Sign in to use this feature.

Years

Between: -

Subjects

remove_circle_outline
remove_circle_outline
remove_circle_outline
remove_circle_outline
remove_circle_outline
remove_circle_outline
remove_circle_outline

Journals

remove_circle_outline
remove_circle_outline
remove_circle_outline
remove_circle_outline
remove_circle_outline
remove_circle_outline
remove_circle_outline
remove_circle_outline
remove_circle_outline
remove_circle_outline
remove_circle_outline
remove_circle_outline
remove_circle_outline
remove_circle_outline

Article Types

Countries / Regions

remove_circle_outline
remove_circle_outline
remove_circle_outline
remove_circle_outline
remove_circle_outline

Search Results (986)

Search Parameters:
Keywords = small interfering RNAs

Order results
Result details
Results per page
Select all
Export citation of selected articles as:
19 pages, 3173 KB  
Article
Anti-Angiogenic RNAi-Based Treatment of Endometriosis in a Rat Model Using CXCR4-Targeted Peptide Nanoparticles
by Anna Egorova, Svetlana Freund, Iuliia Krylova, Anastasia Kislova and Anton Kiselev
Int. J. Mol. Sci. 2025, 26(21), 10582; https://doi.org/10.3390/ijms262110582 - 30 Oct 2025
Abstract
Endometriosis is a common gynecological condition that affects fertility in many women of reproductive age worldwide. This multifaceted disease exhibits a pathogenesis characterized by hormonal and immune system dysregulations, alongside increased angiogenic activity within the peritoneum. The aberrant proliferation of endometrial tissue outside [...] Read more.
Endometriosis is a common gynecological condition that affects fertility in many women of reproductive age worldwide. This multifaceted disease exhibits a pathogenesis characterized by hormonal and immune system dysregulations, alongside increased angiogenic activity within the peritoneum. The aberrant proliferation of endometrial tissue outside the uterus is associated with vascularization in ectopic endometriotic lesions. Consequently, RNA interference (RNAi)-based angiogenic therapies targeting the VEGFA gene present a promising strategy for the treatment of endometriosis. To ensure the efficacy of RNAi-based therapy, it is critical to develop carriers capable of precisely delivering small interfering RNA (siRNA) to target cells. Additionally, the instability of polyplexes in vivo must be regarded as a pivotal aspect influencing the success of non-viral delivery. In this study, we introduce ternary polyplexes comprising siRNA and a carrier derived from an arginine–histidine-rich peptide, which is further coated with a glutamate–histidine-rich polymer modified using an SDF-1 chemokine-derived ligand for targeting CXCR4-expressing cells. The physicochemical characteristics of the siRNA-polyplexes, along with cellular toxicity and GFP gene silencing efficacy, were assessed in vitro. The anti-angiogenic potential of anti-VEGFA siRNA-polyplexes was evaluated by measuring the size of endometrial lesions, conducting immunohistochemical staining, and analyzing VEGFA gene expression. For in vivo experiment, a rat model of endometriosis induced by subcutaneous auto-transplantation of uterine tissue was utilized. A significant reduction in the growth of endometriotic implants and silencing of VEGFA gene expression was observed when compared to the saline-treated control group. The results of this study strongly suggest that the developed ternary polyplexes have significant potential as an efficient tool for the development of anti-angiogenic RNAi-based therapies for endometriosis. Full article
(This article belongs to the Section Molecular Nanoscience)
Show Figures

Figure 1

11 pages, 839 KB  
Article
Association Between FOXP3 and OX40 Expression in Adult T-Cell Leukemia Cells
by Mariko Mizuguchi, Yoshiaki Takahashi, Reiko Tanaka, Naoki Imaizumi, Akio Yamashita, Nobuko Matsushita, Takuya Fukushima and Yuetsu Tanaka
Viruses 2025, 17(11), 1445; https://doi.org/10.3390/v17111445 - 30 Oct 2025
Abstract
Since forkhead box P3 (FOXP3) is a hallmark of regulatory T (Treg) cells, the expansion of FOXP3+ adult T-cell leukemia/lymphoma (ATL) cells is believed to contribute to immune suppression and the pathogenesis of ATL. However, the mechanisms underlying the expansion of FOXP3 [...] Read more.
Since forkhead box P3 (FOXP3) is a hallmark of regulatory T (Treg) cells, the expansion of FOXP3+ adult T-cell leukemia/lymphoma (ATL) cells is believed to contribute to immune suppression and the pathogenesis of ATL. However, the mechanisms underlying the expansion of FOXP3+ ATL cells remain unclear. OX40, a co-stimulatory molecule, is expressed in ATL cells, and OX40 signaling has been shown to promote the differentiation and proliferation of Treg cells in mouse models. To investigate the mechanisms driving the expansion of FOXP3+ ATL cells, we examined the expression of OX40 and its ligand, OX40L. Our findings revealed that OX40 expression was elevated in patients with ATL and with a high frequency of FOXP3+ ATL cells. Flow cytometric analysis of peripheral blood mononuclear cells (PBMCs) from patients with acute ATL cultured for 18 h demonstrated that FOXP3 and FOXP3+ cells predominantly expressed OX40L and OX40, respectively. Furthermore, small interfering RNA-mediated FOXP3 knockdown in HTLV-1-infected cell lines increased OX40L expression. These results suggest that interactions between FOXP3 OX40L+ cells and FOXP3+ OX40+ cells may promote the proliferation of FOXP3+ ATL cells. Full article
(This article belongs to the Section Human Virology and Viral Diseases)
Show Figures

