Sign in to use this feature.

Years

Between: -

Subjects

remove_circle_outline
remove_circle_outline
remove_circle_outline
remove_circle_outline
remove_circle_outline

Journals

Article Types

Countries / Regions

Search Results (16)

Search Parameters:
Keywords = spinal cord ischemia–reperfusion injury

Order results
Result details
Results per page
Select all
Export citation of selected articles as:
24 pages, 2790 KB  
Article
Anti-HMGB1 Antibody Therapy Ameliorates Spinal Cord Ischemia–Reperfusion Injury in Rabbits
by Genya Muraoka, Yasuhiro Fujii, Keyue Liu, Handong Qiao, Dengli Wang, Daiki Ousaka, Susumu Oozawa, Shingo Kasahara and Masahiro Nishibori
Int. J. Mol. Sci. 2025, 26(17), 8643; https://doi.org/10.3390/ijms26178643 - 5 Sep 2025
Viewed by 1556
Abstract
Spinal cord ischemia–reperfusion (SCI/R) injury remains a major clinical challenge with limited therapeutic options. High-mobility group box 1 (HMGB1), a proinflammatory mediator released during cellular stress, has been implicated in the pathogenesis of ischemia–reperfusion-induced neural damage. In this study, we investigated the neuroprotective [...] Read more.
Spinal cord ischemia–reperfusion (SCI/R) injury remains a major clinical challenge with limited therapeutic options. High-mobility group box 1 (HMGB1), a proinflammatory mediator released during cellular stress, has been implicated in the pathogenesis of ischemia–reperfusion-induced neural damage. In this study, we investigated the neuroprotective potential of the anti-HMGB1 monoclonal antibody (mAb) in a rabbit model of SCI/R injury. Male New Zealand White rabbits were anesthetized and subjected to 11 min of abdominal aortic occlusion using a micro-bulldog clamp following heparinization. Anti-HMGB1 mAb or control IgG was administered intravenously immediately after reperfusion and again at 6 h post-reperfusion. Neurological function was assessed at 6, 24, and 48 h after reperfusion using the modified Tarlov scoring system. The rabbits were euthanized 48 h after reperfusion for spinal cord and blood sampling. Treatment with anti-HMGB1 mAb significantly improved neurological outcomes, reduced the extent of spinal cord infarction, preserved motor neuron viability, and decreased the presence of activated microglia and infiltrating neutrophils. Furthermore, it attenuated apoptosis, oxidative stress, and inflammatory responses in the spinal cord, and helped maintain the integrity of the blood–spinal cord barrier. These findings suggest that anti-HMGB1 mAb may serve as a promising therapeutic agent for SCI/R injury. Full article
(This article belongs to the Collection Advances in Cell and Molecular Biology)
Show Figures

Figure 1

20 pages, 1142 KB  
Review
The Therapeutic Potential of Garlic-Derived Organic Polysulfides for Ischemia-Reperfusion Injury
by Chunlei Wang, Ning Han, Caiyun Mao, Jiaxu Chen, Nana Cheng, Jieyou Zhao, Yunjia Song and Xutao Sun
Int. J. Mol. Sci. 2025, 26(17), 8257; https://doi.org/10.3390/ijms26178257 - 26 Aug 2025
Cited by 2 | Viewed by 1705
Abstract
Ischemia-reperfusion (I/R) injury refers to the exacerbation of tissue or organ damage upon the restoration of blood flow after an ischemic event. Despite its widespread clinical occurrence, therapeutic interventions for I/R injury remain limited in efficacy, presenting a significant challenge in modern medicine. [...] Read more.
Ischemia-reperfusion (I/R) injury refers to the exacerbation of tissue or organ damage upon the restoration of blood flow after an ischemic event. Despite its widespread clinical occurrence, therapeutic interventions for I/R injury remain limited in efficacy, presenting a significant challenge in modern medicine. Garlic, traditionally consumed as a food, has gained considerable attention for its medicinal properties. Numerous animal studies have shown that garlic-derived organic polysulfides significantly improve nerve function scores post-I/R, reduce infarct size, mitigate inflammatory responses, and inhibit cellular apoptosis. Thus, understanding the role of garlic-derived organic polysulfides in I/R injury may unveil novel therapeutic targets. This review explores the protective effects and mechanisms of garlic-derived organic polysulfides on I/R injury in various organs, including the brain, spinal cord, myocardium, lungs, liver, kidneys, and testes, highlighting their potential in advancing treatment strategies for affected patients. Full article
(This article belongs to the Section Bioactives and Nutraceuticals)
Show Figures

