Sign in to use this feature.

Years

Between: -

Subjects

remove_circle_outline
remove_circle_outline
remove_circle_outline
remove_circle_outline
remove_circle_outline
remove_circle_outline
remove_circle_outline
remove_circle_outline
remove_circle_outline

Journals

Article Types

Countries / Regions

remove_circle_outline

Search Results (165)

Search Parameters:
Keywords = stellar parameters

Order results
Result details
Results per page
Select all
Export citation of selected articles as:
28 pages, 10911 KB  
Article
Galaxy Evolution with Manifold Learning
by Tsutomu T. Takeuchi, Suchetha Cooray and Ryusei R. Kano
Entropy 2026, 28(3), 288; https://doi.org/10.3390/e28030288 - 3 Mar 2026
Viewed by 167
Abstract
Matter in the early Universe was nearly uniform, and galaxies emerged through the gravitational growth of small primordial density fluctuations. Astrophysics has been trying to unveil the complex physical phenomena that have caused the formation and evolution of galaxies throughout the 13-billion-year history [...] Read more.
Matter in the early Universe was nearly uniform, and galaxies emerged through the gravitational growth of small primordial density fluctuations. Astrophysics has been trying to unveil the complex physical phenomena that have caused the formation and evolution of galaxies throughout the 13-billion-year history of the Universe using the first principles of physics. However, since present-day astrophysical big data contain more than 100 explanatory variables, such a conventional methodology faces limits in dealing with such data. We, instead, elucidate the physics of galaxy evolution by applying manifold learning, one of the latest methods of data science, to a feature space spanned by galaxy luminosities and cosmic time. We discovered a low-dimensional nonlinear structure of data points in this space, referred to as the galaxy manifold. We found that the galaxy evolution in the ultraviolet–optical–near-infrared luminosity space is well described by two parameters, star formation and stellar mass evolution, on the manifold. We also discuss a possible way to connect the manifold coordinates to physical quantities. Full article
(This article belongs to the Section Astrophysics, Cosmology, and Black Holes)
Show Figures

Figure 1

20 pages, 532 KB  
Article
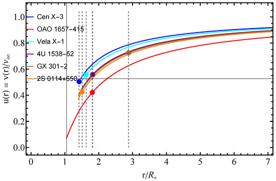
Empirical Determination of β-Law Wind Acceleration Profiles in High-Mass X-Ray Binaries
by Zhantay Muratkhan, Manas Khassanov, Aliya Taukenova and Saken Toktarbay
Universe 2026, 12(3), 67; https://doi.org/10.3390/universe12030067 - 28 Feb 2026
Viewed by 234
Abstract
Stellar winds in high-mass X-ray binaries (HMXBs) are strongly modified by the presence of an accreting neutron star, yet the impact of X-ray photoionisation on the wind–acceleration profile remains difficult to quantify observationally. In this work, we combine the measured wind velocities at [...] Read more.
Stellar winds in high-mass X-ray binaries (HMXBs) are strongly modified by the presence of an accreting neutron star, yet the impact of X-ray photoionisation on the wind–acceleration profile remains difficult to quantify observationally. In this work, we combine the measured wind velocities at the neutron star orbital radius with spectroscopic terminal velocities in order to infer empirical β-law parameters for six well-studied HMXBs. By inverting the β-law, we reconstruct the individual acceleration curves v(r) and obtain revised estimates of the wind-acceleration parameters b and β for each system. A suggestive trend emerges from the reconstructed profiles: systems with lower terminal velocities tend to exhibit systematically larger acceleration indices β, consistent with the interpretation that dense, slowly accelerating winds may be more strongly affected by X-ray photoionisation. A secondary, weaker pattern is suggested between the orbital separation a/R* and β, although, for our small sample, it is not statistically significant, suggesting that compact systems experience a more pronounced suppression of wind acceleration in the vicinity of the neutron star. Taken together, these indicative relations provide a coherent observational picture linking the global wind–velocity scale to the local radiative environment. The resulting acceleration profiles and system-to-system correlations offer a practical empirical foundation for modelling wind-fed accretion in HMXBs. The parameter set derived here can be directly incorporated into studies of quasi-spherical accretion, torque evolution, and the dynamical influence of X-ray photoionisation in massive binaries. Full article
(This article belongs to the Section Solar and Stellar Physics)
Show Figures

