Sign in to use this feature.

Years

Between: -

Subjects

remove_circle_outline
remove_circle_outline
remove_circle_outline
remove_circle_outline
remove_circle_outline
remove_circle_outline
remove_circle_outline
remove_circle_outline
remove_circle_outline

Journals

Article Types

Countries / Regions

Search Results (72)

Search Parameters:
Keywords = spawn aging

Order results
Result details
Results per page
Select all
Export citation of selected articles as:
16 pages, 2520 KB  
Article
Spatial and Sex-Specific Growth Variations of Migratory Coilia nasus in the Middle and Lower Yangtze, China
by Hongyi Guo, Xuguang Zhang, Wenqiao Tang and Kai Liu
Biology 2025, 14(9), 1211; https://doi.org/10.3390/biology14091211 - 7 Sep 2025
Viewed by 1240
Abstract
The Japanese grenadier anchovy (Coilia nasus), an economically vital anadromous species in the Yangtze River, has experienced severe population decline, prompting a 10-year fishing moratorium. Comprehensive data on its population structure and spatial growth variations during this critical recovery period, however, [...] Read more.
The Japanese grenadier anchovy (Coilia nasus), an economically vital anadromous species in the Yangtze River, has experienced severe population decline, prompting a 10-year fishing moratorium. Comprehensive data on its population structure and spatial growth variations during this critical recovery period, however, remain scarce. This study addresses this gap by analyzing 1119 individuals sampled from four sites along the species’ migratory corridor during the 2024 spawning season. We assessed key life-history traits to quantify spatial and sex-specific dynamics. We found significant sexual dimorphism, with females attaining greater size and age than males. The population was highly structured spatially: larger individuals were captured farther upstream, and initially female-biased sex ratios became more balanced inland. Growth modeling revealed that females had higher asymptotic lengths (L) but lower growth coefficients (k). Furthermore, macroscopic assessment of gonadal maturity identified contrasting reproductive schedules between sexes along the migratory route. These results demonstrate clear sex-specific life-history strategies and a strong spatial segregation by size and reproductive state. This study provides crucial baseline data from the moratorium period, underscoring the necessity of spatially explicit management—particularly the protection of upstream spawning habitats for larger, more fecund individuals—to aid the recovery of this endangered species. Full article
(This article belongs to the Special Issue Progress in Wildlife Conservation, Management and Biological Research)
Show Figures

Figure 1

43 pages, 7260 KB  
Article
A Solution Method for Non-Linear Underdetermined Equation Systems in Grounding Grid Corrosion Diagnosis Based on an Enhanced Hippopotamus Optimization Algorithm
by Jinhe Chen, Jianyu Qi, Yiyang Ao, Keying Wang and Xin Song
Biomimetics 2025, 10(7), 467; https://doi.org/10.3390/biomimetics10070467 - 16 Jul 2025
Viewed by 777
Abstract
As power grids scale and aging assets edge toward obsolescence, grounding grid corrosion has become a critical vulnerability. Conventional diagnosis must fit high-dimensional electrical data to a physical model, typically yielding a nonlinear under-determined system fraught with computational burden and uncertainty. We propose [...] Read more.
As power grids scale and aging assets edge toward obsolescence, grounding grid corrosion has become a critical vulnerability. Conventional diagnosis must fit high-dimensional electrical data to a physical model, typically yielding a nonlinear under-determined system fraught with computational burden and uncertainty. We propose the Enhanced Biomimetic Hippopotamus Optimization (EBOHO) algorithm, which distills the river-dwelling hippo’s ecological wisdom into three synergistic strategies: a beta-function herd seeding that replicates the genetic diversity of juvenile hippos diffusing through wetlands, an elite–mean cooperative foraging rule that echoes the way dominant bulls steer the herd toward nutrient-rich pastures, and a lens imaging opposition maneuver inspired by moonlit water reflections that spawn mirror candidates to avert premature convergence. Benchmarks on the CEC 2017 suite and four classical design problems show EBOHO’s superior global search, robustness, and convergence speed over numerous state-of-the-art meta-heuristics, including prior hippo variants. An industrial case study on grounding grid corrosion further confirms that EBOHO swiftly resolves the under-determined equations and pinpoints corrosion sites with high precision, underscoring its promise as a nature-inspired diagnostic engine for aging power system infrastructure. Full article
Show Figures

