Sign in to use this feature.

Years

Between: -

Subjects

remove_circle_outline
remove_circle_outline
remove_circle_outline
remove_circle_outline
remove_circle_outline
remove_circle_outline
remove_circle_outline
remove_circle_outline
remove_circle_outline

Journals

remove_circle_outline
remove_circle_outline
remove_circle_outline
remove_circle_outline
remove_circle_outline

Article Types

Countries / Regions

remove_circle_outline
remove_circle_outline
remove_circle_outline

Search Results (540)

Search Parameters:
Keywords = stability of soil aggregates

Order results
Result details
Results per page
Select all
Export citation of selected articles as:
21 pages, 1941 KB  
Article
Erosion Assessment by a Fast and Low-Cost Procedure in a Vineyard Under Different Soil Management
by Maria Costanza Andrenelli, Sergio Pellegrini, Gianni Fila, Claudia Becagli, Giuseppe Valboa and Nadia Vignozzi
Agriculture 2025, 15(21), 2218; https://doi.org/10.3390/agriculture15212218 (registering DOI) - 24 Oct 2025
Abstract
Soil erosion in vineyards is a major environmental problem, particularly in hilly Mediterranean environments. Our study evaluated the effectiveness of permanent grass cover (PG), continuous tillage (CT), and green manure (GM) in reducing soil erosion. Furthermore, a new software tool (ISUMmate_1.1.xlsm), based on [...] Read more.
Soil erosion in vineyards is a major environmental problem, particularly in hilly Mediterranean environments. Our study evaluated the effectiveness of permanent grass cover (PG), continuous tillage (CT), and green manure (GM) in reducing soil erosion. Furthermore, a new software tool (ISUMmate_1.1.xlsm), based on the improved stock unearthing method (ISUM), was developed and tested to quantify soil mobilization between successive transects along vineyard inter-row. The field trial was carried out over a three-year period in a Tuscany (Italy) vineyard. The results showed that PG significantly improved aggregate stability and soil organic carbon (SOC) content, while exhibiting the lowest erosion rates. In contrast, GM showed the highest erosion rates as a result of soil disturbance associated with cultivation operations and the occurrence of unexpected intense rainfalls. ISUMmate_1.1 has proven to be a reliable tool for monitoring both water- and tillage-induced erosion, providing valuable information for sustainable vineyard management. Full article
(This article belongs to the Special Issue Effects of Different Managements on Soil Quality and Crop Production)
19 pages, 2098 KB  
Article
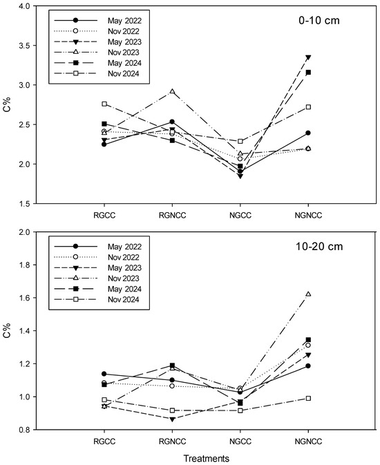
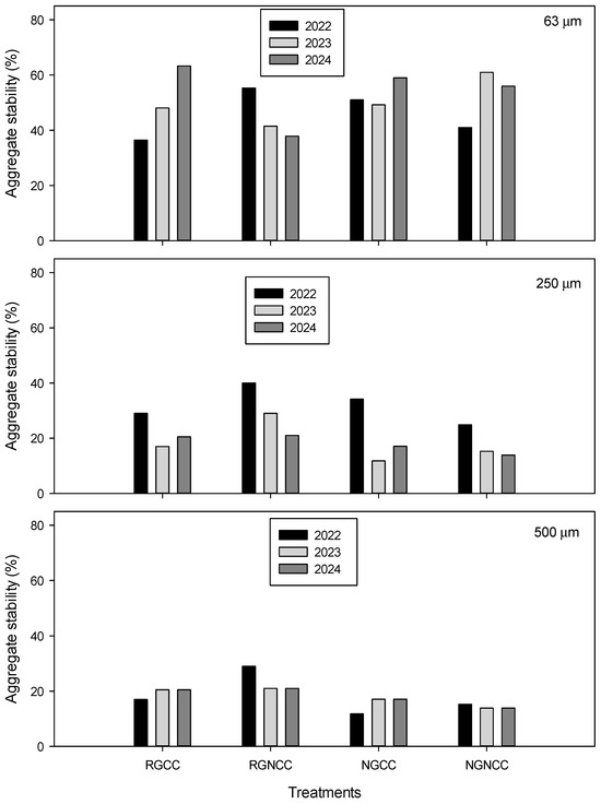
Soil Carbon Dynamics, Sequestration Potential, and Physical Characteristics Under Grazing Management in Regenerative Organic Agroecosystems
by Said A. Hamido, Arash Ghalehgolabbehbahani and Andrew Smith
Agronomy 2025, 15(10), 2426; https://doi.org/10.3390/agronomy15102426 - 20 Oct 2025
Viewed by 237
Abstract
Rotational grazing and cover crops are conservation practices known to improve soil health, particularly soil organic carbon (SOC) and aggregate stability. Combining both practices may enhance these benefits more than either alone. With grazing lands covering 41% of U.S. agricultural land, adopting such [...] Read more.
Rotational grazing and cover crops are conservation practices known to improve soil health, particularly soil organic carbon (SOC) and aggregate stability. Combining both practices may enhance these benefits more than either alone. With grazing lands covering 41% of U.S. agricultural land, adopting such methods could significantly impact the soil carbon cycle. A study near Koshkonong, Missouri, examined the effects of regenerative organic grazing with Bubalus bubalis (Linnaeus) on SOC, carbon sequestration, aggregate stability, and soil resistance. The 1620-hectare ranch tested four treatments: rotational grazing with cover crops (RGCC), grazing on native grasses (RGNCC), cover crops without grazing (NGCC), and orchards without cover crops or grazing (NGNCC). Cover crops were seeded twice yearly with diverse species. After three years, SOC increased most in NGNCC (28%), followed by RGCC (13%), NGCC (7%), and RGNCC (4%). Annual carbon gains in surface soils were highest in NGNCC (0.99 Mg ha−1 yr−1). Across all depths, NGCC led (4.88 Mg ha−1 yr−1). Aggregate stability was greatest in non-grazed systems, particularly in fine aggregates, and declined with soil disturbance. Overall, low-disturbance systems like orchards and no-grazing cover crop plots enhanced soil structure and carbon storage. Strategic management is key to improving soil function and ecosystem resilience. Full article
(This article belongs to the Special Issue Soil Health to Human Health)
Show Figures