Figure 1

69 pages, 2853 KB  
Review
Small Interfering RNA Carriers for Oncotherapy: A Preclinical Overview
by Liliana Aranda-Lara, Alondra Escudero-Castellanos, Maydelid Trujillo-Nolasco, Enrique Morales-Avila, Blanca Ocampo-García, Rigoberto Oros-Pantoja, Virginia Sánchez-Monroy and Keila Isaac-Olivé
Pharmaceutics 2025, 17(11), 1408; https://doi.org/10.3390/pharmaceutics17111408 - 30 Oct 2025
Abstract
Introduction: Gene therapy using siRNA is a current area of research in oncology. Although siRNA formulations have not yet been approved for cancer therapy, numerous studies have demonstrated their therapeutic potential for tumor remission. Objective: To provide an overview of the [...] Read more.
Introduction: Gene therapy using siRNA is a current area of research in oncology. Although siRNA formulations have not yet been approved for cancer therapy, numerous studies have demonstrated their therapeutic potential for tumor remission. Objective: To provide an overview of the formulations designed and developed to date based on synthetic siRNA for systemic administration to silence cancer genes. Methodology: A thorough search was conducted using the keywords “siRNA”, “therapy”, and “cancer”, with further classification of the resulting works into the various topics addressed in this review. Results: This review encompasses a wide range of aspects, from the design of siRNA using bioinformatics tools to the primary cellular signals and mechanisms targeted for inhibition in cancer therapy. It describes the primary chemical modifications made to siRNA chains to enhance stability, improve bioavailability, and ensure their binding to nanocarrier systems. siRNA formulations ranging from simple conjugates with biomolecules and small molecules to organic, inorganic, and hybrid nanoparticles, which are examined focusing on their advantages and disadvantages. The significance of nanosystems in dual therapy, including siRNA, for developing personalized treatments that achieve better outcomes is emphasized. Conclusions: Personalized cancer therapy appears to be the preferred approach for oncological treatments. To progress, strategies need to be tailored to the patient’s genetic profile. siRNA therapies provide a flexible platform for targeting and inhibiting critical oncogenes, enhancing the prospects of genomics-guided, patient-specific therapies. Full article
12 pages, 2311 KB  
Article
HC-Pro Disrupts miR319–TCP Regulatory Pathways to Induce Sterility in Transgenic Plants
by Taicheng Jin, Weiyan Wang, Jiaxue Yu, Zhuyi Xiao, Yushuo Li, Xu Sun and Liping Yang
Int. J. Mol. Sci. 2025, 26(21), 10551; https://doi.org/10.3390/ijms262110551 - 30 Oct 2025
Viewed by 36
Abstract
Helper component-proteinase (HC-Pro), encoded by tobacco vein banding mosaic virus (TVBMV), can cause various viral symptoms and even abortion. HC-Pro counteracts host-mediated inhibition by interfering with the accumulation of microRNAs (miRNAs) and small interfering RNAs (siRNAs). However, it is unclear whether the abortion [...] Read more.
Helper component-proteinase (HC-Pro), encoded by tobacco vein banding mosaic virus (TVBMV), can cause various viral symptoms and even abortion. HC-Pro counteracts host-mediated inhibition by interfering with the accumulation of microRNAs (miRNAs) and small interfering RNAs (siRNAs). However, it is unclear whether the abortion phenotype of transgenic plants expressing HC-Pro is related to the abnormal expression of TEOSINTE BRANCHED 1/CYCLOIDEA/PROLIFERATING cell factors (TCPs), which are involved in regulating fertility. In this study, the molecular mechanisms through which HC-Pro causes various sterile phenotypes in plants were investigated. Reverse transcription–quantitative polymerase chain reaction (RT–qPCR) and Northern blotting revealed that in HC-Pro transgenic plants, the expression levels of TCP4 and TCP24 significantly increased. The increased expression of TCP4 further upregulated LIPOXYGENASE2 (LOX2), a gene encoding a key enzyme in the synthesis of jasmonic acid (JA) precursors. Further studies confirmed that the aberrant expression of TCP3, TCP4 and TCP24 blocks the elongation of petals and anthers and that the aberrant expression of TCP4 and TCP24 blocks the release of pollen. This study demonstrated that HC-Pro affects the expression levels of the miR319-targeted genes TCP2, TCP3, TCP4, TCP10 and TCP24, thereby affecting the normal development of floral organs and resulting in plant abortion. Both tobacco and Arabidopsis thaliana were used as model systems in this study on virus-mediated fertility, which provides important information for understanding how viral pathogenicity affects the regulation of fertility in crops. Full article
Show Figures