Figure 1

12 pages, 2167 KB  
Article
Revisiting the Origin of the Star-Forming Main Sequence Based on a Volume-Limited Sample of ∼25,000 Galaxies
by Yang Gao, Shujiao Liang, Qinghua Tan, Enci Wang, Huilan Liu, Hongmei Wang, Tao Jing, Xiaolong Wang, Kaihui Liu, Ning Gai, Yanke Tang, Yifan Wang and Yutong Li
Universe 2026, 12(3), 60; https://doi.org/10.3390/universe12030060 - 25 Feb 2026
Viewed by 190
Abstract
We revisit the extensively debated star-forming main sequence (SFMS)—a tight correlation between the star formation rate and stellar mass in both kiloparsec-resolved and integrated galaxies. We statistically explore the fundamental drivers of star formation at global scales, using a large volume-limited sample of [...] Read more.
We revisit the extensively debated star-forming main sequence (SFMS)—a tight correlation between the star formation rate and stellar mass in both kiloparsec-resolved and integrated galaxies. We statistically explore the fundamental drivers of star formation at global scales, using a large volume-limited sample of 24,954 local star-forming galaxies to overcome the limitations of previous works. Based on the mid-infrared 12 µm luminosity, stellar mass, and gr color, we estimate the molecular gas mass for the considered sample. At galaxy-wide scales, we establish global relations between the surface densities of the star formation rate (ΣSFR), stellar mass (Σ*), and molecular gas mass (Σmol). These global density relations are connected with and follow similar trends as the resolved SFMS, the Kennicutt–Schmidt (KS) relation, and the molecular gas main sequence (MGMS). Taking advantage of this large catalog, we show that the scatters in the global KS and MGMS relations are smaller than that of the global relation between ΣSFR and Σ*, and their Pearson correlation coefficients are higher. More importantly, multivariate regression and partial correlation analyses demonstrate that the apparent ΣSFRΣ* correlation is entirely mediated by Σmol, with its best-fit parameters directly derivable from those of the KS and MGMS relations. Overall, our findings suggest that the correlation between stellar mass and molecular gas, as well as that between molecular gas and star formation, are more direct and fundamental. The star-forming main sequence, thus, appears to be a natural by-product of these two tighter relations. Full article
(This article belongs to the Section Galaxies and Clusters)
Show Figures

Figure 1

23 pages, 8113 KB  
Article
Estimating H I Mass Fraction in Galaxies with Bayesian Neural Networks
by Joelson Sartori, Cristian G. Bernal and Carlos Frajuca
Galaxies 2026, 14(1), 10; https://doi.org/10.3390/galaxies14010010 - 2 Feb 2026
Viewed by 426
Abstract
Neutral atomic hydrogen (H I) regulates galaxy growth and quenching, but direct 21 cm measurements remain observationally expensive and affected by selection biases. We develop Bayesian neural networks (BNNs)—a type of neural model that returns both a prediction and an associated uncertainty—to infer [...] Read more.
Neutral atomic hydrogen (H I) regulates galaxy growth and quenching, but direct 21 cm measurements remain observationally expensive and affected by selection biases. We develop Bayesian neural networks (BNNs)—a type of neural model that returns both a prediction and an associated uncertainty—to infer the H I mass, log10(MHI), from widely available optical properties (e.g., stellar mass, apparent magnitudes, and diagnostic colors) and simple structural parameters. For continuity with the photometric gas fraction (PGF) literature, we also report the gas-to-stellar-mass ratio, log10(G/S), where explicitly noted. Our dataset is a reproducible cross-match of SDSS DR12, the MPA–JHU value-added catalogs, and the 100% ALFALFA release, resulting in 31,501 galaxies after quality controls. To ensure fair evaluation, we adopt fixed train/validation/test partitions and an additional sky-holdout region to probe domain shift, i.e., how well the model extrapolates to sky regions that were not used for training. We also audit features to avoid information leakage and benchmark the BNNs against deterministic models, including a feed-forward neural network baseline and gradient-boosted trees (GBTs, a standard tree-based ensemble method in machine learning). Performance is assessed using mean absolute error (MAE), root-mean-square error (RMSE), and probabilistic diagnostics such as the negative log-likelihood (NLL, a loss that rewards models that assign high probability to the observed H I masses), reliability diagrams (plots comparing predicted probabilities to observed frequencies), and empirical 68%/95% coverage. The Bayesian models achieve point accuracy comparable to the deterministic baselines while additionally providing calibrated prediction intervals that adapt to stellar mass, surface density, and color. This enables galaxy-by-galaxy uncertainty estimation and prioritization for 21 cm follow-up that explicitly accounts for predicted uncertainties (“risk-aware” target selection). Overall, the results demonstrate that uncertainty-aware machine-learning methods offer a scalable and reproducible route to inferring galactic H I content from widely available optical data. Full article
Show Figures

