle_outline
remove_circle_outline
remove_circle_outline
remove_circle_outline
remove_circle_outline
remove_circle_outline

Journals

Article Types

Countries / Regions

Search Results (5)

Search Parameters:
Keywords = submarine hydraulic pipeline

Order results
Result details
Results per page
Select all
Export citation of selected articles as:
18 pages, 4805 KB  
Article
Dynamic Analysis of Submarine-Buried Pipelines Considering Fluid–Structure Interaction
by Huilin Xu, Qiang Guo, Xuetong Wang, Huihui Sun, Zhanwang Dong, Jintong Gu and Chengyu Zhang
Water 2025, 17(3), 360; https://doi.org/10.3390/w17030360 - 27 Jan 2025
Cited by 2 | Viewed by 1427
Abstract
Buried pipes are widely used for submarine water transportation, but the complex operating conditions in the seabed pose challenges for the modeling of buried pipes. In order to more accurately capture the dynamic behavior of the buried pipes in the seabed, in this [...] Read more.
Buried pipes are widely used for submarine water transportation, but the complex operating conditions in the seabed pose challenges for the modeling of buried pipes. In order to more accurately capture the dynamic behavior of the buried pipes in the seabed, in this study, considering the pipeline and soil as a systematic structure is proposed, improving the fluid–structure interaction four-equation model to make it applicable for the calculation of buried pipe system modes. After verifying the practicality of the model, considering the external seawater as uniform pressure, the coupling at the joints, and the Poisson coupling of submarine pipelines during transient processes are discussed, revealing that structural vibrations under both forms of coupling will cause greater hydraulic oscillations. The impact of soil elastic modulus on the system’s response is further discussed, revealing that increasing the modulus from 0 to 1015 Pa raises the wave speed from 498 m/s to 1483 m/s, causing a 40% increase in the amplitude of pressure oscillations. Finally, the vibration modes of the combined structure of pipe wall and soil are discussed, revealing that the vibration modes are mainly dominated by water hammer pressure, with the superposition of pipeline stress waves and soil stress waves. In this study, the dynamic behavior of submarine pipelines is elucidated, providing a robust foundation for regulating and mitigating fatigue failures in such systems. Full article
Show Figures

Figure 1

17 pages, 6288 KB  
Article
Concentric Compressive Behavior and Design of Stainless Steel–Concrete Double-Skin Composite Tubes Influenced by Dual Hydraulic Pressures
by Jian-Tao Wang, Yang Yang, Kai-Lin Yang, Deng-Long Hu, Long-Bo Xu and Jun-Xin Li
J. Mar. Sci. Eng. 2024, 12(12), 2140; https://doi.org/10.3390/jmse12122140 - 23 Nov 2024
Cited by 2 | Viewed by 1154
Abstract
The external hydraulic pressure and internal medium pressure acting on submarine pipelines can lead to the coupling effect of active and passive constraints on the mechanical performance of steel–concrete double-skin composite tubes, resulting in a significantly different bearing capacity mechanism compared to terrestrial [...] Read more.
The external hydraulic pressure and internal medium pressure acting on submarine pipelines can lead to the coupling effect of active and passive constraints on the mechanical performance of steel–concrete double-skin composite tubes, resulting in a significantly different bearing capacity mechanism compared to terrestrial engineering. In this paper, the full-range concentric compressive mechanism of new-type stainless steel–concrete double-skin (SSCDS) composite tubes subjected to dual hydraulic pressure was analyzed by the finite element method. The influence of geometric–physical parameters at various water depths was discussed. The key results reveal that imposing dual hydraulic pressures significantly improves the confinement of double-skin tubes to encased concrete, resulting in a higher axial compressive strength and a non-uniform stress distribution; increasing the material strengths of concrete, outer tubes and inner tubes results in an approximately linear enhancement in axial bearing capacity; enhancing the diameter-to-thickness ratios of outer tubes and inner tubes can decrease the bearing capacity of SSCDS composite tubes; and the axial compression strength of SSCDS composite tubes with a higher hollow ratio of 0.849 tends to decrease with increasing outer hydraulic pressure. A practical method that integrates the effects of dual hydraulic pressures was developed and validated for the strength calculation of SSCDS composite tubes. This research provides fundamental guidelines for the application of pipe-in-pipe structures in deep-sea engineering. Full article
(This article belongs to the Special Issue Analysis and Design of Marine Structures)
Show Figures

Figure 1

23 pages, 9921 KB  
Article
Analysis of Water Hammer and Pipeline Vibration Characteristics of Submarine Local Hydraulic System
by Lingxiao Quan, Jing Gao, Changhong Guo and Chen Fu
J. Mar. Sci. Eng. 2023, 11(10), 1885; https://doi.org/10.3390/jmse11101885 - 28 Sep 2023
Cited by 6 | Viewed by 3517
Abstract
The hydraulic pipeline vibration noise is one of the main noise sources in submarine stealth conditions. Taking the local hydraulic system of a certain type of submarine as the research object, a model is first developed to simulate water hammer pressures and to [...] Read more.
The hydraulic pipeline vibration noise is one of the main noise sources in submarine stealth conditions. Taking the local hydraulic system of a certain type of submarine as the research object, a model is first developed to simulate water hammer pressures and to study the influence of component parameters on the generation and transmission of water hammers. Then, using the maximum water hammer as the excitation, fluid–structure interaction (FSI) vibration characteristics analysis of the pipeline is carried out. Additionally, the simulation method of clamp bolt pre-tightening is discussed. Finally, the modal test of various specifications of the pipeline is carried out. The results show that the error between the simulation and the test results is within 10%, which verifies the correctness of the model settings. On this basis, with the position of the clamp as the independent variable and the maximum stress of pipelines as the dependent variable, the optimization of pipeline passive vibration control is carried out by genetic algorithm, and the finite element verification shows that the pipeline vibration stress is effectively reduced. Full article
(This article belongs to the Section Ocean Engineering)
Show Figures

