Sign in to use this feature.

Years

Between: -

Subjects

remove_circle_outline
remove_circle_outline
remove_circle_outline
remove_circle_outline
remove_circle_outline
remove_circle_outline
remove_circle_outline

Journals

Article Types

Countries / Regions

Search Results (38)

Search Parameters:
Keywords = speckle-free image

Order results
Result details
Results per page
Select all
Export citation of selected articles as:
13 pages, 1597 KB  
Article
Right Ventricular Functional Improvement After Lung Transplantation and Adjunctive Pulmonary Rehabilitation: An Echocardiographic Analysis
by Meltem Altınsoy, Deniz Çelik, Fadime Bozduman Habip, Pınar Ergün, Hasret Gizem Kurt, Sertan Bulut, Hüsnü Baykal and Yusuf Taha Güllü
J. Clin. Med. 2026, 15(2), 437; https://doi.org/10.3390/jcm15020437 - 6 Jan 2026
Viewed by 152
Abstract
Background: Right ventricular (RV) dysfunction is common in advanced lung disease due to chronic pressure overload and altered pulmonary vascular mechanics. Lung transplantation (LTx) reduces RV afterload, and pulmonary rehabilitation (PR) may further enhance functional recovery. However, the combined effects of LTx and [...] Read more.
Background: Right ventricular (RV) dysfunction is common in advanced lung disease due to chronic pressure overload and altered pulmonary vascular mechanics. Lung transplantation (LTx) reduces RV afterload, and pulmonary rehabilitation (PR) may further enhance functional recovery. However, the combined effects of LTx and structured PR on RV myocardial deformation—particularly using speckle-tracking echocardiography (STE)—remain insufficiently characterized. Methods: This single-arm pre–post study included 20 bilateral lung transplant recipients who completed an 8-week, twice-weekly supervised outpatient PR program. Echocardiographic evaluation—including 2D measurements, M-mode, tissue Doppler imaging (TDI), and STE-derived strain parameters—was performed immediately post-discharge (baseline) and after PR. RV global longitudinal strain (RVGLS) and RV free-wall longitudinal strain (RVFWS) served as primary functional outcomes. Results: Improvements were observed in RV myocardial deformation after PR. RVGLS improved from a median of 15.52% to 16.64% (p = 0.004), and RVFWS increased from 15.82% to 17.10% (p = 0.001). RV mid-cavity diameter decreased significantly (p = 0.042), reflecting favorably altered RV geometry. Conventional parameters—including TAPSE, S′ velocity, RVEDA, and FAC—showed no statistically significant changes. These findings indicate that STE parameters are more sensitive than traditional indices for detecting early RV remodeling in the post-transplant period. Conclusions: Lung transplantation combined with a structured PR program was associated with early improvements in RV deformation indices measurable by STE, even when traditional echocardiographic indices remained within normal limits. STE may therefore serve as a sensitive tool for monitoring subclinical RV recovery after LTx and for assessing the additive benefits of PR. Full article
(This article belongs to the Section Respiratory Medicine)
Show Figures

Figure 1

31 pages, 3576 KB  
Article
UltraScanNet: A Mamba-Inspired Hybrid Backbone for Breast Ultrasound Classification
by Alexandra-Gabriela Laicu-Hausberger and Călin-Adrian Popa
Electronics 2025, 14(18), 3633; https://doi.org/10.3390/electronics14183633 - 13 Sep 2025
Cited by 1 | Viewed by 930
Abstract
Breast ultrasound imaging functions as a vital radiation-free detection tool for breast cancer, yet its low contrast, speckle noise, and interclass variability make automated interpretation difficult. In this paper, we introduce UltraScanNet as a specific deep learning backbone that addresses breast ultrasound classification [...] Read more.
Breast ultrasound imaging functions as a vital radiation-free detection tool for breast cancer, yet its low contrast, speckle noise, and interclass variability make automated interpretation difficult. In this paper, we introduce UltraScanNet as a specific deep learning backbone that addresses breast ultrasound classification needs. The proposed architecture combines a convolutional stem with learnable 2D positional embeddings, followed by a hybrid stage that unites MobileViT blocks with spatial gating and convolutional residuals and two progressively global stages that use a depth-aware composition of three components: (1) UltraScanUnit (a state-space module with selective scan gated convolutional residuals and low-rank projections), (2) ConvAttnMixers for spatial channel mixing, and (3) multi-head self-attention blocks for global reasoning. This research includes a detailed ablation study to evaluate the individual impact of each architectural component. The results demonstrate that UltraScanNet reaches 91.67% top-1 accuracy, a precision score of 0.9072, a recall score of 0.9174, and an F1-score of 0.9096 on the BUSI dataset, which make it a very competitive option among multiple state-of-the-art models, including ViT-Small (91.67%), MaxViT-Tiny (91.67%), MambaVision (91.02%), Swin-Tiny (90.38%), ConvNeXt-Tiny (89.74%), and ResNet-50 (85.90%). On top of this, the paper provides an extensive global and per-class analysis of the performance of these models, offering a comprehensive benchmark for future work. The code will be publicly available. Full article
(This article belongs to the Special Issue Artificial Intelligence and Big Data Processing in Healthcare)
Show Figures