Figure 1

16 pages, 2350 KB  
Article
Effects of Biochar and PGPR Application on the Physicochemical Properties and Humus Components of Soil Used for Planting Fruit Mulberry Seedlings Under Salt Stress
by Dawei Jing, Fangchun Liu, Binghua Liu, Lin Peng, Mingjie Sun, Hailin Ma and Zhenyu Du
Biology 2025, 14(10), 1441; https://doi.org/10.3390/biology14101441 - 18 Oct 2025
Viewed by 186
Abstract
Biochar can act as a carrier and a soil carbon source for rapid colonization by plant growth-promoting rhizobacteria (PGPR). However, the effects of a combined application of biochar and PGPR on soil physicochemical properties, humus components, and their stability in the rhizosphere around [...] Read more.
Biochar can act as a carrier and a soil carbon source for rapid colonization by plant growth-promoting rhizobacteria (PGPR). However, the effects of a combined application of biochar and PGPR on soil physicochemical properties, humus components, and their stability in the rhizosphere around fruit mulberry seedlings remain unclear. A pot experiment using 1-year-old fruit mulberry seedlings with five treatments (control (CK), salt stress (SS), salt stress + Bacillus fexus (SS+P), salt stress + biochar (SS+B), and salt stress + B. fexus + biochar (SS+P+B)) was conducted to analyze the variations in soil physicochemical properties and humic acid (HA), fulvic acid (FA), and humin (HM) contents in the soil when planting fruit mulberry seedlings. The results indicated that the SS treatment significantly reduced total soil porosity, non-capillary porosity, water stable macro-aggregates content, available potassium content, and pH value compared to CK, but increased the soil bulk density, capillary porosity, and available phosphorus content. The SS+P+B treatment significantly increased soil total porosity, non-capillary porosity, pH value, electrical conductivity, the water stable macro-aggregates, organic matter, HA and HM contents, the HA/FA and HA/HE (humus-extractable) ratios, and the activities of catalase and urease. It significantly increased the water stable macro-aggregates and the HA/HE ratio by 27.83% and 25.00%, respectively. However, it significantly decreased soil bulk density and capillary porosity by 9.93% and 20.64%, respectively, compared to the SS treatment. The results suggest that the simultaneous addition of biochar and B. fexus under salt-stress conditions improves the soil physicochemical properties and increases the humus components content and stability, which is of great significance for improving the soil quality of saline–alkali land and enhancing the productivity of fruit mulberry. Full article
Show Figures

