Sign in to use this feature.

Years

Between: -

Subjects

remove_circle_outline
remove_circle_outline
remove_circle_outline
remove_circle_outline
remove_circle_outline
remove_circle_outline
remove_circle_outline
remove_circle_outline
remove_circle_outline

Journals

Article Types

Countries / Regions

Search Results (34)

Search Parameters:
Keywords = smartcard

Order results
Result details
Results per page
Select all
Export citation of selected articles as:
40 pages, 87432 KB  
Article
Optimizing Urban Mobility Through Complex Network Analysis and Big Data from Smart Cards
by Li Sun, Negin Ashrafi and Maryam Pishgar
IoT 2025, 6(3), 44; https://doi.org/10.3390/iot6030044 - 6 Aug 2025
Viewed by 824
Abstract
Urban public transportation systems face increasing pressure from shifting travel patterns, rising peak-hour demand, and the need for equitable and resilient service delivery. While complex network theory has been widely applied to analyze transit systems, limited attention has been paid to behavioral segmentation [...] Read more.
Urban public transportation systems face increasing pressure from shifting travel patterns, rising peak-hour demand, and the need for equitable and resilient service delivery. While complex network theory has been widely applied to analyze transit systems, limited attention has been paid to behavioral segmentation within such networks. This study introduces a frequency-based framework that differentiates high-frequency (HF) and low-frequency (LF) passengers to examine how distinct user groups shape network structure, congestion vulnerability, and robustness. Using over 20 million smart-card records from Beijing’s multimodal transit system, we construct and analyze directed weighted networks for HF and LF users, integrating topological metrics, temporal comparisons, and community detection. Results reveal that HF networks are densely connected but structurally fragile, exhibiting lower modularity and significantly greater efficiency loss during peak periods. In contrast, LF networks are more spatially dispersed yet resilient, maintaining stronger intracommunity stability. Peak-hour simulation shows a 70% drop in efficiency and a 99% decrease in clustering, with HF networks experiencing higher vulnerability. Based on these findings, we propose differentiated policy strategies for each user group and outline a future optimization framework constrained by budget and equity considerations. This study contributes a scalable, data-driven approach to integrating passenger behavior with network science, offering actionable insights for resilient and inclusive transit planning. Full article
(This article belongs to the Special Issue IoT-Driven Smart Cities)
Show Figures

Figure 1

16 pages, 2854 KB  
Article
Evaluating the Level of Balance Between Demand and Supply at Bus Stops Using Smartcard Data
by Shin-Hyung Cho
Sustainability 2025, 17(7), 3278; https://doi.org/10.3390/su17073278 - 7 Apr 2025
Cited by 1 | Viewed by 678
Abstract
The efficient operation of urban bus systems necessitates the alignment of service supply with passenger demand. An inadequate supply of services results in passenger inconvenience, whereas excessive supply leads to inefficiencies for operators. This study introduces a performance measure to evaluate the equilibrium [...] Read more.
The efficient operation of urban bus systems necessitates the alignment of service supply with passenger demand. An inadequate supply of services results in passenger inconvenience, whereas excessive supply leads to inefficiencies for operators. This study introduces a performance measure to evaluate the equilibrium between demand and supply at bus stops. The methodology involves deriving cumulative distribution functions (CDFs) of passenger waiting times during peak (High Ridership Period, HRP) and non-peak hours (Non-High Ridership Period, NHRP) using smartcard data. The maximum vertical distance between these CDFs, along with their definite integrals, serves as the basis for the performance metric. Using a reference threshold of 0.16, bus stops are categorized into three groups: those experiencing excessive demand, those operating in a balanced state, and those with insufficient supply during non-peak hours. This method was applied to 1785 bus stops in Seoul, demonstrating that balanced stops exhibited the shortest average waiting times. The analysis also revealed that stops with excessive demand had significantly higher ridership, whereas stops with lower supply showed ambiguous boundaries between the HRP and NHRP. The proposed performance measure offers a valuable tool for assessing and enhancing the service levels of public transport systems. Full article
Show Figures

