Abstract
Automatic modulation recognition (AMR) is an essential component in the design of smart radios that can intelligently communicate with their surroundings in order to make the most efficient use of available resources. Throughout the last few decades, this issue has been subjected to in-depth examination in the published research literature. To the best of the authors’ knowledge, there have only been a few studies that have been specifically devoted to the task of performing AMR across cooperative wireless transmissions. In this contribution, we examine the AMR problem in the context of amplify-and-forward (AAF) two-path consecutive relaying systems (TCRS) for the first time in the literature. We leverage the property of data redundancy associated with AAF-TCRS signals to design a decision feedback iterative modulation recognizer via an expectation-maximization procedure. The proposed recognizer incorporates the soft information produced by the data detection process as a priori knowledge to generate the a posteriori expectations of the information symbols, which are employed as training symbols. The proposed algorithm additionally involves the development of an estimate of the channel coefficients as a secondary activity. The simulation outcomes have validated the feasibility of the proposed design by demonstrating its capacity to achieve an excellent recognition performance under a wide range of running conditions. According to the findings, the suggested technique converges within six rounds, achieving perfect recognition performance at a signal-to-noise ratio of 14 dB. Furthermore, the minimal pilot-to-frame-size ratio necessary to successfully execute the iterative procedure is 0.07. In addition, the proposed method is essentially immune to time offset and performs well throughout a broad range of frequency offset. Lastly, the proposed strategy beats the existing techniques in recognition accuracy while requiring a low level of processing complexity.
1. Introduction
The increasing growth in the number of end-users in wireless communication networks has raised the reliability and stability criteria that must be satisfied by both current and future networks. Providing such conditions is challenging and requires building intelligent and sophisticated networks to ensure high quality-of-service for the end-users and to help with agile management of wireless network resources [1]. Automatic modulation recognition (AMR) plays a significant role in the development of such networks for numerous military and civilian applications such as threat assessment, link adaption, software-defined radio, spectrum monitoring, and cognitive radio [2,3,4,5,6,7,8,9]. Table 1 provides definitions for acronyms used in this work.
Table 1.
List of abbreviations.
The modulation information may be incorporated in each broadcast frame when adaptive modulation is used to mitigate the effects of channel distortion or to offer on-demand data rate service [10,11]. However, such a strategy is not spectrum efficient for real wireless networks due to transmitting extra control information. After the signal has been detected and before it has been demodulated, AMR algorithms demonstrate their significance by determining the kind of modulation present at the receiver in order to perform accurate signal demodulation without requiring any prior information. This results in a reduction in the signal overhead and an enhancement in the spectrum’s efficiency [12]. Another example that highlights the relevance of AMR is offered by cognitive radios, which permits unlicensed users to transmit their data over the bands that are currently being used by other legitimate users. An AMR algorithm is an essential part of the design of cognitive radios, and its primary function is to determine the kind of modulations that are already present in the signals that have been received [13,14,15]. This enables cognitive radios to communicate without causing harmful interference to users who are currently utilizing their bands.
AMR has recently found practical applications in wireless sensor networks, which have evolved as potential solutions to a wide variety of real-life problems [16,17]. A viable AMR technique for sensor networks should provide a fusion centre, which merges local information obtained and/or created by separate sensing nodes [18]. Fusion techniques of this kind may be used at the data, feature, and decision levels [19]. The fusion center receives the raw signal data directly from each sensor node in a data-level fusion process. Despite the fact that each sensor is only needed to do little processing, the data-level fusion method requires a substantial transmission overhead from each sensor to the fusion center. In a feature-based fusion methods, each sensor extracts features from the collected data and then communicates the recovered features to the fusion center, which needs all sensors to be closely synchronized with each other in order to make a final judgment. In decision-layer fusion processes, each sensor creates a local judgement based on the extracted characteristics, which is then sent to the fusion centre, which derives the global judgement based on the local choices. In general, combined signals from a group of geographically distributed sensors will produce a higher performance for modulation recognition than any one node would achieve on its own [20]. For example, deep residual network and long short time memory are adopted for modulation recognition with distributed sensors [21], yielding better recognition accuracy than a single convolution neural network.
Alternatively, cooperative diversity is a relatively recent category of wireless communication systems in which network nodes assist each other in relaying information to improve connection reliability, spectrum efficiency, system capacity, and transmission coverage [22,23,24]. As a result, cooperative communication seems to be similar to a distributed multiple-input multiple-output (MIMO) system that utilizes a virtual antenna array. Amplify-and-forward (AAF), decode-and-forward, and compress-and-forward are examples of the cooperative protocols that have been developed so far [25,26,27]. Full-duplex and half-duplex relaying are the two primary varieties of this communication technique. Full-duplex communications occur when a relay is able to simultaneously send and receive signals within the same frequency range. Even though the relay is able to eliminate interference between the transmitted and received signals, a slight error in the cancellation process can result in a significant decrease in performance due to the fact that the power of the received signal is significantly less than that of the transmitted signal [28,29]. Because of this, it is recommended to employ half-duplex relaying, in which the relaying node either broadcasts or receives information at the same time. Half-duplex, on the other hand, suffers from the drawback of reduced spectral efficiency, which results in a throughput drop of fifty percent [30]. One possible solution to deal with this challenge is to use two-path consecutive relaying systems (TCRS) [31,32,33,34]. To be more detailed, the source broadcasts its information to one of the relays and the destination at any given time slot, while the other relay transfers the information it got from the source during the time slot preceding it to the destination. Because of this, the source is able to send data in a continuous manner, which allows the spectral efficiency loss to be restored.
