Numerical Simulation for Preheating New Submarine Hot Oil Pipelines
Abstract
1. Introduction
2. Mathematical Model
3. Numerical Solution for the Model
3.1. DMOC for Solving the Flow Equations
3.2. FEM for Solving the Heat Transfer Equations of Pipe Walls and Subsea Mud
3.3. Steady-State Parameters for Initial Conditions
3.4. Numerical Solution Procedure
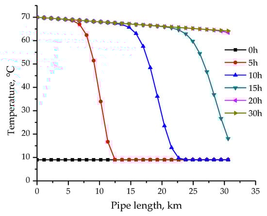
4. Results and Discussion
4.1. Verifying the Simulation Results
4.2. Variation of Heat Storage of Subsea Mud during the Preheating Process
4.3. Overall Heat Transfer Coefficient during the Preheating Process
4.4. Optimization of Preheating Parameters
5. Conclusions
Author Contributions
Funding
Conflicts of Interest
Acronyms
| MOC | method of characteristics |
| DMOC | double method of characteristics |
| FDM | finite difference method |
| FEM | finite element method |
| FVM | finite volume method |
| WRM | weighted residual method |
| GM | Galerkin method |
| ARE | absolute relative error |
| MAPE | mean absolute percentage error |
Abbreviations
| A | cross-section area of submarine pipeline (m2) |
| Ai | area of element i (m2) |
| C | heat capacity matrix |
| D0 | inner diameter of submarine pipeline (m) |
| Dh | average value of inner and outer diameter of insulation (m) |
| Dw | outer diameter of pipe (m) |
| E | Young’s modulus of elasticity (Pa) |
| F | fluid compressibility factor (Pa-1) |
| G | mass flow (kg/s) |
| Gr | Grashof number |
| H | pressure head (m) |
| L | pipe length (m) |
| J | Jacobian matrix |
| K | temperature stiffness matrix |
| K | overall heat transfer coefficient, (W/(m2·°C)) |
| K1, K2, K3 | Equivalent heat transfer coefficients (W/(m2·°C)) |
| Nm, Nn | interpolation function |
| P(t) | temperature load vector at t moment |
| Pr | Prandtl number |
| Q | flow rate (m3/s) |
| R | matrix of integral residual |
| R | radius (m) |
| R0 | inner diameter of inner steel wall (m) |
| R5 | outer diameter of pipe walls (m) |
| S | elevation (m) |
| T | temperature matrix to be solved |
| T | temperature (°C) |
| T0 | temperature at buried depth (°C) |
| TD | temperature at thermostatic layer of subsea mud (°C) |
| temperature of node j in element i at t moment (°C) | |
| V | flow velocity (m/s) |
| XD | half of thermal influence region on x direction (m) |
| YD | thermal influence region on y direction (m) |
| Z | total number of elements |
| a | pressure wave velocity (m/s) |
| c | heat capacity, (J/(kg⋅°C)) |
| cmn | element of heat capacity matrix |
| f | hydraulic friction coefficient |
| g | gravitational acceleration (m/s2) |
| h | specific enthalpy of fluid (J/kg) |
| ht | buried depth of pipeline (m) |
| k | fluid elastic coefficient (Pa) |
| kmn | element of temperature stiffness matrix |
| p | pressure (Pa) |
| q | heat loss from fluid to inner wall per unit area and time (W/m2) |
| q1 | heat flux from transported fluid to inner pipe wall per unit length (W/m) |
| q2 | heat flux from outer wall of pipe per unit length to subsea mud (W/m) |
| r | radius (m) |
| s | length of element boundary (m) |
| t | time (s) |
| u | specific internal energy of fluid (J/kg) |
| z | axial direction of the submarine pipeline (m) |
Greeks
| α | convective heat transfer coefficient (W/(m2·°C)) |
| α1 | convective heat transfer coefficient between fluid and inner pipe wall (W/(m2·°C)) |
| β | expansion coefficient (1/°C) |
| ρ | density (kg/m3) |
| ρ0 | standard density, (kg/m3) |