Figure 1

25 pages, 2922 KB  
Review
Turning Waste into Resources: Bibliometric Study on Sand–Rubber Tire Mixtures in Geotechnical Engineering
by Madhusudhan Bangalore Ramu, Abdullah O. Baarimah, Aiman A. Bin Mokaizh, Ahmed Wajeh Mushtaha, Al-Baraa Abdulrahman Al-Mekhlafi, Aawag Mohsen Alawag and Khalid Mhmoud Alzubi
Geotechnics 2025, 5(4), 71; https://doi.org/10.3390/geotechnics5040071 - 17 Oct 2025
Viewed by 171
Abstract
Improper disposal of waste tires has led to significant environmental and economic challenges, including pollution and inefficient resource utilization. The growing focus on sustainable solutions in geotechnical engineering highlights the potential of sand–rubber tire shred mixtures for applications such as soil stabilization, embankment [...] Read more.
Improper disposal of waste tires has led to significant environmental and economic challenges, including pollution and inefficient resource utilization. The growing focus on sustainable solutions in geotechnical engineering highlights the potential of sand–rubber tire shred mixtures for applications such as soil stabilization, embankment reinforcement, seismic isolation, and drainage. This paper presents a bibliometric study analyzing research trends, methodologies, and applications of these mixtures from 2000 to 2025, based on 366 relevant publications. The findings indicate a substantial increase in publications after 2015, reflecting heightened academic and industrial interest in sustainable construction materials. Keyword co-occurrence analysis reveals key research themes, including optimization of shear strength, enhancement of compressibility, and mitigation of seismic impacts. Citation network maps illustrate influential studies and collaborative research networks that are propelling advancements in this field. Despite the advantages of sand–rubber mixtures, challenges such as compaction difficulties, variability in rubber particle size, and long-term durability remain to be addressed. Future research should focus on large-scale field applications, standardization of design methodologies, and the integration of advanced computational modeling for performance optimization. This study contributes to the development of sand–rubber mixtures, positioning them as viable and ecological solutions within the framework of circular economy principles and sustainable construction practices. Full article
(This article belongs to the Special Issue Recent Advances in Geotechnical Engineering (3rd Edition))
Show Figures

Figure 1

13 pages, 1722 KB  
Article
Interactions Between Soil Texture and Cover Crop Diversity Shape Carbon Dynamics and Aggregate Stability
by Vladimír Šimanský and Martin Lukac
Land 2025, 14(10), 2044; https://doi.org/10.3390/land14102044 - 13 Oct 2025
Viewed by 263
Abstract
Increasing attention is being paid to the use of cover crops as a means of improving soil quality, particularly in relation to soil organic matter (SOM) accumulation and aggregate stability. This study evaluated the effects of soil texture, soil depth, and cover crop [...] Read more.
Increasing attention is being paid to the use of cover crops as a means of improving soil quality, particularly in relation to soil organic matter (SOM) accumulation and aggregate stability. This study evaluated the effects of soil texture, soil depth, and cover crop type on soil organic carbon (Corg), labile carbon (CL), and soil structure under field conditions in western Slovakia. A field experiment compared two texturally distinct Phaeozem soils—silty clay loam and sandy loam —and two cover cropping strategies: pea (Pisum sativum L.) monoculture and a four-species mixture of flax (Linum usitatissimum L.), camelina (Camelina sativa L.), white mustard (Sinapis alba L.), and Italian millet (Setaria italica L.). Fine-textured soil accumulated up to 50% more Corg and 1.5 times more CL than sandy soil, while aggregate stability was up to 90% higher. The surface layer (0–10 cm) contained more SOM, but the deeper layer (10–20 cm) showed greater aggregate stability. Pea cultivation increased total organic carbon, whereas the diverse mixture enhanced labile carbon content and promoted the formation of smaller yet more stable aggregates. Strong correlations between CL and aggregate stability confirmed the key role of labile organic matter fractions in soil structural stabilisation. Overall, the results demonstrate that the interaction between soil texture and cover crop diversity critically shapes SOM dynamics and soil structure. Combining diverse cover crops with fine-textured soils provides an effective strategy to enhance soil quality, carbon sequestration, and long-term agricultural sustainability. Full article
(This article belongs to the Section Land, Soil and Water)
Show Figures