There has been a significant amount of effort put into the information theoretic study of a variety of cooperative systems in order to predict the rates that are practical, the capacity restrictions, the diversity-multiplexing tradeoff, as well as data extraction and channel identification (e.g., [31,35,36,37,38,39]). In spite of the significance of these discoveries, further research has to be conducted before cooperative systems may be put into reality. One of the most important difficulties that has to be tackled is determining how AMR is accomplished in cooperative systems. The development of AMR algorithms for cooperative systems has only been the focus of a relatively small number of research up to this time. Recently, the maximum-likelihood (ML) solution and cross-correlation functions were used in order to carry out AMR over decode-and-forward one-relay cooperative systems [40,41].
The following are the primary contributions of this study.
- For the first time in the lecture, an AMR algorithm for TCRS using an AAF protocol is proposed in this work.
- Through the use of the expectation-maximization (EM) process [42,43], the maximum-likelihood (ML) principle is used to arrive at an estimate of the allotted modulation scheme.
- The proposed algorithm makes use of the a posteriori probabilities that are acquired by the data detector as a priori knowledge to create the a posteriori expectations of the broadcast symbols, which are utilized as training symbols.
- Instead of using different algorithms to predict the channel impulse responses that occur between the source and relays, the source and the destination, and the relays and the destination, we estimate a single parameter called the overall channel impulse response, which includes all these connections.
The remaining parts of the work are structured in the following manner. In Section 2, the cooperative system model under consideration is presented. The proposed AMR algorithm and its practical discussion are offered in Section 3 and Section 4. The simulation results with appropriate analysis are provided in Section 5. Finally, we conclude the work in Section 6.
2. System Model
We examine a wireless cooperative network that includes a source (S), a destination (D), and two half-duplex relays ( and ). All nodes have a single antenna, and relays employ an AAF protocol. The source data are sent in the form of frames, and each frame comprises W packets. Each packet is made up of C data symbols, all of which are taken at random and autonomously from a modulation constellation known as . The key idea of adaptive modulation is that the source makes adjustments to its modulation scheme on a frame-by-frame basis in accordance with the channel impulse response. These adjustments are made in order to maximize cumulative capacity and reducing power consumption while preserving a level of service that is satisfactory. A limited number of pilots are integrated into data symbols to initiate the recognition operation as we will show later on. The wth packet is expressed as , where is the mth data symbol of wth packet. The channel coefficient from terminal to terminal is represented as , where and . Channel coefficients stay the same during a given frame, but they change independently from one frame to the next.
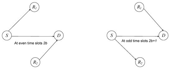
The transmission protocol is broken up into consecutive time slots that are all the same length, and during each slot, S sends independent W packets constantly. In the following description, we use the common assumption that the two relays are placed in close proximity to one another or at a more distant position [44,45]. In such a scenario, it is possible to employ a consecutive interference cancellation scheme at the relays. Because of this, the performance at the relays is quite similar to what it would be like if the inter-relay interference was completely eliminated. As observed in Figure 1, the procedure consists of two distinct stages: odd and even time slots.
Figure 1.
The TPSR system under consideration.
- At even time slots : the source broadcasts the packet to and D while sends the signal to D. Here is represented in terms of the preceding packet as [28]where is the ()th noise vector at of length N coupled with the preceding source transmission and is the scaling factor provided as [29]
- At odd time slots , S conveys the packet to and D while passes the information to D. Here is expressed in context of the previous packet as [35]where is the ()th noise vector at and is the scaling factor given as [31]
The main objective of this study is to create a modulation recognition algorithm that takes use of the distinct structure of the received signals at the destination, and .
3. Proposed Algorithm
The subsequent description will highlight how the procedures of modulation recognition and channel estimation are carried out. We begin with the ML criterion and build a data-aided (DA) recognizer and estimator. After that, a soft information assisted recognizer and estimator is constructed with the help of the EM algorithm. The unique structure of the signals that have been received is used to provide more accurate results.
We establish the following notations for use in mathematical representation. Let us write , and [46,47]
where † is the transpose operation,
and
The received signal at D represented by (5) and (12) for the entire frame can written in a condensed form as [33]
where is the noise vector produced by alternately mixing the components of (7) and (14).