Graphical abstract

32 pages, 2933 KB  
Review
Therapeutic Potential of Hydrogen Sulfide in Ischemia and Reperfusion Injury
by Xutao Sun, Siyu Wu, Caiyun Mao, Ying Qu, Zihang Xu, Ying Xie, Deyou Jiang and Yunjia Song
Biomolecules 2024, 14(7), 740; https://doi.org/10.3390/biom14070740 - 22 Jun 2024
Cited by 11 | Viewed by 3860
Abstract
Ischemia–reperfusion (I/R) injury, a prevalent pathological condition in medical practice, presents significant treatment challenges. Hydrogen sulfide (H2S), acknowledged as the third gas signaling molecule, profoundly impacts various physiological and pathophysiological processes. Extensive research has demonstrated that H2S can mitigate [...] Read more.
Ischemia–reperfusion (I/R) injury, a prevalent pathological condition in medical practice, presents significant treatment challenges. Hydrogen sulfide (H2S), acknowledged as the third gas signaling molecule, profoundly impacts various physiological and pathophysiological processes. Extensive research has demonstrated that H2S can mitigate I/R damage across multiple organs and tissues. This review investigates the protective effects of H2S in preventing I/R damage in the heart, brain, liver, kidney, intestines, lungs, stomach, spinal cord, testes, eyes, and other tissues. H2S provides protection against I/R damage by alleviating inflammation and endoplasmic reticulum stress; inhibiting apoptosis, oxidative stress, and mitochondrial autophagy and dysfunction; and regulating microRNAs. Significant advancements in understanding the mechanisms by which H2S reduces I/R damage have led to the development and synthesis of H2S-releasing agents such as diallyl trisulfide-loaded mesoporous silica nanoparticles (DATS-MSN), AP39, zofenopril, and ATB-344, offering a new therapeutic avenue for I/R injury. Full article
Show Figures

Figure 1

15 pages, 3890 KB  
Article
Thoracic Dorsal Root Ganglion Application of Resiniferatoxin Reduces Myocardial Ischemia-Induced Ventricular Arrhythmias
by Tomoki Yamaguchi, Siamak Salavatian, Yuki Kuwabara, Abigail Hellman, Bradley K. Taylor, Kimberly Howard-Quijano and Aman Mahajan
Biomedicines 2023, 11(10), 2720; https://doi.org/10.3390/biomedicines11102720 - 7 Oct 2023
Cited by 4 | Viewed by 2747
Abstract
Background: A myocardial ischemia/reperfusion (IR) injury activates the transient receptor potential vanilloid 1 (TRPV1) dorsal root ganglion (DRG) neurons. The activation of TRPV1 DRG neurons triggers the spinal dorsal horn and the sympathetic preganglionic neurons in the spinal intermediolateral column, which results in [...] Read more.
Background: A myocardial ischemia/reperfusion (IR) injury activates the transient receptor potential vanilloid 1 (TRPV1) dorsal root ganglion (DRG) neurons. The activation of TRPV1 DRG neurons triggers the spinal dorsal horn and the sympathetic preganglionic neurons in the spinal intermediolateral column, which results in sympathoexcitation. In this study, we hypothesize that the selective epidural administration of resiniferatoxin (RTX) to DRGs may provide cardioprotection against ventricular arrhythmias by inhibiting afferent neurotransmission during IR injury. Methods: Yorkshire pigs (n = 21) were assigned to either the sham, IR, or IR + RTX group. A laminectomy and sternotomy were performed on the anesthetized animals to expose the left T2–T4 spinal dorsal root and the heart for IR intervention, respectively. RTX (50 μg) was administered to the DRGs in the IR + RTX group. The activation recovery interval (ARI) was measured as a surrogate for the action potential duration (APD). Arrhythmia risk was investigated by assessing the dispersion of repolarization (DOR), a marker of arrhythmogenicity, and measuring the arrhythmia score and the number of non-sustained ventricular tachycardias (VTs). TRPV1 and calcitonin gene-related peptide (CGRP) expressions in DRGs and CGRP expression in the spinal cord were assessed using immunohistochemistry. Results: The RTX mitigated IR-induced ARI shortening (−105 ms ± 13 ms in IR vs. −65 ms ± 11 ms in IR + RTX, p = 0.028) and DOR augmentation (7093 ms2 ± 701 ms2 in IR vs. 3788 ms2 ± 1161 ms2 in IR + RTX, p = 0.020). The arrhythmia score and VT episodes during an IR were decreased by RTX (arrhythmia score: 8.01 ± 1.44 in IR vs. 3.70 ± 0.81 in IR + RTX, p = 0.037. number of VT episodes: 12.00 ± 3.29 in IR vs. 0.57 ± 0.3 in IR + RTX, p = 0.002). The CGRP expression in the DRGs and spinal cord was decreased by RTX (DRGs: 6.8% ± 1.3% in IR vs. 0.6% ± 0.2% in IR + RTX, p < 0.001. Spinal cord: 12.0% ± 2.6% in IR vs. 4.5% ± 0.8% in IR + RTX, p = 0.047). Conclusions: The administration of RTX locally to thoracic DRGs reduces ventricular arrhythmia in a porcine model of IR, likely by inhibiting spinal afferent hyperactivity in the cardio–spinal sympathetic pathways. Full article
(This article belongs to the Special Issue Neuromodulation from Theory to Therapy Volume II)
Show Figures