Figure 1

26 pages, 8253 KB  
Article
Challenge–Response Pair Mechanisms and Multi-Factor Authentication Schemes to Protect Private Keys
by Bertrand Francis Cambou and Mahafujul Alam
Appl. Sci. 2025, 15(6), 3089; https://doi.org/10.3390/app15063089 - 12 Mar 2025
Cited by 2 | Viewed by 1110
Abstract
Crypto wallets store and protect the private keys needed to sign transactions for crypto currencies; they are secured by multi-factor authentication schemes. However, the loss of a wallet, or a dysfunctional factor of authentication, can be catastrophic, as the keys are then lost [...] Read more.
Crypto wallets store and protect the private keys needed to sign transactions for crypto currencies; they are secured by multi-factor authentication schemes. However, the loss of a wallet, or a dysfunctional factor of authentication, can be catastrophic, as the keys are then lost as well as the crypto currencies. Such difficult tradeoffs between the protection of the private keys and factors of authentication that are easy to use are also present in public key infrastructures, banking cards, smartphones and smartcards. In this paper, we present protocols based on novel challenge–response pair mechanisms that protect private keys, while using factors of authentication that can be lost or misplaced without negative consequences. Examples of factors that are analyzed include passwords, tokens, wearable devices, biometry, and blockchain-based non-fungible tokens. In normal operations, the terminal device uses all factors of authentication to retrieve an ephemeral key, decrypt the private key, and finally sign a transaction. With our solution, users can download the software stack into multiple terminal devices, turning all of them into backups. We present a zero-knowledge multi-factor authentication scheme allowing the secure recovery of private keys when one of the factors is lost, such as the token. The challenge–response pair mechanisms also enable a novel key pair generation protocol in which private keys can be kept secret by the user, while a Keystore can securely authenticate the user and transmit the public key to a distributed network. The standardized LWE post-quantum cryptographic CRYSTALS Dilithium protocol was selected in the experimental section. Full article
(This article belongs to the Section Computing and Artificial Intelligence)
Show Figures

Figure 1

23 pages, 883 KB  
Article
SAM-PAY: A Location-Based Authentication Method for Mobile Environments
by Diana Gratiela Berbecaru
Electronics 2025, 14(3), 621; https://doi.org/10.3390/electronics14030621 - 5 Feb 2025
Viewed by 1801
Abstract
Wireless, satellite, and mobile networks are increasingly used in application scenarios to provide advanced services to mobile or nomadic devices. For example, to authenticate mobile users while obtaining access to remote services, a two-factor authentication mechanism is typically used, e.g., based on the [...] Read more.
Wireless, satellite, and mobile networks are increasingly used in application scenarios to provide advanced services to mobile or nomadic devices. For example, to authenticate mobile users while obtaining access to remote services, a two-factor authentication mechanism is typically used, e.g., based on the ownership of a personal mobile phone, device, or (smart)card and the knowledge of a (static) username and password. Nevertheless, two-factor authentication is considered roughly “adequate” for security problems encountered today on the Internet and even less for ubiquitous or mobile environments. To increase the authentication level, several authentication methods of different classes may be combined to achieve more reliable user identification. In particular, location technologies allow ubiquitous applications to better exploit the (physical) location information in the authentication process. Consequently, in security applications based on multiple authentication factors, an additional authentication factor could be the location information protected for integrity against undesired modification. We present the SAM-PAY authentication method, which combines different authentication factors to obtain a more reliable user identification. The mechanism is based on the use of a (location-aware) device, the location information certified by a trusted external party, such as a component or element in a telecom network, and the knowledge of data, like a static PIN and a dynamically generated one-time password. We also describe the design and implementation of a real case scenario exploiting our SAM-PAY method, namely the refueling service at a self-service gas station. The test-bed put in place for this service demonstrates the feasibility and effectiveness of the SAM-PAY method in open mobile environments. Full article
Show Figures

