Next Article in Journal
The Use of LPC and Wavelet Transform for Influenza Disease Modeling
Next Article in Special Issue
Fractional Form of a Chaotic Map without Fixed Points: Chaos, Entropy and Control
Previous Article in Journal
On a Matrix Inequality Related to the Distillability Problem
Previous Article in Special Issue
A Novel Image Encryption Scheme Based on Self-Synchronous Chaotic Stream Cipher and Wavelet Transform
 
 
Font Type:
Arial Georgia Verdana
Font Size:
Aa Aa Aa
Line Spacing:
Column Width:
Background:
Article

Tsallis Entropy of Product MV-Algebra Dynamical Systems

by
Dagmar Markechová
1,* and
Beloslav Riečan
2,3
1
Department of Mathematics, Faculty of Natural Sciences, Constantine the Philosopher University in Nitra, A. Hlinku 1, SK-949 01 Nitra, Slovakia
2
Department of Mathematics, Faculty of Natural Sciences, Matej Bel University, Tajovského 40, SK-974 01 Banská Bystrica, Slovakia
3
Mathematical Institute, Slovak Academy of Sciences, Štefánikova 49, SK-814 73 Bratislava, Slovakia
*
Author to whom correspondence should be addressed.
Entropy 2018, 20(8), 589; https://doi.org/10.3390/e20080589
Submission received: 17 July 2018 / Revised: 4 August 2018 / Accepted: 6 August 2018 / Published: 9 August 2018
(This article belongs to the Special Issue Entropy in Dynamic Systems)

Abstract

This paper is concerned with the mathematical modelling of Tsallis entropy in product MV-algebra dynamical systems. We define the Tsallis entropy of order α , where α ( 0 , 1 ) ( 1 , ) , of a partition in a product MV-algebra and its conditional version and we examine their properties. Among other, it is shown that the Tsallis entropy of order α , where α > 1 , has the property of sub-additivity. This property allows us to define, for α > 1 , the Tsallis entropy of a product MV-algebra dynamical system. It is proven that the proposed entropy measure is invariant under isomorphism of product MV-algebra dynamical systems.

1. Introduction

The Shannon entropy [1] is the foundational concept of information theory (cf. [2]). We remind readers that if an experiment has k outcomes with probabilities p 1 , p 2 , , p k , then its Shannon entropy is defined as the sum i = 1 k s ( p i ) , where s : [ 0 , 1 ] [ 0 , ) is Shannon’s entropy function defined by:
s ( x ) = x log x ,
for every x [ 0 , 1 ] ( 0 log 0 is defined to be 0). Many years later, the Shannon entropy was exploited surprisingly in a completely different field, namely, in dynamical systems. Recall that by a dynamical system in the sense of classical probability theory, we understand a system ( Ω , Σ , μ , T ) , where ( Ω , Σ , μ ) is a probability space, and T : Ω Ω is a measure μ preserving transformation. The entropy of dynamical systems was introduced by Kolmogorov and Sinai [3,4] as an invariant for distinguishing them. Namely, if two dynamical systems are isomorphic, then they have the same entropy. In this way Kolmogorov and Sinai showed the existence of non-isomorphic Bernoulli shifts.
The successful using the Kolmogorov-Sinai entropy of dynamical systems has led to an intensive study of alternative entropy measures of dynamical systems. We note that in Reference [5], the concept of logical entropy H l ( T ) of a dynamical system ( Ω , Σ , μ , T ) was introduced and studied. It has been shown that by replacing Shannon’s entropy function by the function l : [ 0 , 1 ] [ 0 , ) defined by:
l ( x ) = x x 2 ,
for every x [ 0 , 1 ] , we obtain the results analogous to the case of Kolmogorov-Sinai entropy theory. The logical entropy H l ( T ) is invariant under isomorphism of dynamical systems; so it can be used as an alternative instrument for distinguishing them. For some other recently published results regarding the logical entropy measure, we refer, for example, to References [6,7,8,9,10,11,12,13,14,15].
In fact, all of the above mentioned studies are possible in the Kolmogorov probability theory based on the modern integration theory. This allows us to describe and study some of the problems associated with uncertainty. In Reference [16], Zadeh presented another approach to uncertainty when he introduced the concept of a fuzzy set. Whereas the Kolmogorov probability applications are based on objective measurements, the Zadeh fuzzy set theory is based on subjective improvements. One of the first Zadeh papers on the fuzzy set theory was devoted to probability of fuzzy sets (cf. [17]), and therefore, the entropy of fuzzy dynamical systems has also been studied (cf. [18,19,20,21]). We recall that the fuzzy set is a mapping f : Ω [ 0 , 1 ] , hence, the fuzzy partition of Ω is a family of fuzzy sets A = { f 1 , f 2 , , f k } such that i = 1 k f i = 1 . Again we can meet the Shannon formula: H ( A ) = i = 1 k p i log p i , where p i = Ω f i d μ (cf. [21]).
Anyway the most useful tool for describing multivalued processes is an MV-algebra [22], especially after its Mundici’s characterization as an interval in a lattice ordered group (cf. [23,24]). At present, this structure is being investigated by many researchers, and it is natural that there are results also regarding the entropy in this structure; we refer, for instance, to References [25,26]. A probability theory was also investigated on MV-algebras; for a review see Reference [27]. Of course, in some probability problems it is needed to introduce a product on an MV-algebra, an operation outside the corresponding group addition. The operation of a product on an MV-algebra was introduced independently by Riečan [28] from the point of view of probability and Montagna [29] from the point of view of mathematical logic. We note that the notion of product MV-algebra generalizes some families of fuzzy sets; an example of product MV-algebra is a full tribe of fuzzy sets (see e.g., [30]).
The appropriate entropy theory of Shannon and Kolmogorov-Sinai type for the product MV-algebras was created in References [31,32]. The logical entropy, the logical divergence and the logical mutual information of partitions in a product MV-algebra were studied in Reference [8]. In the present paper, we extend the study of entropy in product MV-algebras to the case of Tsallis entropy.
The concept of Tsallis entropy was introduced in 1988 by Constantino Tsallis [33] as a base for generalizing the usual statistical mechanics. In its form it is identical with the Havrda-Charvát structural α —entropy [34], introduced in 1967 in the framework of information theory. If P = { p 1 , p 2 , , p k } is a probability distribution, then its Tsallis entropy of order α , where α ( 0 , 1 ) ( 1 , ) , is defined as the number:
T α ( P ) = 1 α 1 ( 1 i = 1 k p i α ) .
The entropic index α describes the deviation of Tsallis entropy from the standard Shannon one. Evidently, if we define, for α ( 0 , 1 ) ( 1 , ) , the function l α : [ 0 , 1 ] [ 0 , ) by:
l α ( x ) = 1 α 1 ( x x α ) ,
for every x [ 0 , 1 ] , then the Formula (3) can be written in the following form:
T α ( P ) = i = 1 k l α ( p i ) .
Putting α = 2 in Equation (5), we obtain:
T 2 ( P ) = i = 1 k l 2 ( p i ) = i = 1 k ( p i p i 2 ) = 1 i = 1 k p i 2 ,
which is the logical entropy of a probability distribution P = { p 1 , p 2 , , p k } defined and studied in Reference [6].
The Tsallis entropy is the most important quantity among Tsallis’ statistics, which form the foundation of nonextensive statistical mechanics of complex systems; for more details, see Reference [35]. The Tsallis statistics are used to describe systems exhibiting long-range correlations, memory, or fractal properties; their applications have been found for a wide range of phenomena in diverse disciplines such as physics, geophysics, chemistry, biology, economics, medicine, etc. [36,37,38,39,40,41,42,43,44,45,46,47,48]. They are also applicable to large domains in communication systems (cf. [49]).
In this article we continue studying entropy in a product MV-algebra, by defining and studying the Tsallis entropy of a partition in a product MV-algebra and the Tsallis entropy of product MV-algebra dynamical systems. The rest of the paper is structured as follows. In the following section, preliminaries and related works are given. Our main results are discussed in Section 3, Section 4 and Section 5. In Section 3, we define and study the Tsallis entropy of a partition in a product MV-algebra. In Section 4, we introduce the concept of conditional Tsallis entropy of partitions in a product MV-algebra and examine its properties. It is shown that the proposed definitions of Tsallis entropy are consistent, in the case of the limit of α going to 1, with the Shannon entropy of partitions studied in Reference [31]. Section 5 is devoted to the study of Tsallis entropy of product MV-algebra dynamical systems. It is proven that the suggested entropy measure is invariant under isomorphism of product MV-algebra dynamical systems. The last section contains a brief summary.