Figure 1

15 pages, 5817 KB  
Article
Age-Based Demography of Two Parrotfish and a Goatfish from Saipan, Northern Mariana Islands
by Cassandra Pardee, John Wiley and Brett M. Taylor
Fishes 2025, 10(7), 303; https://doi.org/10.3390/fishes10070303 - 24 Jun 2025
Cited by 1 | Viewed by 370
Abstract
The age-based life history of two commercially important parrotfishes (Labridae: tribe Scarinae) and one goatfish (Mullidae) were characterized based on the commercial nearshore fishery in Saipan, Commonwealth of the Northern Mariana Islands. Age, growth, reproduction, and mortality were derived from fishery-dependent samples using [...] Read more.
The age-based life history of two commercially important parrotfishes (Labridae: tribe Scarinae) and one goatfish (Mullidae) were characterized based on the commercial nearshore fishery in Saipan, Commonwealth of the Northern Mariana Islands. Age, growth, reproduction, and mortality were derived from fishery-dependent samples using sagittal otoliths and gonads for the stareye parrotfish Calotomus carolinus, pacific bullethead parrotfish Chlorurus spilurus, and yellowfin goatfish Mulloidichthys vanicolensis. All three species had short lifespans of 10 years or less, with a maximum age of 4 years for C. carolinus, 10 years for C. spilurus, and 7 years for M. vanicolensis. All three species had a fast initial growth to terminal body sizes, early maturation, and spawned throughout the year. The age-based demographic information presented here can be used to inform future stock assessments, fisheries management, and population models. Full article
(This article belongs to the Section Biology and Ecology)
Show Figures

Figure 1

24 pages, 20331 KB  
Article
Population Dynamics of the Widespread Alien Decapod Species, Brown Shrimp (Penaeus aztecus), in the Mediterranean Sea
by Mehmet Cengiz Deval and Tomris Deniz
Animals 2025, 15(4), 561; https://doi.org/10.3390/ani15040561 - 14 Feb 2025
Viewed by 900
Abstract
This study investigated the population dynamics, growth, reproduction, and parasitism of Penaeus aztecus over a 27-month period in Antalya Bay (Eastern Mediterranean). P. aztecus was the most abundant shrimp species, comprising 53.4% of the collected shrimp specimens. Abundance varied seasonally, with peak densities [...] Read more.
This study investigated the population dynamics, growth, reproduction, and parasitism of Penaeus aztecus over a 27-month period in Antalya Bay (Eastern Mediterranean). P. aztecus was the most abundant shrimp species, comprising 53.4% of the collected shrimp specimens. Abundance varied seasonally, with peak densities in summer. Males had a smaller mean carapace length (CL) of 25.8 mm compared to females at 30.2 mm. Females dominated larger size classes, with all individuals ≥ 46 mm CL being female. The sex ratio was balanced at 1:1, with no seasonal variations. Spawning occurred year-round, peaking in June, late summer, and November. Females displayed four ovarian stages, with the first mature size (FMS) at 36 mm CL. Parasitism by Epipenaeon ingens reduced the density of mature females, with 42% of potential spawners failing to develop gonads. The prevalence of parasitism showed seasonal variation and was inversely correlated with sea surface temperature (SST). Marine recruitment occurred from June to November, with a peak between July and September. Growth analysis revealed faster rates in females, while males reached a smaller maximum size. This study also identified inefficiencies in gear selectivity, with many juvenile shrimp (below recruitment size) being retained. Trawl efficiency improved with the use of turtle excluder devices (TEDs), which reduced bycatch of nontarget species, such as loggerhead turtles and cartilaginous fishes. The instantaneous total mortality rate (Z) ranged from 0.658 to 0.026 month⁻1 for male shrimp and from 1.00 to 0.014 month⁻1 for female shrimp, with survival sharply declining after recruitment, leaving only about 3.6% of individuals surviving beyond 10 months. Full article
(This article belongs to the Section Ecology and Conservation)
Show Figures