| θ | dip angle of submarine pipeline (rad) |
| λ | thermal conductivity, (W/(m·°C)) |
| μ | dynamic viscosity (Pa⋅s) |
| ψ | pipe correction factor |
| δ | wall thickness (m) |
| temperature change of element i from initial temperature, (°C) | |
| ΔH(t) | variation of heat storage in the thermal influence zone at t moment (J) |
| Δkmn | correction of elemental temperature stiffness matrix caused by third boundary condition |
| Δpm | correction of elemental heat capacity matrix caused by third boundary condition |
| Δt | time interval in the numerical calculation (s) |
| Δz | space interval in the numerical calculation (m) |
Subscript
| s | subsea mud |
| a | air |
| sea | sea |
| in | inlet |
| out | outlet |
| set | set |
| f | fluid |
Superscript
| e | elemet |
Appendix A
| Content | Value |
|---|---|
| Carrier pipe | Φ 324 × 14.3 |
| Casing pipe | Φ 457 × 17.5 |
| Length | 30 km |
| Roughness | 0.04572 mm |
| Insulation material | Polyurethane foam |
| Buried depth | 1.5 m from seabed to top of external pipe |
| Single riser length (in sea) | 18 m |
| Single riser length (in air) | 10 m |
| Thermal Conductivity (W/(m·°C)) | Density (kg/m3) | Heat Capacity (J/(kg·°C)) |
|---|---|---|
| 10 | 2025 | 2500 |
| Pipe Wall | Thickness (mm) | Thermal Conductivity (W/(m·°C)) | Density (kg/m3) | Heat Capacity (J/(kg·°C)) |
|---|---|---|---|---|
| Carrier pipe | 14.3 | 50 | 7850 | 483 |
| Insultaion | 45 | 0.0225 | 50 | 1500 |
| Air space | 4 | 0.02326 | 1.225 | 1000 |
| Casing pipe | 17.5 | 50 | 7850 | 483 |
| Content | Value |
|---|---|
| Preheating medium | Water |
| Preheating flow rate | 150 m3/h |
| Preheating temperature | 70 °C |
| Average temperature of seawater | 9 °C |
| Temperature of bottom seawater | 8.5 °C |
| Air temperature | 10 °C |
References
- Ding, L.; Zhang, J.; Lin, A. A Deep-Sea Pipeline Skin Effect Electric Heat Tracing System. Energies 2019, 12, 2466. [Google Scholar] [CrossRef]
- Zhang, H.; Liang, Y.; Ma, J.; Shen, Y.; Yan, X.; Yuan, M. An improved PSO method for optimal design of subsea oil pipelines. Ocean Eng. 2017, 141, 154–163. [Google Scholar] [CrossRef]
- Cheng, Q.; Gan, Y.; Su, W.; Liu, Y.; Sun, W.; Xu, Y. Research on Exergy Flow Composition and Exergy Loss Mechanisms for Waxy Crude Oil Pipeline Transport Processes. Energies 2017, 10, 1–20. [Google Scholar]
- Martinez-Palou, R.; de Lourdes Mosqueira, M.; Zapata-Rendon, B.; Mar-Juarez, E.; Bernal-Huicochea, C.; de la Cruz Clavel-Lopez, J.; Aburto, J. Transportation of heavy and extra-heavy crude oil by pipeline: A review. J. Petrol. Sci. Eng. 2011, 75, 274–282. [Google Scholar] [CrossRef]
- Hart, A. A review of technologies for transporting heavy crude oil and bitumen via pipelines. J. Petrol. Explor. Prod. Technol. 2014, 4, 327–336. [Google Scholar] [CrossRef]
- Bai, Y.; Bai, Q. Subsea Engineering Handbook; Gulf Professional Publishing: Boston, MA, USA, 2010. [Google Scholar]
- Xing, X.; Dou, D.; Li, Y.; Wu, C. Optimizing control parameters for crude pipeline preheating through numerical simulation. Appl. Therm. Eng. 2013, 51, 890–898. [Google Scholar] [CrossRef]
- Yuan, Z.; Wang, Y.; Xie, Y.; Dai, K.; Ming, L. Study improves subsea pipeline preheating. Oil Gas J. 2014, 112, 88–95. [Google Scholar]
- Chakraborty, S.; Talimi, V. Thermal analysis of offshore buried pipelines through expermental investigations and numerical analysis. In Proceedings of the ASME 2016 International Mechanical Engineering Congress and Exposition (IMECE2016), Phoenix, AZ, USA, 11–17 November 2016. [Google Scholar]
