High-Resolution Infrared Spectroscopy of IRS 16CC and IRS 33N: Stellar Parameters and Implications for Star Formation Near Sgr A*
Abstract
1. Introduction
2. Observations and Data Reduction
3. Modeling and Results
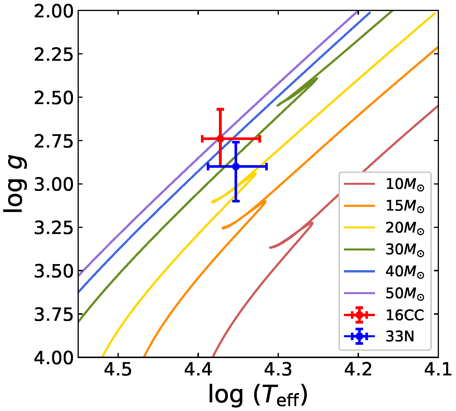
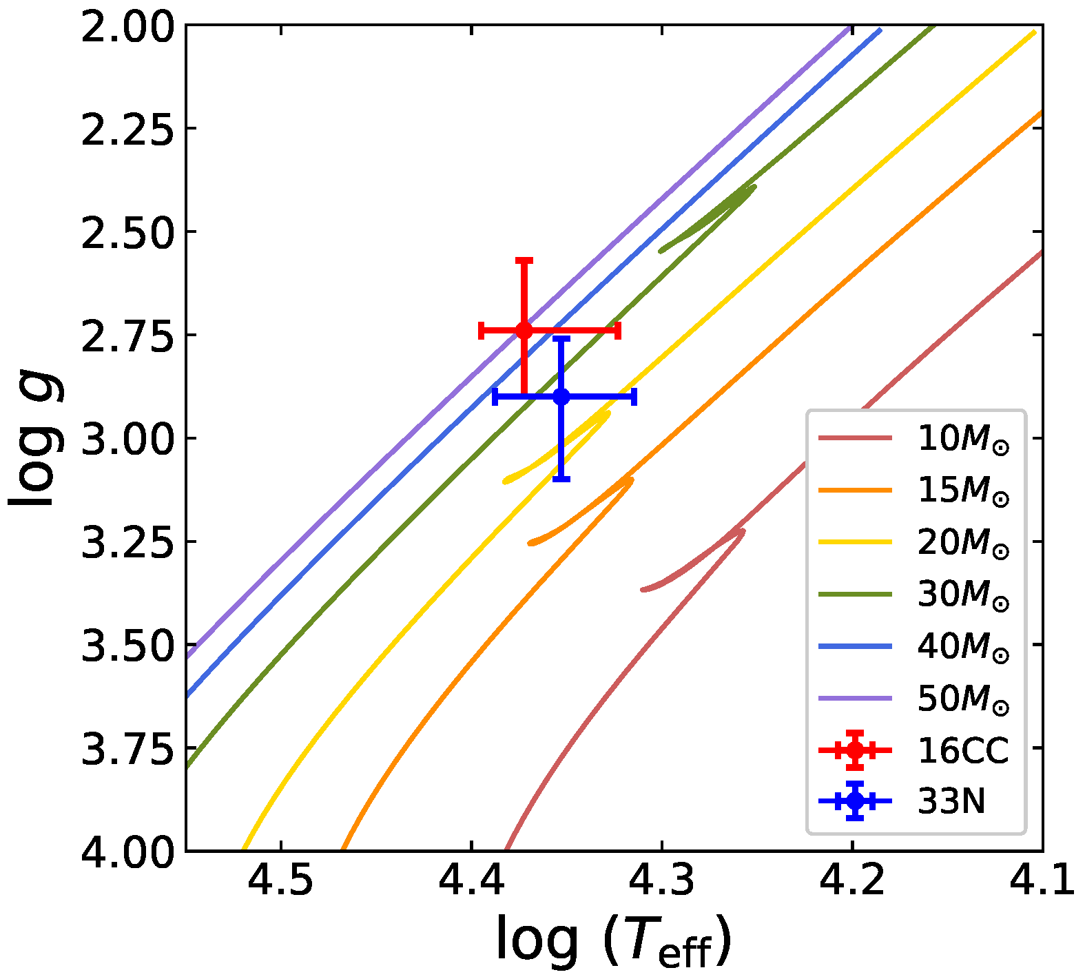
3.1. Synthetic Spectra
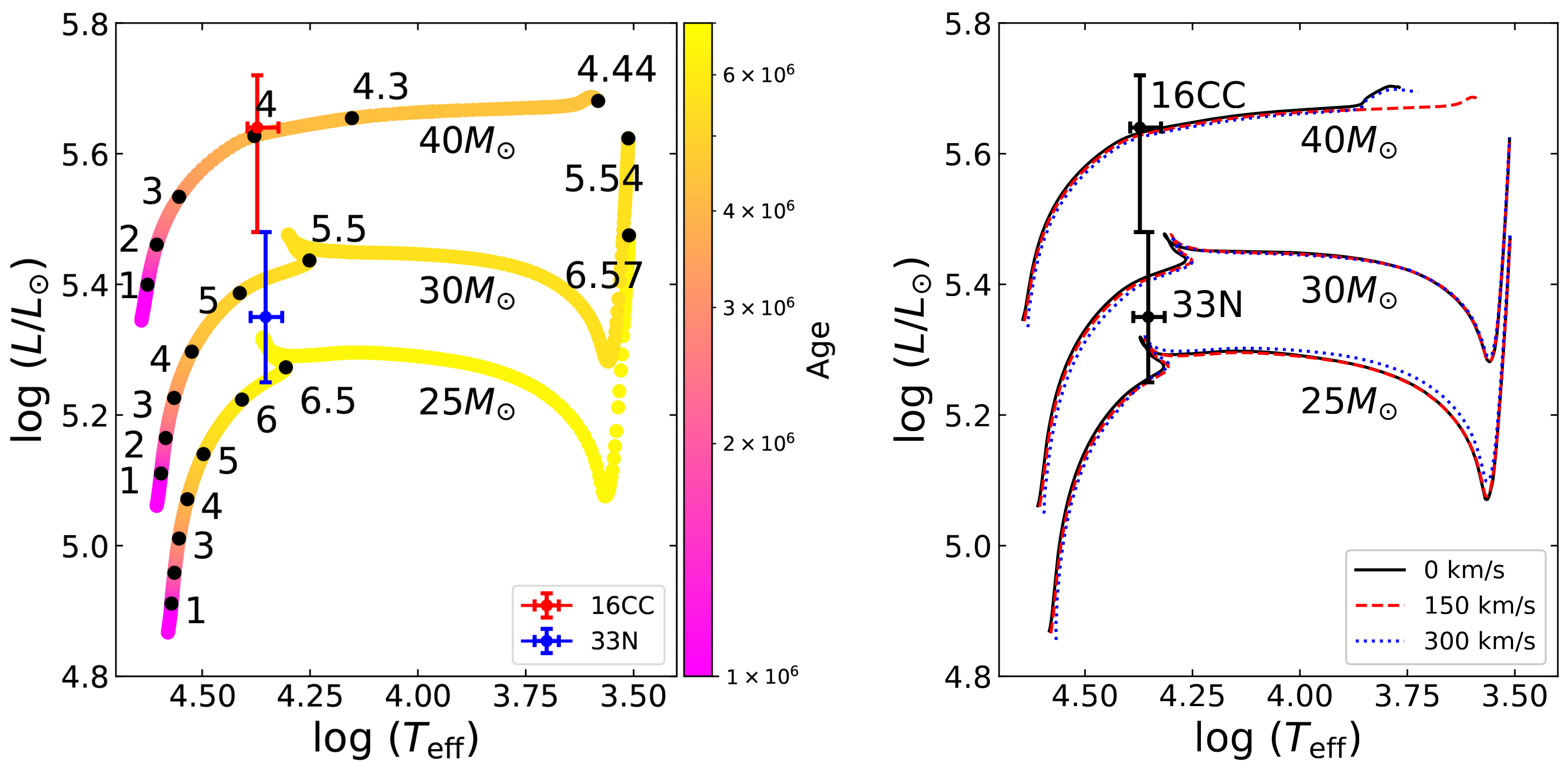
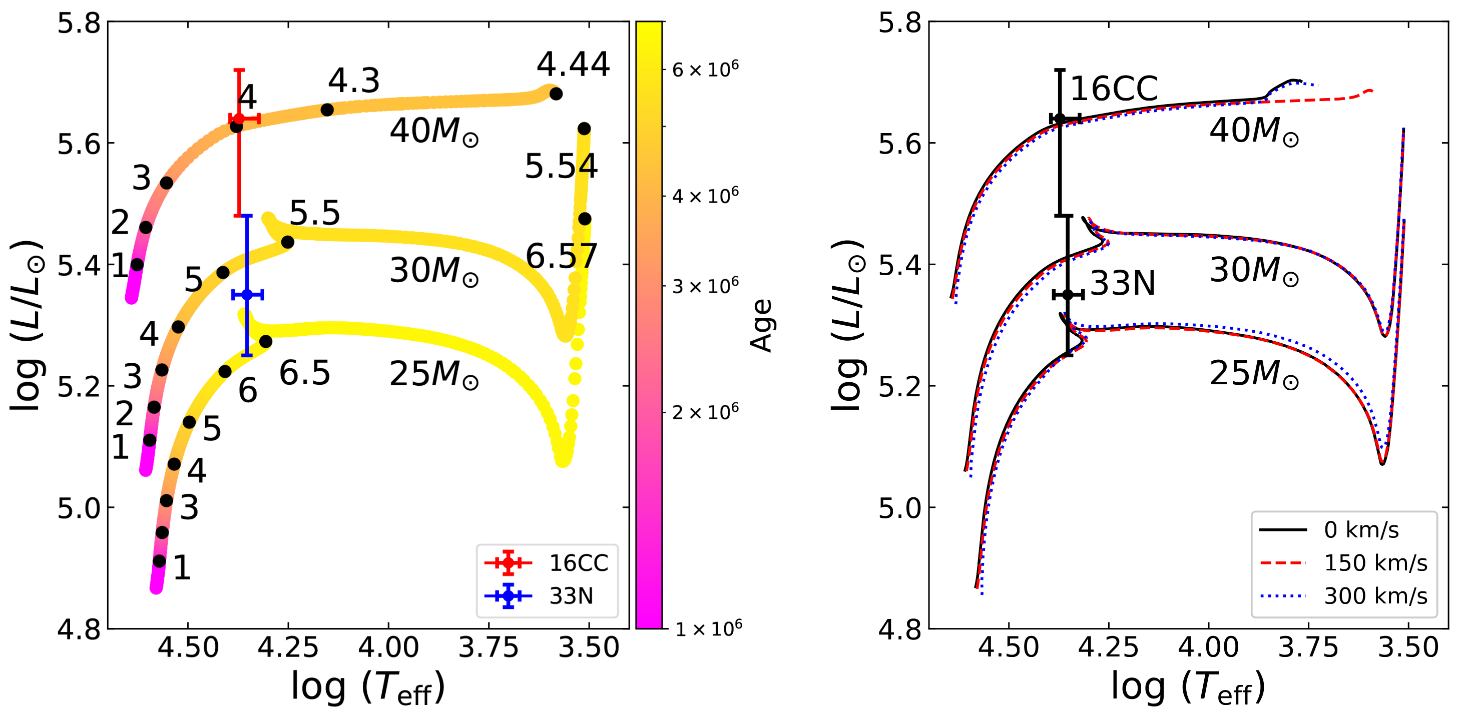
3.2. Photometry and Luminosity
3.3. BONNSAI
4. Discussion and Conclusions
Author Contributions
Funding
Data Availability Statement
Acknowledgments
Conflicts of Interest
Abbreviations
| CW | Clockwise |
| F2 | Outer Filament 2 |
| GC | Galactic center |
| NIR | Near-infrared |
| NSC | Nuclear star cluster |
| Sgr A* | Sagittarius A star |
| SMBH | Supermassive black hole |
| WR | Wolf–Rayet |
| 1 | https://www.naoj.org/Observing/Instruments/IRCS/echelle/orders.html#K (accessed on 27 September 2025) |
| 2 | IRAF is distributed by the National Optical Astronomy Observatory, which is operated by the Association of Universities for Research in Astronomy (AURA) under cooperative agreement with the National Science Foundation. |
| 3 | The spectral resolution of the observations presented in Tanner et al. [9] was sufficient to resolve the He I lines, and . Although their spectra are shown in the paper, there is no explicit statement that the two He I lines (21,126 and 21,138 Å) were used for determining stellar parameters. |
| 4 | https://www.astro.uni-bonn.de/stars/bonnsai/ (accessed on 27 September 2025) |
References
- Do, T.; Hees, A.; Ghez, A.; Martinez, G.D.; Chu, D.S.; Jia, S.; Sakai, S.; Lu, J.R.; Gautam, A.K.; O’Neil, K.K.; et al. Relativistic redshift of the star S0-2 orbiting the Galactic Center supermassive black hole. Science 2019, 365, 664–668. [Google Scholar] [CrossRef] [PubMed]
- Saida, H.; Nishiyama, S.; Ohgami, T.; Takamori, Y.; Takahashi, M.; Minowa, Y.; Najarro, F.; Hamano, S.; Omiya, M.; Iwamatsu, A.; et al. A significant feature in the general relativistic time evolution of the redshift of photons coming from a star orbiting Sgr A*. Publ. Astron. Soc. Jpn. 2019, 71, 126. [Google Scholar] [CrossRef]
- Abuter, R.; Aimar, N.; Amorim, A.; Ball, J.; Bauböck, M.; Berger, J.P.; Bonnet, H.; Bourdarot, G.; Brandner, W.; GRAVITY Collaboration; et al. Mass distribution in the Galactic Center based on interferometric astrometry of multiple stellar orbits. Astron. Astrophys. 2022, 657, L12. [Google Scholar] [CrossRef]