2. Preliminaries

We begin with recalling the definitions of the basic notions and some known results used in the paper. For defining the notion of MV-algebra, various (but of course equivalent) axiom systems were used (see e.g., [28,50,51]). In this paper, the definition of MV-algebra given by Riečan in Reference [52] is used, which is based on the Mundici representation theorem [23,24]. In view of the Mundici theorem, any MV-algebra may be considered to be an interval of an abelian lattice ordered group. Recall that by an abelian lattice ordered group [53], we mean a triplet ( L , + , ) , where ( L , + ) is an abelian group, ( L , ) is a partially ordered set being a lattice and, for every x , y , z L , x y x + z y + z .
Definition 1 
([52]). An MV-algebra is an algebraic structure A = ( A , , , 0 , u ) satisfying the following conditions:
(i) 
there exists an abelian lattice ordered group ( L , + , ) such that A = [ 0 , u ] = { x L ; 0 x u } , where 0 is the neutral element of ( L , + ) and u is a strong unit of L (i.e., u L such that u > 0 and to each x L there exists a natural number n with the property x n u );
(ii) 
and are binary operations on A satisfying the following identities: x y = ( x + y ) u , x y = ( x + y u ) 0 .
Definition 2 
([27]). A state on an MV-algebra A = ( A , , , 0 , u ) is a mapping s : A [ 0 , 1 ] with the following two properties:
(i) 
s ( u ) = 1 ;
(ii) 
if x , y A such that x + y u , then s ( x + y ) = s ( x ) + s ( y ) .
Definition 3 
([28]). A product MV-algebra is an algebraic structure ( A , , , , 0 , u ) , where ( A , , , 0 , u ) is an MV-algebra andis an associative and abelian binary operation on A with the following properties:
(i) 
for every x A , u x = x ;
(ii) 
if x , y , z A such that x + y u , then z x + z y u , and z ( x + y ) = z x + z y .
In the following text, we will briefly write ( A , ) instead of ( A , , , , 0 , u ) . A relevant probability theory for the product MV-algebras was developed by Riečan in Reference [54]; the entropy theory of Shannon and Kolmogorov-Sinai type for the product MV-algebras was proposed in References [31,32]. The logical entropy theory for the product MV-algebras was proposed in Reference [8]. We present the main idea and some results of these theories that will be used in the following text.
By a partition in a product MV-algebra ( A , ) , we mean a k-tuple X = ( x 1 , x 2 , , x k ) of (not necessarily different) members of A satisfying the condition x 1 + x 2 + + x k = u . Let X = ( x 1 , x 2 , , x k ) , and Y = ( y 1 , y 2 , , y l ) be two partitions in ( A , ) . We say that Y is a refinement of X , and we write X Y , if there exists a partition { β ( 1 ) , β ( 2 ) , , β ( k ) } of the set { 1 , 2 , , l } such that x i = j β ( i ) y j , for i = 1 , 2 , , k . Further, we define the join X Y of X and Y as an r-tuple (where r = k l ) consisting of the members x i j = x i y j , i = 1 , 2 , , k ,   j = 1 , 2 , , l . Since i = 1 k j = 1 l x i y j = ( i = 1 k x i ) ( j = 1 l y j ) = u u = u , the r-tuple X Y is a partition in ( A , ) . It represents an experiment consisting of the realization of X and Y .
Example 1.
Consider a probability space ( Ω , Σ , μ ) and define A = { I E ; E Σ } , where I E : Ω { 0 , 1 } stands for the indicator function of the set E Σ . The family A is closed under the product of indicator functions and it is a special case of product MV-algebras. The map s : A [ 0 , 1 ] defined, for every I E of A , by s ( I E ) = μ ( E ) , is a state on the considered product MV-algebra ( A , ) . Evidently, if { E 1 , E 2 , , E k } is a measurable partition of ( Ω , Σ , μ ) , then the k-tuple ( I E 1 , I E 2 , , I E k ) is a partition in the product MV-algebra ( A , ) .
Example 2.
Consider a probability space ( Ω , Σ , μ ) and the family A of all Σ -measurable functions f : Ω [ 0 , 1 ] , so called full tribe of fuzzy sets (cf., e.g., [21,30]). The family A is closed under the natural product of fuzzy sets and it is an important case of product MV-algebras. The mapping s : A [ 0 , 1 ] defined, for every f A , by the formula s ( f ) = Ω f d μ , is a state on the product MV-algebra ( A , ) . The concept of a partition in the product MV-algebra ( A , ) Tcoincides with the notion of a fuzzy partition (cf. [21]).
The definition of entropy of Shannon type of a partition in a product MV-algebra was introduced in [31] as follows.
Definition 4.
Let X = ( x 1 , x 2 , , x k ) be any partition in a product MV-algebra ( A , ) and s : A [ 0 , 1 ] be a state. Then the entropy of X with respect to s is defined by:
H s ( X ) = i = 1 k s ( x i ) log s ( x i ) .
If X = ( x 1 , x 2 , , x k ) , and Y = ( y 1 , y 2 , , y l ) are two partitions in ( A , ) , then the conditional entropy of X given y j Y is defined by:
H s ( X / y j ) = i = 1 k s ( x i / y j ) log s ( x i / y j ) ,
where:
s ( x i / y j ) = { s ( x i y j ) s ( y j ) , if s ( y j ) > 0 ; 0 , if s ( y j ) = 0 .
The conditional entropy of X given Y is defined by:
H s ( X / Y ) = j = 1 l s ( y j ) H s ( X / y j ) = i = 1 k j = 1 l s ( x i y j ) log s ( x i y j ) s ( y j ) .
It is used the standard convention that 0 log 0 x = 0 if x 0 . The basis of the logarithm may be any positive real number, but as a rule logarithms to the basis 2 are taken; the entropy is then expressed in bits. If the natural logarithms are taken in the definition, then the entropy is expressed in nats. The entropy of partitions in a product MV-algebra possesses properties corresponding to properties of Shannon’s entropy of measurable partitions; more details can be found in Reference [31].
The definition of logical entropy of a partition in a product MV-algebra was introduced in Reference [8] as follows.
Definition 5.
Let X = ( x 1 , x 2 , , x k ) be a partition in a product MV-algebra ( A , ) , and s : A [ 0 , 1 ] be a state. Then the logical entropy of X with respect to s is defined by:
H l s ( X ) = i = 1 k l ( s ( x i ) ) ,
where l : [ 0 , 1 ] [ 0 , ) is the logical entropy function defined by Equation (2). If X = ( x 1 , x 2 , , x k ) , and Y = ( y 1 , y 2 , , y l ) are two partitions in ( A , ) , then the conditional logical entropy of X given Y is defined by:
H l s ( X / Y ) = j = 1 l s ( y j ) 2 i = 1 k j = 1 l s ( x i y j ) 2 .

