Sign in to use this feature.

Years

Between: -

Subjects

remove_circle_outline
remove_circle_outline
remove_circle_outline
remove_circle_outline
remove_circle_outline
remove_circle_outline

Journals

Article Types

Countries / Regions

Search Results (14)

Search Parameters:
Keywords = subjective and objective smell tests

Order results
Result details
Results per page
Select all
Export citation of selected articles as:
10 pages, 517 KB  
Article
Impact of Pregnancy Rhinitis on Olfactory Sensitivity: A Controlled Comparative Study
by Krystyna Sobczyk, Alicja Grajczyk, Karolina Dżaman, Justyna Zarzecka and Ewa Barcz
Diagnostics 2025, 15(20), 2572; https://doi.org/10.3390/diagnostics15202572 - 13 Oct 2025
Viewed by 1765
Abstract
Background/Objectives: During pregnancy, the body undergoes numerous physiological changes, many of which are driven by significant hormonal shifts. Pregnancy rhinitis is a condition characterized by nasal congestion that occurs during pregnancy without any other signs of respiratory infection or known allergic causes. [...] Read more.
Background/Objectives: During pregnancy, the body undergoes numerous physiological changes, many of which are driven by significant hormonal shifts. Pregnancy rhinitis is a condition characterized by nasal congestion that occurs during pregnancy without any other signs of respiratory infection or known allergic causes. The aim of the study was to examine the impact of pregnancy rhinitis on the sense of smell. Specifically, it focused on determining how the nasal congestion associated with pregnancy rhinitis may alter olfactory perception in pregnant people. Methods: The study group comprised fifty women, aged 18 to 41, all in their third trimester of pregnancy. The control group was made up of 25 non-pregnant women between the ages of 25 and 31. Olfactory function was assessed using Sniffin’ Sticks, and each participant completed the SNOT-22 questionnaire. Additionally, ENT examination, nasofiberoscopy, rhinomanometry were performed. Results: The comparison between the control and study groups in terms of detection, discrimination, and identification test scores revealed statistically significant differences. The study group demonstrated lower odor average test scores, indicating worse olfactory acuity and poorer identification abilities, with these effects being strong. In addition, the study group showed a lower discrimination test score compared to the study group, though this effect was weak. On the other hand, the control group showed a higher level of discrimination test score compared to the study group, though this effect was weak. However, the pregnant women did not perceive any subjective impairment in their sense of smell even though they had smell disturbances confirmed in the Sniffin Stick test. The SNOT-22 questionnaire results indicated that the study group reported subjectively worse nasal patency compared to the control group. Conclusions: This controlled study demonstrated that olfactory disturbances, confirmed by the Sniffin’ Sticks test, affected half of the pregnant participants, with reduced smell sensitivity observed in advanced pregnancy compared to non-pregnant controls. Notably, more than half of the women with objectively confirmed olfactory deficits did not report subjective complaints, highlighting the need for greater clinical awareness of sensory changes during pregnancy. Pregnancy-related swelling of the nasal mucosa leads to impaired upper airway airflow, contributing to a reduction in olfactory sensitivity. Full article
(This article belongs to the Section Clinical Diagnosis and Prognosis)
Show Figures