- Krabbe, A.; Genzel, R.; Drapatz, S.; Rotaciuc, V. A Cluster of He i Emission-Line Stars in the Galactic Center. Astrophys. J. 1991, 382, L19. [Google Scholar] [CrossRef]
- Paumard, T.; Genzel, R.; Martins, F.; Nayakshin, S.; Beloborodov, A.M.; Levin, Y.; Trippe, S.; Eisenhauer, F.; Ott, T.; Gillessen, S.; et al. The Two Young Star Disks in the Central Parsec of the Galaxy: Properties, Dynamics, and Formation. Astrophys. J. 2006, 643, 1011–1035. [Google Scholar] [CrossRef]
- Lu, J.R.; Ghez, A.M.; Hornstein, S.D.; Morris, M.R.; Becklin, E.E.; Matthews, K. A Disk of Young Stars at the Galactic Center as Determined by Individual Stellar Orbits. Astrophys. J. 2009, 690, 1463–1487. [Google Scholar] [CrossRef]
- Levin, Y.; Beloborodov, A.M. Stellar Disk in the Galactic Center: A Remnant of a Dense Accretion Disk? Astrophys. J. 2003, 590, L33–L36. [Google Scholar] [CrossRef]
- Genzel, R.; Schödel, R.; Ott, T.; Eisenhauer, F.; Hofmann, R.; Lehnert, M.; Eckart, A.; Alexander, T.; Sternberg, A.; Lenzen, R.; et al. The Stellar Cusp around the Supermassive Black Hole in the Galactic Center. Astrophys. J. 2003, 594, 812–832. [Google Scholar] [CrossRef]
- Tanner, A.; Figer, D.F.; Najarro, F.; Kudritzki, R.P.; Gilmore, D.; Morris, M.; Becklin, E.E.; McLean, I.S.; Gilbert, A.M.; Graham, J.R.; et al. High Spectral Resolution Observations of the Massive Stars in the Galactic Center. Astrophys. J. 2006, 641, 891–904. [Google Scholar] [CrossRef]
- Beloborodov, A.M.; Levin, Y.; Eisenhauer, F.; Genzel, R.; Paumard, T.; Gillessen, S.; Ott, T. Clockwise Stellar Disk and the Dark Mass in the Galactic Center. Astrophys. J. 2006, 648, 405–410. [Google Scholar] [CrossRef]
- Yelda, S.; Ghez, A.M.; Lu, J.R.; Do, T.; Meyer, L.; Morris, M.R.; Matthews, K. Properties of the Remnant Clockwise Disk of Young Stars in the Galactic Center. Astrophys. J. 2014, 783, 131. [Google Scholar] [CrossRef]
- Nayakshin, S.; Cuadra, J. A self-gravitating accretion disk in Sgr A* a few million years ago: Is Sgr A* a failed quasar? Astron. Astrophys. 2005, 437, 437–445. [Google Scholar] [CrossRef]
- Nayakshin, S.; Sunyaev, R. The ‘missing’ young stellar objects in the central parsec of the Galaxy: Evidence for star formation in a massive accretion disc and a top-heavy initial mass function. Mon. Not. R. Astron. Soc. Lett. 2005, 364, L23–L27. [Google Scholar] [CrossRef]