Figure 1

12 pages, 4047 KB  
Article
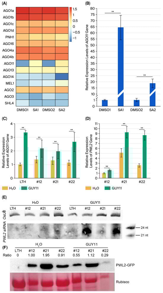
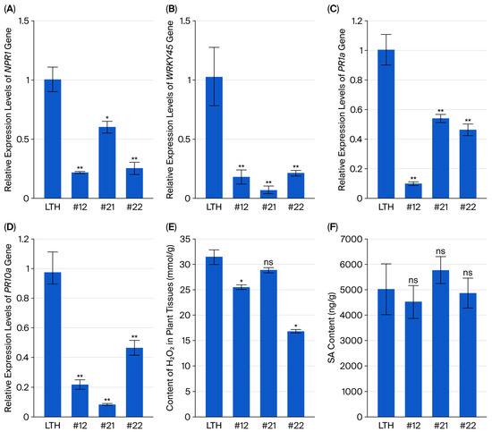
Heterologous Overexpression of Magnaporthe oryzae Effector PWL2 Enhances Rice Blast Resistance via SA-Mediated and PWL2-Derived siRNA Defense
by Xiaoqian Sun, Qijing Fu, Lixia Wu, Yu Yang, Hao Luo, Qian Dong, Saijie Li, Yiting Zhao, Xuan Zhou, Suqin Xiao, Jinlu Li, Zaiquan Cheng, Sheng Peng, Qiaofang Zhong and Yunlong Du
Plants 2025, 14(21), 3312; https://doi.org/10.3390/plants14213312 - 30 Oct 2025
Viewed by 102
Abstract
Fungal effectors play an important role in plant immunity. The Magnaporthe oryzae effector PWL2 plays a significant role in rice blast disease caused by this fungus. However, the function of PWL2 in rice immunity is not fully understood. In this study, transgenic rice [...] Read more.
Fungal effectors play an important role in plant immunity. The Magnaporthe oryzae effector PWL2 plays a significant role in rice blast disease caused by this fungus. However, the function of PWL2 in rice immunity is not fully understood. In this study, transgenic rice lines overexpressing PWL2 showed resistance to rice blast. Subcellular localization showed that PWL2-GFP fusion protein is localized on the plasma membrane and cytoplasm. Salicylic acid (SA) induces rice resistance to M. oryzae. Notably, the expression of the NPR1 gene exhibited a rhythmic pattern during the early stages of M. oryzae infection in the transgenic rice lines. However, during later stages of infection, transgenic plants showed reduced levels of the NPR1, WRKY45, PR1a and PR10a genes, along with decreased H2O2 accumulation, while SA levels remained unchanged. Transcriptome analysis revealed that SA treatment induced the expression of the ARGONAUTE11 (AGO11) gene in rice. Furthermore, during the later infection stage in the transgenic rice lines, the expression levels of both AGO11 and PWL2 genes increased. Intriguingly, PWL2-derived small interfering RNAs (siRNA) were detected in these transgenic rice lines. It suggests that both the SA signaling pathway and PWL2-derived siRNAs function in rice resistance to blast disease caused by M. oryzae. Full article
(This article belongs to the Special Issue Plant–Microbe Interaction)
Show Figures