Figure 1

18 pages, 2200 KB  
Article
Comparative Transcriptomic Analysis Reveals New Insights into Spawn Aging in Agaricus bisporus: Mitochondrial Dysfunction
by Lili Shu, Zhiheng Zeng, Meiyuan Chen, Jiazhi Zhao, Xiaoyan Zhang, Jianqing Dai, Zhixin Cai, Yuanping Lu, Zhiheng Qiu and Hui Zeng
Int. J. Mol. Sci. 2025, 26(2), 849; https://doi.org/10.3390/ijms26020849 - 20 Jan 2025
Cited by 1 | Viewed by 1182
Abstract
Spawn aging poses a substantial challenge to the Agaricus bisporus industry. This study focuses on the role of mitochondrial dysfunction in the aging process of A. bisporus spawn. We conducted a comprehensive comparative transcriptome analysis to elucidate the molecular mechanisms underlying A. bisporus [...] Read more.
Spawn aging poses a substantial challenge to the Agaricus bisporus industry. This study focuses on the role of mitochondrial dysfunction in the aging process of A. bisporus spawn. We conducted a comprehensive comparative transcriptome analysis to elucidate the molecular mechanisms underlying A. bisporus spawn aging. A total of 1620 genes with significant expression changes between the normal and aged spawn were identified, including 917 up-regulated genes and 703 down-regulated genes. Our results revealed a notable down-regulation of genes involved in carbohydrate metabolism, mitochondrial energy metabolism, reactive oxygen species (ROS) scavenging, repair mechanisms for oxidative stress-induced damage, fatty acid β-oxidation, and amino acid degradation in aged A. bisporus spawn. Additionally, we observed a decreased expression of genes involved in critical signal transduction pathways associated with mitochondrial function in aged mycelium as well as genes responsible for maintaining mitochondrial stability. The up-regulated genes in aged spawn mainly affect mitochondrial fission and programmed cell death, impacting mitochondrial function. Overall, the present study first provides evidence for the pivotal role of mitochondrial dysfunction in the aging process of A. bisporus spawn and contributes to the development of targeted strategies to enhance mitochondrial function, mitigate spawn aging, and improve the yield and quality of A. bisporus cultivation. Full article
(This article belongs to the Special Issue Transcriptional Regulation in Plant Development: 2nd Edition)
Show Figures

Figure 1

12 pages, 4874 KB  
Article
Report on Intersex and Abnormal Mature Aquacultured Walleye Pollock, Gadus chalcogrammus
by Hae-Kyun Yoo, Soo-Ji Woo, Ki-Wook Lee, Min-Soo Joo, Kyeong-Duck Kim, Jung-Jun Park and So-Sun Kim
Fishes 2025, 10(1), 35; https://doi.org/10.3390/fishes10010035 - 18 Jan 2025
Viewed by 961
Abstract
Walleye pollock (Gadus chalcogrammus) is a commercially important species widely distributed in cold-water regions. We have been culturing this species artificially since 2015. The average embryo diameter was 1.43 ± 0.056 mm, and hatching occurred at 5 °C approximately 339 h [...] Read more.
Walleye pollock (Gadus chalcogrammus) is a commercially important species widely distributed in cold-water regions. We have been culturing this species artificially since 2015. The average embryo diameter was 1.43 ± 0.056 mm, and hatching occurred at 5 °C approximately 339 h post-fertilization. Gonadal development became visibly apparent at a body size of 10–15 cm after ~180 days, initially distinguishing ovaries with the development of germ cells, whereas testes were observable after further maturation. We discovered two intersexes from F1 and F2 generations, and one abnormal mature individual from F2. Morphologically, intersex walleye pollock exhibited distinct characteristics of ovary and testes, with male gonads visibly connected to the end of ovaries. In intersex walleye pollock aged 3–6 years, the gonads developed normally, and oocyte resorption was restricted to the area near the connections between testicular and ovarian tissues, with numerous atretic oocytes observed in the resorption zone. Primordial germ cells were found together in individuals who had not undergone spawning, indicating an abnormal maturation pattern. Although no significant differences in the gonadosomatic index were observed between intersex and normal individuals, further research on intersexuality is necessary to understand the reproductive development of this species and the health of offspring spawned by intersex individuals, which are rare. Full article
Show Figures