Graphical abstract

12 pages, 893 KB  
Article
Unmasking Subclinical Right Ventricular Dysfunction in Type 2 Diabetes Mellitus: A Speckle-Tracking Echocardiographic Study
by Laura-Cătălina Benchea, Larisa Anghel, Nicoleta Dubei, Răzvan-Liviu Zanfirescu, Gavril-Silviu Bîrgoan, Radu Andy Sascău and Cristian Stătescu
Medicina 2025, 61(9), 1516; https://doi.org/10.3390/medicina61091516 - 23 Aug 2025
Viewed by 816
Abstract
Background and Objectives: Type 2 diabetes (T2DM) substantially increases cardiovascular risk; beyond the well-recognized left-ventricular involvement in diabetic cardiomyopathy, emerging data indicate subclinical right-ventricular (RV) dysfunction may also be present. This study aimed to evaluate whether speckle-tracking echocardiography identifies subclinical right-ventricular systolic [...] Read more.
Background and Objectives: Type 2 diabetes (T2DM) substantially increases cardiovascular risk; beyond the well-recognized left-ventricular involvement in diabetic cardiomyopathy, emerging data indicate subclinical right-ventricular (RV) dysfunction may also be present. This study aimed to evaluate whether speckle-tracking echocardiography identifies subclinical right-ventricular systolic dysfunction in type 2 diabetes, despite normal conventional indices and preserved global systolic function. Materials and Methods: We conducted a cross-sectional, single-center study in accordance with STROBE recommendations, enrolling 77 participants, 36 adults with T2DM, and 41 non-diabetic controls, between December 2024 and July 2025. All participants underwent comprehensive transthoracic echocardiography, including conventional parameters (tricuspid annular plane systolic excursion (TAPSE), tricuspid annular systolic velocity (TV S’), right ventricular fractional area change (RVFAC)) and deformation imaging (right ventricular global longitudinal strain (RV GLS), right ventricular free wall longitudinal strain (RVFWS)) using speckle-tracking echocardiography. Biochemical and clinical data, including glycosylated hemoglobin (HbA1c), were recorded. Correlation and ROC curve analyses were performed to explore associations and predictive value. Results: The mean age was comparable between the two groups (62.08 ± 9.54 years vs. 60.22 ± 13.39 years; p = 0.480). While conventional RV parameters did not differ significantly between groups, diabetic patients had significantly lower RV GLS (−13.86 ± 6.07% vs. −18.59 ± 2.27%, p < 0.001) and RVFWS (−15.64 ± 4.30% vs. −19.03 ± 3.53%, p < 0.001). HbA1c levels correlated positively with RV strain impairment (RVFWS r = 0.41, p < 0.001). Both RV GLS and RVFWS were independent predictors of RV dysfunction in logistic regression analysis. ROC analysis showed good diagnostic performance for RV GLS, AUC = 0.84 with an optimal cut-off −17.2% (sensitivity 86.1% and specificity 80.5%) and RVFWS, AUC = 0.76 with cut-off −17.6% (sensitivity 77.8; specificity 80.5%) in identifying early myocardial involvement. Conclusions: RV systolic dysfunction may occur early in T2DM, even when traditional echocardiographic indices remain within normal limits. Speckle-tracking echocardiography, particularly RV GLS and RVFWS, offers sensitive detection of subclinical myocardial impairment, reinforcing its value in early cardiovascular risk stratification among diabetic patients. Full article
(This article belongs to the Special Issue Cardiovascular Diseases and Type 2 Diabetes: 2nd Edition)
Show Figures