- Nayakshin, S.; Dehnen, W.; Cuadra, J.; Genzel, R. Weighing the young stellar discs around Sgr A*. Mon. Not. R. Astron. Soc. Lett. 2006, 366, 1410–1414. [Google Scholar] [CrossRef][Green Version]
- Bonnell, I.A.; Rice, W.K.M. Star Formation Around Supermassive Black Holes. Science 2008, 321, 1060. [Google Scholar] [CrossRef]
- Wardle, M.; Yusef-Zadeh, F. On the Formation of Compact Stellar Disks around Sagittarius A*. Astrophys. J. 2008, 683, L37. [Google Scholar] [CrossRef]
- Hobbs, A.; Nayakshin, S. Simulations of the formation of stellar discs in the Galactic Centre via cloud-cloud collisions. Mon. Not. R. Astron. Soc. Lett. 2009, 394, 191–206. [Google Scholar] [CrossRef]
- Mapelli, M.; Hayfield, T.; Mayer, L.; Wadsley, J. In Situ Formation of SgrA* Stars Via Disk Fragmentation: Parent Cloud Properties and Thermodynamics. Astrophys. J. 2012, 749, 168. [Google Scholar] [CrossRef]
- Mapelli, M.; Gualandris, A. Star Formation and Dynamics in the Galactic Centre. In Astrophysical Black Holes; Haardt, F., Gorini, V., Moschella, U., Treves, A., Colpi, M., Eds.; Lecture Notes in Physics; Springer: Berlin/Heidelberg, Germany, 2016; Volume 905, p. 205. [Google Scholar] [CrossRef]
- Alig, C.; Burkert, A.; Johansson, P.H.; Schartmann, M. Simulations of direct collisions of gas clouds with the central black hole. Mon. Not. R. Astron. Soc. Lett. 2011, 412, 469–486. [Google Scholar] [CrossRef][Green Version]
- Bartko, H.; Martins, F.; Fritz, T.K.; Genzel, R.; Levin, Y.; Perets, H.B.; Paumard, T.; Nayakshin, S.; Gerhard, O.; Alexander, T.; et al. Evidence for Warped Disks of Young Stars in the Galactic Center. Astrophys. J. 2009, 697, 1741–1763. [Google Scholar] [CrossRef]
- von Fellenberg, S.D.; Gillessen, S.; Stadler, J.; Bauböck, M.; Genzel, R.; de Zeeuw, T.; Pfuhl, O.; Amaro Seoane, P.; Drescher, A.; Eisenhauer, F.; et al. The Young Stars in the Galactic Center. Astrophys. J. 2022, 932, L6. [Google Scholar] [CrossRef]
- Young, A.; Gillessen, S.; de Zeeuw, T.; Dallilar, Y.; Drescher, A.; Eisenhauer, F.; Genzel, R.; Mang, F.; Ott, T.; Stadler, J.; et al. Accelerations of stars in the central 2-7 arcsec from Sgr A*. Astron. Astrophys. 2023, 670, A36. [Google Scholar] [CrossRef]