3. The Tsallis Entropy of Partitions in a Product MV-Algebra

We begin this section with the definition of Tsallis entropy of a partition in a product MV-algebra ( A , ) , and then we will examine its properties. In the following, we will suppose that s : A [ 0 , 1 ] is a state.
Definition 6.
Let X = ( x 1 , x 2 , , x k ) be a partition in a product MV-algebra ( A , ) . Then we define the Tsallis entropy of order α , where α ( 0 , 1 ) ( 1 , ) , of the partition X with respect to s by:
T α s ( X ) = 1 α 1 ( 1 i = 1 k s ( x i ) α ) .
Remark 1.
Let us consider the function l α : [ 0 , 1 ] [ 0 , ) defined by Equation (4). Since i = 1 k s ( x i ) = 1 , the formula (11) can be expressed in the following form:
T α s ( X ) = i = 1 k l α ( s ( x i ) ) .
Evidently, if we put α = 2 , the logical entropy H l s ( X ) is obtained. It is possible to verify that the function l α is, for every α ( 0 , 1 ) ( 1 , ) , a non-negative function. Namely, if α ( 0 , 1 ) , then we have x α x , for every x [ 0 , 1 ] , hence l α ( x ) = 1 α 1 ( x x α ) 0 , for every x [ 0 , 1 ] . On the other hand, for α > 1 , we have x α x , for every x [ 0 , 1 ] , hence l α ( x ) = 1 α 1 ( x x α ) 0 , for every x [ 0 , 1 ] .
Example 3.
Let ( A , ) be any product MV-algebra. Let us consider the partition E = ( u ) representing an experiment resulting in a certain event. Then E X , for every partition X in ( A , ) , and T α s ( E ) = l α ( s ( u ) ) = l α ( 1 ) = 0 .
Theorem 1.
Let X = ( x 1 , x 2 , , x k ) be any partition in a product MV-algebra ( A , ) . Then:
0 T α s ( X ) 1 α 1 ( 1 k 1 α ) .
The equality T α s ( X ) = 1 α 1 ( 1 k 1 α ) holds if and only if the state s is uniform over X, i.e., if and only if s ( x i ) = 1 k , for i = 1 , 2 , , k .
Proof. 
The inequality T α s ( X ) 0 follows from the non-negativity of function l α , so it is sufficient to prove the second assertion. We will use the Jensen inequality. It is easy to verify that the function l α is concave, therefore, applying the Jensen inequality, we have:
l α ( 1 k i = 1 k s ( x i ) ) i = 1 k 1 k l α ( s ( x i ) )
with the equality if and only if s ( x 1 ) = s ( x 2 ) = = s ( x k ) . Since i = 1 k s ( x i ) = 1 , it follows that:
T α s ( X ) = i = 1 k l α ( s ( x i ) ) k l α ( 1 k i = 1 k s ( x i ) ) = k l α ( 1 k ) = k α 1 ( 1 k ( 1 k ) α ) = 1 α 1 ( 1 k 1 α ) .
The equality holds if and only if s ( x 1 ) = s ( x 2 ) = = s ( x k ) , i.e., if and only if s ( x i ) = 1 k , for i = 1 , 2 , , k .  ☐
The following propositions will be needed for the proofs of our results.
Proposition 1.
Let X , Y , Z be partitions in a product MV-algebra ( A , ) . Then:
(i) 
X X Y ;
(ii) 
X Y implies X Z Y Z .
Proof. 
For the proof, see Reference [8]. ☐
Proposition 2.
Let X , Y , V , Z be partitions in a product MV-algebra ( A , ) such that X Y , and V Z . Then X V Y Z .
Proof. 
Let X = ( x 1 , x 2 , , x k ) , Y = ( y 1 , y 2 , , y l ) , V = ( v 1 , v 2 , , v m ) , Z = ( z 1 , z 2 , , z n ) , X Y , V Z . Then there exists a partition { β ( 1 ) , β ( 2 ) , , β ( k ) } of the set { 1 , 2 , , l } such that x i = j β ( i ) y j , for i = 1 , 2 , , k , and there exists a partition { γ ( 1 ) , γ ( 2 ) , , γ ( m ) } of the set { 1 , 2 , , n } such that v r = k γ ( r ) z k , for r = 1 , 2 , , m . Put δ ( i , r ) = { ( j , k ) ; j β ( i ) , k γ ( r ) } , for i = 1 , 2 , , k , r = 1 , 2 , , m . We get:
x i v r = ( j β ( i ) y j ) ( k γ ( r ) z k ) = ( j , k ) δ ( i , r ) y j z k ,
for i = 1 , 2 , , k , r = 1 , 2 , , m , what means that X V Y Z .  ☐
Proposition 3.
Let X = ( x 1 , x 2 , , x k ) be a partition in a product MV-algebra ( A , ) , and s : A [ 0 , 1 ] be a state. Then:
(i) 
i = 1 k s ( x i y ) = s ( y ) , for every y A ;
(ii) 
i = 1 k s ( x i / y ) = 1 , for every y A with s ( y ) > 0 .
Proof. 
For the proof of the claim (i), see [8]. If y A with s ( y ) > 0 , then using the previous equality, we obtain:
i = 1 k s ( x i / y ) = 1 s ( y ) i = 1 k s ( x i y ) = s ( y ) s ( y ) = 1 .  
Theorem 2.
Let X , Y be partitions in a product MV-algebra ( A , ) such that X Y . Then T α s ( X ) T α s ( Y ) .
Proof. 
Suppose that X = ( x 1 , x 2 , , x k ) , Y = ( y 1 , y 2 , , y l ) , X Y . Then there exists a partition { β ( 1 ) , β ( 2 ) , , β ( k ) } of the set { 1 , 2 , , l } such that x i = j β ( i ) y j , for i = 1 , 2 , , k . Hence s ( x i ) = s ( j β ( i ) y j ) = j β ( i ) s ( y j ) , for i = 1 , 2 , , k . Consider the case when α ( 1 , ) . Then:
s ( x i ) α = ( j β ( i ) s ( y j ) ) α j β ( i ) s ( y j ) α ,
for i = 1 , 2 , , k . Summing both sides of the above inequality over i, we get:
i = 1 k s ( x i ) α i = 1 k j β ( i ) s ( y j ) α = j = 1 l s ( y j ) α .
In this case we have 1 α 1 > 0 , hence:
T α s ( X ) = 1 α 1 ( 1 i = 1 k s ( x i ) α ) 1 α 1 ( 1 j = 1 l s ( y j ) α ) = T α s ( Y ) .
The case of α ( 0 , 1 ) can be obtained in the same way. ☐
As an immediate consequence of the previous theorem and Proposition 1, we obtain the following result.
Corollary 1.
For every partitions X , Y in a product MV-algebra ( A , ) , it holds:
T α s ( X Y ) max [ T α s ( X ) , T α s ( Y ) ] .
Proposition 4.
Let X = ( x 1 , x 2 , , x k ) , and Y = ( y 1 , y 2 , , y l ) be partitions in a product MV-algebra ( A , ) . Then, for α > 1 , it holds:
j = 1 l s ( y j ) α i = 1 k l α ( s ( x i / y j ) ) T α s ( X ) .
Proof. 
Applying the Jensen inequality, we have:
j = 1 l s ( y j ) l α ( s ( x i / y j ) ) l α ( j = 1 l s ( y j ) s ( x i / y j ) ) = l α ( j = 1 l s ( x i y j ) ) = l α ( s ( x i ) ) ,
for i = 1 , 2 , , k , and consequently:
j = 1 l s ( y j ) i = 1 k l α ( s ( x i / y j ) ) i = 1 k l α ( s ( x i ) ) = T α s ( X ) .
The assumption that α > 1 implies the inequality s ( y j ) α s ( y j ) , for j = 1 , 2 , , l . The function l α is non-negative, therefore, for j = 1 , 2 , , l , we get:
s ( y j ) α i = 1 k l α ( s ( x i / y j ) ) s ( y j ) i = 1 k l α ( s ( x i / y j ) ) ,
and consequently:
j = 1 l s ( y j ) α i = 1 k l α ( s ( x i / y j ) ) j = 1 l s ( y j ) i = 1 k l α ( s ( x i / y j ) ) .
The last inequality combined with (13) yields the claim. ☐
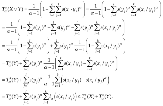
Theorem 3.
Let X , Y be partitions in a product MV-algebra ( A , ) . Then, for α > 1 , it holds:
T α s ( X Y ) T α s ( X ) + T α s ( Y ) .
Proof. 
Suppose that X = ( x 1 , x 2 , , x k ) , Y = ( y 1 , y 2 , , y l ) . Let us calculate:
Entropy 20 00589 i001
In the last step we used Proposition 4. ☐
Example 4.
Let us consider the family A of all Borel measurable functions f : [ 0 , 1 ] [ 0 , 1 ] , and define in A the operation as the natural product of fuzzy sets. Then the system ( A , ) is a product MV-algebra. In addition, we define a state s : A [ 0 , 1 ] by the formula s ( f ) = 0 1 f ( x ) d x , for every f A , and consider the pairs X = ( f 1 , f 2 ) , Y = ( g 1 , g 2 ) , where f 1 ( x ) = x , f 2 ( x ) = 1 x , g 1 ( x ) = x 2 , g 2 ( x ) = 1 x 2 , for every x [ 0 , 1 ] . Evidently, X and Y are partitions in the product MV-algebra ( A , ) . By elementary calculations we get that they have the state values 1 2 , 1 2 and 1 3 , 2 3 of the corresponding elements, respectively. The partition X Y = ( f 1 g 1 , f 1 g 2 , f 2 g 1 , f 2 g 2 ) has the state values 1 4 , 1 4 , 1 12 , 5 12 of the corresponding elements. We want to find out whether the statement of the previous theorem is true in the case under consideration. Using the formula (11), it can be computed that T 2 s ( X ) = 0.5 , T 2 s ( Y ) = ˙ 0.4444 , T 2 s ( X Y ) = ˙ 0.6944 , T 3 s ( X ) = 0.375 , T 3 s ( Y ) = ˙ 0.3333 , T 3 s ( X Y ) = ˙ 0.4479 . It holds T 2 s ( X Y ) < T 2 s ( X ) + T 2 s ( Y ) , and T 3 s ( X Y ) < T 3 s ( X ) + T 3 s ( Y ) , which is consistent with the assertion of Theorem 3. Put α = 1 2 . We obtain: T 1 / 2 s ( X ) = ˙ 0.8284 , T 1 / 2 s ( Y ) = ˙ 0.7877 , T 1 / 2 s ( X Y ) = ˙ 1.8683 . It can be seen that T 1 / 2 s ( X Y ) > T 1 / 2 s ( X ) + T 1 / 2 s ( Y ) . The result means that the Tsallis entropy T α s ( X ) of order α ( 0 , 1 ) does not have the property of sub-additivity.
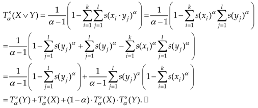
One of the most important properties of Shannon entropy is additivity. In the following theorem it is shown that the Tsallis entropy T α s ( X ) does not have the property of additivity; it satisfies the following weaker property of pseudo-additivity.
Theorem 4.
If partitions X , Y in a product MV-algebra ( A , ) are statistically independent with respect to s , i.e., s ( x y ) = s ( x ) s ( y ) , for every x X , and y Y , then:
T α s ( X Y ) = T α s ( X ) + T α s ( Y ) + ( 1 α ) T α s ( X ) T α s ( Y ) .
Proof. 
Suppose that X = ( x 1 , x 2 , , x k ) , Y = ( y 1 , y 2 , , y l ) . Let us calculate:
Entropy 20 00589 i002
In the last part of this section, we will prove the concavity of Tsallis entropy T α s ( X ) on the family of all states defined on a given product MV-algebra ( A , ) .
Proposition 5.
Let s 1 , s 2 be two states defined on a common product MV-algebra ( A , ) . Then, for every real number λ [ 0 , 1 ] , the map λ s 1 + ( 1 λ ) s 2 : A [ 0 , 1 ] is a state on ( A , ) .
Proof. 
The proof is simple, so it is omitted. ☐
Theorem 5.
Let s 1 , s 2 be two states defined on a common product MV-algebra ( A , ) . Then, for every partition X in a product MV-algebra ( A , ) , and for every real number λ [ 0 , 1 ] , the following inequality holds:
λ T α s 1 ( X ) + ( 1 λ ) T α s 2 ( X ) T α λ s 1 + ( 1 λ ) s 2 ( X ) .
Proof. 
Assume that X = ( x 1 , x 2 , , x k ) . The function l α is concave, therefore, for every real number λ [ 0 , 1 ] , we get:
λ T α s 1 ( X ) + ( 1 λ ) T α s 2 ( X ) = λ i = 1 k l α ( s 1 ( x i ) ) + ( 1 λ ) i = 1 k l α ( s 2 ( x i ) ) = i = 1 k ( λ l α ( s 1 ( x i ) ) + ( 1 λ ) l α ( s 2 ( x i ) ) ) i = 1 k l α ( λ s 1 ( x i ) + ( 1 λ ) s 2 ( x i ) ) = i = 1 k l α ( ( λ s 1 + ( 1 λ ) s 2 ) ( x i ) ) = T α λ s 1 + ( 1 λ ) s 2 ( X ) .  
As a consequence of Theorem 5, we get the concavity of the logical entropy H l s ( X ) as a function of s. The result of the previous theorem is illustrated in the following example.
Example 5.
Consider the product MV-algebra ( A , ) from Example 4 and the real functions G 1 , G 2 defined by the equalities G 1 ( x ) = x , G 2 ( x ) = x 2 , for every real number x . We define two states s 1 : A [ 0 , 1 ] , s 2 : A [ 0 , 1 ] by the formulas s 1 ( f ) = 0 1 f ( x ) d G 1 ( x ) = 0 1 f ( x ) d x , s 2 ( f ) = 0 1 f ( x ) d G 2 ( x ) = 0 1 f ( x ) 2 x d x , for every f of A . Further, we consider the partition X = ( I [ 0 , 1 3 ) , I [ 1 3 , 1 ] ) in ( A , ) . By simple calculation we get that it has the s 1 -state values 1 3 , 2 3 of the corresponding elements, and the s 2 -state values 1 9 , 8 9 of the corresponding elements. In the previous theorem we put λ = 0.2 . We will show that, for the chosen α ( 0 , 1 ) ( 1 , ) , the following inequality holds:
0.2 T α s 1 ( X ) + 0.8 T α s 2 ( X ) T α 0.2 s 1 + 0.8 s 2 ( X ) .
Put α = 1 2 . We calculated that T 1 / 2 s 1 ( X ) = ˙ 0.7877 , T 1 / 2 s 2 ( X ) = ˙ 0.5523 , and T 1 / 2 0.2 s 1 + 0.8 s 2 ( X ) = ˙ 0.6267 . One can easily check that in this case:
0.2 T 1 / 2 s 1 ( X ) + 0.8 T 1 / 2 s 2 ( X ) < T 1 / 2 0.2 s 1 + 0.8 s 2 ( X ) .
For the case of α = 2 , i.e., for the logical entropy, we get: T 2 s 1 ( X ) = ˙ 0.4444 , T 2 s 2 ( X ) = ˙ 0.1975 , T 2 0.2 s 1 + 0.8 s 2 ( X ) = ˙ 0.2627 , and for the case of α = 3 , we obtain: T 3 s 1 ( X ) = ˙ 0.3333 , T 3 s 2 ( X ) = ˙ 0.148148 , T 3 0.2 s 1 + 0.8 s 2 ( X ) = ˙ 0.19704 . One can easily check that in both cases the inequality (14) holds.