Figure 1

20 pages, 7088 KB  
Article
SAR Images Despeckling Using Subaperture Decomposition and Non-Local Low-Rank Tensor Approximation
by Xinwei An, Hongcheng Zeng, Zhaohong Li, Wei Yang, Wei Xiong, Yamin Wang and Yanfang Liu
Remote Sens. 2025, 17(15), 2716; https://doi.org/10.3390/rs17152716 - 6 Aug 2025
Cited by 2 | Viewed by 1466
Abstract
Synthetic aperture radar (SAR) images suffer from speckle noise due to their imaging mechanism, which deteriorates image interpretability and hinders subsequent tasks like target detection and recognition. Traditional denoising methods fall short of the demands for high-quality SAR image processing, and deep learning [...] Read more.
Synthetic aperture radar (SAR) images suffer from speckle noise due to their imaging mechanism, which deteriorates image interpretability and hinders subsequent tasks like target detection and recognition. Traditional denoising methods fall short of the demands for high-quality SAR image processing, and deep learning approaches trained on synthetic datasets exhibit poor generalization because noise-free real SAR images are unattainable. To solve this problem and improve the quality of SAR images, a speckle noise suppression method based on subaperture decomposition and non-local low-rank tensor approximation is proposed. Subaperture decomposition yields azimuth-frame subimages with high global structural similarity, which are modeled as low-rank and formed into a 3D tensor. The tensor is decomposed to derive a low-dimensional orthogonal basis and low-rank representation, followed by non-local denoising and iterative regularization in the low-rank subspace for data reconstruction. Experiments on simulated and real SAR images demonstrate that the proposed method outperforms state-of-the-art techniques in speckle suppression, significantly improving SAR image quality. Full article
Show Figures

Figure 1

15 pages, 2242 KB  
Review
Early Echocardiographic Markers in Heart Failure with Preserved Ejection Fraction
by Annamaria Tavernese, Vincenzo Rizza, Valeria Cammalleri, Rocco Mollace, Cristina Carresi, Giorgio Antonelli, Nino Cocco, Luca D’Antonio, Martina Gelfusa, Francesco Piccirillo, Annunziata Nusca and Gian Paolo Ussia
J. Cardiovasc. Dev. Dis. 2025, 12(6), 229; https://doi.org/10.3390/jcdd12060229 - 16 Jun 2025
Cited by 2 | Viewed by 2133
Abstract
Heart failure with preserved ejection fraction (HFpEF) represents nearly half of all heart failure cases and remains diagnostically challenging due to its heterogeneous pathophysiology and often subtle myocardial dysfunction. Conventional echocardiographic parameters, such as left ventricular ejection fraction (LVEF) and the left atrial [...] Read more.
Heart failure with preserved ejection fraction (HFpEF) represents nearly half of all heart failure cases and remains diagnostically challenging due to its heterogeneous pathophysiology and often subtle myocardial dysfunction. Conventional echocardiographic parameters, such as left ventricular ejection fraction (LVEF) and the left atrial volume index (LAVI), frequently fail to detect early functional changes. Advanced echocardiographic techniques have emerged as valuable tools for early diagnosis and risk stratification. Global Longitudinal Strain (GLS) allows for the identification of subclinical systolic dysfunction, even with preserved LVEF. Left Atrial Strain (LAS), particularly reservoir and pump strain, provides sensitive markers of diastolic function and elevated filling pressures, offering additional diagnostic and prognostic insights. Myocardial Work (MW), through non-invasive pressure–strain loops, enables load-independent assessment of contractility, while Right Ventricular Free Wall Longitudinal Strain (RVFWLS) captures early right heart involvement, often present in advanced HFpEF. The integration of these advanced parameters can enhance diagnostic precision and guide personalized treatment strategies. This review highlights the current evidence and clinical applications of strain-based imaging in HFpEF, underscoring the importance of a multiparametric, pathophysiology-oriented approach in heart failure evaluation. Full article
(This article belongs to the Special Issue Role of Cardiovascular Imaging in Heart Failure)
Show Figures