Figure 1

18 pages, 1460 KB  
Article
Persistent Post-COVID-19 Olfactory Dysfunction and Its Association with Autonomic Nervous System Function: A Case–Control Study
by Lojine Ayoub, Abeer F. Almarzouki, Rajaa Al-Raddadi and Mohamed A. Bendary
Diseases 2025, 13(1), 4; https://doi.org/10.3390/diseases13010004 - 28 Dec 2024
Viewed by 6037
Abstract
Background: Following the Coronavirus Disease 2019 (COVID-19) pandemic, many patients have reported ongoing smell and taste issues. This study aims to investigate the prevalence of olfactory and gustatory dysfunction among patients with a history of COVID-19 and its association with autonomic dysfunction and [...] Read more.
Background: Following the Coronavirus Disease 2019 (COVID-19) pandemic, many patients have reported ongoing smell and taste issues. This study aims to investigate the prevalence of olfactory and gustatory dysfunction among patients with a history of COVID-19 and its association with autonomic dysfunction and disability. Patient and Methods: This case–control study included a COVID-19 group (n = 82) and a control group (n = 82). Olfactory dysfunction, including parosmia and taste problems, was explored using self-reports and the Quick Smell Identification Test (QSIT). The association between post-COVID-19 disability severity and taste and smell alterations was also analyzed. Moreover, autonomic function was evaluated using the Composite Autonomic Symptom Scale-31 (COMPASS-31) to assess the association between autonomic and olfactory dysfunction. Results: Significantly higher rates of ongoing smell (26.8%) and taste (14.6%) dysfunction were reported for the post-COVID-19 group compared to the control group. Post-COVID-19 patients reported 36.6 times more smell issues and 8.22 times more taste issues than controls. Parosmia scores were significantly worse in the post-COVID-19 group, while QSIT scores showed no significant difference between the groups. However, those with worse QSIT scores exhibited significantly more ongoing smell issues. No significant association was observed between disability and altered smell or taste. Higher secretomotor dysfunction scores were significantly associated with abnormal QSIT scores and worse parosmia scores; the other domains of the COMPASS-31 scale showed no significant associations. Conclusions: The findings indicated a potential link between autonomic and olfactory dysfunction. Further studies are needed to elucidate the mechanisms underlying persistent olfactory and autonomic dysfunction in post-COVID-19 patients. Full article
(This article belongs to the Special Issue COVID-19 and Global Chronic Disease 2024: The Post-pandemic Era)
Show Figures

Figure 1

10 pages, 2039 KB  
Article
Evaluation of Smell Function in Patients with Childhood Epilepsy with Centrotemporal Spikes at a Pediatric Neurology Clinic—A Case–Control Study
by Orhan Coşkun, Burçin Nazlı Karacabey, Afra Ünal, Samet Paksoy and Hale Nur Durak
J. Clin. Med. 2024, 13(21), 6474; https://doi.org/10.3390/jcm13216474 - 29 Oct 2024
Cited by 1 | Viewed by 1763
Abstract
Objective: Childhood epilepsy with centrotemporal spikes (CECTS) is associated with cognitive, behavioral, and language difficulties. These epileptic discharges predominantly occur in the temporal lobe, which is known to be involved in olfactory functions. This study aims to assess olfactory dysfunction in patients with [...] Read more.
Objective: Childhood epilepsy with centrotemporal spikes (CECTS) is associated with cognitive, behavioral, and language difficulties. These epileptic discharges predominantly occur in the temporal lobe, which is known to be involved in olfactory functions. This study aims to assess olfactory dysfunction in patients with CECTS. Methods: This study included patients diagnosed with CECTS who were attending follow-ups at the Department of Child Neurology between January 2022 and July 2023. Olfactory function was evaluated using the Sniffin’ Sticks (Burghart GmbH, Wedel, Germany) 12-point screening test, which was administered to 44 patients and 35 controls. The smell test and the final control EEGs were performed simultaneously. Results: A total of 44 patients and 35 control subjects were enrolled in this study. The smell scores were significantly lower in the patient group compared to the control group (p = 0.029). The patient group had a very high prevalence of anosmia compared to the control group. The normosmia rate in the control group was significantly higher. No significant difference was observed in the smell scores based on EEG findings or antiepileptic drug type. Conclusions: Olfactory dysfunction was identified in patients with CECTS compared to healthy controls, yielding results consistent with findings for other types of epilepsy. Olfactory dysfunction was detected in a greater frequency among the patients diagnosed with CECTS than among the healthy control group, and similar results were obtained with other types of epilepsy. It was deduced that these patients may experience problems with smell sensitivity throughout their lives. The most important result of this study is that this condition should be taken into account in regard to patients’ well-being and lives. Full article
(This article belongs to the Special Issue Epilepsy: Causes, Symptoms, Diagnosis, and Treatment)
Show Figures

