Sign in to use this feature.

Years

Between: -

Subjects

remove_circle_outline
remove_circle_outline
remove_circle_outline
remove_circle_outline
remove_circle_outline
remove_circle_outline

Journals

Article Types

Countries / Regions

Search Results (14)

Search Parameters:
Keywords = solid radioisotope targets

Order results
Result details
Results per page
Select all
Export citation of selected articles as:
13 pages, 8520 KB  
Article
Synthesis and Characterization of Nanostructured Thorium Carbide for Radioactive Ion Beam Production
by Edgar Reis, Pedro Amador Celdran, Olaf Walter, Rachel Eloirdi, Laura Lambert, Thierry Stora, Simon Stegemann, Doru C. Lupascu and Sebastian Rothe
Nanomaterials 2026, 16(2), 127; https://doi.org/10.3390/nano16020127 - 18 Jan 2026
Abstract
Thorium carbide (ThC2±x) nano-structured thin disc-like pellets were produced from thoria nanoparticles (ThO2-NP) and multi-walled carbon nanotubes (MWCNT). These composites are to be studied as a target material candidate for radioactive ion beam (RIB) production via nuclear [...] Read more.
Thorium carbide (ThC2±x) nano-structured thin disc-like pellets were produced from thoria nanoparticles (ThO2-NP) and multi-walled carbon nanotubes (MWCNT). These composites are to be studied as a target material candidate for radioactive ion beam (RIB) production via nuclear reactions upon impact with high-energy proton beams on a stack of solid pellets. The ThO2-NP precursor was produced via precipitation of thorium oxalate from a thorium nitrate solution with oxalic acid and subsequent hydrothermal oxidation of the oxalate, creating the thoria nanoparticles. The ThO2-NP were then mixed with MWCNT in isopropyl alcohol and sonicated by two different methods to create a nanoparticle dispersion. This dispersion was then heated under medium vacuum to evaporate the solvent; the resulting powder was pressed into pellets and taken to an inert-atmosphere oven, where it was heated to 1650 C and carbothermally reduced to ThC2±x. The resulting pellets were characterized via XRD, SEM-EDS, and Raman spectroscopy. The resulting thorium pellets exhibited, at most, trace levels of the oxide precursor. Furthermore, the nanotube structures were still present in the final product and are expected to contribute positively towards faster radioisotope release times by lowering isotope diffusion times, which is required for the efficient extraction of the shortest-lived (<1 s half-life) radioisotopes. Full article
(This article belongs to the Section Synthesis, Interfaces and Nanostructures)
17 pages, 2829 KB  
Article
Apparatus and Experiments Towards Fully Automated Medical Isotope Production Using an Ion Beam Accelerator
by Abdulaziz Yahya M. Hussain, Aliaksandr Baidak, Ananya Choudhury, Andy Smith, Carl Andrews, Eliza Wojcik, Liam Brown, Matthew Nancekievill, Samir De Moraes Shubeita, Tim A. D. Smith, Volkan Yasakci and Frederick Currell
Instruments 2025, 9(3), 18; https://doi.org/10.3390/instruments9030018 - 18 Jul 2025
Viewed by 1294
Abstract
Zirconium-89 (89Zr) is a widely used radionuclide in immune-PET imaging due to its physical decay characteristics. Despite its importance, the production of 89Zr radiopharmaceuticals remains largely manual, with limited cost-effective automation solutions available. To address this, we developed an automated [...] Read more.
Zirconium-89 (89Zr) is a widely used radionuclide in immune-PET imaging due to its physical decay characteristics. Despite its importance, the production of 89Zr radiopharmaceuticals remains largely manual, with limited cost-effective automation solutions available. To address this, we developed an automated system for the agile and reliable production of radiopharmaceuticals. The system performs transmutations, dissolution, and separation for a range of radioisotopes. Steps in the production of 89Zr-oxalate are used as an exemplar to illustrate its use. Three-dimensional (3D) printing was exploited to design and manufacture a target holder able to include solid targets, in this case an 89Y foil. Spot welding was used to attach 89Y to a refractory tantalum (Ta) substrate. A commercially available CPU chiller was repurposed to efficiently cool the metal target. Furthermore, a commercial resin (ZR Resin) and compact peristaltic pumps were employed in a compact (10 × 10 × 10 cm3) chemical separation unit that operates automatically via computer-controlled software. Additionally, a standalone 3D-printed unit was designed with three automated functionalities: photolabelling, vortex mixing, and controlled heating. All components of the assembly, except for the target holder, are housed inside a commercially available hot cell, ensuring safe and efficient operation in a controlled environment. This paper details the design, construction, and modelling of the entire assembly, emphasising its innovative integration and operational efficiency for widespread radiopharmaceutical automation. Full article
Show Figures