Figure 1

17 pages, 4515 KB  
Article
Mitigation of Expansive Soil Through Controlled Thermal Treatment: Geotechnical and Microstructural Assessment
by Abdullah Alsabhan, Wagdi Hamid, Ahmed M. Al-Mahbashi and Abobaker Salem Binyahya
Buildings 2025, 15(20), 3678; https://doi.org/10.3390/buildings15203678 - 13 Oct 2025
Viewed by 250
Abstract
Expansive soils present a significant geotechnical challenge due to their pronounced volume changes with moisture variations, leading to substantial infrastructure damage. This study investigates the efficacy of thermal stabilization in mitigating the swell potential and compressibility of a high-plasticity, kaolinite-rich clay from Al [...] Read more.
Expansive soils present a significant geotechnical challenge due to their pronounced volume changes with moisture variations, leading to substantial infrastructure damage. This study investigates the efficacy of thermal stabilization in mitigating the swell potential and compressibility of a high-plasticity, kaolinite-rich clay from Al Ghat, Saudi Arabia. As well, the changes in basic properties including consistency limits, specific gravity, and compaction characteristics were studied and highlighted. Microstructural studies using X-ray diffraction (XRD), Scanning electron microscopy (SEM), and Energy-dispersive X-ray spectroscopic (EDX) were performed to trace the structural changes and interpret the achieved improvement. Soil specimens were subjected to heat treatment at levels of 200 °C, 400 °C, and 600 °C for two hours, after which their geotechnical and microstructural properties were comprehensively evaluated. The results demonstrate a direct correlation between increasing temperature and the reduction in expansive behavior. Treatment at 600 °C caused a substantial decrease in the plasticity index from 27.00 to 2.94. Correspondingly, oedometer tests showed that the free swell was reduced from 6% to nearly zero, and the swelling pressure was eliminated, dropping from 250 kPa to 0 kPa. XRD analysis confirmed kaolinite decomposition through dehydroxylation, producing metakaolin with diminished water absorption capacity. SEM further revealed significant particle aggregation and the formation of a coarser soil fabric. The findings confirm that heat treatment at temperatures of 400 °C and above is a highly effective method for permanently stabilizing kaolinitic expansive soils, rendering them suitable for construction applications. Full article
(This article belongs to the Special Issue Research on Soil–Structure Interaction for Civil Structures)
Show Figures

Figure 1

19 pages, 2780 KB  
Article
Biodegradable Plastic Film Residues Impede Soil Organic Carbon Sequestration and Macroaggregate-Associated Carbon Storage in Agricultural Soil
by Xiushuang Li, Junli Du, Juan Chen, Jianglan Shi and Xiaohong Tian
Agriculture 2025, 15(20), 2121; https://doi.org/10.3390/agriculture15202121 - 12 Oct 2025
Viewed by 250
Abstract
The progressive replacement of conventional plastic films with biodegradable alternatives in agricultural systems has led to the accumulation of diverse plastic residues in soils, exerting documented impacts on microbial-mediated ecological processes. However, systematic investigations into how these residues influence organic carbon (C) turnover [...] Read more.
The progressive replacement of conventional plastic films with biodegradable alternatives in agricultural systems has led to the accumulation of diverse plastic residues in soils, exerting documented impacts on microbial-mediated ecological processes. However, systematic investigations into how these residues influence organic carbon (C) turnover and inter-aggregate C flows remain critically lacking. This study investigated the effects of diverse plastic film residues on organic C decomposition dynamics and aggregate-associated C sequestration through a 60-day soil incubation experiment. Two representative plastic film types—conventional polyethylene (PE) and biodegradable polylactic acid + polybutylene adipate-co-terephthalate (PAT)—were incorporated into agricultural soil under contrasting organic matter input regimes: with maize straw addition (St) and without any straw addition. The results demonstrated that, in the absence of maize straw, both PE and PAT residues enhanced native soil organic C (SOC) mineralization. Notably, PAT elevated the cumulative CO2 emission by 7.4% (P < 0.05) relative to the control. PE slightly reduced the final SOC content but increased the proportion of soil gates (Mi) and silt plus clay (S + C) toward Ma. Conversely, PAT exerted a negligible effect on final SOC content but reduced Ma by 40.9% (P < 0.05) and increased Mi by 33.4% (P < 0.05), driving C redistribution from Ma to Mi. In contrast, with the addition of maize straw, both St + PE and St + PAT treatments reduced organic C mineralization and diminished the increases in SOC content. Specifically, St + PAT decreased the cumulative CO2 emission by 1.9% (P < 0.05) and lowered the SOC content by 7.1% (P < 0.05) compared to straw addition alone (St). Both St + PE and St + PAT also lowered Ma formation; notably, St + PAT significantly reduced Ma by 33.6% and diminished C flow from Mi and S + C into Ma. In conclusion, biodegradable film residues may impede SOC sequestration and macroaggregate-associated C storage by stimulating the mineralization of native SOC and suppressing organic matter decomposition after crop residue input in soil. These findings provide novel insights into the mechanisms governing SOC turnover and C stabilization via soil aggregation in the context of accumulating plastic wastes. Full article
(This article belongs to the Special Issue Dynamics of Organic Matter in Agricultural Soil Management Systems)
Show Figures