- Chakraborty, S.; Talimi, V.; Muzychka, Y.; McAffee, R.; Piercey, G. Design of experimental and validation of model for offshore buried pipeline thermal analysis. In Proceedings of the 2016 11th International Pipeline Conference, Calgary, AB, Canada, 26–30 Sepetember 2016. [Google Scholar]
- Barletta, A.; Lazzari, S.; Zanchini, E.; Terenzi, A. Transient heat transfer from an offshore buried pipeline during start-up working conditions. Heat Transf. Eng. 2008, 29, 942–949. [Google Scholar] [CrossRef]
- Chen, G.Q.; Zhao, M.H.; Xu, B. Thermal characteristics simulation of the commissioning process for new buried heated oil pipelines. Adv. Mater. Res. 2011, 30, 610–616. [Google Scholar] [CrossRef]
- Qi, H.; Wang, Y.; Wu, G.; Li, D. Experimental study on affecting factors of shutdown time of submarine oil pipeline. In Proceedings of the 2010 International Conference on Intelligent System Design and Engineering Application, Changsha, China, 13–14 October 2010. [Google Scholar]
- Thusyanthan, N.I.; Cleverly, W.; Haigh, S.K.; Ratnam, S. Thermal imaging, thermal conductivity of soil and heat loss from buried pipelines. In Proceedings of the Offshore Pipeline Technology Conference, Amsterdam, The Netherlands, 23–24 February 2011. [Google Scholar]
- Oh, D.; Park, J.M.; Lee, K.H.; Zakarian, E.; Lee, J. Effect of buried depth on steady-state heat-transfer characteristics for pipeline-flow assurance. SPE J. 2014, 19, 1162–1167. [Google Scholar] [CrossRef]
- Chakraborty, S. Experimental Investigation and Modeling of Heat Loss Mechanism from Offshore Buried Pipelines. Master’s Thesis, Memorial University of Newfoundland, St John’s, NL, Canada, 2017. [Google Scholar]
- Chakraboty, S.; Talimi, V.; Muzychka, Y.; McAffee, R. Modeling of heat loss from offshore buried pipeline through experimental investigation and numerical analysis. In Proceedings of the Arctic Technology Conference, St. John’s, NL, Canada, 24–26 October 2016. [Google Scholar]
- Thiyagarajan, R.; Yovanovich, M.M. Thermal resistance of a buried cylinder with constant flux boundary condition. J. Heat Transf. 1974, 96, 249–250. [Google Scholar] [CrossRef]
- Bau, H.H.; Sadhai, S.S. Heat losses from a fluid flowing in a buried pipe. Int. J. Heat Mass Transf. 1982, 25, 1621–1629. [Google Scholar] [CrossRef]
- Patience, G.S.; Mehrotra, A.K. Laminar start-up flow in short pipe lengths. Can. J. Chem. Eng. 1989, 67, 883–888. [Google Scholar] [CrossRef]
- Wei, N.; Li, C.; Peng, X.; Li, Y.; Zeng, F. Daily natural gas consumption forecasting via the application of a novel hybrid model. Appl. Energy 2019, 250, 358–368. [Google Scholar] [CrossRef]
- Wei, N.; Li, C.; Peng, X.; Zeng, F.; Lu, X. Conventional models and artificial intelligence-based models for energy consumption forecasting: A review. J. Petrol. Sci. Eng. 2019, 181, 106187. [Google Scholar] [CrossRef]
- Xu, C.; Yu, B.; Zhang, Z.; Zhang, J.; Wei, J.; Sun, S. Numerical simulation of a buried hot crude oil pipeline during shutdown. Petrol. Sci. 2010, 7, 73–82. [Google Scholar] [CrossRef]
- Yu, W.; Liu, W.; Lai, Y.; Che, X. Nonlinear analysis of coupled temprature-seepage problem of warm oil pipe in permafrost regions of Northeast China. Appl. Therm. Eng. 2014, 70, 988–995. [Google Scholar] [CrossRef]
- Lanzafame, R.; Mauro, S.; Messina, M.; Brusca, S. Heat exchange numerical modeling of a submarine pipeline for crude oil transport. Energy Procedia 2017, 126, 18–25. [Google Scholar] [CrossRef]