Figure 1

19 pages, 3171 KB  
Article
Cardiac Circular RNAs CDR1as, Circ-RCAN2, Circ-C12orf29 Show Cell-Specific Hypoxia-Induced Dysregulation and Distinct In Vitro Effects
by Ena Hasimbegovic, Dominika Lukovic, Nina Kastner, Benedikt S. Hofer, Andreas Spannbauer, Denise Traxler, Julia Mester-Tonczar, Kevin Hamzaraj, Emilie Han, Martin Riesenhuber, Babette Maleiner, Katrin Müller-Zlabinger and Mariann Gyöngyösi
Int. J. Mol. Sci. 2025, 26(21), 10334; https://doi.org/10.3390/ijms262110334 - 23 Oct 2025
Viewed by 231
Abstract
Circular RNAs (circRNAs) are looped RNA molecules with regulatory roles in myocardial infarction and post-infarction cascades. We aimed to (i) confirm the circularity of novel circRNAs (CDR1as, circ-RCAN2, circ-C12orf29) implicated in myocardial infarction, (ii) examine cell-specific regulation patterns under hypoxia, and (iii) assess [...] Read more.
Circular RNAs (circRNAs) are looped RNA molecules with regulatory roles in myocardial infarction and post-infarction cascades. We aimed to (i) confirm the circularity of novel circRNAs (CDR1as, circ-RCAN2, circ-C12orf29) implicated in myocardial infarction, (ii) examine cell-specific regulation patterns under hypoxia, and (iii) assess their effects on cell viability and downstream miRNA targets. Experiments were conducted on porcine cardiac progenitor cells (pCPCs), bone marrow mesenchymal stem cells (pMSCs) and cardiac fibroblasts (pCFs). Circularity was assessed by RNase R treatment, subsequent qPCR, gel electrophoresis and Sanger sequencing. Hypoxia experiments with/without serum deprivation mimicked ischemia. Effects on viability with/without hypoxia (MTT assay) and downstream miRNA targets were assessed via short interfering RNA (siRNA)-mediated knockdown of circ-RCAN2 and circ-C12orf29. Following RNase R treatment, qPCR product electrophoresis demonstrated amplification of singular products for all circRNAs, with backsplice junction amplification confirmed via Sanger sequencing. Serum deprivation and hypoxia resulted in cell-specific circRNA expression patterns, with an upregulation of all candidates in pCPCs across all intervals of hypoxia, an upregulation of circ-RCAN2 and circ-C12orf29 in pMSCs with prolonged hypoxia, and no detectable dysregulation in pCFs. siRNA knockdown of circ-RCAN2 reduced pCF- and increased pMSC-viability. circ-C12orf29 knockdown increased pCPC- and reduced pMSC-viability. circ-C12orf29 knockdown also upregulated ssc-miR-21-5p and ssc-miR-181c in pCPCs, with no detectable targets for circ-RCAN2. In conclusion, CDR1as, circ-RCAN2 and circ-C12orf29 are circular and dysregulated in a time- and cell-type-specific manner following hypoxia. circ-RCAN2 and circ-C12orf29 exhibit cell-type specific effects on viability, with circ-C12orf29 also targeting downstream miRNAs. Full article
(This article belongs to the Section Molecular Biology)
Show Figures

Graphical abstract

17 pages, 982 KB  
Review
The Role of Gene Therapy and RNA-Based Therapeutic Strategies in Diabetes
by Mustafa Tariq Khan, Reem Emad Al-Dhaleai, Sarah M. Alayadhi, Zainab Alhalwachi and Alexandra E. Butler
Int. J. Mol. Sci. 2025, 26(21), 10264; https://doi.org/10.3390/ijms262110264 - 22 Oct 2025
Viewed by 408
Abstract
Gene therapy and RNA (ribonucleic acid)-based therapeutic strategies have emerged as promising alternatives to conventional diabetes treatments, significantly expanding the therapeutic landscape using viral and non-viral vectors, and RNA modalities such as mRNA (messenger ribonucleic acid), siRNA (small interfering ribonucleic acid) and miRNA [...] Read more.
Gene therapy and RNA (ribonucleic acid)-based therapeutic strategies have emerged as promising alternatives to conventional diabetes treatments, significantly expanding the therapeutic landscape using viral and non-viral vectors, and RNA modalities such as mRNA (messenger ribonucleic acid), siRNA (small interfering ribonucleic acid) and miRNA (micro ribonucleic acid). Recent advancements in these fields have led to notable preclinical successes and ongoing clinical trials, yet they are accompanied by debates over safety, efficacy and ethical considerations that underscore the complexity of clinical translation. This review offers a comprehensive analysis of the underlying mechanisms by which these treatments target diabetes, critically evaluating the fundamental concepts and mechanistic insights that form their basis, while highlighting current research gaps, such as the challenges in long-term stability and efficient delivery of RNA-based therapies, and potential adverse effects associated with gene therapy techniques. By synthesizing diverse perspectives and controversies, the review outlines future directions and interdisciplinary approaches aimed at overcoming existing hurdles, ultimately setting the stage for innovative, personalized diabetes management and addressing the broader clinical and regulatory implications of these emerging therapeutic strategies. Full article
Show Figures