Figure 1

19 pages, 5919 KB  
Article
The Tasmanian Estuary Perch Population—A Threatened Species?
by Jonah L. Yick, Bryan Van Wyk and James Haddy
Fishes 2025, 10(1), 31; https://doi.org/10.3390/fishes10010031 - 15 Jan 2025
Viewed by 1216
Abstract
Estuary perch (Percalates colonorum) are a long-lived and slow-growing species which are distributed throughout southeastern Australian estuaries. In Tasmania, only one known population remains which is located in the Arthur River, on the remote northwest coast. Tasmania is the only Australian [...] Read more.
Estuary perch (Percalates colonorum) are a long-lived and slow-growing species which are distributed throughout southeastern Australian estuaries. In Tasmania, only one known population remains which is located in the Arthur River, on the remote northwest coast. Tasmania is the only Australian state to list estuary perch as a wholly protected species (recreational and commercial), while other populations across their mainland distribution appear to be robust. A survey undertaken on estuary perch in the Arthur River in 2014–2015 indicated that the population was small (825–2375 fish) and dominated by three age classes between 12 and 14 years old. This population also has extremely low genetic diversity and is genetically distinct to mainland populations due to its geographic isolation. During a re-survey in December 2023, 378 estuary perch were captured, with 191 tagged and released, and 31 fish retained for age and gonad analysis. Although three strong age classes were detected (five, eight and twenty-three years), numerous weak and missing cohorts were apparent. This study also confirms this population has a delayed spawning season in comparison to mainland populations, with growth models and tag recaptures (32 fish) demonstrating a very slow but sexually dimorphic growth rate. By combining the datasets of the 2014/15 and 2023 survey, we present an updated understanding of the biology and population dynamics of this unique Tasmanian population, which has previously never been published. The results confirm the population is still reproductively active and stable; however, due to their restricted distribution, variable recruitment, slow growth, and small population, further conservation efforts are still required. Further legislative listings at both the state and federal levels are possible, which if progressed could provide additional protection and assist in applications for external funding and resources. This will support the development of a recovery plan which will consider re-stocking efforts and re-establishment of previously inhabited waters and investigate potential actions to improve the genetics of the Tasmanian population. Additionally, educational campaigns to inform the public and recreational fishers on the status of estuary perch in Tasmania will be undertaken. Full article
Show Figures

Figure 1

16 pages, 2874 KB  
Article
Transcriptomic Insights into Post-Spawning Death and Muscle Atrophy in Ayu (Plecoglossus altivelis)
by Jiancheng Liang, Minoru Fujisawa, Shogo Toma, Shuichi Asakawa, Kazutoshi Yoshitake, Yoji Igarashi, Shunsuke Saito, Takashi Akutsu, Kyuma Suzuki and Shigeharu Kinoshita
Int. J. Mol. Sci. 2025, 26(2), 434; https://doi.org/10.3390/ijms26020434 - 7 Jan 2025
Viewed by 1712
Abstract
In semelparous species like the ayu (Plecoglossus altivelis), spawning is followed by rapid physiological decline and death; yet, the underlying molecular mechanisms remain largely unexplored. This study examines transcriptomic changes in ayu skeletal muscle before and after spawning, with a focus [...] Read more.
In semelparous species like the ayu (Plecoglossus altivelis), spawning is followed by rapid physiological decline and death; yet, the underlying molecular mechanisms remain largely unexplored. This study examines transcriptomic changes in ayu skeletal muscle before and after spawning, with a focus on key genes and pathways contributing to muscle atrophy and metabolic dysfunction. Through RNA sequencing and DEG analysis, we identified over 3000 DEGs, and GSEA and KEGG pathway analysis revealed significant downregulation of energy metabolism and protein degradation. In post-spawning ayu, a rapid decrease in body weight was observed, accompanied by a decline in the expression of myosin heavy chain genes, which are major muscle protein genes, and gene expression changes indicative of muscle atrophy. Decreased expression of AP-1 transcription factors associated with muscle development and aging was also evident. PPI network analysis identified carbohydrate catabolism protein gapdh may be the key factor that led to muscle atrophy and accelerated aging in ayu. Our study revealed that after spawning, the ayu muscle tissue undergoes strong metabolic disorders and cellular stress responses, providing special insights into the mechanisms through the post-spawning death of ayu. Full article
Show Figures

