Synthetic Jet Actuators with the Same Cross-Sectional Area Orifices-Flow and Acoustic Aspects
Abstract
1. Introduction
2. Materials and Methods
Data Reduction
3. Results and Discussion
3.1. Time-Mean Reaction Force Measurements
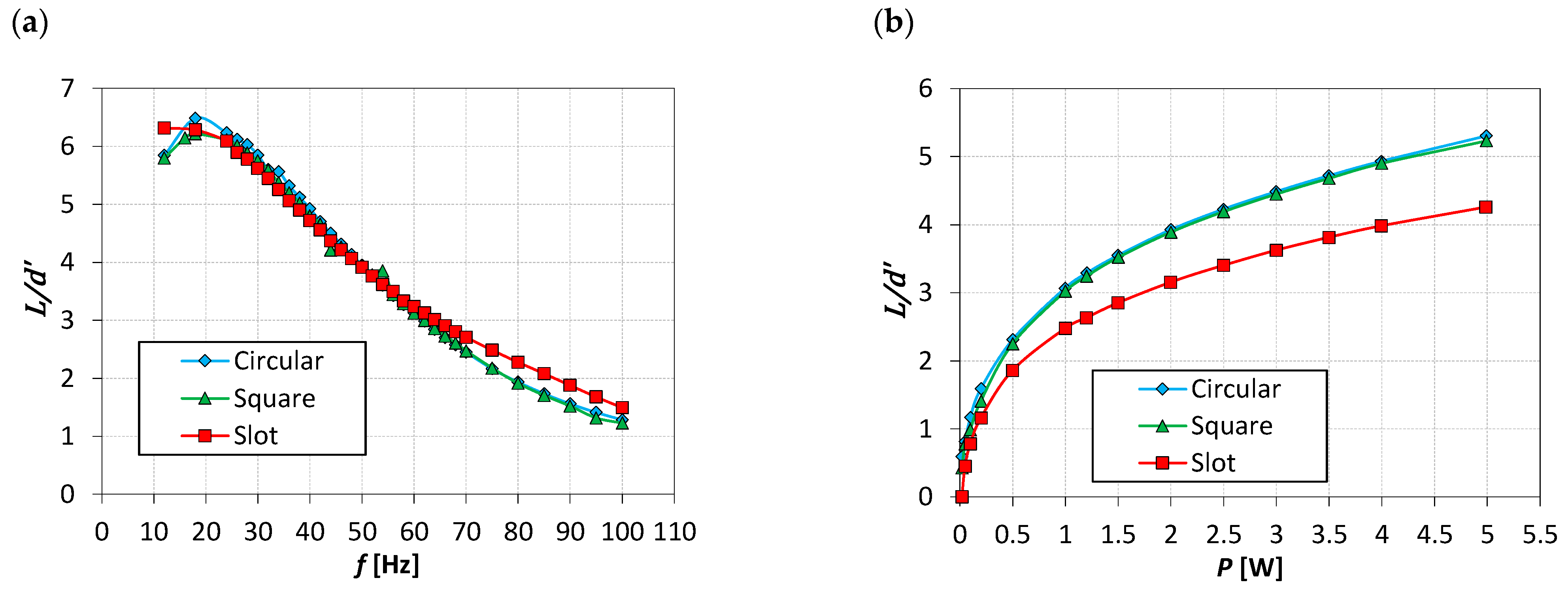
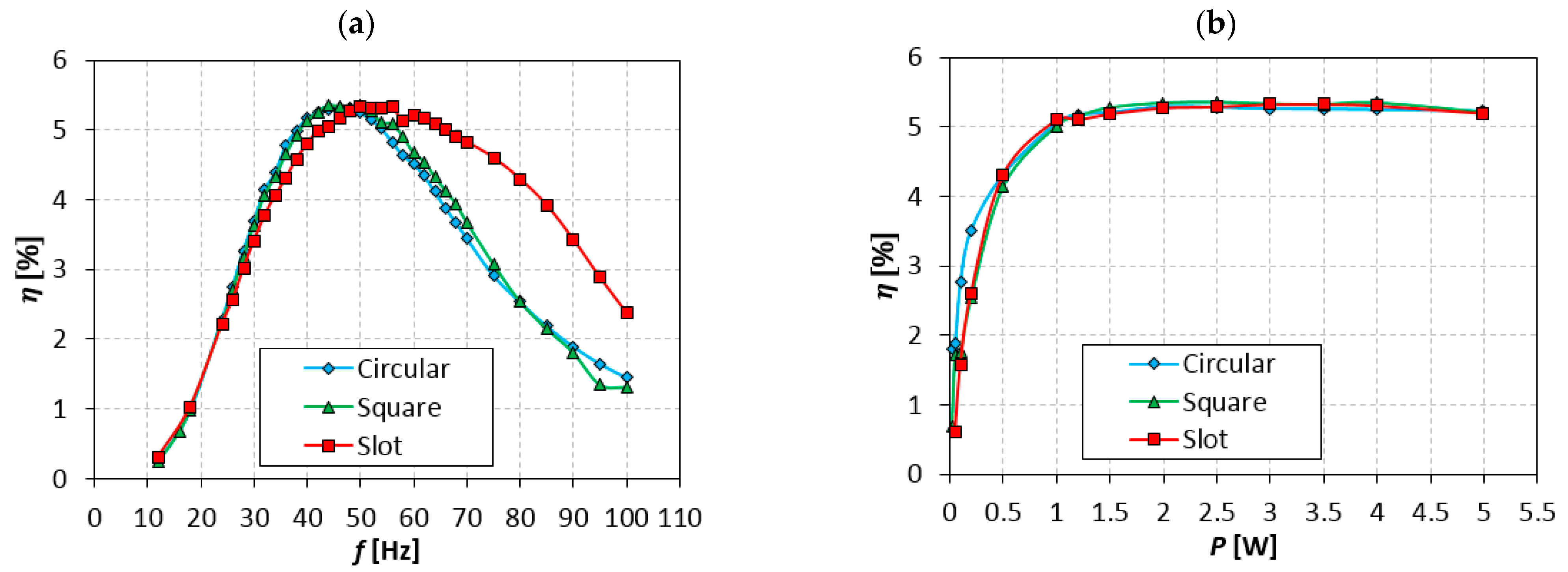
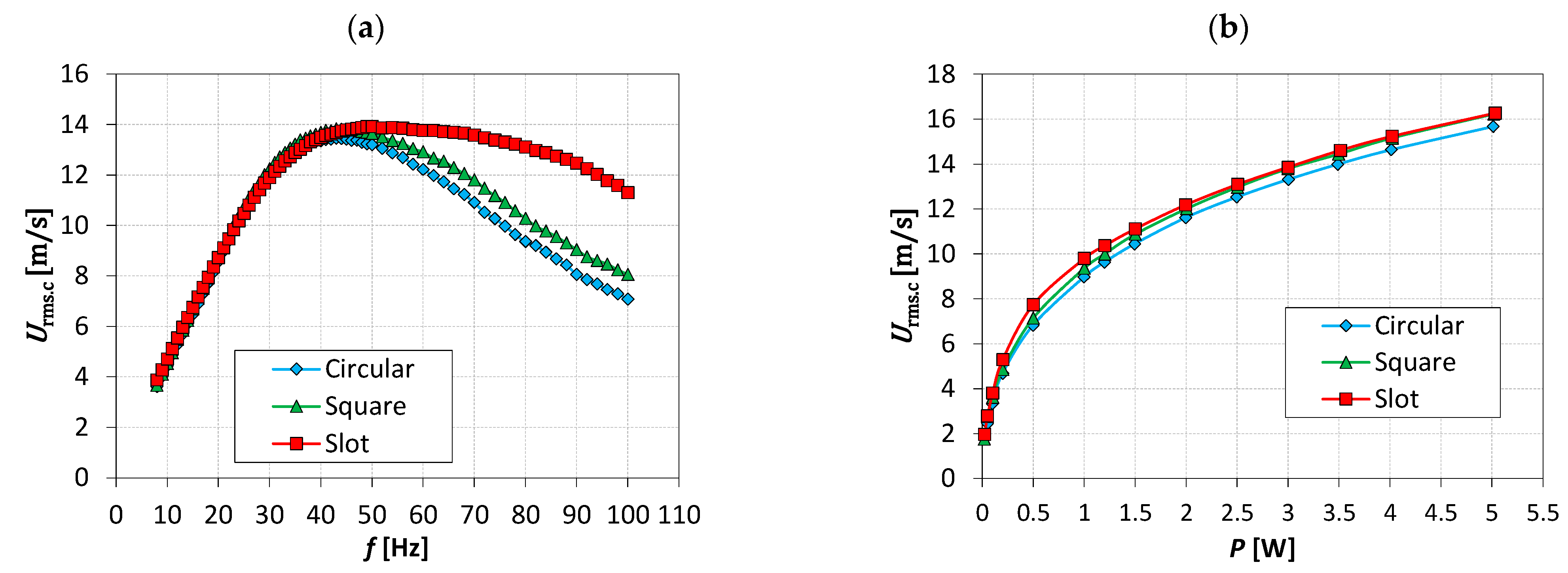
3.2. Impact of the Hydraulic Diameter on Results
3.3. The Centerline Velocity Measurements
3.4. Axial and Radial Velocity Profiles
3.5. SPL Measurements
3.6. Differences from Other Studies
4. Conclusions
Author Contributions
Funding
Institutional Review Board Statement
Informed Consent Statement
Data Availability Statement
Conflicts of Interest
References
- Gil, P. Bluff body drag control using synthetic jet. J. Appl. Fluid Mech. 2019, 12, 293–302. [Google Scholar] [CrossRef]
- Liu, Z.; Luo, Z.; Liu, Q.; Zhou, Y. Modulation of driving signals in flow control over an airfoil with synthetic jet. Chin. J. Aeronaut. 2020, 33, 3138–3148. [Google Scholar] [CrossRef]
- Smyk, E. Numerical simulation of axisymmetric valve operation for different outer cone angle. EPJ Web Conf. 2017, 143, 02112. [Google Scholar] [CrossRef]
- Smyk, E. Interference in axisymmetric synthetic jet actuator. EPJ Web Conf. 2017, 143, 02111. [Google Scholar] [CrossRef]
- Hong, M.H.; Cheng, S.Y.; Zhong, S. Effect of geometric parameters on synthetic jet: A review. Phys. Fluids 2020, 32, 031301. [Google Scholar] [CrossRef]
- Ziadé, P.; Feero, M.A.; Sullivan, P.E. A numerical study on the influence of cavity shape on synthetic jet performance. Int. J. Heat Fluid Flow 2018, 74, 187–197. [Google Scholar] [CrossRef]
- Gil, P. Performance of special type heat sink with an integrated synthetic jet actuator. E3S Web Conf. 2019, 100, 00017. [Google Scholar] [CrossRef]
- Smyk, E.; Gil, P.; Gałek, R.; Przeszłowski, Ł. Acoustic and Flow Aspects of Novel Synthetic Jet Actuator. Actuators 2020, 9, 100. [Google Scholar] [CrossRef]
- Ahmad, M.; Qayoum, A. Investigation of impingement of double orifice synthetic jet for heat and fluid flow characteristics in quiescent flow. Pertan. J. Sci. Technol. 2019, 27, 1181–1206. [Google Scholar]