Figure 1

47 pages, 22552 KB  
Article
Exosomes from Adipose Tissue Mesenchymal Stem Cells, a Preliminary Study for In Vitro and In Vivo Application
by Thao Duy Huynh, Ciro Gargiulo Isacco, Quan Thai Minh Ngo, Binh Thanh Nguyen, Tuan Ngoc Huu Nguyen, Tri Minh Dang Bui, Vinh Minh Ngo, Ky Quoc Truong, Tro Van Chau, Hoa Cong Truong, Kieu Diem Cao Nguyen, Emilio Jirillo, Van Hung Pham, Luigi Santacroce and Toai Cong Tran
Bioengineering 2025, 12(10), 1129; https://doi.org/10.3390/bioengineering12101129 - 21 Oct 2025
Viewed by 540
Abstract
Mesenchymal stem cells (MSCs), particularly their secreted exosomes, small microvesicles, represent a major focus in regenerative medicine due to their therapeutic potential. Exosomes exhibit growth factors and cytokines and are loaded with microRNAs (miRNA) and short interfering RNA (siRNA) that can be transferred [...] Read more.
Mesenchymal stem cells (MSCs), particularly their secreted exosomes, small microvesicles, represent a major focus in regenerative medicine due to their therapeutic potential. Exosomes exhibit growth factors and cytokines and are loaded with microRNAs (miRNA) and short interfering RNA (siRNA) that can be transferred to other cells, potentially affecting their function. Exosomes are crucial mediators of intercellular communication, are immunomodulatory, and are promoters of tissue regeneration. Despite their promise, the standardized methods for exosome isolation and characterization remain weak. This exploratory study addresses this gap by detailing an effective method for isolating exosomes from adipose tissue mesenchymal stem cells (AT-MSCs), emphasizing precipitation as a technique yielding a high efficiency and purity compared to other methods. Functionally, we aimed to confirm the AT-MSC exosomes’ ability to exert an effective protective activity on the skin and its main components, such as fibroblasts, collagen, and elastin. To achieve this goal, we had to demonstrate that AT-MSC exosomes are safe and free of toxic substances. They can express specific proteins such as CD9, CD63, and CD81, which are well-known exosome markers. These exosomes also contain key miRNAs, including miRNA-203 A, miRNA-203 B, and miRNA-3196, important for skin regeneration, as well as enhancers of cell integrity and proliferation. We eventually confirmed the ability of exosomes to exert protective and recovery effects on fibroblasts after H2O2-induced damage in vitro, as well as on mouse skin after UVB-induced damage in vivo. These effects were verified by measuring levels of reactive oxidative species (ROS), assessing SA-β-Galactosidase (SA-β-Gal) activity, analyzing the cell cycle, evaluating the telomere length of fibroblasts by RT-PCR, and conducting histological assessments of collagen and elastin structure in murine skin after UVB exposure. This exploratory work provides valuable insights into the isolation, characterization, and bioactive and reparative properties of exosomes from AT-MSCs, supporting their development for future studies and therapeutic applications. Full article
Show Figures

Figure 1

19 pages, 1224 KB  
Article
Loop-Structured PEG-Lipoconjugate Enhances siRNA Delivery Mediated by Liner-PEG Containing Liposomes
by Daniil V. Gladkikh, Elena V. Shmendel, Darya M. Makarova, Mikhail A. Maslov, Marina A. Zenkova and Elena L. Chernolovskaya
Molecules 2025, 30(20), 4127; https://doi.org/10.3390/molecules30204127 - 19 Oct 2025
Viewed by 311
Abstract
Therapeutics involving small interfering RNA (siRNA) have enormous potential for treating a number of diseases, but their effective delivery to target cells remains a major challenge. We studied the influence of the structure and combination of targeted (folate conjugated, F13) and shield lipoconjugates [...] Read more.
Therapeutics involving small interfering RNA (siRNA) have enormous potential for treating a number of diseases, but their effective delivery to target cells remains a major challenge. We studied the influence of the structure and combination of targeted (folate conjugated, F13) and shield lipoconjugates (P1500, diP1500) on the ability of cationic liposomal formulations based on the 2X3-DOPE system to deliver siRNA into cells in vitro and in vivo. The loop-structured PEG lipoconjugate equipped with two hydrophobic anchor groups (diP1500) demonstrated superior performance across multiple evaluation criteria. The F13/diP1500 composition maintained a compact particle size (126.0 ± 23.0 nm), while F13/P1500 with the same PEG chain equipped with one anchor group maintained an increased particle size of 241.8 ± 65.7 nm. Most critically, F13/diP1500 preserved substantial positive surface charges (21.6–30.5 mV) across all N/P ratios, demonstrating superior ability in avoid the “PEG dilemma”, whereas F13/P1500 suffered substantial charge neutralization (3.9–9.1 mV). Competitive inhibition with free folate confirmed receptor-mediated cellular accumulation of siRNA mediated by F13 containing liposomal compositions. In vivo biodistribution revealed statistically significant circulation advantages: DSPE-PEG2000/diP1500 achieved the highest plasma concentration at 15 min (1.84 ± 0.01 pmol/mL), representing the first direct in vivo comparison of compositions with PEG lipoconjugates of the same length, but formed different structures in the liposomes due to the presence of one or two anchor groups. Our findings provide critical insights for the rational design of targeted liposomal delivery systems, highlighting the importance of balanced optimization between folate targeting functionality and PEG shielding for effective siRNA delivery both in vitro and in vivo. Full article
(This article belongs to the Special Issue Advances in Targeted Delivery of Nanomedicines)
Show Figures