The ML solutions of the modulation and channel coefficients are acquired by optimizing the log-likelihood function [37,39]
where is the probability density function of ∘ given ▹. Calculating the term of involves taking an average over all potential data symbols that correspond to the modulation format as described by [34]
and
where is the noise variance. It is essential to point out that we attach to the matrix described in (15) to underline that the transmission matrix is reliant on the particular modulation scheme that is chosen. One notes that the precise ML solution is extremely difficult, if not virtually impossible, to implement in practice. This is due to the fact that it necessitates the computation of (20) over a massive number of data symbols for each conceivable value of . The EM approach offers a repetitive and conceptually straightforward mechanism for optimizing the log-likelihood, which may be used to a variety of problems. There are two processes of the operation at the iteration .
- E-process of the EM algorithm quantifies the expected value of given the existing estimations of the parameters and . In particular, we create the following function [42]Here signifies the average of the information symbols given the modulation type .
The EM method cycles through repeated steps until it reaches a point of convergence [48]. We construct the following equation by combining (15) and (20) into (19) and removing the extraneous components, [49]
where and † are the real part and the conjugate transpose of a complex-valued vector, respectively, [48]
and
We carry out the following process in order to detach the joint maximization challenge of and of (23) as follows [15]
Here, we attach into to highlight the fact that is updated for each conceivable value of . Plugging into (23), the update of is found by optimizing the cost function shown below [34],
where represents the norm of a vector. The conclusive measurement of is stated as
4. Practical Discussion
It is essential to note the following practical implications:
- The issue then arises of how the matrices of and are really computed in reality. Since the expectation function is linear, we produce the matrix by simply replacing each ingredient of with the relevant a posteriori expectation. Typically, the a posteriori expectation of the mth element of the wth vector , , given the modulation scheme is produced as [48]The wth vector is created by concatenating all of these samples. This process is repeated for all unknown information symbols with , 1, . Therefore, the matrix is formed following the same way as reported in (15) with the use of instead of .
- We are going to proceed with the widely held premise that the data symbols are not linked with one another. Therefore, the approximate computation for is as follows [34]
- In light of (30), computing the probability of for each modulation scheme is essential for the proposed recognition process. When we examine (4) and (11) more closely, we come to the conclusion that each information symbol is collected at the endpoint twice: once through the source-destination connection and once via the relay-destination route. As a result, the corresponding transmission structure may be thought of as being comparable to a convolutional encoder that only has a single memory component. A bank of N Bahl, Cocke, Jelinek, and RavivBCJR algorithms is used to create the optimum data detection, which is accomplished by employing a method that is similar to the one described in the earlier works of [38,39].
- In order to kick off the recognition and estimation processes, a small number of pilot symbols are included into the data symbols. As a result, the proposed approach is able to get preliminary estimations of the channel coefficient and the chosen modulation scheme. It is generally known that the accuracy of the evaluation will improve in proportion to the number of utilized pilots. Nevertheless, extending the length of the pilot symbols not only reduces the amount of energy that is allocated for the transfer of information but also slows down the data rate. As a consequence of this, the ratio between the specified amount of pilot symbols and the amount of the information symbols has to be sustained at a level that is as low as possible. This is accomplished by using the method that has been described, which refines the original estimations via a process of iterative improvement. We make use of the output of the demodulation procedure to compute the a posteriori expectations of the information symbols, which are then applied to the proposed recognizer and estimator as if they were pilot symbols.
- It is worth noting that the quality of modulation recognition is strengthened by using a powerful error-correcting code to provide accurate feedback to the proposed technique. Furthermore, increasing the number of pilot symbols speeds up the suggested method’s convergence.
- The computational cost of the proposed AMR approach is examined by computing the number of needed floating point operations (fp) [15,50]. Multiplying two complex numbers needs 6 fp, whereas adding them only involves two fp. The study in the previous section shows that the required number of fp per iteration is roughly stated as . Assuming and with a processor speed of 10 Terafp per second, the processing time is 2 nanoseconds, which is sufficient for practical uses.
5. Simulation Results
Simulations have been implemented to assess how effectively the offered strategy behaves. The following is a list of the TCRS system’s parameters, unless anything else has been provided. The transmission frame is made up of packets. Each packet contains data symbols. The pilot symbols take up 7 percent of each frame. Quadrature amplitude modulation (QAM) and phase shift key (PSK) modulation schemes with a modulation order 2 to 256 were taken into account.A convolutional code was used, with a constraint length of 5 and a rate of 0.5. Each channel path was described as a zero-mean complex-valued Gaussian random variable, with variance being computed as [51,52,53]
where , denoted to the path-loss exponent, was the separation between nodes and , and was the separation between nodes S and D. For simulation reasons, we assign , , , and . Here, all distances were normalized to . As mentioned in the preceding mathematical advancements, the suggested technique is general in the sense that it can be applied to any other channel type. An evaluation metric for the proposed recognizer was the average probability of correct recognition, , where is a member of the set of modulation types and V is the cardinality of the modulation set under consideration. For example, we assume that the transmitter uses one of following modulation schemes, QPSK, 8-PSK, 16-QAM, and 64-QAM. Therefore, is described as . Here is defined as the probability of recognizing QPSK modulation scheme at the receiver if the allocated modulation scheme at the transmitter is QPSK. The same definition is applied to other modulation schemes.