Figure 1

11 pages, 742 KB  
Article
Incidence and Predictors of Right Ventricular Reverse Remodeling in Patients with Transthyretin Amyloid Cardiomyopathy Treated with Tafamidis
by Nicoleta Nita, Dominik Felbel, Michael Paukovitsch, Felix von Sanden, Elene Walter, Rima Melnic, Wolfgang Rottbauer, Dominik Buckert and Johannes Mörike
Biomedicines 2025, 13(5), 1211; https://doi.org/10.3390/biomedicines13051211 - 16 May 2025
Cited by 1 | Viewed by 891
Abstract
Background/Objectives: In patients with transthyretin amyloid cardiomyopathy (ATTR-CM), the effect of tafamidis on right ventricular (RV) dysfunction has been poorly investigated. The purpose of this study was to evaluate the effect of tafamidis on RV free wall global longitudinal strain (RV FW-GLS) [...] Read more.
Background/Objectives: In patients with transthyretin amyloid cardiomyopathy (ATTR-CM), the effect of tafamidis on right ventricular (RV) dysfunction has been poorly investigated. The purpose of this study was to evaluate the effect of tafamidis on RV free wall global longitudinal strain (RV FW-GLS) and right ventricular and pulmonary artery (RV-PA) coupling over 12 months of treatment. Methods: Ninety-three patients with ATTR-CM treated with 61 mg of tafamidis daily who underwent multimodality imaging evaluation at baseline by cardiovascular magnetic resonance (CMR) and speckle-tracking echocardiography were retrospectively studied. The 12-month follow-up included an echocardiographic assessment of RV FW-GLS and RV-PA coupling. RV reverse remodeling was defined as a >10% improvement in RV FW-GLS and/or in RV-PA coupling from baseline. RV-PA coupling was assessed using the tricuspid annular plane systolic excursion/ pulmonary artery systolic pressure (TAPSE/PASP) ratio. Results: Over 12 months of tafamidis treatment, RV reverse remodeling was documented in 22.6% of patients. In these patients, RV FW-GLS improved significantly from 14.5 ± 2.1% to 17.3 ± 2%, p < 0.001, whereas the TAPSE/PASP ratio improved from 0.42 ± 0.05 mm/mmHg to 0.54 ± 0.07 mm/mmHg, p = 0.001. Patients who experienced RV reverse remodeling were at an earlier stage of disease prior to tafamidis treatment with less dilated RV and less severe RV-PA uncoupling (TAPSE/PASP ratio: 0.43 ± 0.06 mm/mmHg vs. 0.39 ± 0.06 mm/mmHg, p = 0.040). CMR-derived baseline RV end-systolic volume (HR 0.83, 95% CI 0.73–0.94, p = 0.005) and NT-proBNP (HR 0.989, 95% CI 0.988–0.999, p = 0.024) were the strongest independent predictors of RV reverse remodeling, followed by PASP (HR 0.82, 95% CI 0.69–0.98, p = 0.030). Conclusions: Patients with ATTR-CM treated with tafamidis at an earlier stage of the disease experienced RV reverse remodeling with significant improvement in RV FW-GLS and RV-PA coupling. Full article
(This article belongs to the Special Issue Advanced Research in Hypertrophic Cardiomyopathy)
Show Figures

Figure 1

14 pages, 5344 KB  
Article
Evaluating Right Ventricular Function Using Longitudinal Displacement
by Marina Leitman and Vladimir Tyomkin
Medicina 2025, 61(3), 446; https://doi.org/10.3390/medicina61030446 - 3 Mar 2025
Cited by 1 | Viewed by 1482
Abstract
Background and Objectives: The right ventricle has a complex, asymmetrical shape, making accurate imaging and functional assessment by echocardiography challenging. Various methods have been proposed for evaluating right ventricular function, each one with its limitations. This study introduces a new method for assessing [...] Read more.
Background and Objectives: The right ventricle has a complex, asymmetrical shape, making accurate imaging and functional assessment by echocardiography challenging. Various methods have been proposed for evaluating right ventricular function, each one with its limitations. This study introduces a new method for assessing global and regional right ventricular function using longitudinal displacement. Materials and Methods: We studied 21 healthy young individuals who underwent echocardiographic examinations at our hospital for screening purposes. Speckle-tracking echocardiography was used to analyze their echocardiographic images and measure the longitudinal displacement of the right ventricle. Results: Our findings show that longitudinal displacement is highest in the basal segments and lowest in the apical segments of the right ventricle, demonstrating a “reversed basal-to-apical gradient”. Longitudinal strain, on the other hand, was found to be highest at the apex and lowest at the base. We observed a strong correlation between longitudinal displacement and tricuspid annulus plane excursion (TAPSE), with an agreement of 89.47%. Longitudinal displacement over the right ventricle free wall was significantly higher than that over the septum. There was a good agreement between the manual and automatic measurements of right ventricular strain. Conclusions: Longitudinal displacement of the right ventricle can be reliably measured using speckle-tracking—echocardiography. This original measurement provides a “true” assessment of displacement at each right ventricular segment without postprocessing. Unlike TAPSE, which measures tricuspid annular motion, longitudinal segmental displacement offers comprehensive data on all segments at each level and can serve as an additional tool for assessing right ventricular function. The manual assessment of right ventricular strain provides a practical option in appropriate clinical settings. Full article
(This article belongs to the Section Cardiology)
Show Figures