4. The Conditional Tsallis Entropy of Partitions in a Product MV-Algebra

In this section we introduce and study the concept of conditional Tsallis entropy of partitions in a product MV-algebra ( A , ) .
Definition 7. 
Let X = ( x 1 , x 2 , , x k ) , and Y = ( y 1 , y 2 , , y l ) be partitions in a product MV-algebra ( A , ) . We define the conditional Tsallis entropy of order α , where α ( 0 , 1 ) ( 1 , ) , of X given Y as the number:
T α s ( X / Y ) = 1 α 1 ( j = 1 l s ( y j ) α i = 1 k j = 1 l s ( x i y j ) α ) .
Remark 2.
Evidently, if we put α = 2 , then we obtain the conditional logical entropy of X given Y defined by Equation (10).
At α = 1 the value of T α s ( X / Y ) is undefined because it gives the shape 0 0 . In the following theorem it is shown that for α 1 the conditional Tsallis entropy T α s ( X / Y ) tends to the conditional Shannon entropy H s ( X / Y ) defined by the formula (8), when the natural logarithm is taken in this formula.
Theorem 6.
Let X = ( x 1 , x 2 , , x k ) , and Y = ( y 1 , y 2 , , y l ) be partitions in a product MV-algebra ( A , ) . Then:
lim α 1 T α s ( X / Y ) = i = 1 k j = 1 l s ( x i y j ) ln s ( x i y j ) s ( y j ) .
Proof. 
For every α ( 0 , 1 ) ( 1 , ) , we have:
T α s ( X / Y ) = 1 α 1 ( j = 1 l s ( y j ) α i = 1 k j = 1 l s ( x i y j ) α ) = f ( α ) g ( α ) ,
where f and g are continuous functions defined, for every α ( 0 , ) , by the equalities:
f ( α ) = j = 1 l s ( y j ) α i = 1 k j = 1 l s ( x i y j ) α , g ( α ) = α 1 .
The functions f and g are differentiable and evidently, lim α 1 g ( α ) = 0 . Also, it can easily be verified that lim α 1 f ( α ) = 0 . Indeed, by Proposition 3, we get:
lim α 1 f ( α ) = j = 1 l s ( y j ) i = 1 k j = 1 l s ( x i y j ) = 1 i = 1 k s ( x i ) = 1 1 = 0 .
Using L’Hôpital’s rule, it follows that lim α 1 T α s ( X / Y ) = lim α 1 f ( α ) g ( α ) , under the assumption that the right hand side exists. It holds d d α g ( α ) = 1 , and:
d d α f ( α ) = j = 1 l d d α ( s ( y j ) α ) i = 1 k j = 1 l d d α ( s ( x i y j ) α ) = j = 1 l s ( y j ) α ln s ( y j ) i = 1 k j = 1 l s ( x i y j ) α ln s ( x i y j ) .
It follows that:
lim α 1 T α s ( X / Y ) = lim α 1 f ( α ) = j = 1 l s ( y j ) ln s ( y j ) i = 1 k j = 1 l s ( x i y j ) ln s ( x i y j ) = i = 1 k j = 1 l s ( x i y j ) ln s ( y j ) i = 1 k j = 1 l s ( x i y j ) ln s ( x i y j ) = i = 1 k j = 1 l s ( x i y j ) ln s ( x i y j ) s ( y j ) .  
Example 6.
Let X = ( x 1 , x 2 , , x k ) be any partition in a product MV-algebra ( A , ) , and E = ( u ) . Then:
T α s ( X / E ) = 1 α 1 ( s ( u ) α i = 1 k s ( x i u ) α ) = 1 α 1 ( 1 i = 1 k s ( x i ) α ) = T α s ( X ) .
Theorem 7.
Let X = ( x 1 , x 2 , , x k ) be any partition in a product MV-algebra ( A , ) . Then:
lim α 1 T α s ( X ) = i = 1 k s ( x i ) ln s ( x i ) .
Proof. 
The statement is an immediate consequence of the previous theorem; it suffices to put Y = E = ( u ) .  ☐
Theorem 8.
For arbitrary partitions X , Y , Z in a product MV-algebra ( A , ) , it holds:
(i) 
T α s ( X / Y ) 0 ;
(ii) 
T α s ( X Y / Z ) = T α s ( X / Z ) + T α s ( Y / X Z ) ;
(iii) 
T α s ( X Y ) = T α s ( X ) + T α s ( Y / X ) .
Proof. 
Let X = ( x 1 , x 2 , , x k ) , Y = ( y 1 , y 2 , , y l ) , Z = ( z 1 , z 2 , , z m ) .
(i)
By Proposition 3, it holds s ( y j ) = i = 1 k s ( x i y j ) , for j = 1 , 2 , , l , hence, we can write:
T α s ( X / Y ) = 1 α 1 ( j = 1 l s ( y j ) α i = 1 k j = 1 l s ( x i y j ) α ) = 1 α 1 ( j = 1 l s ( y j ) α 1 i = 1 k s ( x i y j ) i = 1 k j = 1 l s ( x i y j ) α ) = 1 α 1 i = 1 k j = 1 l s ( x i y j ) ( s ( y j ) α 1 s ( x i y j ) α 1 ) .
Suppose that α ( 1 , ) . For i = 1 , 2 , , k , j = 1 , 2 , , l , we have s ( x i y j ) s ( y j ) , which implies that s ( x i y j ) α 1 s ( y j ) α 1 , for i = 1 , 2 , , k , j = 1 , 2 , , l . Since 1 α 1 > 0 , for α ( 1 , ) , it follows that T α s ( X / Y ) 0 . On the other hand, for α ( 0 , 1 ) , it holds s ( x i y j ) α 1 s ( y j ) α 1 , for i = 1 , 2 , , k , j = 1 , 2 , , l . In this case 1 α 1 < 0 , hence T α s ( X / Y ) 0 .
(ii)
By direct calculations, we have:
T α s ( X / Z ) + T α s ( Y / X Z ) = 1 α 1 ( k = 1 m s ( z k ) α i = 1 k k = 1 m s ( x i z k ) α ) + 1 α 1 ( i = 1 k k = 1 m s ( x i z k ) α i = 1 k j = 1 l k = 1 m s ( x i y j z k ) α ) = 1 α 1 ( k = 1 m s ( z k ) α i = 1 k j = 1 l k = 1 m s ( x i y j z k ) α ) = T α s ( X Y / Z ) .
(iii)
The statement is an immediate consequence of the previous property; it suffices to put Z = E = ( u ) .  ☐
By combining the property (iii) from Theorem 8 with Theorem 4, we obtain the following property of conditional Tsallis entropy T α s ( X / Y ) .
Theorem 9.
If partitions X , Y in a product MV-algebra ( A , ) are statistically independent with respect to s , then:
T α s ( X / Y ) = T α s ( X ) + ( 1 α ) T α s ( X ) T α s ( Y ) .
Theorem 10.
Let X , Y be partitions in a product MV-algebra ( A , ) . Then, for α > 1 , it holds:
T α s ( X / Y ) T α s ( X ) .
Proof. 
Let α > 1 . Then by the use of the property (iii) from Theorem 8 and Theorem 3, we get:
T α s ( X / Y ) = T α s ( X Y ) T α s ( Y ) T α s ( X ) + T α s ( Y ) T α s ( Y ) = T α s ( X ) .  
To illustrate the result of previous theorem, we provide the following example, which is a continuation of Example 4.
Example 7.
Consider the product MV-algebra ( A , ) , the state s : A [ 0 , 1 ] and the partitions X , Y from Example 4. We have calculated that T 3 s ( X ) = 0.375 , T 3 s ( Y ) = ˙ 0.3333 , T 1 / 2 s ( X ) = ˙ 0.8284 , T 1 / 2 s ( Y ) = ˙ 0.7877 . By easy calculations we get that T 3 s ( X / Y ) = ˙ 0.1146 , T 1 / 2 s ( X / Y ) = ˙ 1.0806 , T 3 s ( Y / X ) = 0.0729 , T 1 / 2 s ( Y / X ) = ˙ 1.0399 . It can be seen that T 3 s ( X / Y ) < T 3 s ( X ) , and T 3 s ( Y / X ) < T 3 s ( Y ) , which is consistent with the assertion of Theorem 10. On the other hand, we have T 1 / 2 s ( X / Y ) > T 1 / 2 s ( X ) , and T 1 / 2 s ( Y / X ) > T 1 / 2 s ( Y ) . The result means that the conditional Tsallis entropy T α s ( X / Y ) of order α ( 0 , 1 ) does not have the property of monotonicity.