- Xia, Q.; Zhong, S. Enhancement of inline mixing with lateral synthetic jet pairs at low Reynolds numbers: The effect of fluid viscosity. Flow Meas. Instrum. 2017, 53, 308–316. [Google Scholar] [CrossRef]
- Wang, P.; Shen, C.-B. Characteristics of mixing enhancement achieved using a pulsed plasma synthetic jet in a supersonic flow. J. Zhejiang Univ. Sci. A 2019, 20, 701–713. [Google Scholar] [CrossRef]
- Xia, Q.; Zhong, S. Enhancement of laminar flow mixing using a pair of staggered lateral synthetic jets. Sens. Actuators A Phys. 2014, 207, 75–83. [Google Scholar] [CrossRef]
- Yadav, K.R.; Paul, A.R.; Hegde, N.; Jain, A. A comparison of circular and slotted synthetic jets for flow control in a twin air-intake. Def. Sci. J. 2020, 70, 113–121. [Google Scholar] [CrossRef]
- Hao, Z.; Liu, G.; Ren, W.; Wang, Y.; Bie, H. Research on the Characteristics of Bluff Body Wake Field Induced by Synthetic Jet with PANS Model. J. Appl. Fluid Mech. 2021, 14, 1053–1063. [Google Scholar] [CrossRef]
- Wang, G.; Chu, W.; Zhang, H.; Guo, Z. Effect of Active Flow Control of Endwall Synthetic Jet on the Performance of a Transonic Axial Compressor. J. Appl. Fluid Mech. 2021, 14, 963–977. [Google Scholar] [CrossRef]
- Chaudhari, M.; Puranik, B.; Agrawal, A. Effect of orifice shape in synthetic jet based impingement cooling. Exp. Therm. Fluid Sci. 2010, 34, 246–256. [Google Scholar] [CrossRef]
- Miró, A.; Soria, M.; Cajas, J.C.; Rodríguez, I.; Moulinec, C. Flow topology and heat transfer analysis of slotted and axisymmetric synthetic impinging jets. Int. J. Therm. Sci. 2021, 164. [Google Scholar] [CrossRef]
- Mangate, L.D.; Chaudhari, M.B. Heat transfer and acoustic study of impinging synthetic jet using diamond and oval shape orifice. Int. J. Therm. Sci. 2015, 89, 100–109. [Google Scholar] [CrossRef]
- Greco, C.S.; Castrillo, G.; Crispo, C.M.; Astarita, T.; Cardone, G. Investigation of impinging single and twin circular synthetic jets flow field. Exp. Therm. Fluid Sci. 2016, 74, 354–367. [Google Scholar] [CrossRef]