Figure 1

14 pages, 1913 KB  
Article
Prognostic Value of Strain by Speckle Tracking Echocardiography in Patients with Arrhythmogenic Right Ventricular Cardiomyopathy
by Areej Aljehani, Kyaw Zaw Win, Shanat Baig, Manish Kalla, Bode Ensam, Larissa Fabritz and Richard P. Steeds
J. Cardiovasc. Dev. Dis. 2024, 11(12), 388; https://doi.org/10.3390/jcdd11120388 - 3 Dec 2024
Cited by 2 | Viewed by 1803
Abstract
Background Arrhythmogenic right ventricular cardiomyopathy (ARVC) is a rare genetic disorder associated with an elevated risk of life-threatening arrhythmias and progressive ventricular impairment. Risk stratification is essential to prevent major adverse cardiac events (MACE). Our study aimed to investigate the incremental value of [...] Read more.
Background Arrhythmogenic right ventricular cardiomyopathy (ARVC) is a rare genetic disorder associated with an elevated risk of life-threatening arrhythmias and progressive ventricular impairment. Risk stratification is essential to prevent major adverse cardiac events (MACE). Our study aimed to investigate the incremental value of strain measured by two-dimensional speckle-tracking echocardiography in predicting MACE in ARVC patients compared to conventional echocardiographic parameters. Methods and Results This was a retrospective, single-centre cohort study of 83 patients with ARVC (51% males, median age 37 years (IQR: 23, 53)) under the care of the Inherited Cardiac Conditions clinic at University Hospital Birmingham. MACE was defined as one of the following: sustained ventricular tachycardia (Sus VT), ventricular fibrillation (VF), appropriate implantable cardio-defibrillator (ICD) therapy [shock/anti-tachycardia pacing (ATP)], heart failure (defined as decompensated heart failure, cardiac index by heart catheter, HF medication, and symptoms), cardiac transplantation, or cardiac death. Echocardiography images were analysed by a single observer for right ventricle (RV) and left ventricular (LV) global longitudinal strain (GLS). Multivariable Cox regression was performed in combination with RV fractional area change and tricuspid annular plane systolic excursion. During three years of follow-up, 12% of patients suffered a MACE. ARVC patients with MACE had significantly reduced RV GLS (−13 ± 6% vs. −23 ± 6%, p < 0.001) and RV free wall longitudinal strain (−15 ± 5% vs. −25 ± 7%, p < 0.001) compared to those without MACE. Conclusions Right ventricular free wall longitudinal strain (RVFWLS) may be a more sensitive predictor of MACE than conventional echocardiographic parameters of RV function. Moreover, RV-free wall longitudinal strain may have superior predictive value compared to RV GLS. Full article
(This article belongs to the Special Issue Ventricular Arrhythmias: Epidemiology, Diagnosis and Treatment)
Show Figures

Figure 1

24 pages, 11011 KB  
Article
Assessment of the Film-Free Water Decal Method for Speckle Pattern Application in Digital Image Correlation
by Anna Camille Sanchez and Dong-Keon Kim
Sensors 2024, 24(17), 5657; https://doi.org/10.3390/s24175657 - 30 Aug 2024
Cited by 5 | Viewed by 2762
Abstract
Digital Image Correlation (DIC) often encounters challenges with variability and consistency in traditional speckle pattern application techniques, such as spray-painting, affecting measurement accuracy and reliability. This study evaluates a film-free water decal method as an alternative for applying speckle patterns in DIC. SS275 [...] Read more.
Digital Image Correlation (DIC) often encounters challenges with variability and consistency in traditional speckle pattern application techniques, such as spray-painting, affecting measurement accuracy and reliability. This study evaluates a film-free water decal method as an alternative for applying speckle patterns in DIC. SS275 structural steel specimens were prepared with speckle patterns using both the film-free water decal method and traditional spray-painting. The quality of the speckle patterns was assessed, and their effectiveness for DIC was evaluated through tensile testing and a comparison with strain gauge measurements. The film-free water decal method provided enhanced control over speckle pattern application, resulting in high-quality, consistent patterns. Strain measurements obtained using this method closely matched those from traditional methods, confirming its reliability. The film-free water decal method offers a practical and reliable alternative to spray-painting, improving the consistency and accuracy of DIC experiments, with potential applications in various engineering and scientific fields. Full article
(This article belongs to the Special Issue Digital Image Processing and Sensing Technologies—Second Edition)
Show Figures