Figure 1

18 pages, 2142 KB  
Article
Towards DFO*12—Preliminary Results of a New Chelator for the Complexation of Actinium-225
by Irene V. J. Feiner, Dennis Svatunek, Martin Pressler, Tori Demuth, Xabier Guarrochena, Johannes H. Sterba, Susanne Dorudi, Clemens Pichler, Christoph Denk and Thomas L. Mindt
Pharmaceutics 2025, 17(3), 320; https://doi.org/10.3390/pharmaceutics17030320 - 1 Mar 2025
Viewed by 2446
Abstract
Background: Actinium-225 (225Ac) has gained interest in nuclear medicine for use in targeted alpha therapy (TAT) for the treatment of cancer. However, the number of suitable chelators for the stable complexation of 225Ac3+ is limited. The promising physical [...] Read more.
Background: Actinium-225 (225Ac) has gained interest in nuclear medicine for use in targeted alpha therapy (TAT) for the treatment of cancer. However, the number of suitable chelators for the stable complexation of 225Ac3+ is limited. The promising physical properties of 225Ac result in an increased demand for the radioisotope that is not matched by its current supply. To expand the possibilities for the development of 225Ac-based TAT therapeutics, a new hydroxamate-based chelator, DFO*12, is described. We report the DFT-guided design of dodecadentate DFO*12 and an efficient and convenient automated solid-phase synthesis for its preparation. To address the limited availability of 225Ac, a small-scale 229Th/225Ac generator was constructed in-house to provide [225Ac]AcCl3 for research. Methods: DFT calculations were performed in ORCA 5.0.1 using the BP86 functional with empirical dispersion correction D3 and Becke–Johnson damping (D3BJ). The monomer synthesis over three steps enabled the solid-phase synthesis of DFO*12. The small-scale 229Th/225Ac generator was realized by extracting 229Th from aged 233U material. Radiolabeling of DFO*12 with 225Ac was performed in 1 M TRIS pH 8.5 or 1.5 M NaOAc pH 4.5 for 30 min at 37 °C. Results: DFT calculations directed the design of a dodecadentate chelator. The automated synthesis of the chelator DFO*12 and the development of a small-scale 229Th/225Ac generator allowed for the radiolabeling of DFO*12 with 225Ac quantitatively at 37 °C within 30 min. The complex [225Ac]Ac-DFO*12 indicated good stability in different media for 20 h. Conclusions: The novel hydroxamate-based dodecadentate chelator DFO*12, together with the developed 229Th/225Ac generator, provide new opportunities for 225Ac research for future radiopharmaceutical development and applications in TAT. Full article
(This article belongs to the Special Issue Advances in Radiopharmaceuticals for Disease Diagnoses and Therapy)
Show Figures