Figure 2 illustrates performance of the offered recognizer as a function of symbol-to-noise ratio, SNR, at iterations 1–6. Even at high SNR values, the performance during the first iteration of the recognition process is insufficient since it is initiated by a limited number of pilots. As the number of iterations grows, there is a steady rise in the level of performance achieved. This is because the suggested recognizer is able to make use of the soft information that is supplied by the data detector, which becomes more robust with each repetition. After the sixth round, there is no distinguishable boost in the system’s performance. Because the vast majority of actual applications need for recognition accuracy of at least 90 percent, the minimum operational SNR would need to be more than 9 dB. In order to facilitate comparisons, we have also shown the recognition performance attained by the use of the methods outlined in [40,41]. The outcomes demonstrate that the proposed technique outperforms those methods, which are unable to provide adequate recognition performance despite using high SNR settings. The reason is that the methods of [40,41] follow a relaying strategy where the receiver sends back the decoded frame if it’s received successfully. When the relays are unable to understand the received signal because of the channel conditions, the modulation recognition performance worsens.
Figure 2.
as a functions of SNR at different iterations. The proposed algorithm is illustrated by the solid lines, the algorithm of [40] is displayed by the dashed lines, and the algorithm of [41] is indicated by the dot-dashed lines.
Figure 3 provides performance of the suggested recognizer in a variety of scenarios at iteration 6. In the first scenario, we assume that the channel estimate is accurate and we treat all of the data symbols as if they were training symbols. This acts as an upper-bound for the recognizer that is being suggested. In the second scenario, we use a few number of pilots to kick off the proposed modulation recognizer on the assumption that the channel estimate is accurate. The third scenario takes into account the possibility of performing channel estimate as mentioned in (29) and also executing modulation recognition as indicated in (28). The findings reveals that the offered EM-based recognizer achieves a level of recognition performance comparable to that of the first and second scenarios. This provides more evidence that the iterative structure that was described is successful.
Figure 3.
performance at different scenarios.
Figure 4 depicts the impact of the number of pilots relative to the frame size at different values of SNR during iteration 6. It is well realized that the effective initialization is vital for EM-based schemes to run properly. The results indicate that the iterative recommended recognizer requires a ratio of at least 0.07 of the number of pilot symbols to frame size to achieve convergence. It is worth noting that the least number of pilots necessary to generate appropriate first estimations may vary depending on the system settings. In reality, the designer may put our estimate technique through its paces by varying system and connectivity settings, finally establishing the bare minimum number of pilots required to meet the criterion for every given parameter choice. After that, the findings are recorded into look-up databases so that they can be deployed on the hardware. The designer also has the option of arbitrarily selecting a sufficient number of pilots that are suited for a broad variety of system and connectivity characteristics. Table 2 shows the relationship between pilot to frame size ratio, recognition accuracy, and number of iterations necessary to converge at SNR = 14 dB. The results show that increasing the number of pilots improves the rate of recognition and reduces the number of iterations needed to reach convergence. Even with a considerable number of iterations, a small number of pilots does not result in adequate recognition performance. Furthermore, a massive proportion of pilots results in flawless recognition performance with a minimal amount of iterations.