Figure 1

19 pages, 5038 KB  
Article
Mechanisms of Soil Aggregate Stability Influencing Slope Erosion in North China
by Ying Yang, Shuai Zhang, Weijie Yuan, Zedong Li, Xiuxiu Deng and Lina Wang
Hydrology 2025, 12(10), 267; https://doi.org/10.3390/hydrology12100267 - 10 Oct 2025
Viewed by 313
Abstract
Soil aggregate stability plays a central role in mediating slope erosion, a key ecological process in North China. This study aimed to investigate how aggregate structures (reflected by rainfall intensity and vegetation-type differences) influence the erosion process. Using wasteland as the control, we [...] Read more.
Soil aggregate stability plays a central role in mediating slope erosion, a key ecological process in North China. This study aimed to investigate how aggregate structures (reflected by rainfall intensity and vegetation-type differences) influence the erosion process. Using wasteland as the control, we conducted artificial simulated rainfall experiments on soils covered by Quercus variabilis, Platycladus orientalis, and shrubs, with three rainfall intensity gradients. Key findings showed that Platycladus orientalis exhibited the strongest infiltration capacity and longest runoff initiation delay due to its high proportion of stable macroaggregates (>0.25 mm), while barren land readily formed surface crusts, leading to the fastest runoff. Increased rainfall intensity significantly exacerbated runoff and erosion. When the macroaggregate content exceeded 60%, sediment yield rates dropped sharply, with a significant negative exponential relationship between the mean weight diameter (MWD) and sediment yield; barren land (dominated by microaggregates) faced the highest erosion risk and fell into an erosion–fragmentation vicious cycle. Redundancy analysis revealed that microbial communities (e.g., Ascomycota) and fine roots were dominant erosion-controlling factors under heavy rainfall. Ultimately, the synergistic system of the macroaggregate architecture and root-microbial cementation enabled Platycladus orientalis and other tree stands to reduce soil erodibility via maintaining aggregate stability, whereas shrubs and barren land amplified rainfall intensity effects. barren landbarren landmm·h−1 mm·h−1 mm·h−1 barren land. Full article
(This article belongs to the Section Soil and Hydrology)
Show Figures

Figure 1

20 pages, 3411 KB  
Article
Assessing the Impacts of Greenhouse Lifespan on the Evolution of Soil Quality in Highland Mountain Vegetable Farmland
by Keyu Yan, Xiaohan Mei, Jing Li, Xinmei Zhao, Qingsong Duan, Zhengfa Chen and Yanmei Hu
Agronomy 2025, 15(10), 2343; https://doi.org/10.3390/agronomy15102343 - 5 Oct 2025
Viewed by 430
Abstract
Long-term greenhouse operations face a critical challenge in the form of soil quality degradation, yet the key intervention periods and underlying mechanisms of this process remain unclear. This study aims to quantify the effects of greenhouse lifespan on the evolution of soil quality [...] Read more.
Long-term greenhouse operations face a critical challenge in the form of soil quality degradation, yet the key intervention periods and underlying mechanisms of this process remain unclear. This study aims to quantify the effects of greenhouse lifespan on the evolution of soil quality and to identify critical periods for intervention. We conducted a systematic survey of greenhouse operations in a representative area of Yunnan Province, Southwest China, and adopted a space-for-time substitution design. Using open-field cultivation (OF) as the control, we sampled and analyzed soils from vegetable greenhouses with greenhouse lifespans of 2 years (G2), 5 years (G5), and 10 years (G10). The results showed that early-stage greenhouse operation (G2) significantly increased soil temperature (ST) by 8.38–19.93% and soil porosity (SP) by 16.21–56.26%, promoted nutrient accumulation and enhanced aggregate stability compared to OF. However, as the greenhouse lifespan increased, the soil aggregates gradually disintegrated, particle-size distribution shifted toward finer clay fractions, and pH changed from neutral to slightly alkaline, exacerbating nutrient imbalances. Compared with G2, G10 exhibited reductions in mean weight diameter (MWD) and soil organic matter (SOM) of 2.41–5.93% and 24.78–30.93%, respectively. Among greenhouses with different lifespans, G2 had the highest soil quality index (SQI), which declined significantly with extended operation; at depths of 0–20 cm and 20–40 cm, the SQI of G10 was 32.59% and 38.97% lower than that of G2, respectively (p < 0.05). Structural equation modeling (SEM) and random forest analysis indicated that the improvement in SQI during the early stage of greenhouse use was primarily attributed to the optimization of soil hydrothermal characteristics and pore structure. Notably, the 2–5 years was the critical stage of rapid decline in SQI, during which intensive water and fertilizer inputs reduced the explanatory power of soil nutrients for SQI. Under long-term continuous cropping, the reduction in MWD and SOM was the main reason for the decline in SQI. This study contributes to targeted soil management during the critical period for sustainable production of protected vegetables in southern China. Full article
Show Figures