Figure 1

12 pages, 506 KB  
Article
LAMOST J064137.77+045743.8: A Newly Discovered Binary of an A7 Pulsating Subgiant and a Flaring Red Dwarf
by Yanhui Chen, Chaomi Duan and Baokun Sun
Universe 2026, 12(2), 36; https://doi.org/10.3390/universe12020036 - 27 Jan 2026
Viewed by 309
Abstract
With the progressive release of data from numerous sky surveys, humanity has entered the era of astronomical big data. Multi-wavelength, multi-method research is playing an increasingly crucial role. Binaries account for a substantial fraction of all stellar systems, and research into binaries is [...] Read more.
With the progressive release of data from numerous sky surveys, humanity has entered the era of astronomical big data. Multi-wavelength, multi-method research is playing an increasingly crucial role. Binaries account for a substantial fraction of all stellar systems, and research into binaries is of fundamental importance. The low-resolution spectra from Large Sky Area Multi-Object Fiber Spectroscopic Telescope (LAMOST) suggest that LAMOST J064137.77+045743.8 is a binary consisting of an A7-type subgiant star and a cool red dwarf star. LAMOST J064137.77+045743.8 has not yet been recorded in the SIMBAD astronomical database. We conducted a comprehensive analysis of the binary based on multi-wavelength and multi-method research. The spectral analysis suggests that the A7-type subgiant primary star has parameters of Teff ∼ 7500 K and log g ∼ 3.9, and the red dwarf companion star is cool. Additional flux observations in the infrared bands further corroborate the presence of the red dwarf companion, and the near-infrared color index indicates a K4-type red dwarf. Astrometric data from Gaia support the binary speculation with a Renormalized Unit Weight Error metric value of 1.9. The i-band flare detected by the Zwicky Transient Facility (ZTF) photometric observations bolsters the interpretation of the M- or K-type red dwarf companion. Both the radial velocity variations in the Hα lines from LAMOST medium-resolution spectra and the light curves from ZTF support the classification of the A7 subgiant as a pulsating star. No clear evidence of binary eclipses was detected in 1789 days of photometric observations from the ZTF. Future asteroseismology studies will enable us to further probe the internal physics of the A7 subgiant primary star. Full article
(This article belongs to the Section Solar and Stellar Physics)
Show Figures

Figure 1

19 pages, 2826 KB  
Article
Development and Assessment of Simplified Conductance Models for the Particle Exhaust in Wendelstein 7-X
by Foteini Litovoli, Christos Tantos, Volker Hauer, Victoria Haak, Dirk Naujoks, Chandra-Prakash Dhard and W7-X Team
Computation 2026, 14(1), 24; https://doi.org/10.3390/computation14010024 - 19 Jan 2026
Viewed by 362
Abstract
The particle exhaust system plays a pivotal role in fusion reactors and is essential for ensuring both the feasibility and sustained operation of the fusion reaction. For the successful development of such a system, density control is of great importance and some key [...] Read more.
The particle exhaust system plays a pivotal role in fusion reactors and is essential for ensuring both the feasibility and sustained operation of the fusion reaction. For the successful development of such a system, density control is of great importance and some key design parameters include the neutral gas pressure and the resulting particle fluxes. This study presents a simplified conductance-based model for estimating neutral gas pressure distributions in the particle exhaust system of fusion reactors, focusing specifically on the sub-divertor region. In the proposed model, the pumping region is represented as an interconnected set of reservoirs and channels. Mass conservation and conductance relations, appropriate for all flow regimes, are applied. The model was benchmarked against complex 3D DIVGAS simulations across representative operating scenarios of the Wendelstein 7-X (W7-X) stellarator. Despite geometric simplifications, the model is capable of predicting pressure values at several key locations inside the particle exhaust area of W7-X, as well as various types of particle fluxes. The developed model is computationally efficient for large-scale parametric studies, exhibiting an average deviation of approximately 20%, which indicates reasonable predictive accuracy considering the model simplifications and the flow problem complexity. Its application may assist early-stage engineering design, pumping performance improvement, and operational planning for W7-X and other future fusion reactors. Full article
(This article belongs to the Special Issue Advances in Computational Methods for Fluid Flow)
Show Figures