5. The Tsallis Entropy of Dynamical Systems in a Product MV-Algebra

In this section, we introduce and study the concept of the Tsallis entropy of a dynamical system in a product MV-algebra ( A , ) .
Definition 8.
([32]). By a dynamical system in a product MV-algebra ( A , ) , we understand a system ( A , s , τ ) , where s : A [ 0 , 1 ] is a state, and τ : A A is a map such that τ ( u ) = u , and, for every x , y A , the following conditions are satisfied:
(i) 
if x + y u , then τ ( x ) + τ ( y ) u , and τ ( x + y ) = τ ( x ) + τ ( y ) ;
(ii) 
τ ( x y ) = τ ( x ) τ ( y ) ;
(iii) 
s ( τ ( x ) ) = s ( x ) .
Remark 3.
We say also briefly a product MV-algebra dynamical system instead of a dynamical system in a product MV-algebra.
Example 8.
Let ( Ω , Σ , μ , T ) be a classical dynamical system. Let us consider the product MV-algebra ( A , ) and the state s : A [ 0 , 1 ] from Example 1. In addition, let us define the mapping τ : A A by the equality τ ( I E ) = I E T = I T 1 ( E ) , for every I E A . Then the system ( A , s , τ ) is a dynamical system in the considered product MV-algebra ( A , ) .
Example 9.
Let ( Ω , Σ , μ , T ) be a classical dynamical system. Let us consider the product MV-algebra ( A , ) and the state s : A [ 0 , 1 ] from Example 2. If we define the mapping τ : A A by the equality τ ( f ) = f T , for every f A , then it is easy to verify that the system ( A , s , τ ) is a dynamical system in the considered product MV-algebra ( A , ) .
Let ( A , s , τ ) be a dynamical system in a product MV-algebra ( A , ) , and X = ( x 1 , x 2 , , x k ) be a partition in ( A , ) . Put τ ( X ) = ( τ ( x 1 ) , τ ( x 2 ) , , τ ( x k ) ) . Since x 1 + x 2 + + x k = u , according to Definition 8, we have τ ( x 1 ) + τ ( x 2 ) + + τ ( x k ) = τ ( x 1 + x 2 + + x k ) = τ ( u ) = u , what means that the k-tuple τ ( X ) is a partition in ( A , ) .
Proposition 6.
Let ( A , s , τ ) be a dynamical system in a product MV-algebra ( A , ) , and X , Y be partitions in ( A , ) . Then
(i) 
τ ( X Y ) = τ ( X ) τ ( Y ) ;
(ii) 
X Y implies τ ( X ) τ ( Y ) .
Proof. 
The property (i) follows from the condition (ii) of Definition 8. Suppose that X = ( x 1 , x 2 , , x k ) , Y = ( y 1 , y 2 , , y l ) , X Y . Then there exists a partition { β ( 1 ) , β ( 2 ) , , β ( k ) } of the set { 1 , 2 , , l } such that x i = j β ( i ) y j , for Therefore, by the condition (i) from Definition 8, we have:
τ ( x i ) = τ ( j β ( i ) y j ) = j β ( i ) τ ( y j ) ,   for   i = 1 , 2 , , k .
However, this means that τ ( X ) τ ( Y ) .  ☐
Define τ 2 = τ τ , and put τ n = τ τ n 1 , for n = 1 , 2 , , where τ 0 is the identical mapping. It is obvious that the mapping τ n : A A possesses the properties from Definition 8. Hence, for any non-negative integer n , the system ( A , s , τ n ) is a dynamical system in a product MV-algebra ( A , ) .
Theorem 11.
Let ( A , s , τ ) be a dynamical system in a product MV-algebra ( A , ) , and X , Y be partitions in ( A , ) . Then, for any non-negative integer n , the following equalities hold:
(i) 
T α s ( τ n ( X ) ) = T α s ( X ) ;
(ii) 
T α s ( τ n ( X ) / τ n ( Y ) ) = T α s ( X / Y ) .
Proof. 
Suppose that X = ( x 1 , x 2 , , x k ) , Y = ( y 1 , y 2 , , y l ) .
(i)
Since for any non-negative integer n , and i = 1 , 2 , , k , it holds s ( τ n ( x i ) ) = s ( x i ) , we obtain:
T α s ( τ n ( X ) ) = i = 1 k l α ( s ( τ n ( x i ) ) ) = i = 1 k l α ( s ( x i ) ) = T α s ( X ) .
(ii)
Based on the same argument, we get:
T α s ( τ n ( X ) / τ n ( Y ) ) = 1 α 1 ( j = 1 l s ( τ n ( y j ) ) α i = 1 k j = 1 l s ( τ n ( x i y j ) ) α ) = 1 α 1 ( j = 1 l s ( y j ) α i = 1 k j = 1 l s ( x i y j ) α ) = T α s ( X / Y ) .  
Theorem 12.
Let ( A , s , τ ) be a dynamical system in a product MV-algebra ( A , ) , and X be a partition in ( A , ) . Then, for n = 2 , 3 , , the following equality holds:
T α s ( k = 0 n 1 τ k ( X ) ) = T α s ( X ) + i = 1 n 1 T α s ( X / k = 1 i τ k ( X ) ) .
Proof. 
We use proof by mathematical induction on n , starting with n = 2 . For n = 2 , the claim holds by the property (iii) of Theorem 8. We suppose that the claim holds for a given integer n > 1 , and we will prove that it holds for n + 1 . By the property (i) of Theorem 11, we get:
T α s ( k = 1 n τ k ( X ) ) = T α s ( τ ( k = 0 n 1 τ k ( X ) ) ) = T α s ( k = 0 n 1 τ k ( X ) ) .
Therefore, using the property (iii) of Theorem 8 and our inductive hypothesis, we obtain:
T α s ( k = 0 n τ k ( X ) ) = T α s ( ( k = 1 n τ k ( X ) ) X ) = T α s ( k = 1 n τ k ( X ) ) + T α s ( X / k = 1 n τ k ( X ) ) = T α s ( k = 0 n 1 τ k ( X ) ) + T α s ( X / k = 1 n τ k ( X ) ) = T α s ( X ) + i = 1 n 1 T α s ( X / k = 1 i τ k ( X ) ) + T α s ( X / k = 1 n τ k ( X ) ) = T α s ( X ) + i = 1 n T α s ( X / k = 1 i τ k ( X ) ) .
In conclusion, the claim is obtained by the principle of mathematical induction. ☐
In the following, we will define the Tsallis entropy of a dynamical system ( A , s , τ ) . First, we define the Tsallis entropy of τ relative to a partition X in ( A , ) . Then we remove the dependence on X to get the Tsallis entropy of a dynamical system ( A , s , τ ) . The following proposition will be needed.
Proposition 7.
Let ( A , s , τ ) be a dynamical system in a product MV-algebra ( A , ) , and X be a partition in ( A , ) . Then, for α > 1 , there exists the following limit:
lim n 1 n T α s ( k = 0 n 1 τ k ( X ) ) .
Proof. 
Put c n = T α s ( k = 0 n 1 τ k ( X ) ) , for n = 1 , 2 , . Then the sequence { c n } n = 1 is a sequence of non-negative real numbers with the property c r + s c r + c s , for every natural numbers r , s . Indeed, by means of sub-additivity of Tsallis entropy T α s ( X ) for α > 1 , and the property (i) from Theorem 11, we have:
c r + s = T α s ( k = 0 r + s 1 τ k ( X ) ) T α s ( k = 0 r 1 τ k ( X ) ) + T α s ( k = r r + s 1 τ k ( X ) ) = c r + T α s ( τ r ( k = 0 s 1 τ k ( X ) ) ) = c r + T α s ( k = 0 s 1 τ k ( X ) ) = c r + c s .
The result guarantees (in view of Theorem 4.9, [55]) the existence of lim n 1 n c n .  ☐
Definition 9.
Let ( A , s , τ ) be a dynamical system in a product MV-algebra ( A , ) , and X be a partition in ( A , ) . Then we define, for α > 1 , the Tsallis entropy of τ relative to X by:
T α s ( τ , X ) = lim n 1 n T α s ( k = 0 n 1 τ k ( X ) ) .
Remark 4.