- Qayoum, A.; Malik, A. Influence of the Excitation Frequency and Orifice Geometry on the Fluid Flow and Heat Transfer Characteristics of Synthetic Jet Actuators. Fluid Dyn. 2019, 54, 575–589. [Google Scholar] [CrossRef]
- Chiatto, M.; Capuano, F.; de Luca, L. Numerical and experimental characterization of a double-orifice synthetic jet actuator. Meccanica 2018, 53, 2883–2896. [Google Scholar] [CrossRef]
- Jain, M.; Puranik, B.; Agrawal, A. A numerical investigation of effects of cavity and orifice parameters on the characteristics of a synthetic jet flow. Sens. Actuators A Phys. 2011, 165, 351–366. [Google Scholar] [CrossRef]
- Kordík, J.; Trávníček, Z. Optimal diameter of nozzles of synthetic jet actuators based on electrodynamic transducers. Exp. Therm. Fluid Sci. 2017, 86, 281–294. [Google Scholar] [CrossRef]
- Kordík, J.; Trávníček, Z. Novel nozzle shapes for synthetic jet actuators intended to enhance jet momentum flux. Actuators 2018, 7, 53. [Google Scholar] [CrossRef]
- Gil, P. Synthetic jet Reynolds number based on reaction force measurement. J. Fluids Struct. 2018, 81, 466–478. [Google Scholar] [CrossRef]
- Gil, P.; Smyk, E. Synthetic jet actuator efficiency based on the reaction force measurement. Sens. Actuators A Phys. 2019, 295, 405–413. [Google Scholar] [CrossRef]
- Crispo, C.M.; Greco, C.S.; Cardone, G. Flow field features of chevron impinging synthetic jets at short nozzle-to-plate distance. Exp. Therm. Fluid Sci. 2019, 106, 202–214. [Google Scholar] [CrossRef]
- Li, X. Experimental Investigation of Jet Flow Fields with Chevron Nozzles. IOP Conf. Ser. Mater. Sci. Eng. 2020, 782. [Google Scholar] [CrossRef]
- Smyk, E.; Markowicz, M. Acoustic and flow aspects of synthetic jet actuators with chevron orifices. Appl. Sci. 2021, 11, 652. [Google Scholar] [CrossRef]
- Trávnícek, Z.; Broucková, Z. Characterization of Impingement Heat/Mass Transfer to the Synthetic Jet Generated by a Biomimetic Actuator. J. Heat Transf. 2019, 141, 042203. [Google Scholar] [CrossRef]
- Travnicek, Z.; Antosova, Z. Impingement heat transfer to the synthetic jet issuing from a nozzle with an oscillating cross section. Int. J. Therm. Sci. 2020, 153, 106349. [Google Scholar] [CrossRef]