Figure 1

33 pages, 14381 KB  
Article
Reduced Numbers of Returning Atlantic Salmon (Salmo salar) and Thiamine Deficiency Are Both Associated with the Consumption of High-Lipid Prey Fish
by Marja Keinänen, Jari Raitaniemi, Jukka Pönni, Tiina Ritvanen, Timo Myllylä and Pekka J. Vuorinen
Fishes 2025, 10(1), 16; https://doi.org/10.3390/fishes10010016 - 31 Dec 2024
Viewed by 1924
Abstract
In 2023, exceptionally few salmon (Salmo salar) ascended from the Baltic Sea to spawn in the Rivers Tornionjoki and Simojoki, regardless of the proper number of smolts descending to the sea in preceding years. We investigated how the numbers of age-0 [...] Read more.
In 2023, exceptionally few salmon (Salmo salar) ascended from the Baltic Sea to spawn in the Rivers Tornionjoki and Simojoki, regardless of the proper number of smolts descending to the sea in preceding years. We investigated how the numbers of age-0 and young herring (Clupea harengus) and sprat (Sprattus sprattus), which are the principal prey species of salmon in the Baltic Proper, the main feeding area of these salmon, as well as the amount of lipid obtained from them and their protein-to-lipid ratio, correlated with the number of returning salmon and the thiamine (vitamin B1) status of spawning salmon. The fewer the 0-year-old herring were and the more abundant were the youngish sprat in the Baltic Proper when the post-smolts arrived there, and the greater the lipid content and lower the protein-to-lipid ratio of the prey fish, the fewer salmon returned to the Rivers Tornionjoki and Simojoki to spawn two years later. The number of returning salmon was lowest with a high ratio of youngish sprat, 1–3 years old, regarding the River Tornionjoki and 1–2 years old regarding the River Simojoki post-smolts, to 0-year-old herring, which were of a suitable size to be the prey for the post-smolts upon their arrival in the Baltic Proper. In 2021, the ratios were lowest due to the record-low number of 0-year-old herring. The poor thiamine status of spawning salmon was also associated with the high lipid content of available prey fish and with the abundance of youngish sprat, which have twice the lipid content of age-0 herring. Our findings parallel the observations in the early 1990s when post-smolt survival declined concurrently with the outbreak of thiamine deficiency, M74. We conclude that consuming high-lipid marine fish reduces the survival of post-smolts and, thus, the number of returning salmon, in addition to causing thiamine deficiency. Full article
Show Figures

Graphical abstract

25 pages, 6604 KB  
Article
Age- and Size- Based Reproductive Potential of Gray Snapper (Lutjanus griseus) in the Eastern Gulf of Mexico
by Ashley Wechsler, Debra J. Murie and Eric Bovee
Fishes 2024, 9(12), 513; https://doi.org/10.3390/fishes9120513 - 15 Dec 2024
Cited by 1 | Viewed by 1305
Abstract
Relatively little is known about size- and age-based reproductive characteristics of Gray Snapper (Lutjanus griseus) despite a large recreational fishery along the west coast of Florida in the Southeastern U.S.A. The purpose of this study was therefore to determine the spawning [...] Read more.
Relatively little is known about size- and age-based reproductive characteristics of Gray Snapper (Lutjanus griseus) despite a large recreational fishery along the west coast of Florida in the Southeastern U.S.A. The purpose of this study was therefore to determine the spawning parameters of Gray Snapper and to quantify female reproductive potential on an age- and size-basis. From 2022 to 2023, 4563 Gray Snapper were collected off the west coast of Florida. Gray Snapper were observed to be actively spawning from late May to early September; however, the percent of females spawning in May and September were both <3%. Batch fecundity for 12 hydrated females showed a hyperallometric relationship with size and age. The spawning fraction also increased disproportionately with female length and age, suggesting older, larger females spawn in greater proportions and more often than younger, smaller females. For females, the length and age at 50% physiological maturity was 292 mm total length (TL) and 2.9 years, and those at 50% functional maturity was 301 mm TL and 3.2 years. Male Gray Snapper reached 50% sexual maturity at 259 mm TL and 1.8 years. The minimum size limit of 10 inches (254 mm) TL in Florida state waters appears to be too low to protect maturing females in particular. These new spawning metrics should be incorporated into future stock assessments to improve estimates of Gray Snapper reproductive output, stock status, and management. Full article
Show Figures