Consider any dynamical system ( A , s , τ ) in a product MV-algebra ( A , ) , and the partition E = ( u ) . Evidently, k = 0 n 1 τ k ( E ) = E , and T α s ( τ , E ) = lim n 1 n T α s ( k = 0 n 1 τ k ( E ) ) = lim n 1 n T α s ( E ) = 0 .
Theorem 13.
Let ( A , s , τ ) be a dynamical system in a product MV-algebra ( A , ) , and X be a partition in ( A , ) . Then, for α > 1 , and for any non-negative integer r , the following equality holds:
T α s ( τ , X ) = T α s ( τ , i = 0 r τ i ( X ) ) .
Proof. 
Using Definition 9, we can write:
T α s ( τ , i = 0 r τ i ( X ) ) = lim n 1 n T α s ( k = 0 n 1 τ k ( i = 0 r τ i ( X ) ) ) = lim n r + n n 1 r + n T α s ( k = 0 r + n 1 τ k ( X ) ) = lim n 1 r + n T α s ( k = 0 r + n 1 τ k ( X ) ) = T α s ( τ , X ) .  
Theorem 14.
Let ( A , s , τ ) be a dynamical system in a product MV-algebra ( A , ) , and X , Y be partitions in ( A , ) such that X Y . Then, for α > 1 , it holds T α s ( τ , X ) T α s ( τ , Y ) .
Proof. 
Let X Y . By Propositions 2 and 6, we have k = 0 n 1 τ k ( X ) k = 0 n 1 τ k ( Y ) , for n = 1 , 2 , . Therefore, by Theorem 2, we get:
T α s ( k = 0 n 1 τ k ( X ) ) T α s ( k = 0 n 1 τ k ( Y ) ) .
Consequently, dividing by n and letting n , we get T α s ( τ , X ) T α s ( τ , Y ) .  ☐
Definition 10.
The Tsallis entropy of a dynamical system ( A , s , τ ) in a product MV-algebra ( A , ) is defined, for α > 1 , by:
T α s ( τ ) = sup { T α s ( τ , X ) ; X   is   a   partition   in   ( A , ) } .
Theorem 15.
Let ( A , s , τ ) be a dynamical system in a product MV-algebra ( A , ) . Then, for α > 1 , and every natural number k , it holds T α s ( τ k ) = k T α s ( τ ) .
Proof. 
Let X be a partition in ( A , ) . Then, for every natural number k , we have:
T α s ( τ k , j = 0 k 1 τ j ( X ) ) = lim n 1 n T α s ( i = 0 n 1 ( τ k ) i ( j = 0 k 1 τ j ( X ) ) = lim n 1 n T α s ( i = 0 n 1 j = 0 k 1 τ k i + j ( X ) ) = lim n n k n 1 n k T α s ( j = 0 n k 1 τ j ( X ) ) = k T α s ( τ , X ) .
Hence, we obtain:
k T α s ( τ ) = k sup { T α s ( τ , X ) ; X   is   a   partition   in   ( A , ) } = sup { T α s ( τ k , j = 0 k 1 τ j ( X ) ) ; X   is   a   partition   in   ( A , ) } sup { T α s ( τ k , Y ) ; Y   is   a   partition   in   ( A , ) } = T α s ( τ k ) .
On the other hand, by Proposition 1, we have X j = 0 k 1 τ j ( X ) . Hence, by Theorem 14, we obtain:
T α s ( τ k , X ) T α s ( τ k , j = 0 k 1 τ j ( X ) ) = k T α s ( τ , X ) .
This implies that:
T α s ( τ k ) = sup { T α s ( τ k , X ) ; X   is   a   partition   in   ( A , ) } k sup { T α s ( τ , X ) ; X   is   a   partition   in   ( A , ) } = k T α s ( τ ) .  
Definition 11.
Two product MV-algebra dynamical systems ( A 1 , s 1 , τ 1 ) , ( A 2 , s 2 , τ 2 ) are called isomorphic, if there exists some one-to-one and onto map Φ : A 1 A 2 such that Φ ( u 1 ) = u 2 , and, for every x , y A 1 , the following conditions are satisfied:
(i) 
Φ ( x y ) = Φ ( x ) Φ ( y ) ;
(ii) 
if x + y u 1 , then Φ ( x + y ) = Φ ( x ) + Φ ( y ) ;
(iii) 
s 2 ( Φ ( x ) ) = s 1 ( x ) ;
(iv) 
Φ ( τ 1 ( x ) ) = τ 2 ( Φ ( x ) ) .
In this case, Φ is said to be an isomorphism.
Proposition 8.
Let ( A 1 , s 1 , τ 1 ) , ( A 2 , s 2 , τ 2 ) be isomorphic product MV-algebra dynamical systems, and Φ : A 1 A 2 be an isomorphism between them. Then, for the inverse Φ 1 : A 2 A 1 , the following properties are satisfied:
(i) 
Φ 1 ( x y ) = Φ 1 ( x ) Φ 1 ( y ) , for every x , y A 2 ;
(ii) 
if x , y A 2 such that x + y u 2 , then Φ 1 ( x + y ) = Φ 1 ( x ) + Φ 1 ( y ) ;
(iii) 
s 1 ( Φ 1 ( x ) ) = s 2 ( x ) , for every x A 2 ;
(iv) 
Φ 1 ( τ 2 ( x ) ) = τ 1 ( Φ 1 ( x ) ) , for every x A 2 .
Proof. 
The map Φ : A 1 A 2 is bijective, therefore, for every x , y A 2 , there exist x , y A 1 such that Φ 1 ( x ) = x , and Φ 1 ( y ) = y .
(i)
Let x , y A 2 . Then we get:
Φ 1 ( x y ) = Φ 1 ( Φ ( x ) Φ ( y ) ) = Φ 1 ( Φ ( x y ) ) = x y = Φ 1 ( x ) Φ 1 ( y ) .
(ii)
Let x , y A 2 such that x + y u 2 . Then x + y u 1 , and, therefore, we have:
Φ 1 ( x + y ) = Φ 1 ( Φ ( x ) + Φ ( y ) ) = Φ 1 ( Φ ( x + y ) ) = x + y = Φ 1 ( x ) + Φ 1 ( y ) .
(iii)
Let x A 2 . Then s 2 ( x ) = s 2 ( Φ ( x ) ) = s 1 ( x ) = s 1 ( Φ 1 ( x ) ) .
(iv)
Let x A 2 . Then Φ 1 ( τ 2 ( x ) ) = Φ 1 ( τ 2 ( Φ ( x ) ) ) = Φ 1 ( Φ ( τ 1 ( x ) ) ) = τ 1 ( x ) = τ 1 ( Φ 1 ( x ) ) .  
Theorem 16.
Let ( A 1 , s 1 , τ 1 ) , ( A 2 , s 2 , τ 2 ) be isomorphic product MV-algebra dynamical systems, and α > 1 . Then:
T α s 1 ( τ 1 ) = T α s 2 ( τ 2 ) .
Proof. 
Let Φ : A 1 A 2 be an isomorphism between dynamical systems ( A 1 , s 1 , τ 1 ) , ( A 2 , s 2 , τ 2 ) . Consider a partition X = ( x 1 , x 2 , , x k ) in a product MV-algebra ( A 1 , ) . Then x 1 + x 2 + + x k = u 1 , and therefore, by the condition (ii) of Definition 11, it holds Φ ( x 1 ) + Φ ( x 2 ) + + Φ ( x k ) = Φ ( x 1 + x 2 + + x k ) = Φ ( u 1 ) = u 2 . This means that the k-tuple Φ ( X ) = ( Φ ( x 1 ) , Φ ( x 2 ) , , Φ ( x k ) ) is a partition in a product MV-algebra ( A 2 , ) . Moreover, according to the condition (iii) of Definition 11, we have:
T α s 2 ( Φ ( X ) ) = i = 1 k l α ( s 2 ( Φ ( x i ) ) ) = i = 1 k l α ( s 1 ( x i ) ) = T α s 1 ( X ) .
Hence, using the conditions (iv), and (i) of Definition 11, we get:
T α s 2 ( k = 0 n 1 τ 2 k ( Φ ( X ) ) ) = T α s 2 ( k = 0 n 1 Φ ( τ 1 k ( X ) ) ) = T α s 2 ( Φ ( k = 0 n 1 τ 1 k ( X ) ) ) = T α s 1 ( k = 0 n 1 τ 1 k ( X ) ) .
Therefore, dividing by n and letting n , we obtain:
T α s 2 ( τ 2 , Φ ( X ) ) = lim n 1 n T α s 2 ( k = 0 n 1 τ 2 k ( Φ ( X ) ) ) = lim n 1 n T α s 1 ( k = 0 n 1 τ 1 k ( X ) ) = T α s 1 ( τ 1 , X ) .
This implies that:
{ T α s 1 ( τ 1 , X ) ; X   is   a   partition   in   ( A 1 , ) } { T α s 2 ( τ 2 , Y ) ; Y   is   a   partition   in   ( A 2 , ) } ,
and consequently:
T α s 1 ( τ 1 ) = sup { T α s 1 ( τ 1 , X ) ; X   is   a   partition   in   ( A 1 , ) } sup { T α s 2 ( τ 2 , Y ) ; Y   is   a   partition   in   ( A 2 , ) } = T α s 2 ( τ 2 ) .
The converse T α s 2 ( τ 2 ) T α s 1 ( τ 1 ) can be obtained in a similar way; according to Proposition 8, it suffices to consider the inverse Φ 1 : A 2 A 1 .  ☐
Remark 5.
It trivially follows from Theorem 16 that if T α s 1 ( τ 1 ) T α s 2 ( τ 2 ) , then the corresponding dynamical systems ( A 1 , s 1 , τ 1 ) , ( A 2 , s 2 , τ 2 ) are not isomorphic. This means that some product MV-algebra dynamical systems can be distinguished due to their different Tsallis entropies.