- Vedeneev, D.E. Combined thermal-momentum start-up in long pipes. Int. J. Heat Mass Transf. 1990, 33, 78–84. [Google Scholar]
- Ma, G.; Gu, F.; Gu, J.; Li, X. Numerical simulation on soil temperature field around underground hot oil pipelines and medium temperature-drop in the process of staring. In Proceedings of the International Conference on Pipelines and Trenchless Technology 2009, Shanghai, China, 18–21 October 2009. [Google Scholar]
- Li, Y.; Wu, C.; Yu, Y. Parallel computing on the preheating and commissioning of hot oil pipelines. In Proceedings of the 2013 International Conference on Advanced Information Engineering and Education Science (ICAIEES 2013), Beijing, China, 19–20 December 2013. [Google Scholar]
- Yuan, Q.; Wu, C.; Yu, B.; Han, D.; Zhang, X.; Cai, L.; Sun, D. Study on the thermal characteristics of crude oil batch pipelining with differential outlet temperature and inconstant flow rate. J. Petrol. Sci. Eng. 2018, 160, 519–530. [Google Scholar] [CrossRef]
- Johnson, C. , Numerical Solution of Partial Differential Equations by the Finite Element Method; Courier Dover Publications: New York, NY, USA, 2012. [Google Scholar]
- Chai, J.; Lee, H.; Patankar, S. Finite volume method for radiation heat transfer. J. Thermophys. Heat Transf. 1994, 8, 419–425. [Google Scholar] [CrossRef]
- Melenk, J.; Babuška, I. The partition of unity finite element method: Basic theory and applications. Comput. Methods Appl. Mesh. Eng. 1996, 139, 289–314. [Google Scholar] [CrossRef]
- Wheeler, J. Simulation of Heat Transfer from a Warm Pipeline Buried in Permafrost; American Institute of Chemical Engineers: New York, NY, USA, 1973. [Google Scholar]
- Xu, B.; Xue, X.; Yao, Z.; Wang, L.; Zhu, F.; Huo, L. Numerical simulation of crude pipeline using moisture-heat coupled thermal equation. Adv. Mater. Res. 2011, 268–270, 154–159. [Google Scholar] [CrossRef]
- Tao, L.; Junsheng, S.; Peixue, J. The influence of ambient temperature and preheating water temperature on temperature field of soil during preheating buried hot crude oil pipeline for startup. Acta Energiae Solars Sinica 2006, 27, 1053–1057. [Google Scholar]
- Yu, G.; Yu, B.; Han, D.; Wang, L. Unsteady-state thermal calculation of buried oil pipeline using a proper orthogonal decomposition reduced-order model. Appl. Therm. Eng. 2013, 51, 177–189. [Google Scholar] [CrossRef]
- Barletta, A.; Zanchinia, E.; Lazzaria, S.; Terenzib, A. Numerical study of heat transfer from an offshore buried pipeline under steady–periodic thermal boundary conditions. Appl. Therm. Eng. 2008, 28, 1168–1176. [Google Scholar] [CrossRef]
- Qi, H. Study on Heat Transfer of Shutdown and Start-Up of Submarine oil Pipeline. Ph.D. Thesis, Daqing Petroleum Institute, Daqing, China, 2009. [Google Scholar]
- Bai, Y.; Niedzwecki, J.M.; Sanchez, M. Numerical investigation of thermal fields around subsea buried pipelines. In Proceedings of the ASME 33rd International Conference on Ocean, Offshore and Arctic Engineering, San Francisco, CA, USA, 8–13 June 2014. [Google Scholar]
- Zakarian, E.; Holbeach, J.; Morgan, J. A holistic approach to steady-state heat transfer from partially and fully buried pipelines. In Proceedings of the Offshore Technology Conference, Houston, TX, USA, 30 April–3 May 2012. [Google Scholar]
- Ekweribe, C.; Civan, F. Transient wax gel formation model for shut-in subsea pipelines. J. Energy Resour. Technol. 2011, 133, 033001. [Google Scholar] [CrossRef]