- Jia, S.; Xu, N.; Lu, J.R.; Chu, D.S.; O’Neil, K.K.; Drechsler, W.B.; Hosek, M.W.; Sakai, S.; Do, T.; Ciurlo, A.; et al. Stellar Populations in the Central 0.5 pc of Our Galaxy. III. The Dynamical Substructures. Astrophys. J. 2023, 949, 18. [Google Scholar] [CrossRef]
- Bartko, H.; Martins, F.; Trippe, S.; Fritz, T.K.; Genzel, R.; Ott, T.; Eisenhauer, F.; Gillessen, S.; Paumard, T.; Alexander, T.; et al. An Extremely Top-Heavy Initial Mass Function in the Galactic Center Stellar Disks. Astrophys. J. 2010, 708, 834–840. [Google Scholar] [CrossRef]
- Lu, J.R.; Do, T.; Ghez, A.M.; Morris, M.R.; Yelda, S.; Matthews, K. Stellar Populations in the Central 0.5 pc of the Galaxy. II. The Initial Mass Function. Astrophys. J. 2013, 764, 155. [Google Scholar] [CrossRef]
- Kobayashi, N.; Tokunaga, A.T.; Terada, H.; Goto, M.; Weber, M.; Potter, R.; Onaka, P.M.; Ching, G.K.; Young, T.T.; Fletcher, K.; et al. IRCS: Infrared camera and spectrograph for the Subaru Telescope. In Optical and IR Telescope Instrumentation and Detectors; Iye, M., Moorwood, A.F., Eds.; Society of Photo-Optical Instrumentation Engineers (SPIE) Conference Series; SPIE: Bellingham, WA, USA, 2000; Volume 4008, pp. 1056–1066. [Google Scholar] [CrossRef]
- Iye, M.; Karoji, H.; Ando, H.; Kaifu, N.; Kodaira, K.; Aoki, K.; Aoki, W.; Chikada, Y.; Doi, Y.; Ebizuka, N.; et al. Current Performance and On-Going Improvements of the 8.2 m Subaru Telescope. Publ. Astron. Soc. Jpn. 2004, 56, 381–397. [Google Scholar] [CrossRef]
- Schödel, R.; Merritt, D.; Eckart, A. The nuclear star cluster of the Milky Way: Proper motions and mass. Astron. Astrophys. 2009, 502, 91–111. [Google Scholar] [CrossRef]
- Paumard, T.; Maillard, J.P.; Morris, M. Kinematic and structural analysis of the Minispiral in the Galactic Center from BEAR spectro-imagery. Astron. Astrophys. 2004, 426, 81–96. [Google Scholar] [CrossRef]
- Zhao, J.H.; Morris, M.R.; Goss, W.M.; An, T. Dynamics of Ionized Gas at the Galactic Center: Very Large Array Observations of the Three-dimensional Velocity Field and Location of the Ionized Streams in Sagittarius A West. Astrophys. J. 2009, 699, 186–214. [Google Scholar] [CrossRef]
- Zhao, J.H.; Blundell, R.; Moran, J.M.; Downes, D.; Schuster, K.F.; Marrone, D.P. The High-density Ionized Gas in the Central Parsec of the Galaxy. Astrophys. J. 2010, 723, 1097–1109. [Google Scholar] [CrossRef]
- Zhu, Q.; Kudritzki, R.P.; Figer, D.F.; Najarro, F.; Merritt, D. Radial Velocities of Stars in the Galactic Center. Astrophys. J. 2008, 681, 1254–1278. [Google Scholar] [CrossRef][Green Version]