- Embury, M.C.; Solovitz, S.A. Impingement Cooling Using a Virtual Orifice Synthetic Jet. In Proceedings of the 19th IEEE Intersociety Conference on Thermal and Thermomechanical Phenomena in Electronic Systems (ITherm), Orlando, FL, USA, 21–23 July 2020; pp. 435–441. [Google Scholar]
- Bhapkar, U.S.; Srivastava, A.; Agrawal, A. Proper cavity shape can mitigate confinement effect in synthetic jet impingement cooling. Exp. Therm. Fluid Sci. 2015, 68, 392–401. [Google Scholar] [CrossRef]
- Smyk, E.; Przeszłowski, Ł.; Strzelczyk, P.M. Impact of the confinement plate on the synthetic jet. AIP Adv. 2020, 10, 105204. [Google Scholar] [CrossRef]
- Persoons, T.; O’Donovan, T.S.; Donovan, T.S.O.; Persoons, T.; Donovan, T.S.O. A pressure-based estimate of synthetic jet velocity. Phys. Fluids 2007, 19, 2–5. [Google Scholar] [CrossRef]
- Mangate, L.; Yadav, H.; Agrawal, A.; Chaudhari, M. Experimental investigation on thermal and flow characteristics of synthetic jet with multiple-orifice of different shapes. Int. J. Therm. Sci. 2019, 140, 344–357. [Google Scholar] [CrossRef]
- Gil, P. Corrigendum to “Synthetic jet Reynolds number based on reaction force measurement” [J. Fluids Struct. 81 (2018) 466–478]. J. Fluids Struct. 2021, 101, 103211. [Google Scholar] [CrossRef]
- International Organization for Standardization (ISO). Acoustics—Determination of Sound Power Levels and Sound Energy Levels of Noise Sources Using Sound Pressure—Survey Method Using an Enveloping Measurement Surface over a Reflecting Plane (ISO 3746:2010); ISO: Geneva, Switzerland, 2010; p. 48. [Google Scholar]
- Gil, P.; Wilk, J.; Smusz, R.; Gałek, R. Centerline heat transfer coefficient distributions of synthetic jets impingement cooling. Int. J. Heat Mass Transf. 2020, 160, 120147. [Google Scholar] [CrossRef]
- Kordík, J.; Trávníček, Z.; Timchenko, V.; Ismail, N.A. The predominant effect of stroke length on velocity profiles at the exit of axisymmetric synthetic jet actuators. Int. J. Heat Fluid Flow 2017, 66, 197–208. [Google Scholar] [CrossRef]
- Kumar, A.; Saha, A.K.; Panigrahi, P.K.; Karn, A. On the flow physics and vortex behavior of rectangular orifice synthetic jets. Exp. Therm. Fluid Sci. 2019, 103, 163–181. [Google Scholar] [CrossRef]