6. Conclusions

In this article we dealt with the mathematical modelling of Tsallis entropy in product MV-algebras. Our results are given in Section 3, Section 4 and Section 5. In Section 3 we have introduced the notion of Tsallis entropy T α s ( X ) of a partition X in a product MV-algebra ( A , ) , and we examined properties of this entropy measure. In Section 4 we have defined and studied the conditional Tsallis entropy of partitions in this algebraic structure. It has been shown that the proposed concepts are consistent, in the case of the limit of α 1 , with the Shannon entropy expressed in nats, defined and studied in Reference [31]. Moreover, putting α = 2 in the proposed definitions, we obtain the logical entropy of partitions in a product MV-algebra defined and studied in Reference [8].
Section 5 was devoted to the mathematical modelling of Tsallis entropy in product MV-algebra dynamical systems. From Example 8 it follows that the notion of product MV-algebra dynamical system is a generalization of the concept of classical dynamical system. We have shown that the Tsallis entropy is invariant under isomorphism of product MV-algebra dynamical systems.
In the proofs we used L’Hôpital’s rule and the known Jensen inequality. To illustrate the results, we have provided several numerical examples. In Example 2, we have mentioned that the full tribe of fuzzy sets is a special case of product MV-algebras; hence, all the results of this article can be directly applied to this family of fuzzy sets. We remind that a fuzzy subset of a non-empty set Ω is any mapping f : Ω [ 0 , 1 ] , where the value f ( ω ) is interpreted as the degree of belonging of element ω of Ω to the fuzzy set f (cf. [16]). In Reference [56], Atanassov has generalized the Zadeh fuzzy set theory by introducing the idea of an intuitionistic fuzzy set (IF-set), a set that has the degree of belonging as well as the degree of non-belonging with each of its elements. From the point of view of application, it should be noted that for a given class F of IF-sets can be created an MV-algebra A such that F can be inserted to A . Also the operation of product on F can be defined by such a way that the corresponding MV-algebra is a product MV-algebra. Therefore, the presented results are also applicable to the case of IF-sets.

Author Contributions

Conceptualization, D.M.; Formal analysis, D.M. and B.R.; Investigation, D.M. and B.R.; Writing original draft, D.M.; Writing review & editing, B.R. Both authors have read and approved the final manuscript.

Acknowledgments

The authors thank the editor and the referees for their valuable comments and suggestions.

Conflicts of Interest

The authors declare no conflict of interest.

