Sign in to use this feature.

Years

Between: -

Subjects

remove_circle_outline
remove_circle_outline
remove_circle_outline
remove_circle_outline
remove_circle_outline

Journals

Article Types

Countries / Regions

Search Results (7)

Search Parameters:
Keywords = slotted synthetic jets

Order results
Result details
Results per page
Select all
Export citation of selected articles as:
30 pages, 4237 KB  
Review
A Review of Hydrodynamic Cavitation Passive and Active Control Methods in Marine Engineering Applications
by Ebrahim Kadivar and Pankaj Kumar
Symmetry 2025, 17(11), 1782; https://doi.org/10.3390/sym17111782 - 22 Oct 2025
Cited by 1 | Viewed by 1561
Abstract
Hydrodynamic cavitation usually occurs in marine and ocean engineering and hydraulic systems and may lead to destructive effects such as an enhanced drag force, noise, vibration, surface damage, and reduced efficiency. Previous studies employed several passive and active control strategies to manage unstable [...] Read more.
Hydrodynamic cavitation usually occurs in marine and ocean engineering and hydraulic systems and may lead to destructive effects such as an enhanced drag force, noise, vibration, surface damage, and reduced efficiency. Previous studies employed several passive and active control strategies to manage unstable cavitation and its adverse effects. This study reviews various passive and active control strategies for managing diverse cavitation stages, such as partial, cloud, and tip vortex. Regarding the passive methods, different control factors, including the sweep angle of the foil, roughness, bio-inspired riblets, V-shaped grooves, J grooves, obstacles, surface roughness, blunt trailing edge, slits, various vortex generators, and triangular slots, are discussed. Regarding the active methods, various injection methods including air, water, polymer, and synthetic jet and piezoelectric actuators are reviewed. It can be concluded that unstable cavitation can be controlled by both the active and passive approaches independently. However, in the severe conditions of cavitation and higher angles of attack, the passive control methods can only alleviate some re-entrant jets propagating in the downward direction, and proper control of the cavity structure cannot be achieved. In addition, active control methods mostly require supplementary energy and, consequently, lead to higher expenses. Combined passive active control technologies are suggested by the author, using the strengths of both methods to suppress cavitation and control the cavitation instability for a broad range of cavitating flows efficiently in future works. Full article
(This article belongs to the Special Issue Symmetry in Marine Hydrodynamics: Applications to Ocean Engineering)
Show Figures

Figure 1

22 pages, 17915 KB  
Article
The PIV Measurements of Time-Averaged Parameters of the Synthetic Jet for Different Orifice Shapes
by Emil Smyk, Paweł Gil, Petra Dančová and Miroslav Jopek
Appl. Sci. 2023, 13(1), 328; https://doi.org/10.3390/app13010328 - 27 Dec 2022
Cited by 8 | Viewed by 3438
Abstract
In the present study, the flow fields generated by a synthetic jet (SJ) were investigated with particle image velocimetry (PIV). The SJ time-averaged parameters, such as velocity, turbulent kinetic energy (TKE), and vorticity, were compared by using the Reynolds number ( [...] Read more.
In the present study, the flow fields generated by a synthetic jet (SJ) were investigated with particle image velocimetry (PIV). The SJ time-averaged parameters, such as velocity, turbulent kinetic energy (TKE), and vorticity, were compared by using the Reynolds number (Re=5000) and dimensionless stroke length (L0=2;10). Three different orifice shapes with the same equivalent diameter were used: circle, square, and slot. The flow fields of the investigated parameters were presented and discussed at a distance from the orifice x/d10, and the difference in radial and axial profiles were compared. The impact of the orifice shape and dimensionless stroke length on the investigated parameters was discussed. Full article
(This article belongs to the Topic Latest Developments in Fluid Mechanics and Energy)
Show Figures

Figure 1

14 pages, 7574 KB  
Article
Dual Synthetic Jets Actuator and Its Applications—Part III: Impingement Flow Field and Cooling Characteristics of Vectoring Dual Synthetic Jets
by Xiong Deng, Zhaofeng Dong, Qiang Liu, Can Peng, Wei He and Zhenbing Luo
Actuators 2022, 11(12), 376; https://doi.org/10.3390/act11120376 - 15 Dec 2022
Cited by 5 | Viewed by 2849
Abstract
In order to understand the impingement flow field and cooling characteristics of vectoring dual synthetic jets (DSJ), an experimental investigation was performed to analyze the parameter effects. With the variation of the slot location, the vectoring angle of DSJ can be adjusted from [...] Read more.
In order to understand the impingement flow field and cooling characteristics of vectoring dual synthetic jets (DSJ), an experimental investigation was performed to analyze the parameter effects. With the variation of the slot location, the vectoring angle of DSJ can be adjusted from 34.5° toward the left to 29.5° toward the right. The vectoring function can greatly extend the length of impingement region. There are three local peaks both for the local cooling performance (Nu) and the whole cooling performance (Nuavg). Although the peak Nu at a certain location of the slider is higher than that at the center, the corresponding Nuavg is lower. As for different driving frequencies, the vectoring angle reaches its minimum of 9.7° at 350 Hz, but the Nu is obviously improved. There is one local peak of Nuavg values at 350 Hz rather than three local peaks at 250 Hz and 450 Hz. The slot locations where the Nuavg of 250 Hz and 450 Hz reach maximum are different. With the increase in driving voltage from ±100 V to ±200 V, the vectoring angle drops from 46.9° to 22.2°, but both Nu and Nuavg are improved. The maximum Nuavg of each driving voltage occurs at the center location of the slider. The choking effect and the cross flow have dominated the vectoring angle and the cooling performance of impingement DSJ. Vectoring DSJ will give impetus to the thermal management of large-area electric devices in spaced-constrained cooling and removing dynamic hotspots. Full article
(This article belongs to the Special Issue Active Flow Control: Recent Advances in Fundamentals and Applications)
Show Figures