Graphical abstract

12 pages, 4843 KB  
Article
Development of TR-19 Cyclotron Parameter Settings for Fully Automated Production of Radiometals with Applications in Nuclear Medicine
by Liviu Ștefan Crăciun, Tiberiu Relu Eșanu, Radu Leonte, Hermann Anton Schubert, Raul Victor Erhan and Dana Niculae
Instruments 2025, 9(1), 3; https://doi.org/10.3390/instruments9010003 - 26 Feb 2025
Viewed by 2297
Abstract
At the Radiopharmaceutical Research Center (CCR) of the Horia Hulubei National Institute for R&D in Physics and Nuclear Engineering (IFIN-HH), we operate a TR-19 cyclotron for radio isotope production. To broaden our spectrum of radioisotopes with applications in nuclear medicine, we add a [...] Read more.
At the Radiopharmaceutical Research Center (CCR) of the Horia Hulubei National Institute for R&D in Physics and Nuclear Engineering (IFIN-HH), we operate a TR-19 cyclotron for radio isotope production. To broaden our spectrum of radioisotopes with applications in nuclear medicine, we add a new external beam line towards a state-of-the-art solid target station. Besides practical experience with the implementation of the Comecer ALCEO metal solid targetry system, a new, more efficient way of tuning the beam onto the target and the design of a dedicated neutron local layered shielding are presented. Full article
(This article belongs to the Special Issue Medical Applications of Particle Physics, 2nd Edition)
Show Figures

Figure 1

15 pages, 3374 KB  
Article
Neurotensin (8-13) and Neuromedin N Neuropeptides Radiolabelling with Copper-64 Produced on Solid or Liquid Targets
by Diana Cocioabă, Alexandra I. Fonseca, Radu Leonte, Ivanna Hrynchak, Roxana Tudoroiu-Cornoiu, Sergio J. C. do Carmo, Bogdan Burghelea, Simona Băruță, Ana Rita Almeida, Radu Șerban, Anca Dinischiotu, Antero J. Abrunhosa and Dana Niculae
Molecules 2024, 29(6), 1390; https://doi.org/10.3390/molecules29061390 - 20 Mar 2024
Cited by 3 | Viewed by 2517
Abstract
On the verge of a theranostic approach to personalised medicine, copper-64 is one of the emerging radioisotopes in nuclear medicine due to its exploitable nuclear and biochemical characteristics. The increased demand for copper-64 for preclinical and clinical studies has prompted the development of [...] Read more.
On the verge of a theranostic approach to personalised medicine, copper-64 is one of the emerging radioisotopes in nuclear medicine due to its exploitable nuclear and biochemical characteristics. The increased demand for copper-64 for preclinical and clinical studies has prompted the development of production routes. This research aims to compare the (p,n) reaction on nickel-64 solid versus liquid targets and evaluate the effectiveness of [64Cu]CuCl2 solutions prepared by the two routes. As new treatments for neurotensin receptor-overexpressing tumours have developed, copper-64 was used to radiolabel Neurotensin (8-13) and Neuromedin N. High-quality [64Cu]CuCl2 solutions were prepared using ACSI TR-19 and IBA Cyclone Kiube cyclotrons. The radiochemical purity after post-irradiation processing reached 99% (LT) and 99.99% (ST), respectively. The irradiation of a solid target with 11.8 MeV protons and 150 μAh led to 704 ± 84 MBq/μA (17.6 ± 2.1 GBq/batch at EOB). At the end of the purification process (1 h, 90.90% activity yield), the solution for peptide radiolabelling had a radioactive concentration of 1340.4 ± 70.1 MBq/mL (n.d.c.). The irradiation of a liquid target with 16.9 MeV protons and 230 μAh resulted in 3.7 ± 0.2 GBq/batch at EOB, which corresponds to an experimental production yield of 6.89 GBq.cm3/(g.µA)sat. Benefiting from a shorter purification process (40 min), the activity yielded 90.87%, while the radioactive concentration of the radiolabelling solution was lower (492 MBq/mL, n.d.c.). The [64Cu]CuCl2 solutions were successfully used for the radiolabelling of DOTA-NT(8-13) and DOTA-NN neuropeptides, resulting in a high RCP (>99%) and high molar activity (27.2 and 26.4 GBq/μmol for LT route compared to 45 and 52 GBq/μmol for ST route, respectively). The strong interaction between the [64Cu]Cu-DOTA-NT(8-13) and the colon cancerous cell lines HT29 and HCT116 proved that the specificity for NTR had not been altered, as shown by the uptake and retention data. Full article
(This article belongs to the Special Issue Advance in Radiochemistry)
Show Figures