Figure 1

14 pages, 2762 KB  
Article
Biological Aspects of Sphyraena sphyraena (L., 1758) in the Central Mediterranean (E. Ionian Sea)
by Vasiliki Nikiforidou, Aikaterini Anastasopoulou, Vasileios Xenikakis and Chryssi Mytilineou
Hydrobiology 2024, 3(4), 364-377; https://doi.org/10.3390/hydrobiology3040023 - 2 Dec 2024
Viewed by 1349
Abstract
S. sphyraena is a widely distributed species with low commercial value and no sufficient scientific knowledge of its biology. In the present study, the age, growth, weight–length relationship, otolith morphometry, and reproduction of the species were investigated in the Eastern Ionian Sea for [...] Read more.
S. sphyraena is a widely distributed species with low commercial value and no sufficient scientific knowledge of its biology. In the present study, the age, growth, weight–length relationship, otolith morphometry, and reproduction of the species were investigated in the Eastern Ionian Sea for the first time. The von Bertalanffy growth function parameters were L = 63.65 cm, k = 0.14 year−1 and t0 = −2.01 years and Φ′ = 2.75. The negative allometric growth in weight was found. Slope b of the weight–length relationship was 2.634. For the otolith moprhometry, the variables radius, length, width, area, perimeter, roundness, circularity, form factor, rectangularity, and ellipticity were examined, which showed that the otolith shape is elongated with an elliptical and rectangular form. Six otolith variables (radius, length, width, area, perimeter, and ellipticity) showed a significant relationship with size. The sex ratio (females/males) was 1:0.74 (no statistically significant difference from 1:1), and the spawning season extended from April to June with peak values of GSI in May for females and April for males. The results of this work improve our knowledge of the species life cycle and provide basic information for species stock identification and fisheries management. Full article
Show Figures

Figure 1

20 pages, 5114 KB  
Article
Genetic Parameter Estimates for Growth of Hāpuku (Groper, Polyprion oxygeneios) in Land-Based Aquaculture Using Random Regression Models
by Mark D. Camara, Jane E. Symonds, Seumas P. Walker, Dave McQueen, Yann Gublin, Glen Irvine, Steve M. Pether, Andrew Forsythe and Alvin N. Setiawan
Fishes 2024, 9(10), 376; https://doi.org/10.3390/fishes9100376 - 25 Sep 2024
Cited by 1 | Viewed by 1066
Abstract
Hāpuku (Polyprion oxygeneios) is a promising candidate for aquaculture production in New Zealand. Methods for spawning, juvenile production, and growout to harvest entirely on land, where water quality, pathogens, environmental impacts, and genetic “pollution” can be tightly controlled, have been developed, [...] Read more.
Hāpuku (Polyprion oxygeneios) is a promising candidate for aquaculture production in New Zealand. Methods for spawning, juvenile production, and growout to harvest entirely on land, where water quality, pathogens, environmental impacts, and genetic “pollution” can be tightly controlled, have been developed, and genetic improvement to optimise land-based production is the obvious next step. However, estimates of genetic parameters are required to design a rigorous, disciplined, and effective selective breeding program. By using existing data consisting of irregularly spaced repeated measurements of fork length and live body weight collected on wild-collected founders and two generations of captively reared progeny, we evaluated the species’ genetic potential for improvement in growth. We first tested a range of univariate random regression models to identify the best-fitting models for these data. Subsequently, using a bivariate model, we estimated variance components for growth trajectories of fork length and whole body weight. With one to six records available per fish, the best-fitting univariate models included only a fixed effect for contemporary groups and fixed and random genetic third-order Legendre polynomials. More complex models that included full-sib family and/or permanent environmental effects produced unacceptable constrained and/or non-positive-definite solutions. Both traits are moderately heritable at all stages of the growout phase (~0.4–0.5), and the genetic correlation patterns between daily breeding values estimated via the covariance function are different for length and weight. Genetic correlations for length between all pairs of age-specific breeding values are positive and strong (>0.7) and change gradually and smoothly with increasing temporal separation. For weight, these correlations deteriorate more rapidly with increasing time lags between measurements and become negative for some age pairings. We conclude that random regression analyses are a valuable tool for extracting genetic information from irregularly spaced repeated measurements of fish size, speculate that emerging technologies for high-throughput genotyping and phenotyping will add to the value of this approach in the near future, and reason that a breeding strategy that rigorously takes into account the potentially unfavourable genetic correlations between breeding values for weight at some ages will further adapt hāpuku to land-based systems and enhance the profitability commercial-scale production. Full article
(This article belongs to the Special Issue Genetic Breeding and Developmental Biology of Aquaculture Animals)
Show Figures