- Habibi, M.; Gillessen, S.; Martins, F.; Eisenhauer, F.; Plewa, P.M.; Pfuhl, O.; George, E.; Dexter, J.; Waisberg, I.; Ott, T.; et al. Twelve Years of Spectroscopic Monitoring in the Galactic Center: The Closest Look at S-stars near the Black Hole. Astrophys. J. 2017, 847, 120. [Google Scholar] [CrossRef]
- Hubeny, I.; Lanz, T. A brief introductory guide to TLUSTY and SYNSPEC. arXiv 2017, arXiv:1706.01859. [Google Scholar] [CrossRef]
- Burningham, B.; Marley, M.S.; Line, M.R.; Lupu, R.; Visscher, C.; Morley, C.V.; Saumon, D.; Freedman, R. Retrieval of atmospheric properties of cloudy L dwarfs. Mon. Not. R. Astron. Soc. Lett. 2017, 470, 1177–1197. [Google Scholar] [CrossRef]
- Hubeny, I.; Lanz, T. Non-LTE Line-blanketed Model Atmospheres of Hot Stars. I. Hybrid Complete Linearization/Accelerated Lambda Iteration Method. Astrophys. J. 1995, 439, 875. [Google Scholar] [CrossRef]
- Carr, J.S.; Sellgren, K.; Balachandran, S.C. The First Stellar Abundance Measurements in the Galactic Center: The M Supergiant IRS 7. Astrophys. J. 2000, 530, 307–322. [Google Scholar] [CrossRef][Green Version]
- Ramírez, S.V.; Sellgren, K.; Carr, J.S.; Balachandran, S.C.; Blum, R.; Terndrup, D.M.; Steed, A. Stellar Iron Abundances at the Galactic Center. Astrophys. J. 2000, 537, 205–220. [Google Scholar] [CrossRef][Green Version]
- Gautam, A.K.; Do, T.; Ghez, A.M.; Chu, D.S.; Hosek, M.W.; Sakai, S.; Naoz, S.; Morris, M.R.; Ciurlo, A.; Haggard, Z.; et al. An Estimate of the Binary Star Fraction among Young Stars at the Galactic Center: Possible Evidence of a Radial Dependence. Astrophys. J. 2024, 964, 164. [Google Scholar] [CrossRef]
- Blum, R.D.; Sellgren, K.; Depoy, D.L. JHKL Photometry and the K-Band Luminosity Function at the Galactic Center. Astrophys. J. 1996, 470, 864. [Google Scholar] [CrossRef]
- Do, T.; Ghez, A.M.; Morris, M.R.; Lu, J.R.; Matthews, K.; Yelda, S.; Larkin, J. High Angular Resolution Integral-Field Spectroscopy of the Galaxy’s Nuclear Cluster: A Missing Stellar Cusp? Astrophys. J. 2009, 703, 1323–1337. [Google Scholar] [CrossRef]
- Gautam, A.K.; Do, T.; Ghez, A.M.; Morris, M.R.; Martinez, G.D.; Hosek Matthew, W.J.; Lu, J.R.; Sakai, S.; Witzel, G.; Jia, S.; et al. An Adaptive Optics Survey of Stellar Variability at the Galactic Center. Astrophys. J. 2019, 871, 103. [Google Scholar] [CrossRef]