- Krishnan, G.; Mohseni, K. An Experimental and Analytical Investigation of Rectangular Synthetic Jets. J. Fluids Eng. 2009, 131, 121101. [Google Scholar] [CrossRef]
- Milanovic, I.M.; Zaman, K.B.M.Q. Synthetic Jets in Cross-Flow. AIAA J. 2003, 45, 929–940. [Google Scholar] [CrossRef][Green Version]
- Holman, R.; Utturkar, Y.; Mittal, R.; Smith, B.L.; Cattafesta, L. Formation criterion for synthetic jets. AIAA J. 2005, 43, 2110–2116. [Google Scholar] [CrossRef]
- Smith, B.L.; Glezer, A. The formation and evolution of synthetic jets. Phys. Fluids 1998, 10, 2281–2297. [Google Scholar] [CrossRef]
- Peszynski, K.; Tesař, V. Algebraic model of turbulent flow in ducts of rectangular cross-section with rounded corners. Flow Meas. Instrum. 2020, 75. [Google Scholar] [CrossRef]
- Gil, P.; Strzelczyk, P. Performance and efficiency of loudspeaker driven synthetic jet actuator. Exp. Therm. Fluid Sci. 2016, 76, 163–174. [Google Scholar] [CrossRef]
- Chaudhari, M.; Verma, G.; Puranik, B.; Agrawal, A. Frequency response of a synthetic jet cavity. Exp. Therm. Fluid Sci. 2009, 33, 439–448. [Google Scholar] [CrossRef]
- Chaudhari, M.; Puranik, B.; Agrawal, A. Multiple orifice synthetic jet for improvement in impingement heat transfer. Int. J. Heat Mass Transf. 2011, 54, 2056–2065. [Google Scholar] [CrossRef]
- He, X.; Lustbader, J.A.; Arik, M.; Sharma, R. Heat transfer characteristics of impinging steady and synthetic jets over vertical flat surface. Int. J. Heat Mass Transf. 2015, 80, 825–834. [Google Scholar] [CrossRef]
- Bhapkar, U.S.; Srivastava, A.; Agrawal, A. Acoustic and heat transfer characteristics of an impinging elliptical synthetic jet generated by acoustic actuator. Int. J. Heat Mass Transf. 2014, 79, 12–23. [Google Scholar] [CrossRef]
- Smyk, E.; Wawrzyniak, S.; Peszyński, K. Synthetic jet actuator with two opposite diaphragms. Mech. Mech. Eng. 2020, 24, 17–25. [Google Scholar] [CrossRef]
- Zong, H.; Kotsonis, M. Effect of slotted exit orifice on performance of plasma synthetic jet actuator. Exp. Fluids 2017, 58, 1–17. [Google Scholar] [CrossRef]