Figure 1

13 pages, 3991 KB  
Article
First Results on Zinc Oxide Thick Film Deposition by Inverted Magnetron Sputtering for Cyclotron Solid Targets Production
by Alisa Kotliarenko, Oscar Azzolini, Sara Cisternino, Mourad El Idrissi, Juan Esposito, Giorgio Keppel, Cristian Pira and Angelo Taibi
Materials 2023, 16(10), 3810; https://doi.org/10.3390/ma16103810 - 18 May 2023
Cited by 6 | Viewed by 2176
Abstract
The magnetron sputtering technique has been investigated in recent years with ever-growing interest as a verifiable solid target manufacturing technology aimed at the production of medical radionuclides by using low-energy cyclotron accelerators. However, the possible loss of high-cost materials prevents access to work [...] Read more.
The magnetron sputtering technique has been investigated in recent years with ever-growing interest as a verifiable solid target manufacturing technology aimed at the production of medical radionuclides by using low-energy cyclotron accelerators. However, the possible loss of high-cost materials prevents access to work with isotopically enriched metals. The need for expensive materials for the supply of the growing demand for theranostic radionuclides makes the material-saving approach and recovery essential for the radiopharmaceutical field. To overcome the main magnetron sputtering drawback, an alternative configuration is proposed. In this work, an inverted magnetron prototype for the deposition of tens of μm film onto different substrates is developed. Such configuration for solid target manufacturing has been proposed for the first time. Two ZnO depositions (20–30 μm) onto Nb backing were carried out and analysed by SEM (Scanning Electron Microscopy) and XRD (X-ray Diffractogram). Their thermomechanical stability under the proton beam of a medical cyclotron was tested as well. A possible improvement of the prototype and the perspective of its utilisation were discussed. Full article
(This article belongs to the Section Thin Films and Interfaces)
Show Figures

Figure 1

19 pages, 4357 KB  
Article
Dissolution of Molybdenum in Hydrogen Peroxide: A Thermodynamic, Kinetic and Microscopic Study of a Green Process for 99mTc Production
by Flavio Cicconi, Alberto Ubaldini, Angela Fiore, Antonietta Rizzo, Sebastiano Cataldo, Pietro Agostini, Antonino Pietropaolo, Stefano Salvi, Vincenzo Cuzzola and on behalf of the SRF Collaboration
Molecules 2023, 28(5), 2090; https://doi.org/10.3390/molecules28052090 - 23 Feb 2023
Cited by 8 | Viewed by 4407
Abstract
99mTc-based radiopharmaceuticals are the most commonly used medical radioactive tracers in nuclear medicine for diagnostic imaging. Due to the expected global shortage of 99Mo, the parent radionuclide from which 99mTc is produced, new production methods should be developed. The SORGENTINA-RF [...] Read more.
99mTc-based radiopharmaceuticals are the most commonly used medical radioactive tracers in nuclear medicine for diagnostic imaging. Due to the expected global shortage of 99Mo, the parent radionuclide from which 99mTc is produced, new production methods should be developed. The SORGENTINA-RF (SRF) project aims at developing a prototypical medium-intensity D-T 14-MeV fusion neutron source specifically designed for production of medical radioisotopes with a focus on 99Mo. The scope of this work was to develop an efficient, cost-effective and green procedure for dissolution of solid molybdenum in hydrogen peroxide solutions compatible for 99mTc production via the SRF neutron source. The dissolution process was extensively studied for two different target geometries: pellets and powder. The first showed better characteristics and properties for the dissolution procedure, and up to 100 g of pellets were successfully dissolved in 250–280 min. The dissolution mechanism on the pellets was investigated by means of scanning electron microscopy and energy-dispersive X-ray spectroscopy. After the procedure, sodium molybdate crystals were characterized via X-ray diffraction, Raman and infrared spectroscopy and the high purity of the compound was established by means of inductively coupled plasma mass spectroscopy. The study confirmed the feasibility of the procedure for production of 99mTc in SRF as it is very cost-effective, with minimal consumption of peroxide and controlled low temperature. Full article
(This article belongs to the Special Issue Radiopharmaceuticals)
Show Figures