Graphical abstract

12 pages, 2661 KB  
Article
Leucine Reduced Blood–Brain Barrier Disruption and Infarct Size in Early Cerebral Ischemia-Reperfusion
by Oak Z. Chi, Xia Liu, Jedrick Magsino and Harvey R. Weiss
Brain Sci. 2023, 13(10), 1372; https://doi.org/10.3390/brainsci13101372 - 26 Sep 2023
Cited by 11 | Viewed by 2438
Abstract
A disruption of the blood–brain barrier (BBB) is a crucial pathophysiological change that can impact the outcome of a stroke. Ribosomal protein S6 (S6) and protein kinase B (Akt) play significant roles in early cerebral ischemia-reperfusion injury. Studies have suggested that branched-chain amino [...] Read more.
A disruption of the blood–brain barrier (BBB) is a crucial pathophysiological change that can impact the outcome of a stroke. Ribosomal protein S6 (S6) and protein kinase B (Akt) play significant roles in early cerebral ischemia-reperfusion injury. Studies have suggested that branched-chain amino acids (BCAAs) may have neuroprotective properties for spinal cord or brain injuries. Therefore, we conducted research to investigate if leucine, one of the BCAAs, could offer neuroprotection and alter BBB disruption, along with its effects on the phosphorylation of S6 and Akt during the early phase of cerebral ischemia-reperfusion, specifically within the thrombolytic therapy time window. In rats, ten min after left middle cerebral artery occlusion (MCAO), 5 µL of 20 mM L-leucine or normal saline was injected into the left lateral ventricle. After two hours of reperfusion following one hour of MCAO, we determined the transfer coefficient (Ki) of 14C-α-aminoisobutyric acid to assess the BBB disruption, infarct size, and phosphorylation of S6 and Akt. Ischemia-reperfusion increased the Ki (+143%, p < 0.001) and the intra-cerebroventricular injection of leucine lowered the Ki in the ischemic-reperfused cortex (−34%, p < 0.001). Leucine reduced the percentage of cortical infarct (−42%, p < 0.0001) out of the total cortical area. Ischemia-reperfusion alone significantly increased the phosphorylation of both S6 and Akt (p < 0.05). However, the administration of leucine had no further effect on the phosphorylation of S6 or Akt in the ischemic-reperfused cortex. This study suggests that an acute increase in leucine levels in the brain during early ischemia-reperfusion within a few hours of stroke may offer neuroprotection, possibly due to reduced BBB disruption being one of the major contributing factors. Leucine did not further increase the already elevated phosphorylation of S6 or Akt by ischemia-reperfusion under the current experimental conditions. Our data warrant further studies on the effects of leucine on neuronal survival and its mechanisms in the later stages of cerebral ischemia-reperfusion. Full article
(This article belongs to the Topic Diagnosis and Management of Acute Ischemic Stroke)
Show Figures

Figure 1

14 pages, 584 KB  
Review
Biomarkers of Spinal Cord Injury in Patients Undergoing Complex Endovascular Aortic Repair Procedures—A Narrative Review of Current Literature
by Anna Sotir, Johannes Klopf, Christine Brostjan, Christoph Neumayer and Wolf Eilenberg
Biomedicines 2023, 11(5), 1317; https://doi.org/10.3390/biomedicines11051317 - 28 Apr 2023
Cited by 4 | Viewed by 2323
Abstract
Complex endovascular aortic repair (coEVAR) of thoracoabdominal aortic aneurysms (TAAA) has greatly evolved in the past decades. Despite substantial improvements of postoperative care, spinal cord injury (SCI) remains the most devastating complication of coEVAR being associated with impaired patient outcome and having an [...] Read more.
Complex endovascular aortic repair (coEVAR) of thoracoabdominal aortic aneurysms (TAAA) has greatly evolved in the past decades. Despite substantial improvements of postoperative care, spinal cord injury (SCI) remains the most devastating complication of coEVAR being associated with impaired patient outcome and having an impact on long-term survival. The rising number of challenges of coEVAR, essentially associated with an extensive coverage of critical blood vessels supplying the spinal cord, resulted in the implementation of dedicated SCI prevention protocols. In addition to maintenance of adequate spinal cord perfusion pressure (SCPP), early detection of SCI plays an integral role in intra- and postoperative patient care. However, this is challenging due to difficulties with clinical neurological examinations during patient sedation in the postoperative setting. There is a rising amount of evidence, suggesting that subclinical forms of SCI might be accompanied by an elevation of biochemical markers, specific to neuronal tissue damage. Addressing this hypothesis, several studies have attempted to assess the potential of selected biomarkers with regard to early SCI diagnosis. In this review, we discuss biomarkers measured in patients undergoing coEVAR. Once validated in future prospective clinical studies, biomarkers of neuronal tissue damage may potentially add to the armamentarium of modalities for early SCI diagnosis and risk stratification. Full article
Show Figures