Figure 1

20 pages, 15845 KB  
Article
A Novel Traffic Analysis Zone Division Methodology Based on Individual Travel Data
by Kai Du, Jingni Song, Dan Chen, Ming Li and Yadi Zhu
Appl. Sci. 2025, 15(1), 156; https://doi.org/10.3390/app15010156 - 27 Dec 2024
Viewed by 1192
Abstract
Urban rail transit passenger flow forecasting often relies on the traditional “four-step” method, where the division of traffic analysis zones (TAZs) is critical to ensuring prediction accuracy. As the fundamental units for describing trip origins and destinations, TAZs also encompass socioeconomic attributes such [...] Read more.
Urban rail transit passenger flow forecasting often relies on the traditional “four-step” method, where the division of traffic analysis zones (TAZs) is critical to ensuring prediction accuracy. As the fundamental units for describing trip origins and destinations, TAZs also encompass socioeconomic attributes such as land use, population, and employment. However, traditional TAZs, typically based on administrative boundaries, fail to reflect evolving urban travel behavior, particularly when transit stations are located near TAZ boundaries. Additionally, the emergence of urban big data allows for more refined spatial analyses based on individual travel patterns, addressing the limitations of administrative divisions. This study proposes an innovative TAZ aggregation model based on travel similarity, integrating public transit smart-card data and GIS data from bus networks. First, individual spatiotemporal travel patterns are mapped and discretized in both the spatial and temporal dimensions. Travel characteristic data are then extracted for spatial grid units. The TAZ division problem is defined as a multiobjective optimization problem, including factors such as travel similarity, the homogeneity of travel intensity, the statistical accuracy of the area, geographic information preservation, travel ratio constraints, and shape constraints. Multiple TAZ division schemes are produced and assessed using the Technique for Order Preference by Similarity to Ideal Solution (TOPSIS), resulting in the selection of the optimal scheme. The proposed method is implemented on bus passenger travel data in Beijing, showing that the optimized scheme significantly reduces the number of zones with travel ratios exceeding 10%. Compared with existing schemes, the optimized division yields more uniform distributions of travel ratios, area, and travel density, while significantly minimizing the number of zones with a high travel concentration. These results demonstrate that the proposed method better reflects residents’ actual travel behaviors, offering a notable improvement over traditional approaches. This research provides a novel and practical framework for data-driven TAZ optimization. Full article
Show Figures

Figure 1

21 pages, 1536 KB  
Article
A Practically Secure Two-Factor and Mutual Authentication Protocol for Distributed Wireless Sensor Networks Using PUF
by Jiaqing Mo, Zhihua Zhang and Yuhua Lin
Electronics 2025, 14(1), 10; https://doi.org/10.3390/electronics14010010 - 24 Dec 2024
Cited by 1 | Viewed by 847
Abstract
In a distributed wireless sensor network (DWSN), sensors continuously perceive the environment, collect data, and transmit it to remote users through the network so as to realize real-time monitoring of the environment or specific targets. However, given the openness of wireless channels and [...] Read more.
In a distributed wireless sensor network (DWSN), sensors continuously perceive the environment, collect data, and transmit it to remote users through the network so as to realize real-time monitoring of the environment or specific targets. However, given the openness of wireless channels and the sensitivity of collecting data, designing a robust user authentication protocol to ensure the legitimacy of user and sensors in such DWSN environments faces serious challenges. Most of the current authentication schemes fail to meet some important and often overlooked security features, such as resisting physical impersonation attack, resisting smartcard loss attack, and providing forward secrecy. In this work, we put forward a practically secure two-factor authentication scheme using a physically unclonable function to prevent a physical impersonation attack and sensor node capture attack, utilize Chebyshev chaotic mapping to provide forward secrecy, and improve the efficiency and security of session key negotiation. Furthermore, we use the fuzzy verifier technique to prevent attackers from offline guessing attacks to resist smartcard loss attacks. In addition, a BAN logic proof and heuristic security analysis show that the scheme achieves mutual authentication and key agreement as well as prevents known attacks. A comparative analysis with state-of-the-art schemes shows that the proposal not only achieves desired security features but also maintains better efficiency. Full article
(This article belongs to the Special Issue Emerging Distributed/Parallel Computing Systems)
Show Figures

