Sign in to use this feature.

Years

Between: -

Subjects

remove_circle_outline
remove_circle_outline
remove_circle_outline
remove_circle_outline
remove_circle_outline

Journals

Article Types

Countries / Regions

Search Results (11)

Search Parameters:
Keywords = subadditivity of entropy

Order results
Result details
Results per page
Select all
Export citation of selected articles as:
16 pages, 308 KB  
Article
Belavkin–Staszewski Relative Entropy, Conditional Entropy, and Mutual Information
by Yuan Zhai, Bo Yang and Zhengjun Xi
Entropy 2022, 24(6), 837; https://doi.org/10.3390/e24060837 - 17 Jun 2022
Cited by 7 | Viewed by 3646
Abstract
Belavkin–Staszewski relative entropy can naturally characterize the effects of the possible noncommutativity of quantum states. In this paper, two new conditional entropy terms and four new mutual information terms are first defined by replacing quantum relative entropy with Belavkin–Staszewski relative entropy. Next, their [...] Read more.
Belavkin–Staszewski relative entropy can naturally characterize the effects of the possible noncommutativity of quantum states. In this paper, two new conditional entropy terms and four new mutual information terms are first defined by replacing quantum relative entropy with Belavkin–Staszewski relative entropy. Next, their basic properties are investigated, especially in classical-quantum settings. In particular, we show the weak concavity of the Belavkin–Staszewski conditional entropy and obtain the chain rule for the Belavkin–Staszewski mutual information. Finally, the subadditivity of the Belavkin–Staszewski relative entropy is established, i.e., the Belavkin–Staszewski relative entropy of a joint system is less than the sum of that of its corresponding subsystems with the help of some multiplicative and additive factors. Meanwhile, we also provide a certain subadditivity of the geometric Rényi relative entropy. Full article
(This article belongs to the Special Issue Quantum Information and Computation)
20 pages, 309 KB  
Article
Quantum Gravity If Non-Locality Is Fundamental
by Stuart A. Kauffman
Entropy 2022, 24(4), 554; https://doi.org/10.3390/e24040554 - 15 Apr 2022
Cited by 11 | Viewed by 4623
Abstract
I take non-locality to be the Michelson–Morley experiment of the early 21st century, assume its universal validity, and try to derive its consequences. Spacetime, with its locality, cannot be fundamental, but must somehow be emergent from entangled coherent quantum variables and their behaviors. [...] Read more.
I take non-locality to be the Michelson–Morley experiment of the early 21st century, assume its universal validity, and try to derive its consequences. Spacetime, with its locality, cannot be fundamental, but must somehow be emergent from entangled coherent quantum variables and their behaviors. There are, then, two immediate consequences: (i). if we start with non-locality, we need not explain non-locality. We must instead explain an emergence of locality and spacetime. (ii). There can be no emergence of spacetime without matter. These propositions flatly contradict General Relativity, which is foundationally local, can be formulated without matter, and in which there is no “emergence” of spacetime. If these be true, then quantum gravity cannot be a minor alteration of General Relativity but must demand its deep reformulation. This will almost inevitably lead to: matter not only curves spacetime, but “creates” spacetime. We will see independent grounds for the assertion that matter both curves and creates spacetime that may invite a new union of quantum gravity and General Relativity. This quantum creation of spacetime consists of: (i) fully non-local entangled coherent quantum variables. (ii) The onset of locality via decoherence. (iii) A metric in Hilbert space among entangled quantum variables by the sub-additive von Neumann entropy between pairs of variables. (iv) Mapping from metric distances in Hilbert space to metric distances in classical spacetime by episodic actualization events. (v) Discrete spacetime is the relations among these discrete actualization events. (vi) “Now” is the shared moment of actualization of one among the entangled variables when the amplitudes of the remaining entangled variables change instantaneously. (vii) The