Figure 1

16 pages, 5351 KB  
Article
Apelin-13 Protects Neurons by Attenuating Early-Stage Postspinal Cord Injury Apoptosis In Vitro
by Taotao Lin, Yujie Zhao, Shengyu Guo, Zhengru Wu, Wenwen Li, Rongcan Wu, Zhenyu Wang and Wenge Liu
Brain Sci. 2022, 12(11), 1515; https://doi.org/10.3390/brainsci12111515 - 8 Nov 2022
Cited by 9 | Viewed by 2808
Abstract
Apelin is a 77-amino-acid peptide that is an endogenous ligand for the G protein-coupled receptor APJ (Apelin receptor, APJ). Apelin-13, as the most bioactive affinity fragment of apelin, plays a role in energy metabolism, myocardial ischemia-reperfusion injury, and the regulation of the inflammatory [...] Read more.
Apelin is a 77-amino-acid peptide that is an endogenous ligand for the G protein-coupled receptor APJ (Apelin receptor, APJ). Apelin-13, as the most bioactive affinity fragment of apelin, plays a role in energy metabolism, myocardial ischemia-reperfusion injury, and the regulation of the inflammatory response during oxidative stress, but its role in spinal cord injury is still unclear. This research identified and verified the differential expression of apelin in rat spinal cord injured tissues and normal spinal cord tissues by transcriptome sequencing in vivo and proved that apelin-13 protects neurons by strengthening autophagy and attenuating early-stage postspinal cord injury apoptosis in vitro. After constructing the model concerning a rat spinal cord hemisection damage, transcriptome sequencing was performed on the injured and normal spinal cord tissues of rats, which identified the differentially expressed gene apelin, with qRT-PCR detecting the representative level of apelin. The oxygen-glucose deprivation (OGD) model of PC12 cells was constructed in vitro to simulate spinal cord injury. The OGD injury times were 2 h, 4 h, 6 h, 8 h, and 12 h, and the non-OGD injury group was used as the control. The expression of apelin at each time point was observed by Western blotting. The expression of apelin was the lowest in the 6 h OGD injury group (p < 0.05). Therefore, the OGD injury time of 6 h was used in subsequent experiments. The noncytotoxic drug concentration of apelin-13 was determined with a Cell Counting Kit-8 (CCK-8) assay. An appropriate dose of apelin-13 (1 μM) significantly improved cell survival (p < 0.05). Thus, subsequent experiments selected a concentration of 1 μM apelin-13 as it significantly increased cell viability. Finally, we divided the experimental groups into four groups according to whether they received drugs (1 μM apelin-13, 24 h) or OGD (6 h): (1) control group: without apelin-13 or OGD injury; (2) apelin-13 group: with apelin-13 but no OGD injury; (3) OGD group: with OGD injury but without apelin-13; and (4) OGD + apelin-13 group: with apelin-13 and OGD injury. The TUNEL assay and flow cytometry results showed that compared with the OGD group, apoptosis in the OGD+Apelin-13 group was significantly reduced (p < 0.001). Determination of cell viability under different conditions by CCK-8 assay results displays that Apelin-13 can significantly improve the cell viability percentage under OGD conditions (p < 0.001). Western blotting results showed that apelin-13 decreased the expression ratios of apoptosis-related proteins Bax/Bcl-2 and cleaved-caspase3/caspase3 (p < 0.05), increasing the key to Beclin1-dependent autophagy pathway expression of the protein Beclin1. This finding indicates that apelin-13 protects neurons by strengthening autophagy and attenuating early-stage postspinal cord injury apoptosis in vitro. Full article
(This article belongs to the Special Issue Cervical Myelopathy: Current Hurdles and Future Perspectives)
Show Figures