References

  1. Shannon, C.E. A mathematical theory of communication. Bell Syst. Tech. J. 1948, 27, 379–423. [Google Scholar] [CrossRef]
  2. Gray, R.M. Entropy and Information Theory; Springer: Berlin/Heidelberg, Germany, 2009. [Google Scholar]
  3. Kolmogorov, A.N. New metric invariant of transitive dynamical systems and automorphisms of Lebesgue spaces. Dokl. Russ. Acad. Sci. 1958, 119, 861–864. [Google Scholar]
  4. Sinai, Y.G. On the notion of entropy of a dynamical system. Dokl. Russ. Acad. Sci. 1959, 124, 768–771. [Google Scholar]
  5. Markechová, D.; Ebrahimzadeh, A.; Eslami Giski, Z. Logical entropy of dynamical systems. Adv. Differ. Equ. 2018, 2018, 70. [Google Scholar] [CrossRef]
  6. Ellerman, D. Logical information theory: New foundations for information theory. Log. J. IGPL 2017, 25, 806–835. [Google Scholar] [CrossRef]
  7. Markechová, D.; Riečan, B. Logical entropy of fuzzy dynamical systems. Entropy 2016, 18, 157. [Google Scholar] [CrossRef]
  8. Markechová, D.; Mosapour, B.; Ebrahimzadeh, A. Logical Divergence, Logical Entropy, and Logical Mutual Information in Product MV-Algebras. Entropy 2018, 20, 129. [Google Scholar] [CrossRef]
  9. Mohammadi, U. The concept of logical entropy on D-posets. J. Algebraic Struct. Appl. 2016, 1, 53–61. [Google Scholar]
  10. Ebrahimzadeh, A. Logical entropy of quantum dynamical systems. Open Phys. 2016, 14, 1–5. [Google Scholar] [CrossRef]
  11. Ebrahimzadeh, A. Quantum conditional logical entropy of dynamical systems. Ital. J. Pure Appl. Math. 2016, 36, 879–886. [Google Scholar]
  12. Markechová, D.; Riečan, B. Logical entropy and logical mutual information of experiments in the intuitionistic fuzzy case. Entropy 2017, 19, 429. [Google Scholar] [CrossRef]
  13. Ebrahimzadeh, A.; Eslami Giski, Z.; Markechová, D. Logical entropy of dynamical systems—A general model. Mathematics 2017, 5, 4. [Google Scholar] [CrossRef]
  14. Ebrahimzadeh, A.; Jamalzadeh, J. Conditional logical entropy of fuzzy σ-algebras. J. Intell. Fuzzy Syst. 2017, 33, 1019–1026. [Google Scholar] [CrossRef]
  15. Eslami Giski, Z.; Ebrahimzadeh, A. An introduction of logical entropy on sequential effect algebra. Indag. Math. 2017, 28, 928–937. [Google Scholar] [CrossRef]
  16. Zadeh, L.A. Fuzzy Sets. Inf. Control 1965, 8, 338–358. [Google Scholar] [CrossRef]
  17. Zadeh, L.A. Probability measures of fuzzy events. J. Math. Anal. Appl. 1968, 23, 421–427. [Google Scholar] [CrossRef]
  18. Markechová, D. The entropy of fuzzy dynamical systems and generators. Fuzzy Sets Syst. 1992, 48, 351–363. [Google Scholar] [CrossRef]
  19. Dumitrescu, D. Entropy of a fuzzy dynamical system. Fuzzy Sets Syst. 1995, 70, 45–57. [Google Scholar] [CrossRef]
  20. Riečan, B.; Markechová, D. The entropy of fuzzy dynamical systems, general scheme, and generators. Fuzzy Sets Syst. 1998, 96, 191–199. [Google Scholar] [CrossRef]
  21. Markechová, D.; Riečan, B. Entropy of fuzzy partitions and entropy of fuzzy dynamical systems. Entropy 2016, 18, 19. [Google Scholar] [CrossRef]
  22. Chang, C.C. Algebraic analysis of many valued logics. Trans. Am. Math. Soc. 1958, 88, 467–490. [Google Scholar] [CrossRef]
  23. Mundici, D. Interpretation of AFC*-algebras in Łukasiewicz sentential calculus. J. Funct. Anal. 1986, 56, 889–894. [Google Scholar]
  24. Mundici, D. Advanced Łukasiewicz Calculus and MV-Algebras; Springer: Dordrecht, The Netherlands, 2011. [Google Scholar]
  25. Di Nola, A.; Dvurečenskij, A.; Hyčko, M.; Manara, C. Entropy on Effect Algebras with the Riesz Decomposition Property II: MV-Algebras. Kybernetika 2005, 41, 161–176. [Google Scholar]
  26. Riečan, B. Kolmogorov–Sinaj entropy on MV-algebras. Int. J. Theor. Phys. 2005, 44, 1041–1052. [Google Scholar] [CrossRef]
  27. Riečan, B.; Mundici, D. Probability on MV-algebras. In Handbook of Measure Theory; Pap, E., Ed.; Elsevier: Amsterdam, The Netherlands, 2002; pp. 869–910. [Google Scholar]
  28. Riečan, B. On the product MV-algebras. Tatra Mt. Math. 1999, 16, 143–149. [Google Scholar]
  29. Montagna, F. An algebraic approach to propositional fuzzy logic. J. Log. Lang. Inf. 2000, 9, 91–124. [Google Scholar] [CrossRef]
  30. Riečan, B.; Neubrunn, T. Integral, Measure and Ordering; Springer: Dordrecht, The Netherlands, 1997. [Google Scholar]
  31. Petrovičová, J. On the entropy of partitions in product MV-algebras. Soft Comput. 2000, 4, 41–44. [Google Scholar] [CrossRef]
  32. Petrovičová, J. On the entropy of dynamical systems in product MV-algebras. Fuzzy Sets Syst. 2001, 121, 347–351. [Google Scholar] [CrossRef]
  33. Tsallis, C. Possible generalization of Boltzmann–Gibbs statistics. J. Stat. Phys. 1988, 52, 479–487. [Google Scholar] [CrossRef]
  34. Havrda, J.; Charvát, F. Quantification methods of classification processes: Concept of structural alpha-entropy. Kybernetika 1967, 3, 30–35. [Google Scholar]
  35. Tsallis, C. Introduction to Nonextensive Statistical Mechanics: Approaching a Complex World; Springer: New York, NY, USA, 2009. [Google Scholar]
  36. Hanel, R.; Thurner, S. Generalized Boltzmann factors and the maximum entropy principle: Entropies for complex systems. Phys. A Stat. Mech Appl. 2007, 380, 109–114. [Google Scholar] [CrossRef]
  37. Almeida, M.P. Generalized entropies from first principles. Phys. A Stat. Mech Appl. 2001, 300, 424–432. [Google Scholar] [CrossRef]
  38. Kaniadakis, G. Statistical mechanics in the context of special relativity. Phys. Rev. E Stat. Nonlin. Soft Matter Phys. 2002, 66, 056125. [Google Scholar] [CrossRef] [PubMed]
  39. Naudts, J. Deformed exponentials and logarithms in generalized thermostatistics. Phys. A Stat. Mech. Appl. 2002, 316, 323–334. [Google Scholar] [CrossRef]
  40. Tsallis, C. Generalized entropy-based criterion for consistent testing. Phys. Rev. E 1998, 58, 1442–1445. [Google Scholar] [CrossRef]
  41. Alemany, P.A.; Zanette, D.H. Fractal random walks from a variational formalism for Tsallis entropies. Phys. Rev. E 1994, 49, R956–R958. [Google Scholar] [CrossRef]
  42. Tsallis, C. Nonextensive thermostatistics and fractals. Fractals 1995, 3, 541. [Google Scholar] [CrossRef]
  43. Tsallis, C.; Anteneodo, C.; Borland, L.; Osorio, R. Nonextensive Statistical mechanics and economics. Phys. A Stat. Mech. Appl. 2003, 324, 89–100. [Google Scholar] [CrossRef]
  44. Borland, L. Long-range memory and nonextensivity in financial markets. Europhys. News 2005, 36, 228–231. [Google Scholar] [CrossRef]
  45. Pérez, D.G.; Zunino, L.; Martín, M.T.; Pérez, D.G.; Zunino, L.; Martín, M.T.; Garavaglia, M.; Plastino, A.; Rosso, O.A. Model-free stochastic processes studied with q-wavelet-based in formational tools. Phys. Lett. A 2007, 364, 259–266. [Google Scholar] [CrossRef]
  46. Huang, H.; Xie, H.; Wang, Z. The analysis of VF and VT with wavelet-based Tsallis information measure. Phys. Lett. A 2005, 336, 180–187. [Google Scholar] [CrossRef]
  47. Tong, S.; Bezerianos, A.; Paul, J.; Zhu, Y.; Thakor, N. Nonextensive entropy measure of EEG following brain injury from cardiac arrest. Phys. A Stat. Mech. Appl. 2002, 305, 619–628. [Google Scholar] [CrossRef]
  48. Rosso, O.A.; Martín, M.T.; Plastino, A. Brain electrical activity analysis using wavelet-based informational tools (II): Tsallis non-extensivity and complexity measures. Phys. A Stat. Mech. Appl. 2003, 320, 497–511. [Google Scholar] [CrossRef]
  49. Kumar, V. Kapur’s and Tsalli’s Entropies: A Communication System Perspective; LAP LAMBERT Academic Publishing: Saarbrucken, Germany, 2015. [Google Scholar]
  50. Gluschankof, D. Cyclic ordered groups and MV-algebras. Czechoslovak Math. J. 1993, 43, 249–263. [Google Scholar]
  51. Cattaneo, G.; Lombardo, F. Independent axiomatization for MV-algebras. Tatra Mt. Math. 1998, 15, 227–232. [Google Scholar]
  52. Riečan, B. Analysis of Fuzzy Logic Models. In Intelligent Systems; Koleshko, V.M., Ed.; InTech: Rijeka, Croatia, 2012; pp. 219–244. [Google Scholar]
  53. Anderson, M.; Feil, T. Lattice Ordered Groups; Kluwer: Dordrecht, The Netherlands, 1988. [Google Scholar]
  54. Riečan, B. On the probability theory on product MV-algebras. Soft Comput. 2000, 4, 49–57. [Google Scholar] [CrossRef]
  55. Walters, P. An Introduction to Ergodic Theory; Springer: New York, NY, USA, 1982. [Google Scholar]
  56. Atanassov, K. Intuitionistic fuzzy sets. Fuzzy Sets Syst. 1986, 20, 87–96. [Google Scholar] [CrossRef]

Share and Cite

MDPI and ACS Style

Markechová, D.; Riečan, B. Tsallis Entropy of Product MV-Algebra Dynamical Systems. Entropy 2018, 20, 589. https://doi.org/10.3390/e20080589

AMA Style

Markechová D, Riečan B. Tsallis Entropy of Product MV-Algebra Dynamical Systems. Entropy. 2018; 20(8):589. https://doi.org/10.3390/e20080589

Chicago/Turabian Style

Markechová, Dagmar, and Beloslav Riečan. 2018. "Tsallis Entropy of Product MV-Algebra Dynamical Systems" Entropy 20, no. 8: 589. https://doi.org/10.3390/e20080589

APA Style

Markechová, D., & Riečan, B. (2018). Tsallis Entropy of Product MV-Algebra Dynamical Systems. Entropy, 20(8), 589. https://doi.org/10.3390/e20080589

Note that from the first issue of 2016, this journal uses article numbers instead of page numbers. See further details here.

Article Metrics

Back to TopTop