Figure 4.
The influence of the number of pilots relative to the frame size with six iterations.
Table 2.
The relationship between pilot to frame size ratio, recognition accuracy, and number of iterations necessary to converge at SNR = 14 dB.
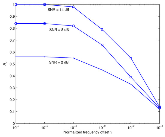
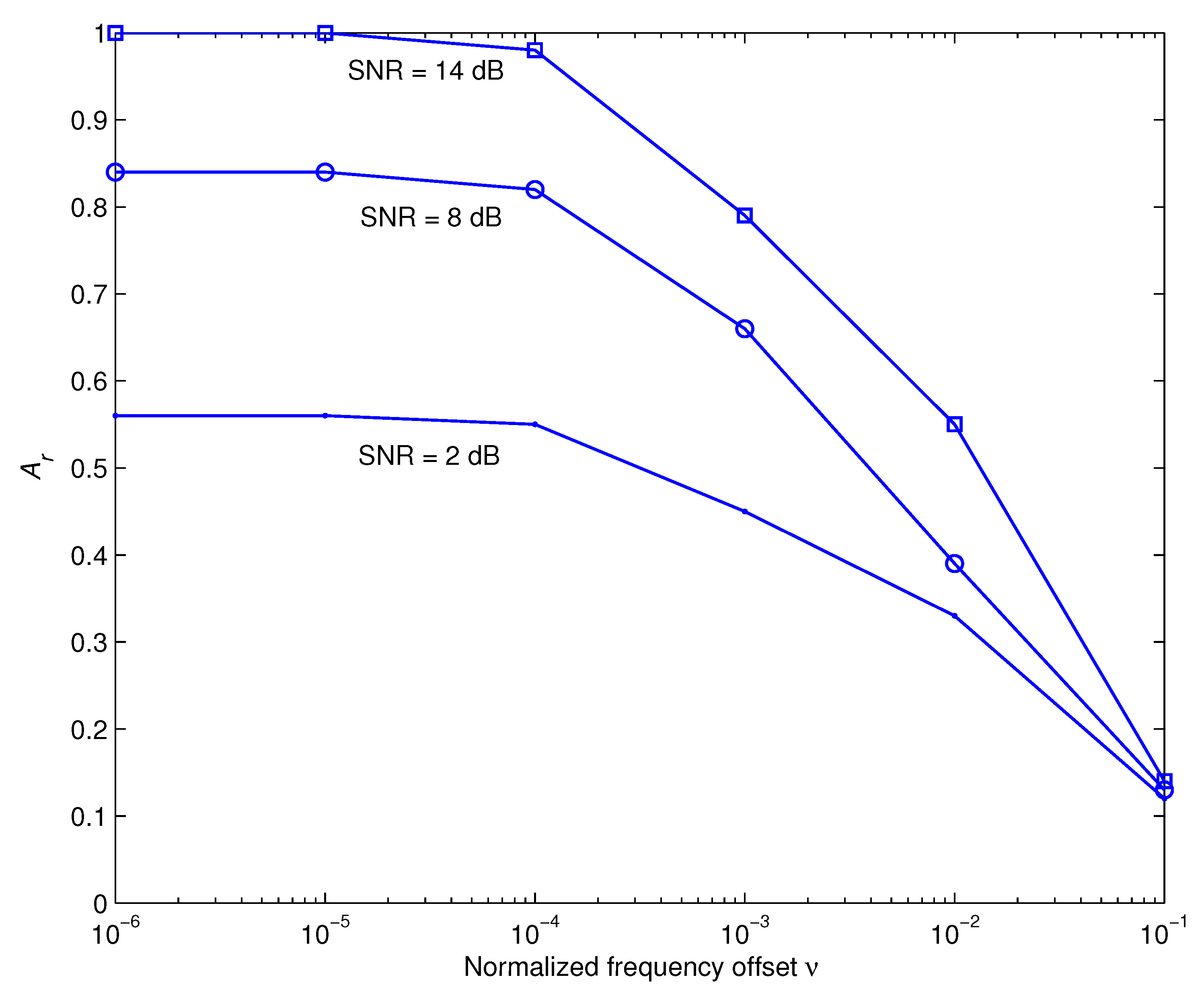
Throughout the preceding discussions, we used the assumption that the receiver estimates and corrects the clock-timing and frequency mismatches in a precise manner. The next investigations evaluate how sensitive the recommended recognition approach is to these parameters. Figure 5 and Figure 6 demonstrate, respectively, how the time offset and the frequency offset impact the recognition performance at different values of SNR during iteration 6. Here is normalized to the sampling duration and is represented as a two-way channel [46] and is normalized to the carrier frequency. These outcomes show that the suggested approach is relatively resistant to and delivers adequate performance over a broad range of .
Figure 5.
The impact of normalized time offset on the recognition performance.
Figure 6.
The impact of normalized frequency offset on the recognition performance.
6. Conclusions
We explored a decision feedback receiver architecture of a destination node for amplify and forward two-path consecutive relaying systems throughout this study. We developed a combined approach for iterative modulation recognition and channel estimation for channel impulse responses across source, relay, and destination nodes. It was shown that the maximum likelihood solution of the problem under consideration can be implemented via employing an expectation-maximization procedure. The acquisition of the preliminary estimations was generated by using a few pilot symbols. The suggested recognizer and estimator iteratively communicated and traded soft information with the data detector to achieve better overall performance. According to the simulation results, an outstanding recognition performance was shown to be exhibited in a variety of functional conditions. The recommended approach converged within six iterations and achieved flawless recognition performance at a signal-to-noise ratio of 14 dB. In addition, the minimum pilot-to-frame-size ratio required to conduct the iterative technique properly is 0.07. Finally, the proposed method was largely impervious to time offset and offered good performance across a wide range of frequency offset.
Author Contributions
Conceptualization, M.M., M.A.E. and H.M.; methodology, M.M. and H.M.; software, M.M., M.A.E. and H.M.; validation, M.M., M.A.E. and H.M.; formal analysis, M.M., M.A.E. and H.M.; investigation, M.M. and H.M.; resources, M.M. and H.M.; data creation, M.M., M.A.E. and H.M.; writing—original draft preparation, M.M. and H.M.; writing—review and editing, M.M. and H.M.; visualization, M.M. and H.M.; supervision, M.M. and H.M.; project administration, M.M., M.A.E. and H.M.; funding acquisition, M.M., M.A.E. and H.M. All authors have read and agreed to the published version of the manuscript.
Funding
Princess Nourah bint Abdulrahman University Researchers Supporting Project number (PNURSP2022R137), Princess Nourah bint Abdulrahman University, Riyadh, Saudi Arabia.
Institutional Review Board Statement
Not applicable.
Informed Consent Statement
Not applicable.
Data Availability Statement
Not applicable.