Figure 1

26 pages, 8539 KB  
Article
Multi-Spatio-Temporal Convolutional Neural Network for Short-Term Metro Passenger Flow Prediction
by Ye Lu, Changjiang Zheng, Shukang Zheng, Junze Ma, Zhilong Wu, Fei Wu and Yang Shen
Electronics 2024, 13(1), 181; https://doi.org/10.3390/electronics13010181 - 30 Dec 2023
Cited by 4 | Viewed by 2233
Abstract
Accurate short-term prediction of metro passenger flow can offer significant assistance in optimizing train schedules, reducing congestion during peak times, and improving the service level of the metro system. Currently, most models do not fully utilize the high-resolution data aggregated by automatic fare [...] Read more.
Accurate short-term prediction of metro passenger flow can offer significant assistance in optimizing train schedules, reducing congestion during peak times, and improving the service level of the metro system. Currently, most models do not fully utilize the high-resolution data aggregated by automatic fare collection systems. Therefore, we propose a model, called MST-GRT, that aggregates multi-time granularity data and considers multi-graph structures. Firstly, we analyze the correlation between metro passenger flow sequences at different time granularities and establish a principle for extracting the spatiotemporal correlation of data at different time granularities using the multi-graph neural network. Subsequently, we use residual blocks to construct a deep convolutional neural network to aggregate the data of different time granularities from small to large, obtaining multi-channel feature maps of multi-time granularity. To process the multi-channel feature maps, we use 2D dilated causal convolution to reconstruct the TCN (Temporal Convolutional Network) to compress the channel number of the feature maps and extract the time dependency of the data, and finally output the results through a fully connected layer. The experimental results demonstrate that our model outperforms the baseline models on the Hangzhou Metro smart-card data set. Full article
(This article belongs to the Special Issue Applications of Deep Learning Techniques)
Show Figures

Figure 1

26 pages, 9931 KB  
Article
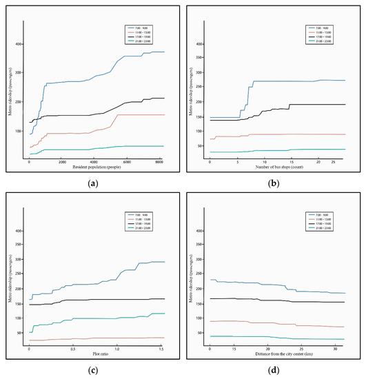
Understanding the Spatiotemporal Impacts of the Built Environment on Different Types of Metro Ridership: A Case Study in Wuhan, China
by Hong Yang, Jiandong Peng, Yuanhang Zhang, Xue Luo and Xuexin Yan
Smart Cities 2023, 6(5), 2282-2307; https://doi.org/10.3390/smartcities6050105 - 29 Aug 2023
Cited by 8 | Viewed by 2129
Abstract
As the backbone of passenger transportation in many large cities around the world, it is particularly important to explore the association between the built environment and metro ridership to promote the construction of smart cities. Although a large number of studies have explored [...] Read more.
As the backbone of passenger transportation in many large cities around the world, it is particularly important to explore the association between the built environment and metro ridership to promote the construction of smart cities. Although a large number of studies have explored the association between the built environment and metro ridership, they have rarely considered the spatial and temporal heterogeneity between metro ridership and the built environment. Based on metro smartcard data, this study used EM clustering to classify metro stations into five clusters based on the spatiotemporal travel characteristics of the ridership at metro stations. And the GBDT model in machine learning was used to explore the nonlinear association between the built environment and the ridership of different types of stations during four periods in a day (morning peak, noon, evening peak, and night). The results confirm the obvious spatial heterogeneity of the built environment’s impact on the ridership of different types of stations, as well as the obvious temporal heterogeneity of the impact on stations of the same type. In addition, almost all built environment factors have complex nonlinear effects on metro ridership and exhibit obvious threshold effects. It is worth noting that these findings will help the correct decisions be made in constructing land use measures that are compatible with metro functions in smart cities. Full article
(This article belongs to the Section Smart Transportation)
Show Figures