discrete, successive, episodic, irreversible actualization events constitute a quantum arrow of time. (viii) The arrow of time history of these events is recorded in the very structure of the spacetime constructed. (ix) Actual Time is a succession of two or more actual events. The theory inevitably yields a UV cutoff of a new type. The cutoff is a phase transition between continuous spacetime before the transition and discontinuous spacetime beyond the phase transition. This quantum creation of spacetime modifies General Relativity and may account for Dark Energy, Dark Matter, and the possible elimination of the singularities of General Relativity. Relations to Causal Set Theory, faithful Lorentzian manifolds, and past and future light cones joined at “Actual Now” are discussed. Possible observational and experimental tests based on: (i). the existence of Sub- Planckian photons, (ii). knee and ankle discontinuities in the high-energy gamma ray spectrum, and (iii). possible experiments to detect a creation of spacetime in the Casimir system are discussed. A quantum actualization enhancement of repulsive Casimir effect would be anti-gravitational and of possible practical use. The ideas and concepts discussed here are not yet a theory, but at most the start of a framework that may be useful. Full article
26 pages, 2236 KB  
Article
Multiscale Thermodynamics: Energy, Entropy, and Symmetry from Atoms to Bulk Behavior
by Ralph V. Chamberlin, Michael R. Clark, Vladimiro Mujica and George H. Wolf
Symmetry 2021, 13(4), 721; https://doi.org/10.3390/sym13040721 - 19 Apr 2021
Cited by 11 | Viewed by 3775
Abstract
Here, we investigate how the local properties of particles in a thermal bath may influence the thermodynamics of the bath, and consequently alter the statistical mechanics of subsystems that comprise the bath. We are guided by the theory of small-system thermodynamics, which is [...] Read more.
Here, we investigate how the local properties of particles in a thermal bath may influence the thermodynamics of the bath, and consequently alter the statistical mechanics of subsystems that comprise the bath. We are guided by the theory of small-system thermodynamics, which is based on two primary postulates: that small systems can be treated self-consistently by coupling them to an ensemble of similarly small systems, and that a large ensemble of small systems forms its own thermodynamic bath. We adapt this “nanothermodynamics” to investigate how a large system may subdivide into an ensemble of smaller subsystems, causing internal heterogeneity across multiple size scales. For the semi-classical ideal gas, maximum entropy favors subdividing a large system of “atoms” into an ensemble of “regions” of variable size. The mechanism of region formation could come from quantum exchange symmetry that makes atoms in each region indistinguishable, while decoherence between regions allows atoms in separate regions to be distinguishable by their distinct locations. Combining regions reduces the total entropy, as expected when distinguishable particles become indistinguishable, and as required by a theorem in quantum mechanics for sub-additive entropy. Combining large volumes of small regions gives the usual entropy of mixing for a semi-classical ideal gas, resolving Gibbs paradox without invoking quantum symmetry for particles that may be meters apart. Other models presented here are based on Ising-like spins, which are solved analytically in one dimension. Focusing on the bonds between the spins, we find similarity in the equilibrium properties of a two-state model in the nanocanonical ensemble and a three-state model in the canonical ensemble. Thus, emergent phenomena may alter the thermal behavior of microscopic models, and the correct ensemble is necessary for fully-accurate predictions. Another result using Ising-like spins involves simulations that include a nonlinear correction to Boltzmann’s factor, which mimics the statistics of indistinguishable states by imitating the dynamics of spin exchange on intermediate lengths. These simulations exhibit 1/f-like noise at low frequencies (f), and white noise at higher f, similar to the equilibrium thermal fluctuations found in many materials. Full article
(This article belongs to the Section Physics)
Show Figures