Figure 1

13 pages, 2673 KB  
Article
The Influence of Bedroom CO2 Concentration on Sleep Quality
by Rui Wang, Wei Li, Jianfeng Gao, Chaoyi Zhao, Jiazheng Zhang, Qingfeng Bie, Mingjie Zhang and Xinchang Chen
Buildings 2023, 13(11), 2768; https://doi.org/10.3390/buildings13112768 - 1 Nov 2023
Cited by 7 | Viewed by 25640
Abstract
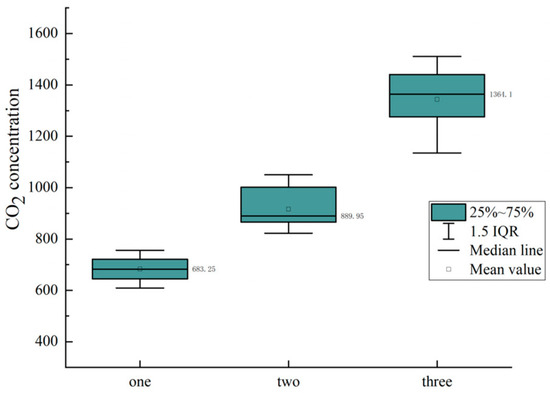
A person spends about a third of their life sleeping, and high sleep quality is very important for health. Environmental factors are one of the most important factors affecting sleep quality, and indoor carbon dioxide (CO2) concentration while sleeping has a [...] Read more.
A person spends about a third of their life sleeping, and high sleep quality is very important for health. Environmental factors are one of the most important factors affecting sleep quality, and indoor carbon dioxide (CO2) concentration while sleeping has a significant effect on sleep quality. In an indoor bedroom with no open windows and no fresh air system, different numbers of people sleeping will lead to changes in indoor CO2 concentration. In order to study the changes in sleep quality caused by differences in CO2 concentration, experimental research was performed. Objective sleep quality data are collected with polysomnography (PSG) and a subjective questionnaire. The sleep quality of the subjects is tested under three different CO2 concentration levels; the average carbon dioxide concentration of three conditions is 680, 920, and 1350 ppm, which simulate a room with 1, 2, and 3 people sleeping, respectively. Other environment parameters are controlled as follows: test environment temperature is 26 ± 0.5 °C, relative humidity is 50 ± 5%, there is no obvious heat source in the test room, and the radiation temperature and air temperature difference is less than 1 °C. A total of 30 subjective tests were carried out with 10 subjects; the test lasted more than one month. The data subsequently underwent statistical analysis to determine the influence of CO2 concentration on sleep quality. The results show that as the CO2 concentration level increased, the sleep quietness and satisfaction of the subjects gradually decreased, the sleep duration gradually decreased, and symptoms such as throat discomfort, dyspnea, dry and itchy skin, difficulty falling asleep, difficulty waking up, congested nose and bad air smell become more obvious. The PSG test results showed that CO2 concentration has a significant impact on the proportion of the N3 period. According to the group of CO2 concentration conditions, the mean of the N3 period proportion under the conditions of one person, two persons, and three persons is 20.4%, 17.3%, and 14.4%, respectively. Finally, there was also an increase in turning over or awakening during sleep, indicating that sleep quality was reduced under higher CO2 concentrations. Full article
Show Figures

Figure 1

12 pages, 929 KB  
Article
The Correlation between the Results of the Sniffin’ Sticks Test, Demographic Data, and Questionnaire of Olfactory Disorders in a Hungarian Population after a SARS-CoV-2 Infection
by András Molnár, Stefani Maihoub, Panayiota Mavrogeni, Magdolna Krasznai, László Tamás and Helga Kraxner
J. Clin. Med. 2023, 12(3), 1041; https://doi.org/10.3390/jcm12031041 - 29 Jan 2023
Cited by 13 | Viewed by 2202
Abstract
Background: After a severe acute respiratory syndrome coronavirus-2 (SARS-CoV-2) infection, smell disorders frequently occur, significantly affecting patients’ quality of life (QoL). Methods: 110 patients with persistent olfactory disorder after coronavirus infection were enrolled. These patients underwent chemosensory testing using the Sniffin’ Sticks test, [...] Read more.
Background: After a severe acute respiratory syndrome coronavirus-2 (SARS-CoV-2) infection, smell disorders frequently occur, significantly affecting patients’ quality of life (QoL). Methods: 110 patients with persistent olfactory disorder after coronavirus infection were enrolled. These patients underwent chemosensory testing using the Sniffin’ Sticks test, and completed the Questionnaire of Olfactory Disorders (QOD). Results: 30% of the patients reported anosmia, and 70% reported hyposmia. Upon comparing subjective and chemosensory testing categories, good category matching was observed in 75.3% (i.e., anosmia based on both methods in 10 and hyposmia in 48 cases). Statistical analysis using the Chi-square test revealed a significant result (p = 0.001 *). Between the TDI (i.e., Threshold, Discrimination, Identification) results of the three subjective report groups (i.e., hyposmia, anosmia, and parosmia), no significant differences were observed. When the TDI and QOD results were compared, no consistent significant correlations were found in most TDI and QOD outcomes. Between the TDI and Scale 2 results, a significant, although slight correlation was observed by the Spearman’s (rho = 0.213, p = 0.027 *) and Pearson’s (rho = 0.201, p = 0.037 *) tests. Conclusions: The nonsignificant correlation between objective and subjective methods suggests that these results should be interpreted independently. Moreover, adequate management is essential even in mild cases. Full article
Show Figures