Acknowledgments
The authors would like to acknowledge the support of Prince Sultan University for paying the Article Processing Charges (APC) of this publication.
Conflicts of Interest
The authors declare no conflict of interest.
References
- Candal-Ventureira, D.; González-Castaño, F.J.; Gil-Castiñeira, F.; Fondo-Ferreiro, P. Coordinated Allocation of Radio Resources to Wi-Fi and Cellular Technologies in Shared Unlicensed Frequencies. IEEE Access 2021, 9, 134435–134456. [Google Scholar] [CrossRef]
- Dobre, O.A. Signal Identification for Emerging Intelligent Radios: Classical Problems and New Challenges. IEEE Instrum. Meas. Mag. 2015, 18, 11–18. [Google Scholar] [CrossRef]
- Marey, M.; Mostafa, H. Turbo Modulation Identification Algorithm for OFDM Software-Defined Radios. IEEE Commun. Lett. 2021, 25, 1707–1711. [Google Scholar] [CrossRef]
- Marey, M.; Mostafa, H. Code-Aided Modulation Classification Algorithm for Multiuser Uplink SC-FDMA Systems. IEEE Wirel. Commun. Lett. 2021, 10, 1023–1027. [Google Scholar] [CrossRef]
- Marey, M.; Dobre, O.A. Blind Modulation Classification Algorithm for Single and Multiple-Antenna Systems Over Frequency-Selective Channels. IEEE Signal Process. Lett. 2014, 21, 1098–1102. [Google Scholar]
- Xing, Z.; Gao, Y. A Modulation Classification Algorithm for Multipath Signals Based on Cepstrum. IEEE Trans. Instrum. Meas. 2020, 69, 4742–4752. [Google Scholar] [CrossRef]
- Serbes, A.; Cukur, H.; Qaraqe, K. Probabilities of False Alarm and Detection for the First-Order Cyclostationarity Test: Application to Modulation Classification. IEEE Commun. Lett. 2020, 24, 57–61. [Google Scholar] [CrossRef]
- Zheng, J.; Lv, Y. Likelihood-Based Automatic Modulation Classification in OFDM with Index Modulation. IEEE Trans. Veh. Technol. 2018, 67, 8192–8204. [Google Scholar] [CrossRef]
- Gupta, R.; Kumar, S.; Majhi, S. Blind Modulation Classification for Asynchronous OFDM Systems Over Unknown Signal Parameters and Channel Statistics. IEEE Trans. Veh. Technol. 2020, 69, 5281–5292. [Google Scholar] [CrossRef]
- He, Y.; Evans, J.S. Adaptive Opportunistic Spatial Modulation for Boosting Transmit Diversity. IEEE Trans. Commun. 2022, 70, 4286–4298. [Google Scholar] [CrossRef]
- Bobrov, E.; Kropotov, D.; Lu, H.; Zaev, D. Massive MIMO Adaptive Modulation and Coding Using Online Deep Learning Algorithm. IEEE Commun. Lett. 2022, 26, 818–822. [Google Scholar] [CrossRef]
- Dobre, O.A.; Abdi, A.; Bar-Ness, Y.; Su, W. A Survey of Automatic Modulation Classification Techniques: Classical Approaches and New Developments. IET Commun. 2007, 1, 137–156. [Google Scholar] [CrossRef]
- El-Malek, A.A.; Zummo, S. A Bandwidth-Efficient Cognitive Radio with Two-Path Amplify-and-Forward Relaying. IEEE Wirel. Commun. Lett. 2015, 4, 66–69. [Google Scholar] [CrossRef]
- Yucek, T.; Arslan, H. OFDM Signal Identification and Transmission Parameter Estimation for Cognitive Radio Applications. In Proceedings of the IEEE Military Communications Conference, Boston, MA, USA, 19–21 October 1998; pp. 4056–4060. [Google Scholar]
- Marey, M.; Mostafa, H. Soft-Information Assisted Modulation Recognition for Reconfigurable Radios. IEEE Wirel. Commun. Lett. 2021, 10, 745–749. [Google Scholar] [CrossRef]
- Idris, S.; Karunathilake, T.; Förster, A. Survey and Comparative Study of LoRa-Enabled Simulators for Internet of Things and Wireless Sensor Networks. Sensors 2022, 22, 5546. [Google Scholar] [CrossRef]
- Hakim, G.P.N.; Habaebi, M.H.; Toha, S.F.; Islam, M.R.; Yusoff, S.H.B.; Adesta, E.Y.T.; Anzum, R. Near Ground Pathloss Propagation Model Using Adaptive Neuro Fuzzy Inference System for Wireless Sensor Network Communication in Forest, Jungle and Open Dirt Road Environments. Sensors 2022, 22, 3267. [Google Scholar] [CrossRef] [PubMed]
- Liu, K.; Xiang, X.; Yin, L. Radio Frequency Database Construction and Modulation Recognition in Wireless Sensor Networks. Sensors 2022, 22, 5715. [Google Scholar] [CrossRef]