- Sund, F.; Oosterkamp, A.; Hope, S.M. Pipeline modeling- impact of ambient temperature and heat transfer model. In Proceedings of the 2015 International Ocean and Polar Engineering Conference, Kona, HI, USA, 21–26 June 2015. [Google Scholar]
- Magda, W. Comparison of soil models in the thermodynamic analysis of a submarine pipeline buried in seabed sediments. Pol. Marit. Res. 2017, 24, 124–130. [Google Scholar] [CrossRef][Green Version]
- Yu, B.; Li, C.; Zhang, Z.; Liu, X.; Zhang, J.; Wei, J.; Sun, S.; Huang, J. Numerical simulation of a buried hot crude oil pipeline under normal operation. Appl. Therm. Eng. 2010, 30, 2670–2679. [Google Scholar] [CrossRef]
- Wan, W.; Zhang, B.; Chen, X.; Lian, J. Water Hammer Control Analysis of an Intelligent Surge Tank with Spring Self-Adaptive Auxiliary Control System. Energies 2019, 12, 2527. [Google Scholar] [CrossRef]
- Eisler, B.; Mckee, M. Analysis and solutions for warm-up of insulated offshore arctic pipelines during winter construction. In Proceedings of the Offshore Technology Conference, Houston, TX, USA, 7–9 February 2011. [Google Scholar]
- Wan, W.; Zhang, B.; Chen, X. Investigation on Water Hammer Control of Centrifugal Pumps in Water Supply Pipeline Systems. Energies 2018, 12, 108. [Google Scholar] [CrossRef]
- Bai, Y.; Niedzwecki, J.M. Modeling deepwater seabed steady-state thermal fields around buried pipeline including trenching and backfill effects. Comput. Geotech. 2014, 61, 221–229. [Google Scholar] [CrossRef]
- Yuan, Q.; Yu, B.; Li, J.; Han, D.; Zhang, W. Study on the restart algorithm for a buried hot oil pipeline based on wavelet collocation method. Int. J. Heat Mass Transf. 2018, 125, 891–907. [Google Scholar] [CrossRef]
- Li, Z.; Cui, X.; Cai, Y. Analysis of heat transfer problems using a novel low-order FEM based on gradient weighted operation. Int. J. Therm. Sci. 2018, 132, 52–64. [Google Scholar] [CrossRef]
- Liu, G.; Quek, S. The Finite Element Method, 2nd ed.; Butterworth Heinemann: Oxford, UK, 2014; pp. 347–396. [Google Scholar]
- General Administration of Quality Supervision Inspection and Quarantine of the People’s Republic of China. Verification Regulation of Pipe Prover; JJG 209—2010; General Administration of Quality Supervision Inspection and Quarantine of the People’s Republic of China: Beijing, China, 2010.
- Wang, Y. Research on the Preheating and Commissioning Process of Subsea Hot Oil Pipeline Based on Numerical Simulation Method. Ph.D. Thesis, Southwest Petroleum University, Chengdu, China, 2016. [Google Scholar]
- Seyfaee, A.; Lashkarbolooki, M.; Esmaeilzadeh, F.; Mowla, D. Investigation of the Effect of Insulation on Wax Deposition in an Iranian Crude Oil Pipeline with OLGA Simulator. J. Disper. Sci. Technol. 2012, 33, 1218–1224. [Google Scholar] [CrossRef]
- Omowunmi, S.C.; Abdulssalam, M.; Janssen, R.; Otigbah, P. Methodology For Characterising Slugs and Operational Mitigation Strategy Using Olga Slug Tracking Module-Egina Deepwater Project. In Proceedings of the Offshore Mediterranean Conference and Exhibition, Ravenna, Italy, 20–22 March 2013. [Google Scholar]
- Kinnari, K.; Labes-Carrier, C.; Lunde, K.; Hemmingsen, P.V.; Davies, S.R.; Boxall, J.A.; Koh, C.A.; Sloan, E.D. Hydrate plug formation prediction tool—An Increasing need for flow assurance in the oil industry. In Proceedings of the 6th International Conference on Gas Hydrates (ICGH 2008), Vancouver, BC, Canada, 6–10 July 2008. [Google Scholar]