Figure 1

15 pages, 6506 KB  
Review
Olfactory Evaluation in Clinical Medical Practice
by Květoslav Červený, Karla Janoušková, Kristýna Vaněčková, Šárka Zavázalová, David Funda, Jaromír Astl and Richard Holy
J. Clin. Med. 2022, 11(22), 6628; https://doi.org/10.3390/jcm11226628 - 8 Nov 2022
Cited by 15 | Viewed by 11317
Abstract
The subjective and demanding nature of olfactory testing means that it is often neglected in clinic despite loss of smell leading to significant limitations in everyday life. The list of diseases associated with loss of olfaction far exceeds the field of otorhinolaryngology and [...] Read more.
The subjective and demanding nature of olfactory testing means that it is often neglected in clinic despite loss of smell leading to significant limitations in everyday life. The list of diseases associated with loss of olfaction far exceeds the field of otorhinolaryngology and can also be seen in neurodegenerative disorders. Knowledge of possible clinical testing is essential to determine a proper differential diagnosis for the loss of olfactory sense. Causes of olfactory impairment can be divided into either failure in transferring odour to the organ of perception or damage to the olfactory pathway structure itself. Examination should therefore include methods evaluating cross-sectional area and patency of the nasal cavity as well as subjective or objective assessment of olfactory function. In this report we summarize several articles, studies, and our own experiences to provide a comprehensive review of their current clinical usage including their benefits, limitations, and possible outcomes. We also discuss the mechanism of olfaction step by step to provide a full understanding of the possible errors depending on the localization in the pathway and the methods designed for their detection. We discuss the correlation of the microbiome in nasal polyposis and chronic rhinitis with olfactory impairment using objective olfactometry. The topic of objective olfactometry and the examination of olfactory event-related potentials (OERP) is commented upon in detail. Full article
Show Figures

Figure 1

9 pages, 936 KB  
Article
Effectiveness of Dupilumab in the Treatment of Patients with Uncontrolled Severe CRSwNP: A “Real-Life” Observational Study in Naïve and Post-Surgical Patients
by Giancarlo Ottaviano, Tommaso Saccardo, Giuseppe Roccuzzo, Riccardo Bernardi, Alessandra Di Chicco, Alfonso Luca Pendolino, Bruno Scarpa, Edoardo Mairani and Piero Nicolai
J. Pers. Med. 2022, 12(9), 1526; https://doi.org/10.3390/jpm12091526 - 17 Sep 2022
Cited by 51 | Viewed by 4888
Abstract
Background: Chronic rhinosinusitis with nasal polyps (CRSwNP) represents 25–30% of all CRS cases, and in the most severe forms it is associated with a poor quality of life and a high rate of nasal polyps’ recurrence after surgery. Dupilumab has been suggested [...] Read more.
Background: Chronic rhinosinusitis with nasal polyps (CRSwNP) represents 25–30% of all CRS cases, and in the most severe forms it is associated with a poor quality of life and a high rate of nasal polyps’ recurrence after surgery. Dupilumab has been suggested as a treatment option for severe CRSwNP. Methods: Patients with severe CRSwNP receiving dupilumab from January 2021 were followed up at 1, 3, 6, 9 and 12 months from the first administration and were considered for this study. At baseline and at each follow-up, patients underwent nasal endoscopy and completed the Sinonasal Outcome Test (SNOT)-22, a Visual Analogue Scale (VAS) for smell/nasal obstruction, the Nasal Congestion Score and the Asthma Control Test. Peak nasal inspiratory flow (PNIF), a smell test, nasal cytology and blood eosinophilia were also evaluated. Results: Forty-seven patients were included in the study. Of these, 33 patients had a history of previous surgery (ESS) and had recurrent nasal polyps, while 14 patients were naïve to nasal surgery. Both subjective and objective parameters improved after biological treatment and were correlated with each other (p < 0.05), except for the SNOT-22 and the nasal polyp’s score. No correlations were found between nasal and blood eosinophilia. No differences were observed when comparing the post-surgical and the naïve groups. Conclusions: Dupilumab improves nasal obstruction and the sense of smell and reduces the level of local inflammation in severe CRSwNP patients in a similar way in both naïve and post-surgical patients. Full article
(This article belongs to the Special Issue Personalized Medicine in Otorhinolaryngology)
Show Figures