Figure 1

22 pages, 49469 KB  
Article
First Evidence of Reproductive Strategies in Cephalopods Preserved in Phosphate and Siderite Nodules from the Devonian of Uruguay
by Graciela Piñeiro, Magela Rodao and Pablo Núñez Demarco
Foss. Stud. 2024, 2(3), 223-244; https://doi.org/10.3390/fossils2030011 - 13 Sep 2024
Cited by 1 | Viewed by 4334
Abstract
Uruguayan ammonoids are preserved in phosphate and siderite nodules found at the basalmost tillite-like conglomerates of the San Gregorio Formation. This lithostratigraphic unit was deposited under glacial conditions and its age (as well as that of the nodules) has been highly debated because [...] Read more.
Uruguayan ammonoids are preserved in phosphate and siderite nodules found at the basalmost tillite-like conglomerates of the San Gregorio Formation. This lithostratigraphic unit was deposited under glacial conditions and its age (as well as that of the nodules) has been highly debated because glaciations were intermittent in Gondwana during the Late Paleozoic. Reef-builder organisms (e.g., Rugosa and Tabulata), goniatite and orthoceratid cephalopods, brachiopods, sponges, actinopterygians and other indeterminate gnatostomes, as well as fragmentary stems and roots of cf. Lycopsida are the most frequent fossils in the nodules. According to new biostratigraphic and paleoclimatic evidence, these taxa are representative of a reefal environment of a preliminary Devonian age including species that are common in the underlying Early Devonian (Emsian) Durazno Group. Among the ammonoid remains, more than 40 clusters of hatchling goniatites were found in the nodules. Each cluster contains a variable number of shells similar in shape to some of the adults also preserved within the nodules, representing a single species preserved at the same developmental stage (3 mm on size average). The strongly packed shells are enveloped by a substance with a different chemical composition and microstructure with respect to that of the nodule matrix, possibly indicating the presence of a gelatinous-like substance reminiscent of that secreted by the females of some extant cuttlefish and octopuses at the time of the egg spawn. Differing from previously described ammonoid accumulations, our clusters are unique in containing individuals of just a single species preserved in the same ontogenetic stage. That allows us to suggest that they represent a mode of reproduction in which hatchlings were morphologically similar to their parents and occupied the same habitat. Our results are thus one of the oldest known records of reproductive strategies in Paleozoic ammonoids and the phosphate and siderite nodules from the San Gregorio Formation are here classified as a new Konservat-Lagerstätte, which is the oldest known for South America. Full article
Show Figures