- Haggard, Z.; Ghez, A.M.; Sakai, S.; Gautam, A.K.; Do, T.; Lu, J.R.; Hosek, M.; Morris, M.R.; Granados, S. The Galactic Center in Color: Measuring Extinction with High-proper-motion Stars. Astron. J. 2024, 168, 166. [Google Scholar] [CrossRef]
- Rafelski, M.; Ghez, A.M.; Hornstein, S.D.; Lu, J.R.; Morris, M. Photometric Stellar Variability in the Galactic Center. Astrophys. J. 2007, 659, 1241–1256. [Google Scholar] [CrossRef]
- Schödel, R.; Najarro, F.; Muzic, K.; Eckart, A. Peering through the veil: Near-infrared photometry and extinction for the Galactic nuclear star cluster. Accurate near infrared H, Ks, and L’ photometry and the near-infrared extinction-law toward the central parsec of the Galaxy. Astron. Astrophys. 2010, 511, A18. [Google Scholar] [CrossRef]
- Martins, F.; Plez, B. UBVJHK synthetic photometry of Galactic O stars. Astron. Astrophys. 2006, 457, 637–644. [Google Scholar] [CrossRef]
- Schneider, F.R.N.; Langer, N.; de Koter, A.; Brott, I.; Izzard, R.G.; Lau, H.H.B. Bonnsai: A Bayesian tool for comparing stars with stellar evolution models. Astron. Astrophys. 2014, 570, A66. [Google Scholar] [CrossRef]
- Brott, I.; de Mink, S.E.; Cantiello, M.; Langer, N.; de Koter, A.; Evans, C.J.; Hunter, I.; Trundle, C.; Vink, J.S. Rotating massive main-sequence stars. I. Grids of evolutionary models and isochrones. Astron. Astrophys. 2011, 530, A115. [Google Scholar] [CrossRef]
- Genzel, R.; Pichon, C.; Eckart, A.; Gerhard, O.E.; Ott, T. Stellar dynamics in the Galactic Centre: Proper motions and anisotropy. Mon. Not. R. Astron. Soc. Lett. 2000, 317, 348–374. [Google Scholar] [CrossRef]
- Eckart, A.; Genzel, R.; Krabbe, A.; Hofmann, R.; van der Werf, P.P.; Drapatz, S. Collimation of astrophysical jets by inertial confinement. Nature 1992, 355, 526–529. [Google Scholar] [CrossRef]
- Herbst, T.M.; Beckwith, S.V.W.; Shure, M. Infrared Imaging of the Galactic Center and the Search for Sagittarius A *. Astrophys. J. 1993, 411, L21. [Google Scholar] [CrossRef]
- Eckart, A.; Genzel, R. Observations of stellar proper motions near the Galactic Centre. Nature 1996, 383, 415–417. [Google Scholar] [CrossRef]
- Trundle, C.; Dufton, P.L.; Hunter, I.; Evans, C.J.; Lennon, D.J.; Smartt, S.J.; Ryans, R.S.I. The VLT-FLAMES survey of massive stars: Evolution of surface N abundances and effective temperature scales in the Galaxy and Magellanic Clouds. Astron. Astrophys. 2007, 471, 625–643. [Google Scholar] [CrossRef]