- Yan, X.; Zhang, Y.; Rao, X.; Wang, Q.; Wu, H.C.; Wu, Y. Novel Cooperative Automatic Modulation Classification Using Vectorized Soft Decision Fusion for Wireless Sensor Networks. Sensors 2022, 22, 1797. [Google Scholar] [CrossRef] [PubMed]
- Markovic, G.B.; Sokolovic, V.S.; Dukic, M.L. Distributed Hybrid Two-Stage Multi-Sensor Fusion for Cooperative Modulation Classification in Large-Scale Wireless Sensor Networks. Sensors 2019, 19, 4339. [Google Scholar] [CrossRef] [PubMed]
- Zheng, S.; Qi, P.; Chen, S.; Yang, X. Fusion Methods for CNN-Based Automatic Modulation Classification. IEEE Access 2019, 7, 66496–66504. [Google Scholar] [CrossRef]
- Stankovic, V.; Host-Madsen, A.; Xiong, Z. Cooperative Diversity for Wireless Ad Hoc Networks. IEEE Signal Process. Mag. 2006, 23, 37–49. [Google Scholar] [CrossRef]
- Xiao, Y.; Jin, X.; Shen, Y.; Guan, Q. Joint Relay Selection and Adaptive Modulation and Coding for Wireless Cooperative Communications. IEEE Sens. J. 2021, 21, 25508–25516. [Google Scholar] [CrossRef]
- Lv, L.; Zhou, F.; Chen, J.; Al-Dhahir, N. Secure Cooperative Communications with an Untrusted Relay: A NOMA-Inspired Jamming and Relaying Approach. IEEE Trans. Inf. Forensics Secur. 2019, 14, 3191–3205. [Google Scholar] [CrossRef]
- Krikidis, I.; Thompson, J.S.; Mclaughlin, S.; Goertz, N. Max-min Relay Selection for Legacy Amplify-and-Forward Systems with Interference. IEEE Trans. Wirel. Commun. 2009, 8, 3016–3027. [Google Scholar] [CrossRef]
- Kim, Y.G.; Beaulieu, N.C. Exact BEP of Decode-and-Forward Cooperative Systems with Multiple Relays in Rayleigh Fading Channels. IEEE Trans. Veh. Technol. 2015, 64, 823–828. [Google Scholar] [CrossRef]
- Wan, H.; Høst-Madsen, A.; Nosratinia, A. Compress-and-Forward Via Multilevel Coding and Trellis Coded Quantization. IEEE Commun. Lett. 2021, 25, 1163–1167. [Google Scholar] [CrossRef]
- Zhang, Z.; Long, K.; Vasilakos, A.V.; Hanzo, L. Full-Duplex Wireless Communications: Challenges, Solutions, and Future Research Directions. Proc. IEEE 2016, 104, 1369–1409. [Google Scholar] [CrossRef]
- Zhong, C.; Suraweera, H.A.; Zheng, G.; Krikidis, I.; Zhang, Z. Wireless Information and Power Transfer with Full Duplex Relaying. IEEE Trans. Commun. 2014, 62, 3447–3461. [Google Scholar] [CrossRef]
- Laneman, N.; Tse, D.; Wornell, G. Cooperative Diversity in Wireless Networks - Efficient Protocols and Outage Behavior. IEEE Trans. Inf. Theory 2004, 50, 3062–3080. [Google Scholar] [CrossRef]
- Luo, C.; Gong, Y.; Zheng, F. Full Interference Cancellation for Two-Path Relay Cooperative Networks. IEEE Trans. Veh. Technol. 2011, 60, 343–347. [Google Scholar] [CrossRef]
- Li, L.; Poor, H.; Hanzo, L. Non-Coherent Successive Relaying and Cooperation: Principles, Designs, and Applications. IEEE Commun. Surv. Tutor. 2015, 17, 1708–1737. [Google Scholar] [CrossRef]
- Marey, M. Solving IQ Mismatch Problem for Two-Path Successive Relaying OFDMA Uplink Systems with Direct Conversion Transceivers. IEEE Wirel. Commun. Lett. 2019, 8, 33–36. [Google Scholar] [CrossRef]
- Marey, M.; Mostafa, H. Iterative Channel Estimation Algorithm for Downlink MC-CDMA Systems with Two-Path Successive Relaying Transmission. IEEE Commun. Lett. 2019, 23, 668–671. [Google Scholar] [CrossRef]
- Wicaksana, H.; Ting, S.; Ho, C.; Chin, W.; Guan, Y. AF Two-Path Half Duplex Relaying with Inter-Relay Self Interference Cancellation: Diversity Analysis and its Improvement. IEEE Trans. Wirel. Commun. 2009, 8, 4720–4729. [Google Scholar] [CrossRef]
- Rankov, B.; Wittneben, A. Spectral Efficient Protocols for Half Duplex Fading Relay Channels. IEEE J. Sel. Areas Commun. 2007, 25, 379–389. [Google Scholar] [CrossRef]
- Fan, Y.; Thompson, C.W.J.; Poor, H. Recovering Multiplexing Loss through Successive Relaying Using Repetition Coding. IEEE Trans. Wirel. Commun. 2007, 6, 4484–4493. [Google Scholar] [CrossRef]