Figure 1

21 pages, 9907 KB  
Article
Computational Analysis of Actuation Techniques Impact on the Flow Control around the Ahmed Body
by Stephie Edwige, Philippe Gilotte and Iraj Mortazavi
Fluids 2022, 7(2), 52; https://doi.org/10.3390/fluids7020052 - 24 Jan 2022
Cited by 4 | Viewed by 3566
Abstract
Active flow control with jet devices is a promising approach for vehicle aerodynamics control. In this work an extended computational study is performed comparing three different actuation strategies for active flow control around the square back Ahmed body at Reynolds number 500,000 (based [...] Read more.
Active flow control with jet devices is a promising approach for vehicle aerodynamics control. In this work an extended computational study is performed comparing three different actuation strategies for active flow control around the square back Ahmed body at Reynolds number 500,000 (based on the vehicle height). Numerical simulations are run using a Large Eddy Simulation (LES) approach, well adapted to calculate the unsteady high Reynolds number flow control using periodic jet devices. computations are validated comparing to in-house experiments for uncontrolled and some controlled cases. The novelty of this investigation is mainly related to the in-depth study of the base flow and actuation approaches by an accurate LES method and their comparison to experiments. Here, several simulations are performed to estimate the effect of active controls on the flow topology and the drag reduction. Beside the continuous blowing jet, three periodic actuation techniques including periodic blowing and suction as well as the zero flux synthetic jet devices are explored. The slots are implemented discontinuously in order to achieve a better control efficiency linked to vortex generation. In this framework, spectral analyses on global aerodynamical quantities, rear pressure/drag coefficient behavior examination as well as wake structure investigations are performed in order to compare these jet actuations. As a result, shear layer variations are observed during the blowing phase, but the main flow topology change occurs with suction and synthetic jets. Rear back pressure is therefore substantially increased. Full article
(This article belongs to the Special Issue Scientific Computing in Fluids)
Show Figures

Figure 1

14 pages, 3200 KB  
Article
Synthetic Jet Actuators with the Same Cross-Sectional Area Orifices-Flow and Acoustic Aspects
by Emil Smyk, Joanna Wilk and Marek Markowicz
Appl. Sci. 2021, 11(10), 4600; https://doi.org/10.3390/app11104600 - 18 May 2021
Cited by 11 | Viewed by 2723
Abstract
In this paper, synthetic jet actuators (SJAs) with three different orifice shapes (circular, square, and slot) with the same cross-section area were investigated. The SJA efficiency and the synthetic jet (SJ) Reynolds number were calculated based on the time-mean reaction force measurement. The [...] Read more.
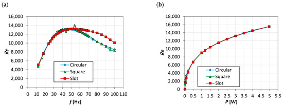
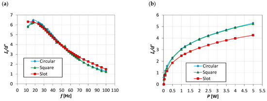
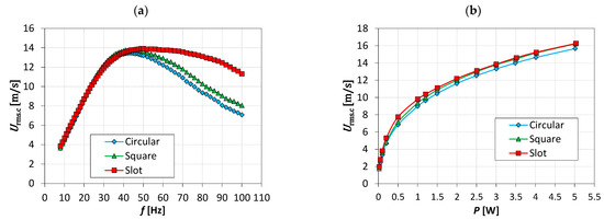
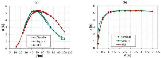
In this paper, synthetic jet actuators (SJAs) with three different orifice shapes (circular, square, and slot) with the same cross-section area were investigated. The SJA efficiency and the synthetic jet (SJ) Reynolds number were calculated based on the time-mean reaction force measurement. The momentum velocity was measured with hot-wire anemometry and additionally, the sound pressure level (SPL) was measured. The efficiency was equal maximally to 5.3% for each orifice shape, but the square orifice characterized the higher Reynolds number. The compared centerline (axial) velocities and the radial velocity profile at a distance of 112 mm were similar for each orifice type. The SPL measurement results were surprisingly constant in relation to each other. The square orifice generates the lowest SPL, approximately 2.8dB lower than the circular orifice, and approximately 4.2dB lower than the slot orifice, at each investigated real power. Finally, the differences to other papers and limitations of the approach to comparing orifices presented in the present paper were indicated. Full article
(This article belongs to the Section Mechanical Engineering)
Show Figures