Graphical abstract

15 pages, 3403 KB  
Article
Impact of Heavy Metal Contamination on Physical and Physicochemical Characteristics of Soil near Aurubis-Pirdop Copper Smelter in Bulgaria
by Milena Kercheva, Patrycja Boguta, Kamil Skic, Viktor Kolchakov, Katerina Doneva and Maya Benkova
Pollutants 2025, 5(4), 33; https://doi.org/10.3390/pollutants5040033 - 1 Oct 2025
Viewed by 325
Abstract
Soil contamination with heavy metals (HM) poses a risk to human health and can impact different soil functions. This study aimed to determine the influence of heavy metal pollution on the physical and physicochemical characteristics of the two profiles of alluvial–deluvial soil under [...] Read more.
Soil contamination with heavy metals (HM) poses a risk to human health and can impact different soil functions. This study aimed to determine the influence of heavy metal pollution on the physical and physicochemical characteristics of the two profiles of alluvial–deluvial soil under grassland located at different distances from the Aurubis-Pirdop Copper smelter in Bulgaria. Data for soil particle-size distribution, soil bulk and particle densities, mineralogical composition, soil organic carbon contents, cation exchange properties, surface charge, soil water retention curves, pore size distribution—obtained by mercury intrusion porosimetry (MIP)—and thermal properties were obtained. The contents of Pb, Cu, As, Zn, and Cd were above the maximum permissible level in the humic horizon and decreased with depth and distance from the Copper smelter. Depending on HM speciation, the correlations are established with SOC and most physicochemical parameters. It can be concluded that the HMs impact the clay content, specific surface area, distribution of pores, and the water stability of soil aggregate fraction 1–3 mm to varying degrees. Full article
Show Figures

Figure 1

16 pages, 6257 KB  
Article
Effects of Different Organic Amendments on Aggregate-Associated Humus Carbons and Nutrients in a Paddy Soil
by Qilin Wang, Xiaohou Shao, Zhaomeng Wu and Wei Li
Agronomy 2025, 15(10), 2302; https://doi.org/10.3390/agronomy15102302 - 29 Sep 2025
Viewed by 370
Abstract
The degradation of soil structure in paddy fields is critical, and the application of organic amendments is an effective way to enhance soil structure and function. However, the mechanisms by which different organic amendments influence soil aggregate-associated humus carbon and nutrients remain unclear. [...] Read more.
The degradation of soil structure in paddy fields is critical, and the application of organic amendments is an effective way to enhance soil structure and function. However, the mechanisms by which different organic amendments influence soil aggregate-associated humus carbon and nutrients remain unclear. Considering this, four treatments were employed in a randomized complete block design with three replications: (1) chemical fertilizer (CK); (2) chemical fertilizer plus organic amendment (MC); (3) chemical fertilizer plus organic amendment containing Bacillus subtilis (FT); and (4) Chemical fertilizer plus organic amendment containing polyacrylamide (PM). The results showed that all soil improvement measures significantly increased the proportion of macroaggregates (>2 mm and 2–0.25 mm), primarily the 2–0.25 mm fraction (34.53–48.46%), and the mean weight diameter (MWD), compared to CK. Soil organic carbon (SOC), humic acid carbon (HAC), fulvic acid carbon (FAC), humin carbon (HUC), total nitrogen (TN), and total phosphorus (TP) were predominantly concentrated within the macroaggregates. Relative to CK, the PM increased the HUC content in large aggregates (>2 mm) and significantly enhanced HAC by 19.53% within the same fraction, while the FT significantly boosted FAC by 31.78% in the >2 mm fraction. Furthermore, MC, FT, and PM treatments significantly enhanced SOC, TN, and TP contents within large macroaggregates compared to CK, with PM generally showing the highest SOC and TN levels, and FT being the highest in terms of TP in large aggregates (though differences among treatments were non-significant). Correlation analysis revealed that only in large aggregates did SOC show significant positive correlations with humus carbon fractions (except HAC), as well as with TN and TP. The amendments, particularly PM, effectively enhanced nutrient and humus carbon accumulation within large aggregates and improved aggregate stability. Notably, PM strengthened the direct pathways for the formation of SOC and humus carbon. In summary, the combined application of chemical fertilizer and organic amendments, containing polyacrylamide positively influenced aggregate stability and nutrient accumulation in paddy soil. Full article
Show Figures