Figure 1

19 pages, 1305 KB  
Article
A Study of Compact Stellar Objects in f(R, T) Theory of Gravity
by Anupama Roy Chowdhury, Shyam Das and Farook Rahaman
Universe 2025, 11(12), 409; https://doi.org/10.3390/universe11120409 - 10 Dec 2025
Viewed by 334
Abstract
In this paper, we investigate the stability and feasibility of an anisotropic stellar model under f(R,T) gravity that embraces the Karmarkar condition. In order to develop the f(R,T) gravity model, the functional form [...] Read more.
In this paper, we investigate the stability and feasibility of an anisotropic stellar model under f(R,T) gravity that embraces the Karmarkar condition. In order to develop the f(R,T) gravity model, the functional form of f(R,T) is taken into consideration as the linear function of the trace of the energy-momentum tensor T and the Ricci scalar R, respectively. This study proposes a well-known form of the radial metric function and finds another metric function by employing the Karmakar condition, which provides the exact solution to the field equation. The expression of the model parameters is derived by matching the obtained interior solutions with the Schwarzschild exterior metric over the bounding surface of a celestial object, along with the requirement that the radial pressure vanish at the boundary. The current estimated data of the star, pulsar 4U1608-52, is used to graphically explore the model. The physical attributes of the celestial object are thoroughly examined within the framework of the present model. Adjusting the model parameter, a detailed analysis of the stability criterion is presented that involves the adiabatic index, the Herrera cracking technique, and the causality condition. Furthermore, the Tolman–Oppenheimer–Volkhoff equation is used to analyze the stellar model’s equilibrium state. In order to maintain the stability condition of the anisotropic stellar structure, a suitable range for the model parameter is determined by the graphical analysis of the present model in this study. In addition, the numerical values of the physical parameters related to the compact stars Her X-1, LMC X-4, Cen X-3 and KS1731-207 are used to examine the model solution within the desired range of the model parameter. Full article
(This article belongs to the Section Solar and Stellar Physics)
Show Figures

Figure 1

27 pages, 5060 KB  
Article
A High-Fidelity Star Map Simulation Method for Airborne All-Time Three-FOV Star Sensor Under Dynamic Conditions
by Jingsong Zhou, Hui Zhang, Liang Fang, Xiaodong Gao, Kaili Lu, Wei Sun and Rujin Zhao
Remote Sens. 2025, 17(23), 3853; https://doi.org/10.3390/rs17233853 - 28 Nov 2025
Viewed by 654
Abstract
To address the lack of reliable test data for evaluating star sensor performance in dynamic airborne environments, this paper presents a high-fidelity star map simulation method for all-time three-Field of View (FOV) star sensors. A comprehensive simulation framework integrating stellar radiation, atmospheric transmission, [...] Read more.
To address the lack of reliable test data for evaluating star sensor performance in dynamic airborne environments, this paper presents a high-fidelity star map simulation method for all-time three-Field of View (FOV) star sensors. A comprehensive simulation framework integrating stellar radiation, atmospheric transmission, and detector noise models was developed to accurately model star trailing effects under dynamic conditions. First, a stellar position calculation model incorporating atmospheric refraction correction and platform motion parameters was established through coordinate transformations between the Geocentric Celestial Reference System (GCRS) and FOV coordinate system. Next, a complete energy transfer chain was constructed by combining star catalog data, atmospheric radiative properties, and detector noise characteristics. Finally, a quantitative evaluation system was introduced, employing metrics such as signal-to-noise ratio (SNR), total grayscale value (Gtotal), grayscale concentration index (GCI), and dynamic star displacement (DSD). Field experiments at 2388 m altitude (100.23°E, 26.86°N) demonstrated the average relative error of all evaluation metrics below 9% for static conditions and approximately 8% for dynamic scenarios between simulated and real star maps. The method effectively reproduces stellar radiation, atmospheric noise, and dynamic degradation, providing reliable simulation conditions for airborne star sensor testing and star trailing restoration algorithm development. Full article
Show Figures