Figure 1

14 pages, 1705 KB  
Article
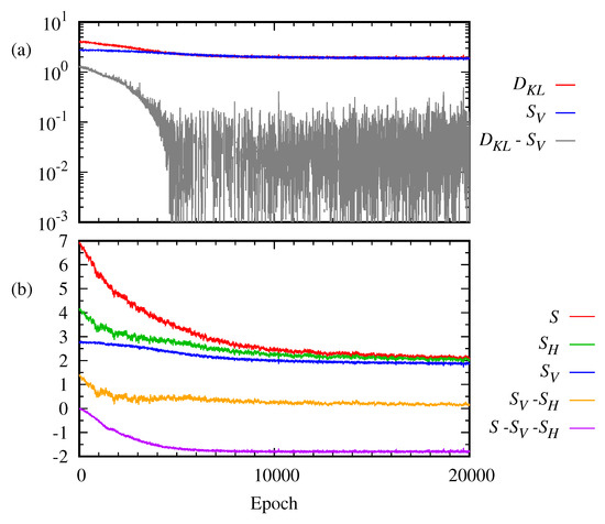
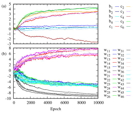
Entropy, Free Energy, and Work of Restricted Boltzmann Machines
by Sangchul Oh, Abdelkader Baggag and Hyunchul Nha
Entropy 2020, 22(5), 538; https://doi.org/10.3390/e22050538 - 11 May 2020
Cited by 7 | Viewed by 4678
Abstract
A restricted Boltzmann machine is a generative probabilistic graphic network. A probability of finding the network in a certain configuration is given by the Boltzmann distribution. Given training data, its learning is done by optimizing the parameters of the energy function of the [...] Read more.
A restricted Boltzmann machine is a generative probabilistic graphic network. A probability of finding the network in a certain configuration is given by the Boltzmann distribution. Given training data, its learning is done by optimizing the parameters of the energy function of the network. In this paper, we analyze the training process of the restricted Boltzmann machine in the context of statistical physics. As an illustration, for small size bar-and-stripe patterns, we calculate thermodynamic quantities such as entropy, free energy, and internal energy as a function of the training epoch. We demonstrate the growth of the correlation between the visible and hidden layers via the subadditivity of entropies as the training proceeds. Using the Monte-Carlo simulation of trajectories of the visible and hidden vectors in the configuration space, we also calculate the distribution of the work done on the restricted Boltzmann machine by switching the parameters of the energy function. We discuss the Jarzynski equality which connects the path average of the exponential function of the work and the difference in free energies before and after training. Full article
Show Figures

Figure 1

18 pages, 318 KB  
Article
Subadditive Pre-Image Variational Principle for Bundle Random Dynamical Systems
by Xianfeng Ma, Zhongyue Wang and Hailin Tan
Mathematics 2020, 8(3), 309; https://doi.org/10.3390/math8030309 - 27 Feb 2020
Cited by 1 | Viewed by 2429
Abstract
A central role in the variational principle of the measure preserving transformations is played by the topological pressure. We introduce subadditive pre-image topological pressure and pre-image measure-theoretic entropy properly for the random bundle transformations on a class of measurable subsets. On the basis [...] Read more.
A central role in the variational principle of the measure preserving transformations is played by the topological pressure. We introduce subadditive pre-image topological pressure and pre-image measure-theoretic entropy properly for the random bundle transformations on a class of measurable subsets. On the basis of these notions, we are able to complete the subadditive pre-image variational principle under relatively weak conditions for the bundle random dynamical systems. Full article
23 pages, 446 KB  
Article
Dual Loomis-Whitney Inequalities via Information Theory
by Jing Hao and Varun Jog
Entropy 2019, 21(8), 809; https://doi.org/10.3390/e21080809 - 18 Aug 2019
Cited by 2 | Viewed by 4184
Abstract
We establish lower bounds on the volume and the surface area of a geometric body using the size of its slices along different directions. In the first part of the paper, we derive volume bounds for convex bodies using generalized subadditivity properties of [...] Read more.
We establish lower bounds on the volume and the surface area of a geometric body using the size of its slices along different directions. In the first part of the paper, we derive volume bounds for convex bodies using generalized subadditivity properties of entropy combined with entropy bounds for log-concave random variables. In the second part, we investigate a new notion of Fisher information which we call the L 1 -Fisher information and show that certain superadditivity properties of the L 1 -Fisher information lead to lower bounds for the surface areas of polyconvex sets in terms of its slices. Full article
(This article belongs to the Special Issue Entropy and Information Inequalities)
Show Figures