Figure 1

19 pages, 1077 KB  
Review
Multimodality Imaging for Right Ventricular Function Assessment in Severe Tricuspid Regurgitation
by Francesco Melillo, Dario Fabiani, Alessandro Santoro, Pietro Oro, Francesca Frecentese, Luigi Salemme, Tullio Tesorio, Eustachio Agricola, Michele De Bonis and Roberto Lorusso
J. Clin. Med. 2024, 13(17), 5076; https://doi.org/10.3390/jcm13175076 - 27 Aug 2024
Cited by 3 | Viewed by 2774
Abstract
Severe tricuspid regurgitation (TR) is a pathological condition associated with worse cardiovascular outcomes. In the vicious cycle of right ventricular compensation and maladaptation to TR, the development of right ventricle (RV) dysfunction has significant prognostic implications, especially in patients undergoing surgical or percutaneous [...] Read more.
Severe tricuspid regurgitation (TR) is a pathological condition associated with worse cardiovascular outcomes. In the vicious cycle of right ventricular compensation and maladaptation to TR, the development of right ventricle (RV) dysfunction has significant prognostic implications, especially in patients undergoing surgical or percutaneous treatments. Indeed, RV dysfunction is associated with increased operative morbidity and mortality in both surgical and percutaneously treated patients. In this context, the identification of clinical or subtle right ventricle dysfunction plays a critical role inpatient selection and timing of surgical or percutaneous tricuspid valve intervention. However, in the presence of severe TR, evaluation of RV function is challenging, given the increase in preload that may lead to an overestimation of systolic function for the Frank–Starling law, reduced reliability of pulmonary artery pressure estimation, the sensitivity of RV to afterload that may result in afterload mismatch after treatment. Consequently, conventional echocardiographic indices have some limitations, and the use of speckle tracking for right ventricular free wall longitudinal strain (RV-FWLS) analysis and the use of 3D echocardiography for RV volumes and ejection fraction estimation are showing promising data. Cardiac magnetic resonance (CMR) represents the gold standards for volumes and ejection fraction evaluation and may add further prognostic information. Finally, cardiac computer tomography (CCT) provides measurements of RV and annulus dimensions that are particularly useful in the transcatheter field. Identification of subtle RV dysfunction may need, therefore, more than one imaging technique, which will lead to tip the balance between medical therapy and early intervention towards the latter before disease progression. Therefore, the aim of this review is to describe the main imaging techniques, providing a comprehensive assessment of their role in RV function evaluation in the presence of severe TR. Full article
(This article belongs to the Special Issue Heart Valve Disease and Imaging Techniques)
Show Figures

Figure 1

12 pages, 2502 KB  
Review
The Role of Speckle Tracking Echocardiography in the Evaluation of Advanced-Heart-Failure Patients
by Luca Martini, Matteo Lisi, Maria Concetta Pastore, Francesca Maria Righini, Andrea Rubboli, Michael Y. Henein and Matteo Cameli
J. Clin. Med. 2024, 13(14), 4037; https://doi.org/10.3390/jcm13144037 - 10 Jul 2024
Cited by 7 | Viewed by 4439
Abstract
Health care is currently showing a fall in heart failure (HF) incidence and prevalence, particularly in developed countries, but with only a subset receiving appropriate therapy to protect the heart against maladaptive processes such as fibrosis and hypertrophy. Appropriate markers of advanced HF [...] Read more.
Health care is currently showing a fall in heart failure (HF) incidence and prevalence, particularly in developed countries, but with only a subset receiving appropriate therapy to protect the heart against maladaptive processes such as fibrosis and hypertrophy. Appropriate markers of advanced HF remain unidentified, which would help in choosing the most suitable therapy and avoid major compliance problems. Speckle tracking echocardiography (STE) is a good choice, being a non-invasive imaging technique which is able to assess cardiac deformation in a variety of conditions. Several multicenter studies and meta-analyses have demonstrated the clinical application and accuracy of STE in early and late stages of HF, as well as its association with both left ventricular (LV) filling pressures and myocardial oxygen consumption. Furthermore, STE assists in assessing right ventricular free-wall longitudinal strain (RVFWLS), which is a solid predictor of right ventricle failure (RVF) following LV assist device (LVAD) implantation. However, STE is known for its limitations; despite these, it has been shown to explain symptoms and signs and also to be an accurate prognosticator. The aim of this review is to examine the advantages of STE in the early evaluation of myocardial dysfunction and its correlation with right heart catheterization (RHC) parameters, which should have significant clinical relevance in the management of HF patients. Full article
(This article belongs to the Section Cardiovascular Medicine)
Show Figures