Figure 1

13 pages, 2053 KB  
Article
Spinal Stroke: Outcome Attenuation by Erythropoietin and Carbamylated Erythropoietin and Its Prediction by Sphingosine-1-Phosphate Serum Levels in Mice
by Leon-Gordian Koepke, Edzard Schwedhelm, Wiebke Ibing, Alexander Oberhuber, Guenter Daum, Brigitta Vcelar, Hubert Schelzig and Florian Simon
Int. J. Mol. Sci. 2022, 23(17), 9558; https://doi.org/10.3390/ijms23179558 - 23 Aug 2022
Cited by 1 | Viewed by 2666
Abstract
Spinal strokes may be associated with tremendous spinal cord injury. Erythropoietin (EPO) improves the neurological outcome of animals after spinal cord ischemia (SCI) and its effects on ischemia-induced endoplasmic reticulum (ER) stress and the unfolded protein response (UPR) are considered possible molecular mechanisms. [...] Read more.
Spinal strokes may be associated with tremendous spinal cord injury. Erythropoietin (EPO) improves the neurological outcome of animals after spinal cord ischemia (SCI) and its effects on ischemia-induced endoplasmic reticulum (ER) stress and the unfolded protein response (UPR) are considered possible molecular mechanisms. Furthermore, sphingosin-1-phosphate (S1P) is suggested to correlate with SCI. In this study, the effect of recombinant human EPO (rhEPO) and carbamylated EPO (cEPO-Fc) on the outcome of mice after SCI and a prognostic value of S1P were investigated. SCI was induced in 12-month-old male mice by thoracic aortal cross-clamping after administration of rhEPO, cEPO-Fc, or a control. The locomotory behavior of mice was evaluated by the Basso mouse scale and S1P serum levels were measured by liquid chromatography-tandem mass spectrometry. The spinal cord was examined histologically and the expressions of key UPR proteins (ATF6, PERK, and IRE1a, caspase-12) were analyzed utilizing immunohistochemistry and real-time quantitative polymerase chain reaction. RhEPO and cEPO-Fc significantly improved outcomes after SCI. The expression of caspase-12 significantly increased in the control group within the first 24 h of reperfusion. Animals with better locomotory behavior had significantly higher serum levels of S1P. Our data indicate that rhEPO and cEPO-Fc have protective effects on the clinical outcome and neuronal tissue of mice after SCI and that the ER is involved in the molecular mechanisms. Moreover, serum S1P may predict the severity of impairment after SCI. Full article
(This article belongs to the Special Issue Molecular Researches on Ischemic Stroke)
Show Figures

Figure 1

30 pages, 1756 KB  
Review
The Role of miRNAs in Dexmedetomidine’s Neuroprotective Effects against Brain Disorders
by Codrin-Constantin Burlacu, Maria-Adriana Neag, Andrei-Otto Mitre, Alexandru-Constantin Sirbu, Andrei-Vlad Badulescu and Anca-Dana Buzoianu
Int. J. Mol. Sci. 2022, 23(10), 5452; https://doi.org/10.3390/ijms23105452 - 13 May 2022
Cited by 29 | Viewed by 7305
Abstract
There are limited neuroprotective strategies for various central nervous system conditions in which fast and sustained management is essential. Neuroprotection-based therapeutics have become an intensively researched topic in the neuroscience field, with multiple novel promising agents, from natural products to mesenchymal stem cells, [...] Read more.
There are limited neuroprotective strategies for various central nervous system conditions in which fast and sustained management is essential. Neuroprotection-based therapeutics have become an intensively researched topic in the neuroscience field, with multiple novel promising agents, from natural products to mesenchymal stem cells, homing peptides, and nanoparticles-mediated agents, all aiming to significantly provide neuroprotection in experimental and clinical studies. Dexmedetomidine (DEX), an α2 agonist commonly used as an anesthetic adjuvant for sedation and as an opioid-sparing medication, stands out in this context due to its well-established neuroprotective effects. Emerging evidence from preclinical and clinical studies suggested that DEX could be used to protect against cerebral ischemia, traumatic brain injury (TBI), spinal cord injury, neurodegenerative diseases, and postoperative cognitive disorders. MicroRNAs (miRNAs) regulate gene expression at a post-transcriptional level, inhibiting the translation of mRNA into functional proteins. In vivo and in vitro studies deciphered brain-related miRNAs and dysregulated miRNA profiles after several brain disorders, including TBI, ischemic stroke, Alzheimer’s disease, and multiple sclerosis, providing emerging new perspectives in neuroprotective therapy by modulating these miRNAs. Experimental studies revealed that some of the neuroprotective effects of DEX are mediated by various miRNAs, counteracting multiple mechanisms in several disease models, such as lipopolysaccharides induced neuroinflammation, β-amyloid induced dysfunction, brain ischemic-reperfusion injury, and anesthesia-induced neurotoxicity models. This review aims to outline the neuroprotective mechanisms of DEX in brain disorders by modulating miRNAs. We address the neuroprotective effects of DEX by targeting miRNAs in modulating ischemic brain injury, ameliorating the neurotoxicity of anesthetics, reducing postoperative cognitive dysfunction, and improving the effects of neurodegenerative diseases. Full article
(This article belongs to the Special Issue Molecular Mechanisms and Pharmacological Targeting of Neuroprotection)
Show Figures