Figure 1

32 pages, 3820 KB  
Article
FAS-XAI: Fuzzy and Explainable AI for Interpretable Vetting of Kepler Exoplanet Candidates
by Gabriel Marín Díaz
Mathematics 2025, 13(23), 3796; https://doi.org/10.3390/math13233796 - 26 Nov 2025
Viewed by 700
Abstract
The detection of exoplanets in space-based photometry relies on identifying periodic transit signatures in stellar light curves. The Kepler Threshold Crossing Events (TCE) catalog collects all periodic dimming signals detected by the pipeline, while the Kepler Objects of Interest (KOI) catalog provides vetted [...] Read more.
The detection of exoplanets in space-based photometry relies on identifying periodic transit signatures in stellar light curves. The Kepler Threshold Crossing Events (TCE) catalog collects all periodic dimming signals detected by the pipeline, while the Kepler Objects of Interest (KOI) catalog provides vetted dispositions (CONFIRMED, CANDIDATE, FALSE POSITIVE). However, the pathway from raw TCE detections to KOI classifications remains ambiguous in many borderline cases. We introduce FAS-XAI, a framework that integrates Fuzzy C-Means (FCM) clustering, supervised learning, and explainable AI (XAI) to improve transparency in exoplanet candidate classification. FCM applied to TCE parameters (period, duration, depth, and SNR) reveals three meaningful regimes in the transit-signal space and quantifies ambiguity through fuzzy memberships. Linking these clusters to KOI dispositions highlights a progressive consolidation of confirmed planets within the high-SNR, medium-duration regime. A supervised XGBoost classifier trained on KOI labels and augmented with fuzzy memberships achieves strong performance (Accuracy = 0.73, Macro F1 = 0.69, ROC–AUC = 0.855), clearly separating CONFIRMED and FALSE POSITIVE objects while appropriately reflecting the transitional nature of CANDIDATES. SHAP, LIME, and ELI5 provide consistent global and local attributions, identifying period, duration, depth, SNR, and fuzzy ambiguity as the key explanatory features. Finally, stellar parameters from Kepler DR25 validate the physical plausibility of the detected regimes, demonstrating that FAS-XAI captures astrophysically meaningful patterns rather than purely statistical structures. Overall, the framework illustrates how fuzzy logic and explainable AI can jointly enhance the interpretability and scientific rigor of exoplanet vetting pipelines. Full article
(This article belongs to the Special Issue Fuzzy Logic and Explainable AI in Mathematical Decision-Making)
Show Figures

Figure 1

15 pages, 434 KB  
Review
Constraints on the Hubble and Matter Density Parameters with and Without Modelling the CMB Anisotropies
by Indranil Banik and Nick Samaras
Astronomy 2025, 4(4), 24; https://doi.org/10.3390/astronomy4040024 - 19 Nov 2025
Cited by 2 | Viewed by 1529
Abstract
We consider constraints on the Hubble parameter H0 and the matter density parameter ΩM from the following: (i) the age of the Universe based on old stars and stellar populations in the Galactic disc and halo; (ii) the turnover scale in [...] Read more.
We consider constraints on the Hubble parameter H0 and the matter density parameter ΩM from the following: (i) the age of the Universe based on old stars and stellar populations in the Galactic disc and halo; (ii) the turnover scale in the matter power spectrum, which tells us the cosmological horizon at the epoch of matter-radiation equality; and (iii) the shape of the expansion history from supernovae (SNe) and baryon acoustic oscillations (BAOs) with no absolute calibration of either, a technique known as uncalibrated cosmic standards (UCS). A narrow region is consistent with all three constraints just outside their 1σ uncertainties. Although this region is defined by techniques unrelated to the physics of recombination and the sound horizon then, the standard Planck fit to the CMB anisotropies falls precisely in this region. This concordance argues against early-time explanations for the anomalously high local estimate of H0 (the ‘Hubble tension’), which can only be reconciled with the age constraint at an implausibly low ΩM. We suggest instead that outflow from the local KBC supervoid inflates redshifts in the nearby universe and, thus, the apparent local H0. Given the difficulties with solutions in the early universe, we argue that the most promising alternative to a local void is a modification to the expansion history at late times, perhaps due to a changing dark energy density. Full article
(This article belongs to the Special Issue Current Trends in Cosmology)
Show Figures