Figure 1

19 pages, 2295 KB  
Article
Effect of Winter Cropping Forage on Soil Aggregate Distribution and Stability
by Yao Xiang, Chuting Zhang, Mengyan Cao, Shuangqi Jiang, Chuntao He and Guorong Xin
Agriculture 2025, 15(19), 2039; https://doi.org/10.3390/agriculture15192039 - 29 Sep 2025
Viewed by 333
Abstract
Soil structure is crucial for maintaining soil health and can be improved through winter cropping. This study evaluated the effects of winter cropping Italian ryegrass (WI), rye (WR), oat (WO), and winter fallow (CK) on soil aggregate structure and explored the role of [...] Read more.
Soil structure is crucial for maintaining soil health and can be improved through winter cropping. This study evaluated the effects of winter cropping Italian ryegrass (WI), rye (WR), oat (WO), and winter fallow (CK) on soil aggregate structure and explored the role of soil-cementing materials and arbuscular mycorrhizal fungi (AMF) communities in regulating soil aggregate distribution and stability. Compared to CK, the WI and WR treatments increased the proportion of water-stable large macroaggregates (>2 mm diameter) by 45.7% and 41.5%, respectively. Both WI and WR treatments enhanced the mean weight diameter and geometric mean diameter of soil aggregates, while soil porosity increased by 15.7% and 21.7%, respectively. The contents of amorphous iron oxide, humic acid, and fulvic acid were significantly higher in the WI and WR treatments. The WR treatment improved the Shannon index of AMF communities by 14.6%, and the relative abundances of Claroideoglomus increased by 55.3%, 51.3%, and 43.5% in the WI, WR, and WO treatments, compared to CK, respectively. Dominant AMF genera had a substantial impact on soil aggregate distribution. The partial least squares path model indicated that distinct AMF communities contributed to variations in soil aggregate distribution following winter cropping forages. Both Italian ryegrass and rye showed the greatest potential for enhancing soil structure and are recommended for winter cropping in Southern China. These findings suggest that winter cropping forages can improve soil aggregate structure primarily by enhancing AMF communities, providing a promising strategy for improving soil health. Full article
(This article belongs to the Section Agricultural Soils)
Show Figures

Graphical abstract

24 pages, 11795 KB  
Article
Effects of Sodium Chloride in Soil Stabilization: Improving the Behavior of Clay Deposits in Northern Cartagena, Colombia
by Jair Arrieta Baldovino, Jesús David Torres Parra and Yamid E. Nuñez de la Rosa
Sustainability 2025, 17(19), 8715; https://doi.org/10.3390/su17198715 - 28 Sep 2025
Viewed by 393
Abstract
This research evaluates the stabilization of a clay collected from the northern expansion zone of Cartagena de Indias, Colombia. Laboratory analyses, including particle size distribution, Atterberg limits, compaction, specific gravity, and XRF/XRD, classified the soil as a highly plastic clay (CH) with moderate [...] Read more.
This research evaluates the stabilization of a clay collected from the northern expansion zone of Cartagena de Indias, Colombia. Laboratory analyses, including particle size distribution, Atterberg limits, compaction, specific gravity, and XRF/XRD, classified the soil as a highly plastic clay (CH) with moderate dispersivity, as confirmed by pinhole and crumb tests. The soil was treated with 3–9% lime, with and without the addition of NaCl (0% and 2%), and tested for unconfined compressive strength (qu), small-strain stiffness (Go), and microstructural properties under curing periods of 14 and 28 days at two compaction densities. Results showed that lime significantly improved mechanical behavior, while the inclusion of NaCl further enhanced qu (up to 185%) and Go (up to 3-fold), particularly at higher lime contents and curing times. Regression models demonstrated that both qu and Go follow power-type relationships with the porosity-to-lime index, with consistent exponents (−4.75 and −5.23, respectively) and high coefficients of determination (R2 > 0.79). Normalization of the data yielded master curves with R2 values above 0.90, confirming the robustness of the porosity-to-lime framework as a predictive tool. The Go/qu ratio obtained (3737.4) falls within the range reported for cemented geomaterials, reinforcing its relevance for comparative analysis. SEM observations revealed the transition from a porous, weakly aggregated structure to a dense matrix filled with C–S–H and C–A–H gels, corroborating the macro–micro correlation. Overall, the combined use of lime and NaCl effectively converts dispersive clays into non-dispersive, mechanically improved geomaterials, providing a practical and sustainable approach for stabilizing problematic coastal soils in tropical environments. Full article
Show Figures