Figure 1

13 pages, 1780 KB  
Article
S-15176 Difumarate Salt Can Impair Mitochondrial Function through Inhibition of the Respiratory Complex III and Permeabilization of the Inner Mitochondrial Membrane
by Natalia V. Belosludtseva, Vlada S. Starinets, Alena A. Semenova, Anastasia D. Igoshkina, Mikhail V. Dubinin and Konstantin N. Belosludtsev
Biology 2022, 11(3), 380; https://doi.org/10.3390/biology11030380 - 27 Feb 2022
Cited by 5 | Viewed by 3104
Abstract
S-15176 difumarate salt, a derivative of the anti-ischemic metabolic drug trimetazidine, has been intensively studied for its impact on cellular metabolism in animal models of ischemia-reperfusion injury of the liver, heart, spinal cord, and other organs. Despite evidence of some reduction in oxidative [...] Read more.
S-15176 difumarate salt, a derivative of the anti-ischemic metabolic drug trimetazidine, has been intensively studied for its impact on cellular metabolism in animal models of ischemia-reperfusion injury of the liver, heart, spinal cord, and other organs. Despite evidence of some reduction in oxidative damage to cells, the results of therapy with S-15176 have been mostly disappointing, possibly because of the lack of data on its underlying mechanisms. Here, we aimed to investigate in more detail the role of complexes I-IV of the electron transport chain and membrane permeability transition in mitochondrial toxicity associated with S-15176. Using rat thymocyte and liver mitochondria, we demonstrated that: (1) acute exposure to S-15176 (10 to 50 μM) dose-dependently decreased the mitochondrial membrane potential; (2) S-15176 suppressed the ADP-stimulated (State 3) and uncoupled (State 3UDNP) respiration of mitochondria energized with succinate or malate/glutamate, but not ascorbate/TMPD, and increased the resting respiration (State 4) when using all the substrate combinations; (3) S-15176 directly inhibited the activity of the respiratory complex III; (4) low doses of S-15176 diminished the rate of H2O2 production by mitochondria; (5) at concentrations of above 30 μM, S-15176 reduced calcium retention capacity and contributed to mitochondrial membrane permeabilization. Taken together, these findings suggest that S-15176 at tissue concentrations reached in animals can impair mitochondrial function through suppression of the cytochrome bc1 complex and an increase in the nonspecific membrane permeability. Full article
(This article belongs to the Special Issue Mitochondrial Metabolism and Function in Health and Disease)
Show Figures

Figure 1

27 pages, 1172 KB  
Review
Blood-Spinal Cord Barrier: Its Role in Spinal Disorders and Emerging Therapeutic Strategies
by Neha Chopra, Spiro Menounos, Jaesung P. Choi, Philip M. Hansbro, Ashish D. Diwan and Abhirup Das
NeuroSci 2022, 3(1), 1-27; https://doi.org/10.3390/neurosci3010001 - 21 Dec 2021
Cited by 25 | Viewed by 13906
Abstract
The blood-spinal cord barrier (BSCB) has been long thought of as a functional equivalent to the blood-brain barrier (BBB), restricting blood flow into the spinal cord. The spinal cord is supported by various disc tissues that provide agility and has different local immune [...] Read more.
The blood-spinal cord barrier (BSCB) has been long thought of as a functional equivalent to the blood-brain barrier (BBB), restricting blood flow into the spinal cord. The spinal cord is supported by various disc tissues that provide agility and has different local immune responses compared to the brain. Though physiologically, structural components of the BSCB and BBB share many similarities, the clinical landscape significantly differs. Thus, it is crucial to understand the composition of BSCB and also to establish the cause–effect relationship with aberrations and spinal cord dysfunctions. Here, we provide a descriptive analysis of the anatomy, current techniques to assess the impairment of BSCB, associated risk factors and impact of spinal disorders such as spinal cord injury (SCI), amyotrophic lateral sclerosis (ALS), peripheral nerve injury (PNI), ischemia reperfusion injury (IRI), degenerative cervical myelopathy (DCM), multiple sclerosis (MS), spinal cavernous malformations (SCM) and cancer on BSCB dysfunction. Along with diagnostic and mechanistic analyses, we also provide an up-to-date account of available therapeutic options for BSCB repair. We emphasize the need to address BSCB as an individual entity and direct future research towards it. Full article
(This article belongs to the Special Issue Feature Papers in Neurosci 2021)
Show Figures