Figure 1

31 pages, 827 KB  
Article
Asymptotic Freedom and Vacuum Polarization Determine the Astrophysical End State of Relativistic Gravitational Collapse: Quark–Gluon Plasma Star Instead of Black Hole
by Herman J. Mosquera Cuesta, Fabián H. Zuluaga Giraldo, Wilmer D. Alfonso Pardo, Edgardo Marbello Santrich, Guillermo U. Avendaño Franco and Rafael Fragozo Larrazabal
Universe 2025, 11(11), 375; https://doi.org/10.3390/universe11110375 - 12 Nov 2025
Viewed by 1270
Abstract
A general relativistic model of an astrophysical hypermassive extremely magnetized ultra-compact self-bound quark–gluon plasma (QGP: ALICE/LHC) object that is supported against its ultimate gravitational implosion by the simultaneous action of the vacuum polarization driven by nonlinear electrodynamics (NLED: ATLAS/LHC: light-by-light scattering)—the vacuum “awakening”—and [...] Read more.
A general relativistic model of an astrophysical hypermassive extremely magnetized ultra-compact self-bound quark–gluon plasma (QGP: ALICE/LHC) object that is supported against its ultimate gravitational implosion by the simultaneous action of the vacuum polarization driven by nonlinear electrodynamics (NLED: ATLAS/LHC: light-by-light scattering)—the vacuum “awakening”—and the asymptotic freedom, a key feature of quantum chromodynamics (QCD), is presented. These QCD stars can be the final figures of the equilibrium of collapsing stellar cores permeated by magnetic fields with strengths well beyond the Schwinger threshold due to being self-bound, and for which post-supernova fallback material pushes the nascent remnant beyond its stability, forcing it to collapse into a hybrid hypermassive neutron star (HHMNS). Hypercritical accretion can drive its innermost core to spontaneously break away color confinement, powering a first-order hadron-to-quark phase transition to a sea of ever-freer quarks and gluons. This core is hydro-stabilized by the steady, endlessly compression-admitting asymptotic freedom state, possibly via gluon-mediated enduring exchange of color charge among bound states, e.g., the odderon: a glueball state of three gluons, or either quark-pairing (color superconductivity) or tetraquark/pentaquark states (LHCb Coll.). This fast—at the QGP speed of sound—but incremental quark–gluon deconfinement unbinds the HHMNS’s baryons so catastrophically that transforms it, turning it inside-out, into a neat self-bound QGP star. A solution to the nonlinear Tolman–Oppenheimer–Volkoff (TOV) equation is obtained—that clarifies the nonlinear effects of both NLED and QCD on the compact object’s structure—which clearly indicates the occurrence of hypermassive QGP/QCD stars with a wide mass spectrum (0MStarQGP 7 M and beyond), for star radii (0RStarQGP24 km and beyond) with B-fields (1014BStarQGP1016 G and beyond). This unexpected feature is described by a novel mass vs. radius relation derived within this scenario. Hence, endowed with these physical and astrophysical characteristics, such QCD stars can definitively emulate what the true (theoretical) black holes are supposed to gravitationally do in most astrophysical settings. This color quark star could be found through a search for its eternal “yo-yo” state gravitational-wave emission, or via lensing phenomena like a gravitational rainbow (quantum mechanics and gravity interaction), as in this scenario, it is expected that the light deflection angle—directly influenced by the larger effective mass/radius (MStarQGP(B), RStarQGP(B)) and magnetic field of the deflecting object—increases as the incidence angle decreases, in view of the lower values of the impact parameter. The gigantic—but not infinite—surface gravitational redshift, due to NLED photon acceleration, makes the object appear dark. Full article
(This article belongs to the Section Cosmology)
Show Figures