Figure 1

16 pages, 674 KB  
Article
Toward Designing a Secure Authentication Protocol for IoT Environments
by Mehdi Hosseinzadeh, Mazhar Hussain Malik, Masoumeh Safkhani, Nasour Bagheri, Quynh Hoang Le, Lilia Tightiz and Amir H. Mosavi
Sustainability 2023, 15(7), 5934; https://doi.org/10.3390/su15075934 - 29 Mar 2023
Cited by 6 | Viewed by 3008
Abstract
Authentication protocol is a critical part of any application to manage the access control in many applications. A former research recently proposed a lightweight authentication scheme to transmit data in an IoT subsystem securely. Although the designers presented the first security analysis of [...] Read more.
Authentication protocol is a critical part of any application to manage the access control in many applications. A former research recently proposed a lightweight authentication scheme to transmit data in an IoT subsystem securely. Although the designers presented the first security analysis of the proposed protocol, that protocol has not been independently analyzed by third-party researchers, to the best of our knowledge. On the other hand, it is generally agreed that no cryptosystem should be used in a practical application unless its security has been verified through security analysis by third parties extensively, which is addressed in this paper. Although it is an efficient protocol by design compared to other related schemes, our security analysis identifies the non-ideal properties of this protocol. More specifically, we show that this protocol does not provide perfect forward secrecy. In addition, we show that it is vulnerable to an insider attacker, and an active insider adversary can successfully recover the shared keys between the protocol’s entities. In addition, such an adversary can impersonate the remote server to the user and vice versa. Next, the adversary can trace the target user using the extracted information. Finally, we redesign the protocol such that the enhanced protocol can withstand all the aforementioned attacks. The overhead of the proposed protocol compared to its predecessor is only 15.5% in terms of computational cost. Full article
Show Figures

Figure 1

8 pages, 1276 KB  
Review
Smart-Card Technology for the Dental Management of Medically Complex Patients
by Mohammed Alshehri, Abdullah Alamri, Mohammed Alghamdi, Rakan Nazer and Omar Kujan
Healthcare 2022, 10(11), 2314; https://doi.org/10.3390/healthcare10112314 - 18 Nov 2022
Cited by 3 | Viewed by 4142
Abstract
Smart-card technology is believed to help healthcare industries in several ways, since it minimizes risks and medical errors, enables accurate patient identification, reduces administrative costs, improves efficiency, and facilitates prompt delivery of care to patients. The present study aims to highlight the adoption [...] Read more.
Smart-card technology is believed to help healthcare industries in several ways, since it minimizes risks and medical errors, enables accurate patient identification, reduces administrative costs, improves efficiency, and facilitates prompt delivery of care to patients. The present study aims to highlight the adoption of a newly designed dental smart card for medically complex patients. The present smart card is an advance in patient identification, using a quick-response (QR) code to automatically report or receive certain types of responses from patients or physicians once illuminated by signals from QR readers. Further, the card provides general information about the patient’s condition and physical details. The card is pocket sized and can be carried easily by the patient anywhere, alongside a digital copy of the card. Full article
Show Figures

Figure 1

15 pages, 1457 KB  
Article
Sustainable Mobility as a Service: Demand Analysis and Case Studies
by Giuseppe Musolino
Information 2022, 13(8), 376; https://doi.org/10.3390/info13080376 - 5 Aug 2022
Cited by 29 | Viewed by 4524
Abstract
Urban mobility is evolving today towards the concept of Mobility as a Service (MaaS). MaaS allows passengers to use different transport services as a single option, by using a digital platform. Therefore, according to the MaaS concept, the mobility needs of passengers are [...] Read more.
Urban mobility is evolving today towards the concept of Mobility as a Service (MaaS). MaaS allows passengers to use different transport services as a single option, by using a digital platform. Therefore, according to the MaaS concept, the mobility needs of passengers are the central element of the transport service. The objective of this paper is to build an updated state-of-the-art of the main disaggregated and aggregated variables connected to travel demand in presence of MaaS. According to the above objective, this paper deals with methods and case studies to analyze passengers’ behaviour in the presence of MaaS. The methods described rely on the Transportation System Models (TSMs), in particular with the travel demand modelling component. The travel demand may be estimated by means of disaggregated, or sample, surveys (e.g., individual choices) and of aggregate surveys (e.g., characteristics of the area, traffic flows). The surveys are generally supported by Information Communication System (ICT) tools, such as: smartphones; smartcards; Global Position Systems (GPS); points of interest. The analysis of case studies allows to aggregate the existing scientific literature according to some criteria: the choice dimension of users (e.g., mode, bundle and path, or a combination of them); the characteristics of the survey (e.g., revealed preferences or stated preferences); the presence of behavioural theoretical background and of calibrated choice model(s). Full article
Show Figures