Figure 1

9 pages, 1175 KB  
Article
Frequency and Severity of Ear–Nose–Throat (ENT) Symptoms during COVID-19 Infection
by Natalia Zięba, Grażyna Lisowska, Adam Dadok, Joanna Kaczmarek, Grażyna Stryjewska-Makuch and Maciej Misiołek
Medicina 2022, 58(5), 623; https://doi.org/10.3390/medicina58050623 - 29 Apr 2022
Cited by 7 | Viewed by 3411
Abstract
Background and Objectives: Coronavirus disease 2019 (COVID-19) is a new disease entity caused by the severe acute respiratory syndrome coronavirus 2 (SARS-CoV-2). The main symptoms of infection at the onset of the pandemic include dyspnea, cough and high fever. Ear–nose–throat (ENT) symptoms [...] Read more.
Background and Objectives: Coronavirus disease 2019 (COVID-19) is a new disease entity caused by the severe acute respiratory syndrome coronavirus 2 (SARS-CoV-2). The main symptoms of infection at the onset of the pandemic include dyspnea, cough and high fever. Ear–nose–throat (ENT) symptoms are among the ones presented by patients in the course of infection. The aim of the study was to analyze the frequency of ENT symptoms and to assess their severity and duration in COVID-19 patients. Materials and Methods: The study included 337 patients who had been infected with SARS-CoV-2, as confirmed by a PCR test. The study participants were >18 years old; the mean age was 43.98 years ± 13.47 SD. The convalescents completed a questionnaire that contained 26 questions, including 9 detailed questions related to ENT symptoms, such as sore throat, vertigo, dizziness, hearing disorders, olfactory disorders, taste disturbance, headache, cough and dyspnea. The severity of symptoms was assessed using a Visual Analogue Scale (VAS). Results: The most reported ENT symptoms were olfactory disorders, which occurred in 72% of patients. The second most frequent symptom was taste disturbance (68%), VAS = 6.79 ± 3.01. Vertigo and dizziness were reported by 34% of respondents (VAS = 4.01 ± 2.01). Tinnitus was observed in 15% of patients, VAS = 3.87 ± 1.98; 14% of the subjects reported hearing impairment (VAS = 3.81 ± 2.37). Conclusions: Symptoms related to the sense of smell, taste and hearing are some of the most common symptoms in the course of COVID-19, which is important in the therapeutic and epidemiological management of patients. Delayed diagnosis and treatment of symptoms, especially those related to the hearing organ, may result in greater permanent damage. Full article
(This article belongs to the Section Infectious Disease)
Show Figures