Figure 1

9 pages, 2435 KB  
Article
Investigation of a Possible Material-Saving Approach of Sputtering Techniques for Radiopharmaceutical Target Production
by Alisa Kotliarenko, Oscar Azzolini, Giorgio Keppel, Cristian Pira and Juan Esposito
Appl. Sci. 2021, 11(19), 9219; https://doi.org/10.3390/app11199219 - 3 Oct 2021
Cited by 9 | Viewed by 2201
Abstract
Magnetron sputtering (MS) is a relatively new deposition technique, which is being considered among the cyclotron solid target (CST) manufacturing options now available, aiming at the medical radioisotopes yield for radiopharmaceutical production. However, the intrinsic high material losses during the deposition process do [...] Read more.
Magnetron sputtering (MS) is a relatively new deposition technique, which is being considered among the cyclotron solid target (CST) manufacturing options now available, aiming at the medical radioisotopes yield for radiopharmaceutical production. However, the intrinsic high material losses during the deposition process do not permit its use with extremely expensive target materials, such as isotopically enriched metals/oxides. In this study, R&D technology for a new recovering shield is instead proposed to assess the dissipation of target material during the sputtering processes and, thus, an estimate of the material recovery that may be feasible and the related amount. The weight-loss analysis method is used to assess the material losses level inside the chamber during processing. In all tests carried out, a high-purity copper (99.99%) was used as a target material. As a result of this study, the material distribution for both magnetron and diode sputtering depositions can be calculated. The feasibility of the ultra-thick coatings growing, devoted to CST production, is demonstrated. Full article
(This article belongs to the Section Applied Physics General)
Show Figures

Figure 1

12 pages, 7471 KB  
Article
An Active Irradiation System with Automatic Beam Positioning and Focusing for a Medical Cyclotron
by Philipp Daniel Häffner, Carolina Belver-Aguilar, Pierluigi Casolaro, Gaia Dellepiane, Paola Scampoli and Saverio Braccini
Appl. Sci. 2021, 11(6), 2452; https://doi.org/10.3390/app11062452 - 10 Mar 2021
Cited by 6 | Viewed by 2630
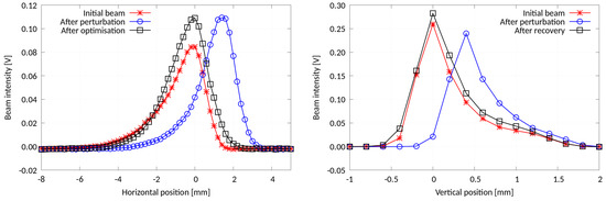
Abstract
A novel active focusing system was developed for enhancing the irradiation performance of the 18 MeV medical cyclotron in operation at the Bern University Hospital in view of the production of non-conventional medical radioisotopes using solid targets. In several cases, such as the [...] Read more.
A novel active focusing system was developed for enhancing the irradiation performance of the 18 MeV medical cyclotron in operation at the Bern University Hospital in view of the production of non-conventional medical radioisotopes using solid targets. In several cases, such as the production of 43Sc and 44Sc, the beam has to be kept stable within a very small target of about 5 mm diameter. For this purpose, we conceived and realized an apparatus based on a compact focusing and steering magnet system followed by a two-dimensional beam monitoring detector and a specific feedback software that drives the magnet to optimize the beam for a given irradiation set-up. We report on the design, realization and validation beam tests performed using the research beam transfer line of the Bern cyclotron. We demonstrated that the beam spot can be kept on target thanks to the fact that the system automatically reacts to perturbations. Compactness is one of the key features of this system, allowing its use in accelerator facilities with limited space, such as medical cyclotrons for radioisotope production. Full article
(This article belongs to the Section Applied Physics General)
Show Figures