Graphical abstract

15 pages, 895 KB  
Review
Zilebesiran—Small Interfering RNAs as Prospective New Drug in the Treatment of Hypertension
by Sylwia Dudzicz-Gojowy and Marcin Adamczak
J. Clin. Med. 2025, 14(20), 7365; https://doi.org/10.3390/jcm14207365 - 17 Oct 2025
Viewed by 478
Abstract
The inhibition of renin–angiotensin–aldosterone system (RAAS) activity is one of the key mechanisms in the treatment of arterial hypertension. Non-adherence to therapeutic recommendations is considered to be the main cause of failure to achieve therapeutic goals in patients with arterial hypertension. Zilebesiran is [...] Read more.
The inhibition of renin–angiotensin–aldosterone system (RAAS) activity is one of the key mechanisms in the treatment of arterial hypertension. Non-adherence to therapeutic recommendations is considered to be the main cause of failure to achieve therapeutic goals in patients with arterial hypertension. Zilebesiran is the first antihypertensive drug using expression genes modified by siRNA action. The mechanism of action is based on silencing the angiotensinogen gene by activating the RNA-induced silencing complex (RISC). The decreased production of angiotensinogen and storage of siRNA in hepatocyte endosomes makes the drug’s effect prolonged; it may last up to several months after drug administration. In hypertensive patients, a long-term reduction in blood pressure by more than 10 mmHg compared to placebo has been observed after a single dose of zilebesiran. Despite the promising results of the previous studies, further observations are still necessary regarding side effects and long-term effectiveness, as well as the possibility of developing resistance to treatment. Full article
(This article belongs to the Section Nephrology & Urology)
Show Figures

Figure 1

25 pages, 1071 KB  
Review
Therapeutic Advances in Targeting the Amyloid-β Pathway for Alzheimer’s Disease
by Beiyu Zhang, Yunan Li, Huan Li, Xinai Shen and Zheying Zhu
Brain Sci. 2025, 15(10), 1101; https://doi.org/10.3390/brainsci15101101 - 13 Oct 2025
Viewed by 672
Abstract
Alzheimer’s disease (AD) is the most common cause of dementia, characterized by progressive cognitive decline and neuropathological hallmarks, including amyloid-β (Aβ) plaques, neurofibrillary tangles (NFTs), and neurodegeneration. Since the amyloid cascade hypothesis was proposed, Aβ has remained a central therapeutic target, with interventions [...] Read more.
Alzheimer’s disease (AD) is the most common cause of dementia, characterized by progressive cognitive decline and neuropathological hallmarks, including amyloid-β (Aβ) plaques, neurofibrillary tangles (NFTs), and neurodegeneration. Since the amyloid cascade hypothesis was proposed, Aβ has remained a central therapeutic target, with interventions aiming to reduce Aβ production, aggregation, or downstream toxicity. This review first outlines the historical development of the Aβ hypothesis and the two major APP processing pathways (α-cleavage and β-cleavage), highlighting the role of biomarkers in early diagnosis, patient stratification, and regulatory approval. We then summarize the development and clinical outcomes of anti-Aβ small-molecule drugs, including β-secretase inhibitors, γ-secretase modulators, Aβ aggregation inhibitors, receptor/synapse modulators, and metabolic or antioxidant modalities. We further review the progression of biologic therapies, with a particular focus on monoclonal antibodies, vaccines, and emerging gene-silencing strategies, such as small interfering RNA (siRNA) and antisense oligonucleotides. Finally, we discuss future perspectives, including next-generation biologics, multi-target approaches, optimized delivery platforms, and early-prevention strategies. Collectively, these efforts underscore both the challenges and opportunities in translating anti-Aβ therapies into meaningful clinical benefits for patients with AD. Full article
(This article belongs to the Section Neurodegenerative Diseases)
Show Figures