- Mokhatab, S.; Towler, B.F. Severe slugging in flexible risers: Review of experimental investigations and OLGA predictions. Petrol. Sci. Technol. 2007, 25, 867–880. [Google Scholar] [CrossRef]
- Volk, M. Displacement & Mixing in Subsea Jumpers–Experimental Data & CFD Simulations. Report of Research Patnership to Secure Energy for America. The University of Tulsa, 22 April 2013. [Google Scholar]
- Xu, X.; Gong, J. Pigging simulation for horizontal gas-condensate pipelines with low-liquid loading. J. Petrol. Sci. Eng. 2005, 48, 272–280. [Google Scholar] [CrossRef]
- Wei, N.; Li, C.; Li, C.; Xie, H.; Du, Z.; Zhang, Q.; Zeng, F. Short-term forecasting of natural gas consumption using factor selection algorithm and optimized support vector regression. J. Energy Resour. Technol. 2019, 141, 032701. [Google Scholar] [CrossRef]
- Jiang, H. Design and Management of Crude Oil Pipeline; Oil Industry Press: Beijing, China, 2010; pp. 172–173. [Google Scholar]



















| Content | Value |
|---|---|
| Length | 30 km |
| Carrier pipe | Φ 324 × 14.3 |
| Insulation | Polyurethane foam, 45 mm |
| Casing pipe | Φ 457 × 17.5 |
| Preheating Time, h | Field Measurement Value, °C | Method Established | OLGA Simulator | ||
|---|---|---|---|---|---|
| Simulated Value, °C | ARE, % | Simulated Value, °C | ARE, % | ||
| 0 | 9.7 | 9.03 | 6.95 | 9.00 | 7.22 |
| 2 | 9.3 | 9.03 | 2.88 | 9.01 | 3.13 |
| 4 | 9.2 | 9.04 | 1.73 | 9.02 | 1.99 |
| 6 | 9.2 | 9.05 | 1.64 | 9.02 | 1.91 |
| 8 | 9.3 | 9.06 | 2.61 | 9.03 | 2.89 |
| 12 | 9.4 | 9.07 | 3.47 | 9.06 | 3.67 |
| 16 | 14.3 | 33.40 | 133.60 | 31.65 | 121.33 |
| 18 | 49.8 | 57.26 | 14.98 | 58.23 | 16.93 |
| 22 | 60.7 | 64.09 | 5.58 | 64.57 | 6.37 |
| 25 | 62 | 64.13 | 3.44 | 64.58 | 4.16 |
| 28 | 63 | 64.14 | 1.81 | 64.58 | 2.51 |
| 35 | 63 | 64.21 | 1.92 | 64.58 | 2.51 |
| Preheating Plan | Stable Outlet Temperature, (°C) | Time Consumption*,(h) | Water Consumption, (m3) |
|---|---|---|---|
| 100 m3/h, 77.1 °C | 68.2 | 33.5 | 3350 |
| 125 m3/h, 72.9 °C | 66 | 26.5 | 3312.5 |
| 150 m3/h, 70.1 °C | 64.2 | 22.5 | 3375 |
| 175 m3/h, 68 °C | 63.4 | 20 | 3500 |
| 200 m3/h, 66.4 °C | 62.5 | 18 | 3600 |
| 225 m3/h, 65.2 °C | 61.8 | 16.5 | 3712.5 |
| 250 m3/h, 64.3 °C | 61.5 | 13.3 | 3325 |
| 275 m3/h, 63.5 °C | 60.9 | 12.3 | 3382.5 |
| 300 m3/h, 62.9 °C | 60.6 | 11.5 | 3450 |
| 325 m3/h, 62.3 °C | 60.2 | 10.8 | 3510 |
| 350 m3/h, 61.8 °C | 60.1 | 10 | 3500 |
© 2019 by the authors. Licensee MDPI, Basel, Switzerland. This article is an open access article distributed under the terms and conditions of the Creative Commons Attribution (CC BY) license (http://creativecommons.org/licenses/by/4.0/).
Share and Cite
Wang, Y.; Wei, N.; Wan, D.; Wang, S.; Yuan, Z. Numerical Simulation for Preheating New Submarine Hot Oil Pipelines. Energies 2019, 12, 3518. https://doi.org/10.3390/en12183518
Wang Y, Wei N, Wan D, Wang S, Yuan Z. Numerical Simulation for Preheating New Submarine Hot Oil Pipelines. Energies. 2019; 12(18):3518. https://doi.org/10.3390/en12183518
Chicago/Turabian StyleWang, Yong, Nan Wei, Dejun Wan, Shouxi Wang, and Zongming Yuan. 2019. "Numerical Simulation for Preheating New Submarine Hot Oil Pipelines" Energies 12, no. 18: 3518. https://doi.org/10.3390/en12183518
APA StyleWang, Y., Wei, N., Wan, D., Wang, S., & Yuan, Z. (2019). Numerical Simulation for Preheating New Submarine Hot Oil Pipelines. Energies, 12(18), 3518. https://doi.org/10.3390/en12183518