Figure 1

27 pages, 3728 KB  
Article
Soil Aggregate Stability Under Freeze–Thaw Cycles in Mollisols as Evidenced by 15N Distribution
by Yao Wang, Meng Zhou, Xiaoguang Jiao, Liangqian Ma, He Yu, Yimin Chen and Yueyu Sui
Agronomy 2025, 15(10), 2263; https://doi.org/10.3390/agronomy15102263 - 24 Sep 2025
Viewed by 583
Abstract
Freeze–thaw cycles (FTCs) influence soil nitrogen (N) dynamics and soil aggregate stability. However, the driving mechanism affecting aggregate stability from the combined perspective of N components and N distribution by 15N tracing technology in both bulk soils and soil aggregates remains worth [...] Read more.
Freeze–thaw cycles (FTCs) influence soil nitrogen (N) dynamics and soil aggregate stability. However, the driving mechanism affecting aggregate stability from the combined perspective of N components and N distribution by 15N tracing technology in both bulk soils and soil aggregates remains worth exploring. This study took the farmland Mollisols in Hailun City, Heilongjiang Province, as the research object, and investigated the variations in soil N components and aggregate stability across five freeze–thaw frequencies (1, 3, 5, 9, and 17 cycles) under three freeze–thaw temperatures (−9 °C/5 °C, −18 °C/5 °C, and −26 °C/5 °C) using 15N tracing technology. The results demonstrated that freeze–thaw frequency and temperature both influenced aggregate stability. Specifically, with the increase in freeze–thaw frequency, soil aggregate stability was reduced through decreasing the proportion of macroaggregates (2–0.25 mm), increasing the proportion of silt + clay fractions (<0.053 mm), and reducing the total N (TN) content of silt + clay fractions under higher freezing temperature (−9 °C/5 °C). In contrast, for lower freezing temperature (−18 °C/5 °C and −26 °C/5 °C), the increased freeze–thaw frequency enhances soil aggregate stability by decreasing the proportion of silt + clay fractions, increasing the proportion of microaggregates (0.25–0.053 mm), and reducing the TN contents of microaggregates and silt + clay fractions. These findings are essential for developing strategies to mitigate the adverse effects of FTCs on soil quality and ecosystem functions in cold regions. Full article
(This article belongs to the Special Issue Nitrogen Cycle in Agro-Ecosystems)
Show Figures

Figure 1

24 pages, 2271 KB  
Article
Co-Ridge Planting Enhances Yield Advantages of Maize Intercropping with Peanut by Improving Soil Aggregate Stability and the Ecological Stoichiometric Characteristics of Carbon, Nitrogen, and Phosphorus
by Zhiman Zan, Rentian Ma, Jiangtao Wang, Ling Liu, Tangyuan Ning and Nianyuan Jiao
Agronomy 2025, 15(9), 2227; https://doi.org/10.3390/agronomy15092227 - 20 Sep 2025
Viewed by 355
Abstract
Long-term maize (Zea mays L.) intercropping with peanut (Arachis hypogaea L.) (M||P) improves soil aggregate stability and phosphorus (P) availability, sustaining farmland productivity. In contrast, co-ridge planting (R-M||P) further enhances yield. However, the relationship between yield increase and improvements in soil [...] Read more.
Long-term maize (Zea mays L.) intercropping with peanut (Arachis hypogaea L.) (M||P) improves soil aggregate stability and phosphorus (P) availability, sustaining farmland productivity. In contrast, co-ridge planting (R-M||P) further enhances yield. However, the relationship between yield increase and improvements in soil aggregate stability and ecological stoichiometric characteristics under R-M||P remains unclear. Therefore, this study examined the effects of R-M||P on aggregate fractions and stability, bulk density (BD), porosity (Pt), soil organic carbon (SOC), total nitrogen (TN), available phosphorus (AP), total phosphorus (TP), and inorganic phosphorus, along with the ecological stoichiometric characteristics of C, N, and P. R-M||P substantially increased the proportion of topsoil macroaggregates, both mechanically stable (>0.5 mm) and water-stable (>1 mm), compared with flat planting. Additionally, it enhanced WR0.25 and mean weight diameter, substantially reduced BD, and increased Pt. Furthermore, R-M||P significantly increased the concentrations of SOC, TN, TP, AP, Ca2-P, Ca8-P, Al-P, and Fe-P. It also enhanced the contribution rates of SOC, TN, TP, and AP in macroaggregates, leading to increased storage of carbon (SCS), nitrogen (SNS), and phosphorus (SPS). R-M||P significantly elevated C:N and C:P ratios. Phosphorus application increased SOC and nutrient concentrations, positively regulated C:N, and enhanced C, N, and P storage. However, it negatively influenced C:P and N:P ratios. SOC and AP were the main driving factors affecting the intercropping advantage, with explanatory rates of 33.2% and 22.7%, respectively, under R-M||P. These findings suggest that R-M||P combined with P application enhances yield by promoting aggregate stability, increasing the concentrations and storage of C, N, and P, and establishing a new ecological stoichiometric balance. Full article
(This article belongs to the Section Innovative Cropping Systems)
Show Figures

Figure 1

Back to TopTop