Figure 1

10 pages, 1292 KB  
Article
Olfactory Dysfunction in COVID-19 Patients Who Do Not Report Olfactory Symptoms: A Pilot Study with Some Suggestions for Dentists
by Riccardo Favero, Silva Hajrulla, Anna Bordin, Carla Mucignat-Caretta, Piergiorgio Gaudioso, Bruno Scarpa, Lorenzo Favero and Giancarlo Ottaviano
Int. J. Environ. Res. Public Health 2022, 19(3), 1036; https://doi.org/10.3390/ijerph19031036 - 18 Jan 2022
Cited by 7 | Viewed by 3263
Abstract
Background: Smell and taste dysfunction are frequently reported by SARS-CoV-2 positive patients. The degree of olfactory and gustatory dysfunction varies from a very mild reduction to their complete loss. Several studies have been performed to determine their prevalence in COVID-19 patients, mostly using [...] Read more.
Background: Smell and taste dysfunction are frequently reported by SARS-CoV-2 positive patients. The degree of olfactory and gustatory dysfunction varies from a very mild reduction to their complete loss. Several studies have been performed to determine their prevalence in COVID-19 patients, mostly using subjective measurement methods. The literature lacks long-term studies regarding duration and recovery. Methods: We assessed olfactory performance, using the Sniffin’ Sticks olfactory test, in a group of patients who had not reported olfactory dysfunction, around 131 days after their COVID-19 diagnosis. Results: 11 out of 20 subjects showed no olfactory reduction (65%), while 9 subjects showed reduced TDI score (45%). A total of 13 subjects (65%) scored above the cutoff point for Threshold, 16 subjects (80%) scored above the cutoff point for discrimination and 13 subjects (65%) scored above the cutoff point for identification. Conclusion: Objective measurement methods of olfactory performance show a higher prevalence of olfactory reduction compared to patients’ self-reported questionnaires. Olfactory dysfunction can last even months after its onset and because of its high prevalence, it could be a screening symptom for suspect COVID-19 cases. Full article
(This article belongs to the Topic State-of-the-Art Dentistry and Oral Health)
Show Figures

Figure 1

8 pages, 736 KB  
Article
COVID-19 Symptoms and Diagnoses among a Sociodemographically Diverse Cohort of Children from New York City: Lessons from the First Wave, Spring 2020
by Linda G. Kahn, Akhgar Ghassabian, Melanie H. Jacobson, Keunhyung Yu and Leonardo Trasande
Int. J. Environ. Res. Public Health 2021, 18(22), 11886; https://doi.org/10.3390/ijerph182211886 - 12 Nov 2021
Cited by 1 | Viewed by 3004
Abstract
Early in the pandemic, in the North American epicenter, we investigated associations between sociodemographic factors and rates of pediatric COVID-19 diagnoses in a non-clinical setting and whether symptoms varied by child age. From 20 April–31 August 2020, COVID-19-related data were collected on 2694 [...] Read more.
Early in the pandemic, in the North American epicenter, we investigated associations between sociodemographic factors and rates of pediatric COVID-19 diagnoses in a non-clinical setting and whether symptoms varied by child age. From 20 April–31 August 2020, COVID-19-related data were collected on 2694 children aged ≤ 18 years living in households participating in the New York University Children’s Health and Environment Study. We examined differences in rates of subjective and objective diagnoses according to sociodemographic characteristics and differences in reported symptoms by child age. Children of women who were non-Hispanic White, had private health insurance, higher income, or more education were more likely to be diagnosed via WHO criteria or healthcare provider. Children of women who were Hispanic or Asian, reported low income, had less education, or were/lived with an essential worker were more likely to test positive. Older children were less likely to experience cough or runny nose and more likely to experience muscle/body aches, sore throat, headache, and loss of smell or taste than younger children. In conclusion, relying on subjective disease ascertainment methods, especially in the early stage of an outbreak when testing is not universally available, may misrepresent the true prevalence of disease among sociodemographic subgroups. Variations in symptoms by child age should be considered when determining diagnostic criteria. Full article
(This article belongs to the Topic Burden of COVID-19 in Different Countries)
Show Figures