Figure 1

29 pages, 1315 KB  
Review
Targeting the Eye: RNA-Based Therapies, Interferences, and Delivery Strategies
by Mohammed S. Abdel-Raziq Hassan, Cheng Zhong, Fatma Hassan and S. Kevin Li
Pharmaceutics 2025, 17(10), 1326; https://doi.org/10.3390/pharmaceutics17101326 - 13 Oct 2025
Cited by 1 | Viewed by 817
Abstract
Recent advances in molecular biology have led to the development of RNA-based therapeutics, offering significant promise for treating various eye diseases. Current RNA therapeutics include RNA aptamers, antisense oligonucleotides (ASOs), small interfering RNA (siRNA), and messenger RNA (mRNA) that can target specific genetic [...] Read more.
Recent advances in molecular biology have led to the development of RNA-based therapeutics, offering significant promise for treating various eye diseases. Current RNA therapeutics include RNA aptamers, antisense oligonucleotides (ASOs), small interfering RNA (siRNA), and messenger RNA (mRNA) that can target specific genetic and molecular pathways involved in eye disorders. In addition to their potential in therapy, RNA technologies have also provided tools for mechanistic studies to improve the understanding of eye diseases, expanding the possibilities of RNA-based treatments. Despite the utility of RNA in studying eye disease mechanisms and its potential in disease treatment, only a few RNA-based therapies have been approved for posterior eye diseases. This paper reviews RNA interference and related ocular delivery and posterior eye diseases, focusing on the use of RNA aptamers, siRNA, short hairpin RNA (shRNA), and microRNA (miRNA). Approaches using RNA to advance our understanding of eye diseases and disease treatments, particularly in the posterior segment of the eye, are discussed. It is concluded that RNA therapeutics offer a novel approach to treating a variety of eye diseases by targeting their molecular causes. siRNA, shRNA, miRNA, and ASO can directly silence disease-driving genes, while RNA aptamers bind to specific targets. Although many RNA-based therapies are still in experimental stages, they hold promise for conditions such as age-related macular degeneration (AMD), diabetic macular edema (DME), glaucoma, and inherited retinal disorders. Effective delivery methods and long-term safety are key challenges that need to be addressed for these treatments to become widely available. Full article
(This article belongs to the Section Nanomedicine and Nanotechnology)
Show Figures

Figure 1

32 pages, 2199 KB  
Review
Regulatory Landscapes of Non-Coding RNAs During Drought Stress in Plants
by Paulina Bolc, Marta Puchta-Jasińska, Adrian Motor, Marcin Maździarz and Maja Boczkowska
Int. J. Mol. Sci. 2025, 26(20), 9892; https://doi.org/10.3390/ijms26209892 - 11 Oct 2025
Viewed by 532
Abstract
Drought is a leading constraint on plant productivity and will intensify with climate change. Plant acclimation emerges from a multilayered regulatory system that integrates signaling, transcriptional reprogramming, RNA-based control, and chromatin dynamics. Within this hierarchy, non-coding RNAs (ncRNAs) provide a unifying regulatory layer; [...] Read more.
Drought is a leading constraint on plant productivity and will intensify with climate change. Plant acclimation emerges from a multilayered regulatory system that integrates signaling, transcriptional reprogramming, RNA-based control, and chromatin dynamics. Within this hierarchy, non-coding RNAs (ncRNAs) provide a unifying regulatory layer; microRNAs (miRNAs) modulate abscisic acid and auxin circuits, oxidative stress defenses, and root architecture. This balances growth with survival under water-deficient conditions. Small interfering RNAs (siRNAs) include 24-nucleotide heterochromatic populations that operate through RNA-directed DNA methylation, which positions ncRNA control at the transcription–chromatin interface. Long non-coding RNAs (lncRNAs) act in cis and trans, interact with small RNA pathways, and can serve as chromatin-associated scaffolds. Circular RNAs (circRNAs) are increasingly being detected as responsive to drought. Functional studies in Arabidopsis and maize (e.g., ath-circ032768 and circMED16) underscore their regulatory potential. This review consolidates ncRNA biogenesis and function, catalogs drought-responsive modules across model and crop species, especially cereals, and outlines methodological priorities, such as long-read support for isoforms and back-splice junctions, stringent validation, and integrative multiomics. The evidence suggests that ncRNAs are tractable entry points for enhancing drought resilience while managing growth–stress trade-offs. Full article
(This article belongs to the Special Issue Plant Responses to Biotic and Abiotic Stresses)
Show Figures