Figure 1

40 pages, 11053 KB  
Article
Novel Hybrid Analytical-Metaheuristic Optimization for Efficient Photovoltaic Parameter Extraction
by Abdelkader Mekri, Abdellatif Seghiour, Fouad Kaddour, Yassine Boudouaoui, Aissa Chouder and Santiago Silvestre
Electronics 2025, 14(21), 4294; https://doi.org/10.3390/electronics14214294 - 31 Oct 2025
Cited by 2 | Viewed by 707
Abstract
Accurate extraction of single-diode photovoltaic (PV) model parameters is essential for reliable performance prediction and diagnostics, yet five-parameter identification from I-V data is ill-posed and computationally expensive. To develop and validate a hybrid analytical–metaheuristic approach that derives the diode ideality factor, saturation current, [...] Read more.
Accurate extraction of single-diode photovoltaic (PV) model parameters is essential for reliable performance prediction and diagnostics, yet five-parameter identification from I-V data is ill-posed and computationally expensive. To develop and validate a hybrid analytical–metaheuristic approach that derives the diode ideality factor, saturation current, and photocurrent analytically while optimizing only series and shunt resistances, thereby reducing computational cost without sacrificing accuracy. I-V datasets were collected from a 9.54 kW grid-connected PV installation in Algiers, Algeria (15 operating points; 747–815 W m−2; 25.4–28.4 °C). Nine metaheuristics—Stellar Oscillation Optimizer, Enzyme Action Optimization, Grey Wolf Optimizer, Whale Optimization Algorithm, Cuckoo Search, Owl Search Algorithm, Improved War Strategy Optimization, Rüppell’s Fox Optimizer, and Artificial Bee Colony—were benchmarked against full five-parameter optimization and a Newton–Raphson baseline, using root-mean-squared error (RMSE) as the objective and wall-time as the efficiency metric. The hybrid scheme reduced the decision space from five to two parameters and lowered computational cost by ≈60–70% relative to full-parameter optimization while closely reproducing measured I-V/P-V curves. Across datasets, algorithms achieved RMSE ≈ 2.49 × 10−2 − 2.78 × 10−2. Rüppell’s Fox Optimizer offered the best overall trade-off (lowest average RMSE and fastest runtime), with Whale Optimization Algorithm a strong alternative (typical runtimes ≈ 107–112 s). Partitioning identification between closed-form physics and light-weight optimization yields robust, accurate, and efficient PV parameter estimation suitable for time-sensitive or embedded applications. Dynamic validation using 1498 real-world measurements across clear-sky and cloudy conditions demonstrates excellent performance: current prediction R2=0.9882, power estimation R2=0.9730, and voltage tracking R2=0.9613. Comprehensive environmental analysis across a 39.2 °C temperature range and diverse irradiance conditions (01014 W/m2) validates the method’s robustness for practical PV monitoring applications. Full article
Show Figures

Figure 1

14 pages, 5542 KB  
Article
High-Resolution Infrared Spectroscopy of IRS 16CC and IRS 33N: Stellar Parameters and Implications for Star Formation Near Sgr A*
by Shogo Nishiyama, Wakana Sato, Moeka Hotta, Momoka Ikarashi, Hiromi Saida, Yohsuke Takamori, Tetsuya Nagata, Hiroyuki Ikeda and Masaaki Takahashi
Universe 2025, 11(10), 332; https://doi.org/10.3390/universe11100332 - 5 Oct 2025
Viewed by 678
Abstract
IRS 16CC and IRS 33N are among more than 100 young, massive stars identified within 0.5 pc from the Galactic central supermassive black hole Sgr A*, where conventional star formation processes are expected to be strongly suppressed. A subset of these stars, including [...] Read more.
IRS 16CC and IRS 33N are among more than 100 young, massive stars identified within 0.5 pc from the Galactic central supermassive black hole Sgr A*, where conventional star formation processes are expected to be strongly suppressed. A subset of these stars, including IRS 16CC, has been confirmed to reside in a clockwise rotating stellar disk, and is thought to have formed in a massive, gaseous disk around Sgr A*. In contrast, other young massive stars, such as IRS 33N, exhibit dynamical behaviors that deviate significantly from those of the disk population, and their formation mechanism is still uncertain. To investigate their formation mechanism, we carried out near-infrared, high-resolution spectroscopic observations of IRS 16CC and IRS 33N using the Infrared Camera and Spectrograph on the Subaru telescope, equipped with an adaptive optics system. We compared the profiles of He I absorption lines with synthetic spectra generated from model atmospheres, and then compared derived stellar parameters with stellar evolutionary tracks to estimate their ages and initial masses. Our analysis yields their effective temperatures of ∼23,000 K, surface gravities of ∼2.8, and initial masses of 37±6M and 273+4M, consistent with spectral types of B0.5–1.5 supergiants. The ages of IRS 16CC and IRS 33N are estimated to be 4.4±0.7 Myr and 5.30.7+1.1 Myr, respectively. These results suggest that, despite their different dynamical properties, the two stars are likely to share a common origin. Full article
(This article belongs to the Special Issue 10th Anniversary of Universe: Galaxies and Their Black Holes)
Show Figures