Figure 1

16 pages, 859 KB  
Article
Simple Disposable Odor Identification Tests for Predicting SARS-CoV-2 Positivity
by Laura Ziuzia-Januszewska, Paweł Dobrzyński, Krzysztof Ślączka, Jaromir Ciszek, Łukasz Krawiec, Waldemar Wierzba and Artur Zaczyński
Int. J. Environ. Res. Public Health 2021, 18(19), 10185; https://doi.org/10.3390/ijerph181910185 - 28 Sep 2021
Cited by 5 | Viewed by 2315
Abstract
Olfactory dysfunction (OD) is a common manifestation of COVID-19 and may be useful for screening. Survey-based olfactory evaluation tends to underestimate the prevalence of OD, while psychophysical olfactory testing during a pandemic has the disadvantage of being time consuming, expensive, and requiring standardized [...] Read more.
Olfactory dysfunction (OD) is a common manifestation of COVID-19 and may be useful for screening. Survey-based olfactory evaluation tends to underestimate the prevalence of OD, while psychophysical olfactory testing during a pandemic has the disadvantage of being time consuming, expensive, and requiring standardized laboratory settings. We aimed to develop a quick, simple, affordable, and reliable test to objectively assess the prevalence and diagnostic accuracy of OD in COVID-19. The olfactory function of 64 COVID-19 inpatients and 34 controls was evaluated using a questionnaire and a simple disposable odor identification test (SDOIT) developed for this study. Four SDOIT models were assessed: 10-SDOIT, 9-SDOIT, 8-SDOIT, and 4-SDOIT, with 10, 9, 8 and 4 samples, respectively. We found a high frequency of self-reported OD in COVID-19 patients, with 32.8% and 42.2% reporting current and recent OD, respectively. Different SDOIT models revealed smell impairment in 54.7–64.1% of COVID-19 patients. The combination of either 10-SDOIT results and self-reported OD, or 8-SDOIT results and self-reported OD, were the best predictors of COVID-19, both with an AUC value of 0.87 (0.85 and 0.86 for the age-matched subjects). OD is a common symptom of COVID-19. A combination of self-reported smell deterioration and OD psychophysically evaluated using SDOIT appears to be a good predictor of COVID-19. Full article
(This article belongs to the Topic Burden of COVID-19 in Different Countries)
Show Figures

Figure 1

10 pages, 827 KB  
Article
Olfactory and Gustatory Function before and after Laparoscopic Sleeve Gastrectomy
by Cecilia Berro, Alfonso Luca Pendolino, Mirto Foletto, Maria Cristina Facciolo, Pietro Maculan, Luca Prevedello, Diletta Giulia Giuntoli, Bruno Scarpa, Chiara Pavan, Peter J. Andrews and Giancarlo Ottaviano
Medicina 2021, 57(9), 913; https://doi.org/10.3390/medicina57090913 - 31 Aug 2021
Cited by 6 | Viewed by 2498
Abstract
Background and Objectives: Bariatric surgery is the gold standard for the treatment of morbid obesity, and current evidence suggests that patients undergoing surgery can show changes in their sense of taste and smell. However, no definitive conclusions can be drawn given the [...] Read more.
Background and Objectives: Bariatric surgery is the gold standard for the treatment of morbid obesity, and current evidence suggests that patients undergoing surgery can show changes in their sense of taste and smell. However, no definitive conclusions can be drawn given the heterogeneity of the studies and the contrasting results reported in the literature. Materials and Methods: We enrolled 18 obese patients undergoing laparoscopic sleeve gastrectomy (LSG) and 15 obese controls. At baseline (T0) and 6 months after enrollment/surgery (T1), both groups underwent Sniffin’ Sticks and whole mouth test. Post-operative qualitative taste variations were also analyzed and SNOT-22, VAS for taste and smell, and MMSE were administered. Results: An improvement in the olfactory threshold was observed in the treatment group (p = 0.03) at 6 months. At multivariate analysis, the olfactory threshold differences observed correlated with MMSE (p = 0.03) and T0 gustatory identification (p = 0.01). No changes in sense of taste were observed between the two groups at 6 months, even though nine subjects in the treatment group reported a worsening of taste. This negatively correlated with age (p < 0.001), but a positive marginal correlation was observed with the olfactory threshold difference between T0 and T1 (p = 0.06). Conclusions: Olfaction can improve after LSG, and this seems to be the consequence of an improved olfactory threshold. Although we did not observe any change in gustatory identification, food’s pleasantness worsened after bariatric surgery. Full article
Show Figures