Figure 1

10 pages, 1230 KB  
Article
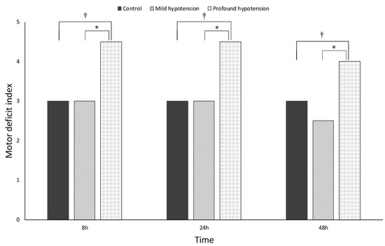
Profound Hypotension before Aortic Clamping Can Exacerbate Spinal Cord Ischemic Injury after Aortic Surgery in Rats
by Chang-Hoon Koo, Jung-Hee Ryu, Jin-Young Hwang, Jin-Hee Kim, Hyun-Jung Shin and Sung-Hee Han
J. Clin. Med. 2020, 9(11), 3395; https://doi.org/10.3390/jcm9113395 - 23 Oct 2020
Cited by 3 | Viewed by 2276
Abstract
Spinal cord ischemia is one of the most serious complications of aortic repair in patients with acute aortic syndrome. However, the effect of hypotension before aortic clamping on spinal cord injury has not been documented. A total of 48 male Sprague-Dawley rats were [...] Read more.
Spinal cord ischemia is one of the most serious complications of aortic repair in patients with acute aortic syndrome. However, the effect of hypotension before aortic clamping on spinal cord injury has not been documented. A total of 48 male Sprague-Dawley rats were randomly divided into four groups: the sham group; control group (mean arterial pressure (MAP) < 90% of baseline value before aortic clamping); mild hypotension group (MAP < 80%); and profound hypotension group (MAP < 60%). Spinal cord ischemia was induced using a balloon-tipped catheter placed in the descending thoracic aorta. Neurological function of the hind limbs was evaluated for seven days after reperfusion and recorded using a motor deficit index (MDI). The spinal cord was then harvested for histopathological examination and evaluation of oxidative stress and inflammation. The profound hypotension group demonstrated a significantly higher MDI 48 h post-reperfusion and lower number of normal motor neurons than the other groups (p < 0.001). The levels of tissue malondialdehyde and tumor necrosis factor-α (TNF-α) were also significantly increased in the profound hypotension group compared with other groups. Profound hypotension before aortic clamping can aggravate neurologic outcomes after aortic surgery by exacerbating neurologic injury and reducing the number of normal motor neurons. Full article
(This article belongs to the Section Clinical Neurology)
Show Figures

Figure 1

17 pages, 2236 KB  
Article
Dynasore Blocks Ferroptosis through Combined Modulation of Iron Uptake and Inhibition of Mitochondrial Respiration
by Laura Prieto Clemente, Malena Rabenau, Stephan Tang, Josefina Stanka, Eileen Cors, Jenny Stroh, Carsten Culmsee and Silvia von Karstedt
Cells 2020, 9(10), 2259; https://doi.org/10.3390/cells9102259 - 9 Oct 2020
Cited by 41 | Viewed by 8962
Abstract
Ferroptosis is a form of regulated necrosis characterized by a chain-reaction of detrimental membrane lipid peroxidation following collapse of glutathione peroxidase 4 (Gpx4) activity. This lipid peroxidation is catalyzed by labile ferric iron. Therefore, iron import mediated via transferrin receptors and both, enzymatic [...] Read more.
Ferroptosis is a form of regulated necrosis characterized by a chain-reaction of detrimental membrane lipid peroxidation following collapse of glutathione peroxidase 4 (Gpx4) activity. This lipid peroxidation is catalyzed by labile ferric iron. Therefore, iron import mediated via transferrin receptors and both, enzymatic and non-enzymatic iron-dependent radical formation are crucial prerequisites for the execution of ferroptosis. Intriguingly, the dynamin inhibitor dynasore, which has been shown to block transferrin receptor endocytosis, can protect from ischemia/reperfusion injury as well as neuronal cell death following spinal cord injury. Yet, it is unknown how dynasore exerts these cell death-protective effects. Using small interfering RNA suppression, lipid reactive oxygen species (ROS), iron tracers and bona fide inducers of ferroptosis, we find that dynasore treatment in lung adenocarcinoma and neuronal cell lines strongly protects these from ferroptosis. Surprisingly, while the dynasore targets dynamin 1 and 2 promote extracellular iron uptake, their silencing was not sufficient to block ferroptosis suggesting that this route of extracellular iron uptake is dispensable for acute induction of ferroptosis and dynasore must have an additional off-target activity mediating full ferroptosis protection. Instead, in intact cells, dynasore inhibited mitochondrial respiration and thereby mitochondrial ROS production which can feed into detrimental lipid peroxidation and ferroptotic cell death in the presence of labile iron. In addition, in cell free systems, dynasore showed radical scavenger properties and acted as a broadly active antioxidant which is superior to N-acetylcysteine (NAC) in blocking ferroptosis. Thus, dynasore can function as a highly active inhibitor of ROS-driven types of cell death via combined modulation of the iron pool and inhibition of general ROS by simultaneously blocking two routes required for ROS and lipid-ROS driven cell death, respectively. These data have important implications for the interpretation of studies observing tissue-protective effects of this dynamin inhibitor as well as raise awareness that off-target ROS scavenging activities of small molecules used to interrogate the ferroptosis pathway should be taken into consideration. Full article
(This article belongs to the Section Cell Signaling)
Show Figures