Figure 1

21 pages, 9462 KB  
Article
Smart Water Grid Research Group Project: An Introduction to the Smart Water Grid Living-Lab Demonstrative Operation in YeongJong Island, Korea
by Kang-Min Koo, Kuk-Heon Han, Kyung-Soo Jun, Gyumin Lee and Kyung-Taek Yum
Sustainability 2021, 13(9), 5325; https://doi.org/10.3390/su13095325 - 10 May 2021
Cited by 11 | Viewed by 8066
Abstract
In South Korea, in line with the increasing need for a reliable water supply following the continuous increase in water demand, the Smart Water Grid Research Group (SWGRG) was officially launched in 2012. With the vision of providing water welfare at a national [...] Read more.
In South Korea, in line with the increasing need for a reliable water supply following the continuous increase in water demand, the Smart Water Grid Research Group (SWGRG) was officially launched in 2012. With the vision of providing water welfare at a national level, SWGRG incorporated Information and Communications Technology in its water resource management, and built a living lab for the demonstrative operation of the Smart Water Grid (SWG). The living lab was built in Block 112 of YeongJong Island, Incheon, South Korea (area of 17.4 km2, population of 8000), where Incheon International Airport, a hub for Northeast Asia, is located. In this location, water is supplied through a single submarine pipeline, making the location optimal for responses to water crises and the construction of a water supply system during emergencies. From 2017 to 2019, ultrasonic wave type smart water meters and IEEE 802.15.4 Advanced Metering Infrastructure (AMI) networks were installed at 527 sites of 958 consumer areas in the living lab. Therefore, this study introduces the development of SWG core element technologies (Intelligent water source management and distribution system, Smart water distribution network planning/control/operation strategy establishment, AMI network and device development, Integrated management of bi-directional smart water information), and operation solutions (Smart water statistics information, Real-time demand-supply analysis, Decision support system, Real-time hydraulic pipeline network analysis, Smart DB management, and Water information mobile application) through a field operation and testing in the living lab. Full article
Show Figures

Figure 1

26 pages, 9211 KB  
Article
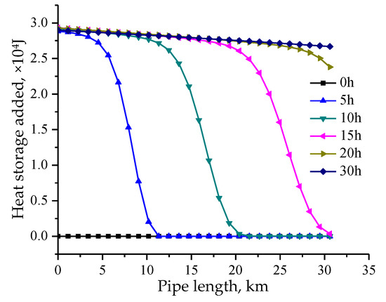
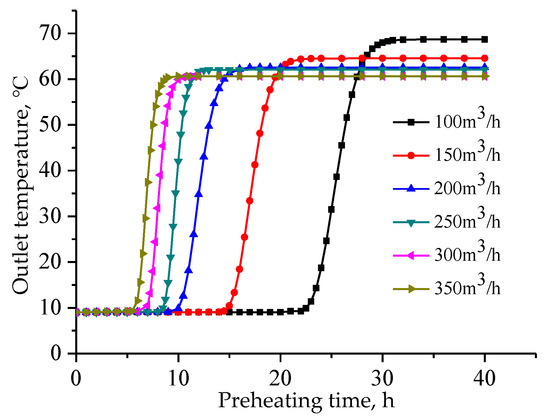
Numerical Simulation for Preheating New Submarine Hot Oil Pipelines
by Yong Wang, Nan Wei, Dejun Wan, Shouxi Wang and Zongming Yuan
Energies 2019, 12(18), 3518; https://doi.org/10.3390/en12183518 - 12 Sep 2019
Cited by 13 | Viewed by 4007
Abstract
For new submarine hot oil pipelines, accurate simulation of preheating is difficult owing to complex transient flow and coupled heat transfer happening. Using quasi-steady equations to simulate preheating is inadequate as the hydraulic transient phenomenon is neglected. Considering this fact, this paper constructs [...] Read more.
For new submarine hot oil pipelines, accurate simulation of preheating is difficult owing to complex transient flow and coupled heat transfer happening. Using quasi-steady equations to simulate preheating is inadequate as the hydraulic transient phenomenon is neglected. Considering this fact, this paper constructs an unsteady flow and heat transfer coupled mathematical model for the preheating process. By combining the double method of characteristics (DMOC) and finite element method (FEM), a numerical methodology is proposed, namely, DMOC-FEM. Its accuracy is validated by field data collected from the Bohai sea, China, showing the mean absolute percentage error (MAPE) of 4.27%. Simulation results demonstrate that the preheating medium mainly warms submarine pipe walls rather than the surrounding subsea mud. Furthermore, during the preheating process, the equivalent overall heat transfer coefficients deduced performs more applicably than the inverse-calculation method in presenting the unsteady propagation of fluid temperature with time and distance. Finally, according to the comparison results of 11 preheating plans, subject to a rated heat power and maximum flow, the preheating parameter at a lower fluid temperature combined with a higher flow rate will produce a better preheating effect. Full article
Show Figures

Figure 1

Back to TopTop