Figure 1

11 pages, 1414 KB  
Article
The Effect of a Product Placement Intervention on Pupil’s Food and Drink Purchases in Two Secondary Schools: An Exploratory Study
by Suzanne Spence, John N. S. Matthews, Lorraine McSweeney, Ashley J. Adamson and Jennifer Bradley
Nutrients 2022, 14(13), 2626; https://doi.org/10.3390/nu14132626 - 24 Jun 2022
Cited by 6 | Viewed by 2601
Abstract
Limited research exists on the effectiveness of product placement in secondary schools. We explored the impact of re-positioning sweet-baked goods, fruit, sugar-sweetened beverages (SSBs) and water on pupil’s lunchtime purchases in two secondary schools in North-East England. We employed a stepped-wedge design with [...] Read more.
Limited research exists on the effectiveness of product placement in secondary schools. We explored the impact of re-positioning sweet-baked goods, fruit, sugar-sweetened beverages (SSBs) and water on pupil’s lunchtime purchases in two secondary schools in North-East England. We employed a stepped-wedge design with two clusters and four time periods. The intervention(s) involved re-positioning selected food and drinks to increase and decrease accessibility of ‘healthier’ and ‘less healthy’ items, respectively. Unidentifiable smartcard data measured the change in number of pupil’s purchasing the above items. McNemar tests were undertaken on paired nominal data in Stata(v15). In School A, pupils purchasing fruit pots from control to intervention increased (n = 0 cf. n = 81; OR 0, 95% CI 0 to 0.04); post-intervention, this was not maintained. In School B, from control to intervention pupil’s purchasing sweet-baked goods decreased (n = 183 cf. n = 147; OR 1.2, 95% CI 1 to 1.6). This continued post-intervention (n = 161 cf. n = 122; OR 1.3, 95% CI 1.0 to 1.7) and was similar for SSBs (n = 180 cf. n = 79; OR 2.3, 95% CI 1.7 to 3.0). We found no evidence of other changes. There is some evidence that product placement may positively affect pupil’s food and drink purchases. However, there are additional aspects to consider, such as, product availability, engaging canteen staff and the individual school context. Full article
(This article belongs to the Special Issue Nutrition Environment and Children’s Eating Behavior and Health)
Show Figures

Figure 1

16 pages, 4389 KB  
Article
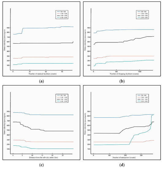
The Impact of Built Environment Factors on Elderly People’s Mobility Characteristics by Metro System Considering Spatial Heterogeneity
by Hong Yang, Zehan Ruan, Wenshu Li, Huanjie Zhu, Jie Zhao and Jiandong Peng
ISPRS Int. J. Geo-Inf. 2022, 11(5), 315; https://doi.org/10.3390/ijgi11050315 - 19 May 2022
Cited by 23 | Viewed by 3883
Abstract
This study used metro smart-card data from Wuhan, China, and explored the impact of the built environment on the metro ridership and station travel distance of elderly people using geographically weighted regression (GWR). First, our results show that elderly ridership at transfer stations [...] Read more.
This study used metro smart-card data from Wuhan, China, and explored the impact of the built environment on the metro ridership and station travel distance of elderly people using geographically weighted regression (GWR). First, our results show that elderly ridership at transfer stations is significantly higher than that at non-transfer stations. The building floor area ratio and the number of commercial facilities positively impact elderly ridership, while the number of road intersections and general hospitals has the opposite impact, of which factors show significant heterogeneity. Second, our results show that the average travel distance of terminal stations is significantly higher than that of non-terminal stations, and the average travel distance of non-transfer stations is higher than that of transfer stations. The distance of stations from the subcenter and building volume ratio have a positive effect, while station opening time and betweenness centrality have a negative effect. Our findings may provide insights for the optimization of land use in the built environment of age-friendly metros, help in the formulation of relevant policies to enhance elderly mobility, and provide a reference for other similar cities. Full article
Show Figures