Figure 1

15 pages, 2278 KB  
Article
Medical Cyclotron Solid Target Preparation by Ultrathick Film Magnetron Sputtering Deposition
by Hanna Skliarova, Sara Cisternino, Gianfranco Cicoria, Mario Marengo, Emiliano Cazzola, Giancarlo Gorgoni and Vincenzo Palmieri
Instruments 2019, 3(1), 21; https://doi.org/10.3390/instruments3010021 - 13 Mar 2019
Cited by 22 | Viewed by 7882
Abstract
Magnetron sputtering is proposed here as an innovative method for the deposition of a material layer onto an appropriate backing plate for cyclotron solid targets aimed at medical radioisotopes production. In this study, a method to deposit thick, high-density, high-thickness-uniformity, and stress-free films [...] Read more.
Magnetron sputtering is proposed here as an innovative method for the deposition of a material layer onto an appropriate backing plate for cyclotron solid targets aimed at medical radioisotopes production. In this study, a method to deposit thick, high-density, high-thickness-uniformity, and stress-free films of high adherence to the backing was developed by optimizing the fundamental deposition parameters: sputtering gas pressure, substrate temperature, and using a multilayer deposition mode, as well. This method was proposed to realize Mo-100 and Y-nat solid targets for biomedical cyclotron production of Tc-99m and Zr-89 radionuclides, respectively. The combination of all three optimized sputtering parameters (i.e., 1.63 × 10−2 mbar Ar pressure, 500 °C substrate temperature, and the multilayer mode) allowed us to achieve deposition thickness as high as 100 µm for Mo targets. The 50/70-µm-thick Y targets were instead realized by optimizing the sputtering pressure only (1.36 × 10−2 mbar Ar pressure), without making use of additional substrate heating. These optimized deposition parameters allowed for the production of targets by using different backing materials (e.g., Mo onto copper, sapphire, and synthetic diamond; and Y onto a niobium backing). All target types tested were able to sustain a power density as high as 1 kW/cm2 provided by the proton beam of medical cyclotrons (15.6 MeV for Mo targets and 12.7 MeV for Y targets at up to a 70-µA proton beam current). Both short- and long-time irradiation tests, closer to the real production, have been realized. Full article
(This article belongs to the Special Issue Instruments and Methods for Cyclotron Produced Radioisotopes)
Show Figures

Graphical abstract

8 pages, 3315 KB  
Communication
Solid Target System with In-Situ Target Dissolution
by William Z. Gelbart and Richard R. Johnson
Instruments 2019, 3(1), 14; https://doi.org/10.3390/instruments3010014 - 11 Feb 2019
Cited by 8 | Viewed by 5313
Abstract
A significant number of medical radioisotopes use solid, often metallic, parent materials. These materials are deposited on a substrate to facilitate the cooling and handling of the target during placing, irradiation, and processing. The processing requires the transfer of the target to a [...] Read more.
A significant number of medical radioisotopes use solid, often metallic, parent materials. These materials are deposited on a substrate to facilitate the cooling and handling of the target during placing, irradiation, and processing. The processing requires the transfer of the target to a processing area outside the irradiation area. In this new approach the target is processed at the irradiation site for liquid only transport of the irradiated target material to the processing area. The design features common to higher energy production target systems are included in the target station. The target is inclined at 14 degrees to the beam direction. The system has been designed to accept an incident beam of 15 to 16 mm diameter and a beam power between 2 and 5 kW. Thermal modeling is presented for targets of metals and compounds. A cassette of five or 10 prepared targets is housed at the target station as well as a target dissolution assembly. Only the dissolved target material is transported to the chemistry laboratory so that the design does not require additional irradiation area penetrations. This work presents the design, construction, and modeling details of the assembly. A full performance characterization will be reported after the unit is moved to a cyclotron facility for beam related measurements. Full article
(This article belongs to the Special Issue Instruments and Methods for Cyclotron Produced Radioisotopes)
Show Figures