Figure 1

19 pages, 2107 KB  
Review
The Temporal Pattern, Flux, and Function of Autophagy in Spinal Cord Injury
by Kailiang Zhou, Charles A. Sansur, Huazi Xu and Xiaofeng Jia
Int. J. Mol. Sci. 2017, 18(2), 466; https://doi.org/10.3390/ijms18020466 - 21 Feb 2017
Cited by 61 | Viewed by 12672
Abstract
Previous studies have indicated that autophagy plays a critical role in spinal cord injury (SCI), including traumatic spinal cord injury (TSCI) and ischemia-reperfusion spinal cord injury (IRSCI). However, while the understanding of mechanisms underlying autophagy in SCI has progressed, there remain several controversial [...] Read more.
Previous studies have indicated that autophagy plays a critical role in spinal cord injury (SCI), including traumatic spinal cord injury (TSCI) and ischemia-reperfusion spinal cord injury (IRSCI). However, while the understanding of mechanisms underlying autophagy in SCI has progressed, there remain several controversial points: (1) temporal pattern results of autophagic activation after SCI are not consistent across studies; (2) effect of accumulation of autophagosomes due to the blockade or enhancement of autophagic flux is uncertain; (3) overall effect of enhanced autophagy remains undefined, with both beneficial and detrimental outcomes reported in SCI literature. In this review, the temporal pattern of autophagic activation, autophagic flux, autophagic cell death, relationship between autophagy and apoptosis, and pharmacological intervention of autophagy in TSCI (contusion injury, compression injury and hemisection injury) and IRSCI are discussed. Types of SCI and severity appear to contribute to differences in outcomes regarding temporal pattern, flux, and function of autophagy. With future development of specific strategies on autophagy intervention, autophagy may play an important role in improving functional recovery in patients with SCI. Full article
(This article belongs to the Special Issue Neurological Injuries’ Monitoring, Tracking and Treatment 2016)
Show Figures

Graphical abstract

12 pages, 1992 KB  
Article
Ischemic Preconditioning Protects against Spinal Cord Ischemia-Reperfusion Injury in Rabbits by Attenuating Blood Spinal Cord Barrier Disruption
by Bo Fang, Xiao-Man Li, Xi-Jia Sun, Na-Ren Bao, Xiao-Yan Ren, Huang-Wei Lv and Hong Ma
Int. J. Mol. Sci. 2013, 14(5), 10343-10354; https://doi.org/10.3390/ijms140510343 - 17 May 2013
Cited by 45 | Viewed by 9146
Abstract
Ischemic preconditioning has been reported to protect against spinal cord ischemia-reperfusion (I-R) injury, but the underlying mechanisms are not fully understood. To investigate this, Japanese white rabbits underwent I-R (30 min aortic occlusion followed by reperfusion), ischemic preconditioning (three cycles of 5 min [...] Read more.
Ischemic preconditioning has been reported to protect against spinal cord ischemia-reperfusion (I-R) injury, but the underlying mechanisms are not fully understood. To investigate this, Japanese white rabbits underwent I-R (30 min aortic occlusion followed by reperfusion), ischemic preconditioning (three cycles of 5 min aortic occlusion plus 5 min reperfusion) followed by I-R, or sham surgery. At 4 and 24 h following reperfusion, neurological function was assessed using Tarlov scores, blood spinal cord barrier permeability was measured by Evan’s Blue extravasation, spinal cord edema was evaluated using the wet-dry method, and spinal cord expression of zonula occluden-1 (ZO-1), matrix metalloproteinase-9 (MMP-9), and tumor necrosis factor-α (TNF-α) were measured by Western blot and a real-time polymerase chain reaction. ZO-1 was also assessed using immunofluorescence. Spinal cord I-R injury reduced neurologic scores, and ischemic preconditioning treatment ameliorated this effect. Ischemic preconditioning inhibited I-R-induced increases in blood spinal cord barrier permeability and water content, increased ZO-1 mRNA and protein expression, and reduced MMP-9 and TNF-α mRNA and protein expression. These findings suggest that ischemic preconditioning attenuates the increase in blood spinal cord barrier permeability due to spinal cord I-R injury by preservation of tight junction protein ZO-1 and reducing MMP-9 and TNF-α expression. Full article
(This article belongs to the Special Issue Neuroprotective Strategies 2014)
Show Figures

Back to TopTop