- Gupta, J.; Satish, S.S.G.; Saha, A.K. Vortex formation in a low aspect ratio synthetic jet. J. Flow Vis. Image Process. 2020, 27, 117–141. [Google Scholar] [CrossRef]











| Orifice Type | Characteristic Dimension of Orifice [mm] | Hydraulics Diameter, dh [mm] | Equivalent Diameter, d’ [mm] | Orifice Height, t [mm] | The Cross-Section Area of the Orifice, A [mm2] |
|---|---|---|---|---|---|
| circular | d = 22.4 | 22.4 | 22.4 | 22.4 | 394 |
| square | a = b = 20 | 20 | 22.57 | 20 | 400 |
| slot | a = 10 b = 40 | 16 | 22.57 | 10 | 400 |
| Name | Relative Accuracy | Absolute Accuracy |
|---|---|---|
| Power, P | ±2% | |
| Force, F | ±1 mN | |
| Velocity, u (calibration accuracy) | ±2% (2.6–49 m/s) | ±0.1 m/s (<2.6 m/s) |
| Efficiency, η | ±0.2% | |
| SPL | ±1.4 dB |
| Orifice Type | Reynolds Number | Dimensionless Stroke Length |
|---|---|---|
| circular | 0% | 0% |
| square | −11.39% | +25.44% |
| slot | −29.11% | +96% |
Publisher’s Note: MDPI stays neutral with regard to jurisdictional claims in published maps and institutional affiliations. |
© 2021 by the authors. Licensee MDPI, Basel, Switzerland. This article is an open access article distributed under the terms and conditions of the Creative Commons Attribution (CC BY) license (https://creativecommons.org/licenses/by/4.0/).
Share and Cite
Smyk, E.; Wilk, J.; Markowicz, M. Synthetic Jet Actuators with the Same Cross-Sectional Area Orifices-Flow and Acoustic Aspects. Appl. Sci. 2021, 11, 4600. https://doi.org/10.3390/app11104600
Smyk E, Wilk J, Markowicz M. Synthetic Jet Actuators with the Same Cross-Sectional Area Orifices-Flow and Acoustic Aspects. Applied Sciences. 2021; 11(10):4600. https://doi.org/10.3390/app11104600
Chicago/Turabian StyleSmyk, Emil, Joanna Wilk, and Marek Markowicz. 2021. "Synthetic Jet Actuators with the Same Cross-Sectional Area Orifices-Flow and Acoustic Aspects" Applied Sciences 11, no. 10: 4600. https://doi.org/10.3390/app11104600
APA StyleSmyk, E., Wilk, J., & Markowicz, M. (2021). Synthetic Jet Actuators with the Same Cross-Sectional Area Orifices-Flow and Acoustic Aspects. Applied Sciences, 11(10), 4600. https://doi.org/10.3390/app11104600