Figure 1

19 pages, 360 KB  
Article
Tsallis Entropy of Fuzzy Dynamical Systems
by Dagmar Markechová
Mathematics 2018, 6(11), 264; https://doi.org/10.3390/math6110264 - 18 Nov 2018
Viewed by 2583
Abstract
This article deals with the mathematical modeling of Tsallis entropy in fuzzy dynamical systems. At first, the concepts of Tsallis entropy and Tsallis conditional entropy of order q , where q is a positive real number not equal to 1, of fuzzy partitions [...] Read more.
This article deals with the mathematical modeling of Tsallis entropy in fuzzy dynamical systems. At first, the concepts of Tsallis entropy and Tsallis conditional entropy of order q , where q is a positive real number not equal to 1, of fuzzy partitions are introduced and their mathematical behavior is described. As an important result, we showed that the Tsallis entropy of fuzzy partitions of order q > 1 satisfies the property of sub-additivity. This property permits the definition of the Tsallis entropy of order q > 1 of a fuzzy dynamical system. It was shown that Tsallis entropy is an invariant under isomorphisms of fuzzy dynamical systems; thus, we acquired a tool for distinguishing some non-isomorphic fuzzy dynamical systems. Finally, we formulated a version of the Kolmogorov–Sinai theorem on generators for the case of the Tsallis entropy of a fuzzy dynamical system. The obtained results extend the results provided by Markechová and Riečan in Entropy, 2016, 18, 157, which are particularized to the case of logical entropy. Full article
19 pages, 1075 KB  
Article
Tsallis Entropy of Product MV-Algebra Dynamical Systems
by Dagmar Markechová and Beloslav Riečan
Entropy 2018, 20(8), 589; https://doi.org/10.3390/e20080589 - 9 Aug 2018
Cited by 5 | Viewed by 3283
Abstract
This paper is concerned with the mathematical modelling of Tsallis entropy in product MV-algebra dynamical systems. We define the Tsallis entropy of order α , where α ( 0 , 1 ) ( 1 , ) , of a partition [...] Read more.
This paper is concerned with the mathematical modelling of Tsallis entropy in product MV-algebra dynamical systems. We define the Tsallis entropy of order α , where α ( 0 , 1 ) ( 1 , ) , of a partition in a product MV-algebra and its conditional version and we examine their properties. Among other, it is shown that the Tsallis entropy of order α , where α > 1 , has the property of sub-additivity. This property allows us to define, for α > 1 , the Tsallis entropy of a product MV-algebra dynamical system. It is proven that the proposed entropy measure is invariant under isomorphism of product MV-algebra dynamical systems. Full article
(This article belongs to the Special Issue Entropy in Dynamic Systems)
17 pages, 2352 KB  
Article
Properties of Risk Measures of Generalized Entropy in Portfolio Selection
by Rongxi Zhou, Xiao Liu, Mei Yu and Kyle Huang
Entropy 2017, 19(12), 657; https://doi.org/10.3390/e19120657 - 1 Dec 2017
Cited by 17 | Viewed by 5303
Abstract
This paper systematically investigates the properties of six kinds of entropy-based risk measures: Information Entropy and Cumulative Residual Entropy in the probability space, Fuzzy Entropy, Credibility Entropy and Sine Entropy in the fuzzy space, and Hybrid Entropy in the hybridized uncertainty of both [...] Read more.
This paper systematically investigates the properties of six kinds of entropy-based risk measures: Information Entropy and Cumulative Residual Entropy in the probability space, Fuzzy Entropy, Credibility Entropy and Sine Entropy in the fuzzy space, and Hybrid Entropy in the hybridized uncertainty of both fuzziness and randomness. We discover that none of the risk measures satisfy all six of the following properties, which various scholars have associated with effective risk measures: Monotonicity, Translation Invariance, Sub-additivity, Positive Homogeneity, Consistency and Convexity. Measures based on Fuzzy Entropy, Credibility Entropy, and Sine Entropy all exhibit the same properties: Sub-additivity, Positive Homogeneity, Consistency, and Convexity. These measures based on Information Entropy and Hybrid Entropy, meanwhile, only exhibit Sub-additivity and Consistency. Cumulative Residual Entropy satisfies just Sub-additivity, Positive Homogeneity, and Convexity. After identifying these properties, we develop seven portfolio models based on different risk measures and made empirical comparisons using samples from both the Shenzhen Stock Exchange of China and the New York Stock Exchange of America. The comparisons show that the Mean Fuzzy Entropy Model performs the best among the seven models with respect to both daily returns and relative cumulative returns. Overall, these results could provide an important reference for both constructing effective risk measures and rationally selecting the appropriate risk measure under different portfolio selection conditions. Full article
(This article belongs to the Special Issue Entropic Applications in Economics and Finance)
Show Figures