Figure 1

12 pages, 1287 KB  
Article
Assessing Movements between Freshwater and Saltwater by Brown Trout (Salmo trutta L.) Based on Otolith Microchemistry
by Magdalena Andersson, Bror Jonsson, Olle Calles and Larry Greenberg
Animals 2024, 14(14), 2116; https://doi.org/10.3390/ani14142116 - 20 Jul 2024
Cited by 2 | Viewed by 1164
Abstract
By analyzing otolith microchemistry, we examined the use of freshwater and marine environments by brown trout Salmo trutta L. that spawn in the Swedish River Emån and migrate to the Baltic Sea. We estimated the time juveniles spent in freshwater and the number [...] Read more.
By analyzing otolith microchemistry, we examined the use of freshwater and marine environments by brown trout Salmo trutta L. that spawn in the Swedish River Emån and migrate to the Baltic Sea. We estimated the time juveniles spent in freshwater and the number of times the fish returned to freshwater, presumably to spawn. Twenty-six percent of the fish migrated to sea by 1 year of age. However, 13% spent less than one year in the river. Most brown trout (48%) migrated to the sea between 1 and 2 years of age. On average, brown trout, which averaged 4.4 years in age (range 3–6 years), returned to freshwater 2.3 times, and there was an inverse relationship between time spent in freshwater after hatching and the number of visits to freshwater. Our results do not support the classical life history pattern, where brown trout spend one or more years in freshwater before migrating to the sea. Here, we found evidence that part of the population leaves freshwater during their first year. While the cause for precocial migration in the River Emån is not known, our results from this permanently flowing river do not support the idea proposed for other Baltic Sea populations, where the risk of drought has been suggested to be the cause. Full article
(This article belongs to the Section Aquatic Animals)
Show Figures

Figure 1

19 pages, 4687 KB  
Article
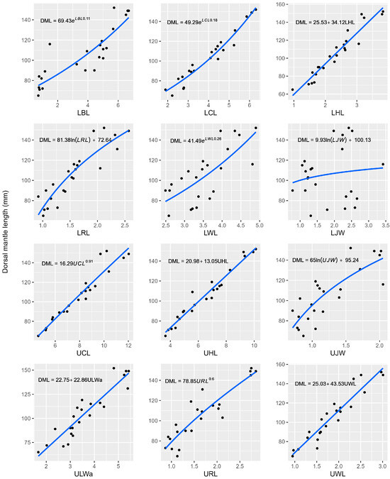
Ommastrephes caroli (Cephalopoda: Ommastrephidae) from the Adriatic Sea: Morphometry, Age, and Genetic Characterization
by Mirela Petrić, Marija Dadić, Damir Roje, David Udovičić, Rino Stanić and Željka Trumbić
J. Mar. Sci. Eng. 2024, 12(7), 1182; https://doi.org/10.3390/jmse12071182 - 14 Jul 2024
Cited by 1 | Viewed by 1570
Abstract
This study gives the first data on the body and beak morphometric characteristics, age, and genetic structure of neon flying squid, a rarely caught cephalopod in the Adriatic Sea. We identified specimens as recently resurrected Ommastrephes caroli species using two mitochondrial markers, 16S ribosomal [...] Read more.
This study gives the first data on the body and beak morphometric characteristics, age, and genetic structure of neon flying squid, a rarely caught cephalopod in the Adriatic Sea. We identified specimens as recently resurrected Ommastrephes caroli species using two mitochondrial markers, 16S ribosomal RNA gene and cytochrome c oxidase subunit I gene. Overall, 23 juveniles (3 females, 3 males, and 17 unsexed), with a dorsal mantle range of 65–152 mm, were caught in September 2020 in the waters of the Korčula Channel, island of Palagruža, and island of Jabuka, thus providing the most abundant sample of this species in the Mediterranean waters. The length–weight relationship showed an isometric growth. The results of the beak/length regressions suggest hood length is a useful characteristic for biomass estimation studies, as it showed a good linear fit to the dorsal mantle length. Statolith growth increments were easily visible and statolith microstructure analysis was successfully used to determine the age of 22 individuals. The estimated age ranged from 36 to 64 days (mean = 48 days). The back-calculation analysis showed that the squid hatched during July and August 2020, indicating that O. caroli spawns during the warmer, summertime period. Considering the size and age of the caught individuals, the Adriatic Sea could represent a potential feeding ground for this species. The genetic structure analyses indicate the existence of separate Atlantic and Mediterranean/Adriatic subclusters; however, this warrants further investigation. Full article
(This article belongs to the Section Marine Biology)
Show Figures

Figure 1

Back to TopTop