Figure 1

15 pages, 2075 KB  
Article
Incremental Value of Biventricular Strain in Patients with Severe Aortic Stenosis
by Camille Sarrazyn, Xavier Galloo, Maria Chiara Meucci, Steele C. Butcher, Kensuke Hirsawa, Rinchyenkhand Myagmardorj, Frank van der Kley, Tine De Backer, Jeroen J. Bax and Nina Ajmone Marsan
J. Cardiovasc. Dev. Dis. 2024, 11(3), 90; https://doi.org/10.3390/jcdd11030090 - 13 Mar 2024
Cited by 1 | Viewed by 2190
Abstract
(1) Background: Left ventricular global longitudinal (LVGLS) and right ventricular free wall strain (RVFWS) demonstrated separate prognostic values in patients with severe aortic stenosis (AS). However, studies evaluating the combined assessment of LVGLS and RVFWS have shown contradictory results. This study explored the [...] Read more.
(1) Background: Left ventricular global longitudinal (LVGLS) and right ventricular free wall strain (RVFWS) demonstrated separate prognostic values in patients with severe aortic stenosis (AS). However, studies evaluating the combined assessment of LVGLS and RVFWS have shown contradictory results. This study explored the prognostic value of combining LVGLS and RVFWS in a large group of severe AS patients referred for transcatheter aortic valve implantation. (2) Methods: Patients were classified into three groups: preserved (LVGLS ≥ 15% AND RVFWS > 20%), single-ventricle impaired (LVGLS < 15% OR RVFWS ≤ 20%), or biventricular-impaired strain group (LVGLS < 15% AND RVFWS ≤ 20%). The cut-off values were based on previously published data and spline analyses. The endpoint was all-cause mortality. (3) Results: Of the 712 patients included (age 80 ± 7 years, 53% men), 248 (35%) died. The single-ventricle impaired and biventricular-impaired (vs. preserved) strain groups showed significantly lower 5-year survival rates (68% and 55% vs. 77%, respectively, p < 0.001). Through multivariable analysis, single-ventricle impaired (HR 1.762; 95% CI: 1.114–2.788; p = 0.015) and biventricular-impaired strain groups (HR 1.920; 95% CI: 1.134–3.250; p = 0.015) were independently associated with all-cause mortality. These findings were confirmed with a sensitivity analysis in patients with preserved LV ejection fraction. (4) Conclusions: In patients with severe AS, biventricular strain allows better risk stratification, even if LV ejection fraction is preserved. Full article
(This article belongs to the Special Issue Feature Papers in Imaging)
Show Figures

Figure 1

11 pages, 2020 KB  
Article
Right Ventricle Strain Assessed by 2-Dimensional Speckle Tracking Echocardiography (2D-STE) to Evaluate Pulmonary Hypertension in Dogs with Dirofilaria immitis
by Jorge Isidoro Matos, Sara Nieves García-Rodríguez, Noelia Costa-Rodríguez, Alicia Caro-Vadillo, Elena Carretón and José Alberto Montoya-Alonso
Animals 2024, 14(1), 26; https://doi.org/10.3390/ani14010026 - 20 Dec 2023
Cited by 1 | Viewed by 2158
Abstract
Echocardiographic assessment of the right ventricle is helpful for analysing the pathophysiology of heartworm disease and detecting pulmonary hypertension (PH) in dogs. In veterinary cardiology, the study of myocardial deformation using two-dimensional speckle tracking (2D-STE) echocardiography has become increasingly acknowledged as useful for [...] Read more.
Echocardiographic assessment of the right ventricle is helpful for analysing the pathophysiology of heartworm disease and detecting pulmonary hypertension (PH) in dogs. In veterinary cardiology, the study of myocardial deformation using two-dimensional speckle tracking (2D-STE) echocardiography has become increasingly acknowledged as useful for quantifying right ventricular function. The aim of this study was to evaluate the usefulness of myocardial deformation strain of the right ventricular free wall (FWS), global deformation strain of the right ventricle, including the interventricular septum (GS), and tissue motion annular displacement of the tricuspid valve (TMAD) in a cohort of dogs with heartworm (Dirofilaria immitis) disease and to determine cut-off values for detecting the presence of PH. Out of the 93 dogs tested, 71% were diagnosed with heartworm infection. PH was identified in 41% of the infected dogs following the American College of Veterinary Internal Medicine (ACVIM) guidelines, based on the peak tricuspid regurgitation velocity to calculate the tricuspid regurgitation pressure gradient (TRPG), while other routine measurements were used, including the right pulmonary artery distensibility index (RPADi). The 2D-STE mode measurements were determined using Right Ventricular Automated Function Imaging (RV AFI®) software. The statistical analysis showed significant differences in the studied parameters among dogs with and without PH. Additionally, sensitivity (sen) and specificity (sp) cut-off values were obtained (GS ≥ −21.25%, sen 96%, sp 86.4%; FWS ≥ −21.95%, sen 92.56%, sp 95.5%; TMAD ≤ 0.85 cm, sen 70.4%, sp 83.3%). These results demonstrated that GS, FWS, and TMAD could be used as supplementary and alternative variables to conventional echocardiographic measurements when detecting PH in dogs with heartworm disease. Full article
(This article belongs to the Section Veterinary Clinical Studies)
Show Figures