Figure 1

11 pages, 758 KB  
Article
Measurement of the 33S(n,α)30Si Thermal Cross-Section with Slow Neutrons at ILL
by Javier Praena, Begoña Fernández, Miguel Macías, Ignacio Porras, María Pedrosa-Rivera, Hanna Koivunoro, Marta Sabaté-Gilarte and Fernando Arias de Saavedra
Quantum Beam Sci. 2025, 9(3), 27; https://doi.org/10.3390/qubs9030027 - 22 Sep 2025
Viewed by 1120
Abstract
This work is focused on an accurate experimental determination of the thermal 33S(n,α)30Si cross-section. This cross-section is a critical parameter for the potential use of 33S as a cooperative target in boron neutron capture therapy [...] Read more.
This work is focused on an accurate experimental determination of the thermal 33S(n,α)30Si cross-section. This cross-section is a critical parameter for the potential use of 33S as a cooperative target in boron neutron capture therapy or to understand its role in the stellar nucleosynthesis of 36S. At present, there are large discrepancies in this experimental value; therefore, in this work we measured it relative to the 10B(n,α)7Li standard cross-section at the high flux reactor of the Institut Laue-Langevin. The experimental setup was based on a double-sided silicon strip detector. Two 33S samples were used. One 10B sample was used as reference. Particular attention was taken to the characterization of the mass thickness of the samples before and after the experiment because of the high volatility of 33S. Such work was already published in a dedicated paper. A cross-check of the 10B sample was carried out with the neutron flux monitor at the n_TOF-CERN facility. The obtained cross-section of (280 ± 33) mb is significantly higher than the existing data. Full article
(This article belongs to the Special Issue Quantum Beam Science: Feature Papers 2025)
Show Figures

Figure 1

28 pages, 1155 KB  
Article
Dynamics of Compact Stellar Solutions Admitting Anisotropic Fluid: A Comparative Analysis of GR and Non-Conserved Rastall Gravity
by Tayyab Naseer, Muhammad Sharif, Fatima Chand, Baiju Dayanandan and Ali Elrashidi
Galaxies 2025, 13(5), 106; https://doi.org/10.3390/galaxies13050106 - 9 Sep 2025
Viewed by 941
Abstract
This study proposes a couple of analytical solutions that characterize the anisotropic dense celestial bodies within the Rastall-Rainbow theoretical framework. The analysis assumes a static spherically symmetric matter distribution and derives the corresponding modified field equations. By utilizing well-established radial metric functions and [...] Read more.
This study proposes a couple of analytical solutions that characterize the anisotropic dense celestial bodies within the Rastall-Rainbow theoretical framework. The analysis assumes a static spherically symmetric matter distribution and derives the corresponding modified field equations. By utilizing well-established radial metric functions and merging them with the two principal pressures, we obtain differential equations related to the time component. Subsequently, we perform the integration of these equations to determine the remaining geometric quantity that encompasses various integration constants. The proposed interior solutions are then matched with the Schwarzschild exterior metric at the boundary of the compact object, facilitating the determination of the constants. Additionally, the incorporation of the non-minimal coupling parameter into these constants is accomplished by enforcing the null radial pressure at the boundary. Afterwards, we rigorously examine the physical characteristics and critical stability conditions of the formulated models under observational data from two pulsars, say 4U 1820-30 and LMC X-4. It is concluded that our models are well-aligned with essential criteria required to ensure the physical viability of stellar structures, subject to specific parametric values. Full article
Show Figures

Figure 1

Back to TopTop