- Alexander, R.D.; Begelman, M.C.; Armitage, P.J. Constraints on the Stellar Mass Function from Stellar Dynamics at the Galactic Center. Astrophys. J. 2007, 654, 907–914. [Google Scholar] [CrossRef]
- Kocsis, B.; Tremaine, S. Resonant relaxation and the warp of the stellar disc in the Galactic Centre. Mon. Not. R. Astron. Soc. Lett. 2011, 412, 187–207. [Google Scholar] [CrossRef]
- Ulubay-Siddiki, A.; Bartko, H.; Gerhard, O. On the possibility of a warped disc origin of the inclined stellar discs at the Galactic Centre. Mon. Not. R. Astron. Soc. Lett. 2013, 428, 1986–2000. [Google Scholar] [CrossRef]
- Panamarev, T.; Kocsis, B. A numerical study of stellar discs in galactic nuclei. Mon. Not. R. Astron. Soc. Lett. 2022, 517, 6205–6224. [Google Scholar] [CrossRef]
- Cuadra, J.; Armitage, P.J.; Alexander, R.D. Stellar dynamical evidence against a cold disc origin for stars in the Galactic Centre. Mon. Not. R. Astron. Soc. Lett. 2008, 388, L64–L68. [Google Scholar] [CrossRef]
- Löckmann, U.; Baumgardt, H.; Kroupa, P. Influence of a stellar cusp on the dynamics of young stellar discs and the origin of the S-stars in the Galactic Centre. Mon. Not. R. Astron. Soc. Lett. 2009, 398, 429–437. [Google Scholar] [CrossRef]
- Šubr, L.; Schovancová, J.; Kroupa, P. The warped young stellar disc in the Galactic centre. Astron. Astrophys. 2009, 496, 695–699. [Google Scholar] [CrossRef]
- Ulubay-Siddiki, A.; Gerhard, O.; Arnaboldi, M. Self-gravitating warped discs around supermassive black holes. Mon. Not. R. Astron. Soc. Lett. 2009, 398, 535–547. [Google Scholar] [CrossRef][Green Version]
- Haas, J.; Šubr, L.; Kroupa, P. The coupling of a young stellar disc with the molecular torus in the Galactic Centre. Mon. Not. R. Astron. Soc. Lett. 2011, 412, 1905–1912. [Google Scholar] [CrossRef]
- Mapelli, M.; Gualandris, A.; Hayfield, T. Perturbations induced by a molecular cloud on the young stellar disc in the Galactic Centre. Mon. Not. R. Astron. Soc. Lett. 2013, 436, 3809–3819. [Google Scholar] [CrossRef][Green Version]
- Mikhaloff, D.N.; Perets, H.B. Short- and long-term evolution of a stellar disc around a massive black hole: The role of the cusp, stellar evolution and binaries. Mon. Not. R. Astron. Soc. Lett. 2017, 465, 281–292. [Google Scholar] [CrossRef][Green Version]