Figure 1

21 pages, 2097 KB  
Review
RNA Interference and Its Key Targets for Spinal Cord Injury Therapy: What Is Known So Far?
by Daria Chudakova, Vladimir Kovalev, Matthew Shkap, Elizaveta Sigal, Arthur Biktimirov, Alesya Soboleva and Vladimir Baklaushev
Int. J. Mol. Sci. 2025, 26(20), 9861; https://doi.org/10.3390/ijms26209861 - 10 Oct 2025
Viewed by 487
Abstract
Spinal cord injury (SCI) is a neurological condition often resulting in permanent motor and sensory deficits, for which effective treatments remain limited. RNA interference (RNAi) is a post-transcriptional mechanism of the downregulation of gene expression mediated by small interfering RNAs. RNAi has demonstrated [...] Read more.
Spinal cord injury (SCI) is a neurological condition often resulting in permanent motor and sensory deficits, for which effective treatments remain limited. RNA interference (RNAi) is a post-transcriptional mechanism of the downregulation of gene expression mediated by small interfering RNAs. RNAi has demonstrated therapeutic efficacy in various neurological disorders, positioning it as a promising yet underexplored therapeutic strategy for SCI. Here, we provide a focused overview of the key pathological processes in SCI, including primary mechanical injury and secondary cascades such as inflammation, mitochondrial dysfunction, excitotoxicity, oxidative stress, multiple forms of cell death, and others. The potential of RNAi to selectively silence genes implicated in these pathological processes, thereby enhancing neuroprotection and functional recovery, is highlighted. We point out that not only protein-coding genes, but non-coding RNAs (ncRNAs) are suitable targets for RNAi. Novel RNAi tools such as CRISPR-Cas13 might revolutionize the field and offer new opportunities for SCI therapy. However, despite all these promising findings, relevant translational studies of RNAi remain scarce. Challenges related to delivery methods, long-term efficacy, and cell-specific targeting must be addressed. Importantly, combining RNAi with other strategies such as cell- or biomaterial-based therapies may enhance therapeutic outcomes. Future investigations should prioritize systematic comparisons of RNAi targets and delivery systems, ideally at single-cell resolution and in different SCI models, to identify the most relevant molecular pathways for clinical translation. Overall, RNAi represents a compelling but still underdeveloped approach for SCI therapy, requiring continued refinement to reach clinical application. Full article
(This article belongs to the Section Molecular Biology)
Show Figures

Figure 1

12 pages, 1831 KB  
Article
siRNA Cocktail Targeting Multiple Enterovirus 71 Genes Prevents Escape Mutants and Inhibits Viral Replication
by Yun Ji Ga and Jung-Yong Yeh
Int. J. Mol. Sci. 2025, 26(19), 9731; https://doi.org/10.3390/ijms26199731 - 6 Oct 2025
Viewed by 401
Abstract
RNA interference (RNAi) is a powerful mechanism of post-transcriptional gene regulation in which small interfering RNA (siRNA) is utilized to target and degrade specific RNA sequences. In this study, experiments were conducted to evaluate the efficacy of combination siRNA therapy against enterovirus 71 [...] Read more.
RNA interference (RNAi) is a powerful mechanism of post-transcriptional gene regulation in which small interfering RNA (siRNA) is utilized to target and degrade specific RNA sequences. In this study, experiments were conducted to evaluate the efficacy of combination siRNA therapy against enterovirus 71 (EV71) and the potential of this therapy to delay or prevent the emergence of resistance in vitro. siRNAs targeting multiple genes of EV71 were designed, and the effects of a cocktail of siRNAs on viral replication were assessed compared to those of single-siRNA treatment. Cotransfection of multiple siRNAs targeting different protein-coding genes of the EV71 genome effectively suppressed escape mutants resistant to RNAi. Combination therapy with siRNAs targeting multiple viral genes successfully prevented viral escape mutations over five passages. By contrast, serial passaging with a single siRNA led to the rapid emergence of resistance, with mutations identified in the siRNA target sites. The combination of siRNAs specifically targeting different regions demonstrated an additive effect and was more effective than individual siRNAs at inhibiting EV71 replication. This study supports the effectiveness of combination therapy using siRNAs targeting multiple genes of EV71 to inhibit viral replication and prevent the emergence of resistant escape mutants. Overall, the findings identify RNAi targeting multiple viral genes as a potential strategy for therapeutic development against viral diseases and for preventing the emergence of escape mutants resistant to antiviral RNAi. Full article
(This article belongs to the Special Issue Pathogenic Microorganisms, Viruses and Therapeutic Strategies)
Show Figures

Figure 1

Back to TopTop