Figure 1

13 pages, 1300 KB  
Communication
Light Scattering through a Drying Coating
by Riccardo Antonelli and Thomas E. Kodger
Coatings 2023, 13(11), 1873; https://doi.org/10.3390/coatings13111873 - 31 Oct 2023
Cited by 3 | Viewed by 1596
Abstract
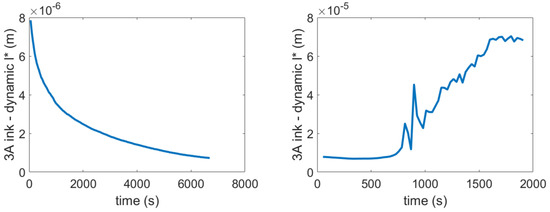
Drying coatings undergo internal dynamic densification and rearrangement, which are challenging to discern with optical techniques due to their multiple scatterings of light. Experiments such as diffusing wave spectroscopy (DWS) and laser speckle imaging (LSI) leverage these multiple scatterings to reveal the in [...] Read more.
Drying coatings undergo internal dynamic densification and rearrangement, which are challenging to discern with optical techniques due to their multiple scatterings of light. Experiments such as diffusing wave spectroscopy (DWS) and laser speckle imaging (LSI) leverage these multiple scatterings to reveal the in situ dynamics of the coating. In such experiments, the knowledge of the sample volume that can be accessed and therefore studied is fundamental, especially in cases of micrometer-scale coating thicknesses. In this paper, we present a robust and reliable method using transmission geometry to calculate the parameter l*, defined as the transport light mean-free path, which is strongly related to the volume of the sample that light explores in DWS and LSI experiments. We show how this dynamic parameter can be measured for liquid and solid film samples and, crucially, in the case of time-evolving samples, such as drying coatings of paint or ink, which has not been previously explored. We present a series of model ink samples and discuss the evolution of their densification during drying through quantification of dynamic l*. Full article
Show Figures

Figure 1

15 pages, 2531 KB  
Article
Semantic Segmentation with High-Resolution Sentinel-1 SAR Data
by Hakan Erten, Erkan Bostanci, Koray Acici, Mehmet Serdar Guzel, Tunc Asuroglu and Ayhan Aydin
Appl. Sci. 2023, 13(10), 6025; https://doi.org/10.3390/app13106025 - 14 May 2023
Cited by 4 | Viewed by 6017
Abstract
The world’s high-resolution images are supplied by a radar system named Synthetic Aperture Radar (SAR). Semantic SAR image segmentation proposes a computer-based solution to make segmentation tasks easier. When conducting scientific research, accessing freely available datasets and images with low noise levels is [...] Read more.
The world’s high-resolution images are supplied by a radar system named Synthetic Aperture Radar (SAR). Semantic SAR image segmentation proposes a computer-based solution to make segmentation tasks easier. When conducting scientific research, accessing freely available datasets and images with low noise levels is rare. However, SAR images can be accessed for free. We propose a novel process for labeling Sentinel-1 SAR radar images, which the European Space Agency (ESA) provides free of charge. This process involves denoising the images and using an automatically created dataset with pioneering deep neural networks to augment the results of the semantic segmentation task. In order to exhibit the power of our denoising process, we match the results of our newly created dataset with speckled noise and noise-free versions. Thus, we attained a mean intersection over union (mIoU) of 70.60% and overall pixel accuracy (PA) of 92.23 with the HRNet model. These deep learning segmentation methods were also assessed with the McNemar test. Our experiments on the newly created Sentinel-1 dataset establish that combining our pipeline with deep neural networks results in recognizable improvements in challenging semantic segmentation accuracy and mIoU values. Full article
(This article belongs to the Special Issue Intelligent Computing and Remote Sensing)
Show Figures

Figure 1

Back to TopTop