- Mostafa, H.; Marey, M.; Ahmed, M.; Dobre, O.A. Simplified Maximum-likelihood Detectors for Full-rate Alternate-relaying Cooperative Systems. IET Commun. 2013, 7, 1899–1906. [Google Scholar] [CrossRef]
- Mostafa, H.; Marey, M.; Ahmed, M.H.; Dobre, O.A. Decoding Techniques for Alternate-Relaying Cooperative Systems. EURASIP J. Wirel. Commun. Netw. 2013, 1, 1–13. [Google Scholar] [CrossRef]
- Marey, M.; Mostafa, H.; Alshebeili, S.A.; Dobre, O.A. Iterative Modulation Classification Algorithm for Two-Path Successive Relaying Systems. IEEE Wirel. Commun. Lett. 2021, 10, 2017–2021. [Google Scholar] [CrossRef]
- Marey, M.; Mostafa, H.; Alshebeili, S.A.; Dobre, O.A. Blind Modulation Identification Algorithm For Two-Path Successive Relaying Systems. IEEE Wirel. Commun. Lett. 2021, 10, 2369–2373. [Google Scholar] [CrossRef]
- Feng, X.; Wang, J.; Kuai, X.; Zhou, M.; Sun, H.; Li, J. Message Passing-Based Impulsive Noise Mitigation and Channel Estimation for Underwater Acoustic OFDM Communications. IEEE Trans. Veh. Technol. 2022, 71, 611–625. [Google Scholar] [CrossRef]
- Fernandez, J. Joint Synchronization and Compressive Channel Estimation for Frequency-Selective Hybrid mmWave MIMO Systems. IEEE Trans. Wirel. Commun. 2022, 21, 548–562. [Google Scholar] [CrossRef]
- Marey, M.; Mostafa, H.; Dobre, O.A.; Ahmed, M. Data Detection Algorithms for BICM Alternate-Relaying Cooperative Systems with Multiple-Antenna Destination. IEEE Trans. Veh. Technol. 2016, 65, 3802–3807. [Google Scholar] [CrossRef]
- Marey, M.; Dobre, O.A. Iterative Receiver Design for Uplink OFDMA Cooperative Systems. IEEE Trans. Broadcast. 2016, 62, 936–947. [Google Scholar] [CrossRef]
- Marey, M.; Dobre, O.A.; Inkol, R. Classification of Space-time Block Codes Based on Second-order Cyclostationarity with Transmission Impairments. IEEE Trans. Wirel. Commun. 2012, 11, 2574–2584. [Google Scholar] [CrossRef]
- Marey, M.; Dobre, O.A.; Inkol, R. Cyclostationarity-Based Blind Classification of STBCs for Cognitive Radio Systems. In Proceedings of the IEEE International Conference on Communications, Ottawa, ON, Canada, 10–15 June 2012; pp. 1–6. [Google Scholar]
- Marey, M.; Steendam, H. Novel Data Detection and Channel Estimation Algorithms for BICM OFDMA Uplink Asynchronous Systems in the Presence of IQ Imbalance. IEEE Trans. Wirel. Commun. 2014, 13, 2706–2716. [Google Scholar]
- Marey, M. Low Complexity IQ Mismatch Compensation Algorithm with Channel Awareness for Two-Path Successive Relay Networks. IEEE Commun. Lett. 2018, 22, 1002–1005. [Google Scholar] [CrossRef]
- Marey, M.; Dobre, O.A. Blind Modulation Classification for Alamouti STBC System with Transmission Impairments. IEEE Wirel. Commun. Lett. 2015, 4, 521–524. [Google Scholar] [CrossRef]
- Marey, M.; Guenach, M.; Steendam, H. Code-Aided Channel Tracking and Frequency Offset-Phase Noise Elimination for Multi-Carrier Systems. IEEE Signal Process. Lett. 2008, 15, 657–660. [Google Scholar] [CrossRef]
- Marey, M.; Steendam, H. The Effect of Narrowband Interference on Frequency Ambiguity Resolution for OFDM. In Proceedings of the IEEE Vehicular Technology Conference, Montreal, QC, Canada, 25–28 September 2006; pp. 1–5. [Google Scholar] [CrossRef]
- Bedeer, E.; Marey, M.; Dobre, O.; Baddour, K. Adaptive Bit Allocation for OFDM Cognitive Radio Systems with Imperfect Channel Estimation. In Proceedings of the IEEE Radio and Wireless Symposium, Santa Clara, CA, USA, 15–18 January 2012; pp. 359–362. [Google Scholar] [CrossRef]
Publisher’s Note: MDPI stays neutral with regard to jurisdictional claims in published maps and institutional affiliations. |
© 2022 by the authors. Licensee MDPI, Basel, Switzerland. This article is an open access article distributed under the terms and conditions of the Creative Commons Attribution (CC BY) license (https://creativecommons.org/licenses/by/4.0/).