- Levin, Y. Resonant Friction on Disks in Galactic Nuclei. Astrophys. J. 2024, 975, 278. [Google Scholar] [CrossRef]






| Object | ||||
|---|---|---|---|---|
| (K) | (dex) | (km s−1) | ||
| IRS 16CC | 24,000 ± 2000 | 2.25 ± 0.50 | 5.61 ± 0.12 | 70 ± 10 |
| IRS 33N | 24,000 ± 2000 | 2.25 ± 0.50 | 5.38 ± 0.12 |
| Object | SpT(a) | Age | |||||
|---|---|---|---|---|---|---|---|
| (K) | (dex) | () | (Myr) | (km s−1) | |||
| IRS 16CC | B0.5–1I | ||||||
| IRS 33N | B0.7–1.5I |
Disclaimer/Publisher’s Note: The statements, opinions and data contained in all publications are solely those of the individual author(s) and contributor(s) and not of MDPI and/or the editor(s). MDPI and/or the editor(s) disclaim responsibility for any injury to people or property resulting from any ideas, methods, instructions or products referred to in the content. |
© 2025 by the authors. Licensee MDPI, Basel, Switzerland. This article is an open access article distributed under the terms and conditions of the Creative Commons Attribution (CC BY) license (https://creativecommons.org/licenses/by/4.0/).
Share and Cite
Nishiyama, S.; Sato, W.; Hotta, M.; Ikarashi, M.; Saida, H.; Takamori, Y.; Nagata, T.; Ikeda, H.; Takahashi, M. High-Resolution Infrared Spectroscopy of IRS 16CC and IRS 33N: Stellar Parameters and Implications for Star Formation Near Sgr A*. Universe 2025, 11, 332. https://doi.org/10.3390/universe11100332
Nishiyama S, Sato W, Hotta M, Ikarashi M, Saida H, Takamori Y, Nagata T, Ikeda H, Takahashi M. High-Resolution Infrared Spectroscopy of IRS 16CC and IRS 33N: Stellar Parameters and Implications for Star Formation Near Sgr A*. Universe. 2025; 11(10):332. https://doi.org/10.3390/universe11100332
Chicago/Turabian StyleNishiyama, Shogo, Wakana Sato, Moeka Hotta, Momoka Ikarashi, Hiromi Saida, Yohsuke Takamori, Tetsuya Nagata, Hiroyuki Ikeda, and Masaaki Takahashi. 2025. "High-Resolution Infrared Spectroscopy of IRS 16CC and IRS 33N: Stellar Parameters and Implications for Star Formation Near Sgr A*" Universe 11, no. 10: 332. https://doi.org/10.3390/universe11100332
APA StyleNishiyama, S., Sato, W., Hotta, M., Ikarashi, M., Saida, H., Takamori, Y., Nagata, T., Ikeda, H., & Takahashi, M. (2025). High-Resolution Infrared Spectroscopy of IRS 16CC and IRS 33N: Stellar Parameters and Implications for Star Formation Near Sgr A*. Universe, 11(10), 332. https://doi.org/10.3390/universe11100332