Figure 1

26 pages, 21386 KB  
Article
Fluidic-Oscillator-Based Pulsed Jet Actuators for Flow Separation Control
by Stephan Löffler, Carola Ebert and Julien Weiss
Fluids 2021, 6(4), 166; https://doi.org/10.3390/fluids6040166 - 20 Apr 2021
Cited by 20 | Viewed by 5597
Abstract
The control of flow separation on aerodynamic surfaces remains a fundamental goal for future air transportation. On airplane wings and control surfaces, the effects of flow separation include decreased lift, increased drag, and enhanced flow unsteadiness and noise, all of which are detrimental [...] Read more.
The control of flow separation on aerodynamic surfaces remains a fundamental goal for future air transportation. On airplane wings and control surfaces, the effects of flow separation include decreased lift, increased drag, and enhanced flow unsteadiness and noise, all of which are detrimental to flight performance, fuel consumption, and environmental emissions. Many types of actuators have been designed in the past to counter the negative effects of flow separation, from passive vortex generators to active methods like synthetic jets, plasma actuators, or sweeping jets. At the Chair of Aerodynamics at TU Berlin, significant success has been achieved through the use of pulsed jet actuators (PJA) which operate by ejecting a given amount of fluid at a specified frequency through a slit-shape slot on the test surface, thereby increasing entrainment and momentum in a separating boundary layer and thus delaying flow separation. Earlier PJAs were implemented using fast-switching solenoid valves to regulate the jet amplitude and frequency. In recent years, the mechanical valves have been replaced by fluidic oscillators (FO) in an attempt to generate the desired control authority without any moving parts, thus paving the way for future industrial applications. In the present article, we present in-depth flow and design analysis which affect the operation of such FO-based PJAs. We start by reviewing current knowledge on the mechanism of flow separation control with PJAs before embarking on a detailed analysis of single-stage FO-based PJAs. In particular, we show that there is a fundamental regime where the oscillation frequency is mainly driven by the feedback loop length. Additionally, there are higher-order regimes where the oscillation frequency is significantly increased. The parameters that influence the oscillation in the different regimes are discussed and a strategy to incorporate this new knowledge into the design of future actuators is proposed. Full article
(This article belongs to the Special Issue Fluidic Oscillators-Devices and Applications)
Show Figures

Figure 1

15 pages, 2532 KB  
Article
Measurements versus Numerical Simulations for Slotted Synthetic Jet Actuator
by Andrea Palumbo, Matteo Chiatto and Luigi De Luca
Actuators 2018, 7(3), 59; https://doi.org/10.3390/act7030059 - 11 Sep 2018
Cited by 14 | Viewed by 7119
Abstract
In many studies concerning synthetic jet flow fields the analysis is usually restricted to simple configurations, such as a single diaphragm oscillating in a cylindrical cavity, which is linked to the external environment with only one orifice/slot. Nonetheless, in many applications the requirement [...] Read more.
In many studies concerning synthetic jet flow fields the analysis is usually restricted to simple configurations, such as a single diaphragm oscillating in a cylindrical cavity, which is linked to the external environment with only one orifice/slot. Nonetheless, in many applications the requirement of small sizes and weights leads to many implementation issues, such as asymmetric actuator geometries, presence of several slots and diaphragms and irregular cavity shapes. Therefore, the design of a synthetic jet actuator for a specific flow control problem requires a dedicated study in order to characterize its behavior even in quiescent conditions. The aim of this work is to investigate the behavior of a novel synthetic jet actuator, composed of three independent diaphragms, acting on a single cavity, and linked to the external environment through four slots per diaphragm. The device has been studied in quiescent conditions, both numerically and experimentally. The experimental investigation has been carried out by means of hot-wire measurements. In particular, the distribution of the phase-averaged streamwise velocity along the slot spanwise direction has been detected near the slot exit plane. From the computational side, incompressible direct numerical simulations have been carried out using the open-source OpenFOAM code. The diaphragm motion is mimicked by a inhomogeneous inlet boundary condition, whose amplitude is chosen to match the experimental velocity at the exit plane. A fair agreement between the numerical and the experimental results is achieved for both the velocity field at the slot exit and the main non-dimensional parameters of the synthetic jet. After the validation, the numerical results are finally processed, to obtain information about the vortex motion in the external environment. Full article
(This article belongs to the Special Issue Synthetic Jet Actuators)
Show Figures

Figure 1

Back to TopTop