Figure 1

10 pages, 962 KB  
Article
Seroprevalence of Anti-SARS-CoV-2 Antibodies in a Random Sample of Inhabitants of the Katowice Region, Poland
by Jan E. Zejda, Grzegorz M. Brożek, Małgorzata Kowalska, Kamil Barański, Angelina Kaleta-Pilarska, Artur Nowakowski, Yuchen Xia and Paweł Buszman
Int. J. Environ. Res. Public Health 2021, 18(6), 3188; https://doi.org/10.3390/ijerph18063188 - 19 Mar 2021
Cited by 24 | Viewed by 4831
Abstract
Lack of knowledge around seroprevalence levels of COVID-19 in Poland was the reason for the implementation of a seroepidemiological study in the Katowice Region (2,100,000 inhabitants). In October–November 2020, a questionnaire examination and measurement of anti-SARS-CoV-2 IgG and IgM antibodies were performed in [...] Read more.
Lack of knowledge around seroprevalence levels of COVID-19 in Poland was the reason for the implementation of a seroepidemiological study in the Katowice Region (2,100,000 inhabitants). In October–November 2020, a questionnaire examination and measurement of anti-SARS-CoV-2 IgG and IgM antibodies were performed in a random sample of the general population (n = 1167). The objectives of the study were to estimate the prevalence of IgG and IgM antibodies and to assess their host-related correlates. The prevalence of IgG seropositivity was 11.4% (95% CI: 9.5–13.2%) and IgM seropositivity was 4.6% (95% CI: 3.5–5.8%). Diagnosis of COVID-19 was found in 4.8% of subjects. A positive IgG test was statistically significantly associated with age (inverse relationship), a person’s contact with a COVID-19 patient, quarantine, and two symptoms in the past: fever and loss of smell/taste. Positive IgG tests were less prevalent in subjects who had diagnoses of arterial hypertension, diabetes, or rheumatologic disorders. IgM test positivity was associated with quarantine and loss of smell/taste only with no effect of chronic diseases found. In Poland, in the period October–November 2020, the prevalence of SARS-CoV-2 infection was larger than earlier estimates obtained in other European countries, probably reflecting the measurements obtained during the “second wave” of the epidemic. Full article
Show Figures

Figure 1

6 pages, 210 KB  
Brief Report
Objective Olfactory Findings in Hospitalized Severe COVID-19 Patients
by Jerome R. Lechien, Morgane Ducarme, Sammy Place, Carlos M. Chiesa-Estomba, Mohamad Khalife, Giacomo De Riu, Luigi Angelo Vaira, Christophe de Terwangne, Shahram Machayekhi, Arnaud Marchant, Fabrice Journe and Sven Saussez
Pathogens 2020, 9(8), 627; https://doi.org/10.3390/pathogens9080627 - 31 Jul 2020
Cited by 36 | Viewed by 3923
Abstract
Objective: We investigate the prevalence of the self-reported and objective sudden loss of smell (SLS) in patients with severe coronavirus disease 2019 (COVID-19). Methods: Severe COVID-19 patients with self-reported SLS were recruited at hospitalization discharge. Epidemiological and clinical data were collected. The Sino-nasal [...] Read more.
Objective: We investigate the prevalence of the self-reported and objective sudden loss of smell (SLS) in patients with severe coronavirus disease 2019 (COVID-19). Methods: Severe COVID-19 patients with self-reported SLS were recruited at hospitalization discharge. Epidemiological and clinical data were collected. The Sino-nasal Outcome Test-22 (SNOT-22) was used to evaluate rhinological complaints. Subjective olfactory and gustatory functions were assessed with the National Health and Nutrition Examination Survey (NHNES). Objective SLS was evaluated using psychophysical tests. Potential associations between olfactory evaluation and the clinical outcomes (duration of hospitalization; admission biology; one month serology (IgG), and chest computed tomography findings) were studied. Results: Forty-seven patients completed the study (25 females). Subjectively, eighteen (38.3%) individuals self-reported subjective partial or total SLS. Among them, only three and four were anosmic and hyposmic, respectively (38.9%). Considering the objective evaluation in the entire cohort, the prevalence of SLS was 21.3%. Elderly patients and those with diabetes had lower objective olfactory evaluation results than young and non-diabetic individuals. Conclusions: The prevalence of SLS in severe COVID-19 patients appears to be lower than previously estimated in mild-to-moderate COVID-19 forms. Future comparative studies are needed to explore the predictive value of SLS for COVID-19 severity. Full article
Back to TopTop