Figure 1

5 pages, 12705 KB  
Communication
Molybdenum Sinter-Cladding of Solid Radioisotope Targets
by William Z. Gelbart and Richard R. Johnson
Instruments 2019, 3(1), 11; https://doi.org/10.3390/instruments3010011 - 2 Feb 2019
Cited by 3 | Viewed by 4608
Abstract
In solid targets for radioisotope production, the parent materials—mostly metallic—are usually attached to a substrate (metal part, often copper or silver) to support it during handling and irradiation and to facilitate liquid or gas cooling to remove the heat generated by the particle [...] Read more.
In solid targets for radioisotope production, the parent materials—mostly metallic—are usually attached to a substrate (metal part, often copper or silver) to support it during handling and irradiation and to facilitate liquid or gas cooling to remove the heat generated by the particle beam. This cladding process is most frequently done by electroplating. One of the biggest challenges of preparing solid, high-current, 100Mo targets is the difficulty of cladding the substrate with molybdenum—metal that cannot be electroplated. A number of cladding techniques are used with varying degrees of complexity, success, and cost. A simple cladding process, especially suitable for the production of radioisotope targets, was developed. The process uses a metal slurry (metal powder and binder) painted on the substrate and heated in a hydrogen atmosphere where the metal is sintered and diffusion-bound to the substrate in a single step. Full article
(This article belongs to the Special Issue Instruments and Methods for Cyclotron Produced Radioisotopes)
Show Figures

Figure 1

6 pages, 853 KB  
Article
Fused Zinc Target for the Production of Gallium Radioisotopes
by Stefan Zeisler, Alan Limoges, Joel Kumlin, Jonathan Siikanen and Cornelia Hoehr
Instruments 2019, 3(1), 10; https://doi.org/10.3390/instruments3010010 - 1 Feb 2019
Cited by 14 | Viewed by 5936
Abstract
Gallium-68 is a popular radioisotope for positron emission tomography. To make gallium-68 more accessible, we developed a new solid target for medical cyclotrons. Fused zinc targets promise a new, efficient, and reliable technique without the downsides of other commonly used time-consuming methods for [...] Read more.
Gallium-68 is a popular radioisotope for positron emission tomography. To make gallium-68 more accessible, we developed a new solid target for medical cyclotrons. Fused zinc targets promise a new, efficient, and reliable technique without the downsides of other commonly used time-consuming methods for solid target fabrication, such as electroplating and sputtering. We manufactured targets by fusing small pressed zinc pellets into a recess in aluminum backings. Using a simple hotplate, the fusing could be accomplished in less than two minutes. Subsequently, the targets were cooled, polished, and used successfully for test irradiations at Ep = 12.8 MeV and up to 20 µA proton current. Full article
(This article belongs to the Special Issue Instruments and Methods for Cyclotron Produced Radioisotopes)
Show Figures

Figure 1

9 pages, 2241 KB  
Article
Automated Purification of Radiometals Produced by Liquid Targets
by Vítor H. Alves, Sérgio J. C. Do Carmo, Francisco Alves and Antero J. Abrunhosa
Instruments 2018, 2(3), 17; https://doi.org/10.3390/instruments2030017 - 14 Sep 2018
Cited by 32 | Viewed by 6749
Abstract
An automated process for the production and purification of radiometals produced by irradiating liquid targets in a medical cyclotron, using a commercially available module, has been developed. The method is suitable for the production and purification of radiometals such as 68Ga, 64 [...] Read more.
An automated process for the production and purification of radiometals produced by irradiating liquid targets in a medical cyclotron, using a commercially available module, has been developed. The method is suitable for the production and purification of radiometals such as 68Ga, 64Cu and 61Cu through irradiation of liquid targets and is important for producing high specific activity radioisotopes with a substantial reduction in processing time and cost when compared with the solid target approach. The “liquid target” process also eliminates the need for pre- and post-irradiation target preparation and simplifies the transfer of irradiated material from target to hotcell. A 68GaCl3 solution can be obtained in about 35 min with an average yield of 73.9 ± 6.7% in less than 10 mL of volume. 64CuCl2 solutions can be obtained with an average yield of 81.2 ± 7.8% in about 1 h of processing time. A dedicated single-use disposable kit is used on a commercial IBA Synthera® extension module. Full article
(This article belongs to the Special Issue Instruments and Methods for Cyclotron Produced Radioisotopes)
Show Figures

Figure 1

Back to TopTop