Figure 1

19 pages, 2043 KB  
Article
An Intelligent Time-Series Model for Forecasting Bus Passengers Based on Smartcard Data
by Ching-Hsue Cheng, Ming-Chi Tsai and Yi-Chen Cheng
Appl. Sci. 2022, 12(9), 4763; https://doi.org/10.3390/app12094763 - 9 May 2022
Cited by 6 | Viewed by 3796
Abstract
Public transportation systems are an effective way to reduce traffic congestion, air pollution, and energy consumption. Today, smartcard technology is used to shorten the time spent boarding/exiting buses and other types of public transportation; however, this does not alleviate all traffic congestion problems. [...] Read more.
Public transportation systems are an effective way to reduce traffic congestion, air pollution, and energy consumption. Today, smartcard technology is used to shorten the time spent boarding/exiting buses and other types of public transportation; however, this does not alleviate all traffic congestion problems. Accurate forecasting of passenger flow can prevent serious bus congestion and improve the service quality of the transportation system. To the best of the current authors’ knowledge, fewer studies have used smartcard data to forecast bus passenger flow than on other types of public transportation, and few studies have used time-series lag periods as forecast variables. Therefore, this study used smartcard data from the bus system to identify important variables that affect passenger flow. These data were combined with other influential variables to establish an integrated-weight time-series forecast model. For different time data, we applied four intelligent forecast methods and different lag periods to analyze the forecasting ability of different daily data series. To enhance the forecast ability, we used the forecast data from the top three of the 80 combined forecast models and adapted their weights to improve the forecast results. After experiments and comparisons, the results show that the proposed model can improve passenger flow forecasting based on three bus routes with three different series of time data in terms of root-mean-square error (RMSE) and mean absolute percentage error (MAPE). In addition, the lag period was found to significantly affect the forecast results, and our results show that the proposed model is more effective than other individual intelligent forecast models. Full article
(This article belongs to the Topic Artificial Intelligence (AI) Applied in Civil Engineering)
Show Figures

Figure 1

19 pages, 2954 KB  
Article
Identification of Metro-Bikeshare Transfer Trip Chains by Matching Docked Bikeshare and Metro Smartcards
by Xinwei Ma, Shuai Zhang, Yuchuan Jin, Minqing Zhu and Yufei Yuan
Energies 2022, 15(1), 203; https://doi.org/10.3390/en15010203 - 29 Dec 2021
Cited by 5 | Viewed by 2502
Abstract
Metro-bikeshare integration, an important way of improving the efficiency of public transportation, has grown rapidly during the last decades in many countries. However, most previous analysis of metro-bikeshare transfer trips were based on limited sample size and the number of recognized metro-bikeshare trips [...] Read more.
Metro-bikeshare integration, an important way of improving the efficiency of public transportation, has grown rapidly during the last decades in many countries. However, most previous analysis of metro-bikeshare transfer trips were based on limited sample size and the number of recognized metro-bikeshare trips were not sufficient. The primary objective of this study is to derive a method to recognize metro-bikeshare transfer trips. The two data sources are provided by Nanjing Metro Company and Nanjing Public Bicycle Company over the same period from 9–29 March 2016. The identifying method includes three steps: (1) Matching Card Pairs (2) Filtering Card Pairs and (3) Identifying Card Pairs. The case study indicates that the Support Vector Classification (SVC) performs best with a high prediction accuracy of 95.9% using seamless smartcards. The identifying method is then used to recognize the transfer trips from other types of cards, resulting in 17,022 valid metro-bikeshare transfer trips made by 2948 travelers. Finally, travel patterns extracted from the two groups of identified transfer trips are analyzed comparatively. The method proposed presents new opportunities for analyzing metro-bikeshare transfer trip characteristics. Full article
(This article belongs to the Topic Sustainable Built Environment)
Show Figures

Figure 1

Back to TopTop