Figure 1

19 pages, 245 KB  
Review
Properties of Nonnegative Hermitian Matrices and New Entropic Inequalities for Noncomposite Quantum Systems
by Margarita A. Man'ko and Vladimir I. Man'ko
Entropy 2015, 17(5), 2876-2894; https://doi.org/10.3390/e17052876 - 6 May 2015
Cited by 37 | Viewed by 5805
Abstract
We consider the probability distributions, spin (qudit)-state tomograms and density matrices of quantum states, and their information characteristics, such as Shannon and von Neumann entropies and q-entropies, from the viewpoints of both well-known purely mathematical features of nonnegative numbers and nonnegative matrices and [...] Read more.
We consider the probability distributions, spin (qudit)-state tomograms and density matrices of quantum states, and their information characteristics, such as Shannon and von Neumann entropies and q-entropies, from the viewpoints of both well-known purely mathematical features of nonnegative numbers and nonnegative matrices and their physical characteristics, such as entanglement and other quantum correlation phenomena. We review entropic inequalities such as the Araki–Lieb inequality and the subadditivity and strong subadditivity conditions known for bipartite and tripartite systems, and recently obtained for single qudit states. We present explicit matrix forms of the known and some new entropic inequalities associated with quantum states of composite and noncomposite systems. We discuss the tomographic probability distributions of qudit states and demonstrate the inequalities for tomographic entropies of the qudit states. In addition, we mention a possibility to use the discussed information properties of single qudit states in quantum technologies based on multilevel atoms and quantum circuits produced of Josephson junctions. Full article
(This article belongs to the Special Issue Entanglement Entropy)
23 pages, 278 KB  
Article
On Some Properties of Tsallis Hypoentropies and Hypodivergences
by Shigeru Furuichi, Flavia-Corina Mitroi-Symeonidis and Eleutherius Symeonidis
Entropy 2014, 16(10), 5377-5399; https://doi.org/10.3390/e16105377 - 15 Oct 2014
Cited by 11 | Viewed by 6335
Abstract
Both the Kullback–Leibler and the Tsallis divergence have a strong limitation: if the value zero appears in probability distributions (p1, ··· , pn) and (q1, ··· , qn), it must appear in the [...] Read more.
Both the Kullback–Leibler and the Tsallis divergence have a strong limitation: if the value zero appears in probability distributions (p1, ··· , pn) and (q1, ··· , qn), it must appear in the same positions for the sake of significance. In order to avoid that limitation in the framework of Shannon statistics, Ferreri introduced in 1980 hypoentropy: “such conditions rarely occur in practice”. The aim of the present paper is to extend Ferreri’s hypoentropy to the Tsallis statistics. We introduce the Tsallis hypoentropy and the Tsallis hypodivergence and describe their mathematical behavior. Fundamental properties, like nonnegativity, monotonicity, the chain rule and subadditivity, are established. Full article
(This article belongs to the Section Statistical Physics)
Back to TopTop