Sign in to use this feature.

Years

Between: -

Subjects

remove_circle_outline
remove_circle_outline
remove_circle_outline
remove_circle_outline
remove_circle_outline
remove_circle_outline
remove_circle_outline
remove_circle_outline
remove_circle_outline

Journals

remove_circle_outline
remove_circle_outline
remove_circle_outline
remove_circle_outline
remove_circle_outline
remove_circle_outline
remove_circle_outline
remove_circle_outline
remove_circle_outline
remove_circle_outline
remove_circle_outline
remove_circle_outline
remove_circle_outline
remove_circle_outline
remove_circle_outline

Article Types

Countries / Regions

remove_circle_outline
remove_circle_outline
remove_circle_outline
remove_circle_outline
remove_circle_outline

Search Results (3,265)

Search Parameters:
Keywords = sinter properties

Order results
Result details
Results per page
Select all
Export citation of selected articles as:
17 pages, 1980 KB  
Article
Effect of Mn Addition on the Mechanical Properties and Ferroelectric Behavior of Bi0.5Na0.5TiO3 and 94(Bi0.5Na0.5TiO3)–6(BaTiO3) Ceramics
by Adriana Gallegos-Melgar, Jan Mayen and Maricruz Hernandez-Hernandez
Materials 2026, 19(6), 1092; https://doi.org/10.3390/ma19061092 (registering DOI) - 12 Mar 2026
Abstract
The effect of Mn addition on the structural, dielectric, ferroelectric, and mechanical properties of Bi0.5Na0.5TiO3 (BNT) and 0.94(Bi0.5Na0.5TiO3)–0.06(BaTiO3) (BNT–BT) ceramics was systematically investigated under identical processing conditions. Powders were calcined [...] Read more.
The effect of Mn addition on the structural, dielectric, ferroelectric, and mechanical properties of Bi0.5Na0.5TiO3 (BNT) and 0.94(Bi0.5Na0.5TiO3)–0.06(BaTiO3) (BNT–BT) ceramics was systematically investigated under identical processing conditions. Powders were calcined at 750 °C for 2 h and 900 °C for 2 h, followed by sintering at 1060 °C for 5 h. Mn contents of 0.5 and 5 mol% were selected to represent low-level substitution and near-saturation regimes. XRD confirmed single-phase perovskite formation within laboratory detection limits, while Raman spectroscopy revealed Mn-induced lattice distortions. Low Mn addition (0.5 mol%) enhanced densification and improved remanent polarization in BNT–BT (Pr = 33.5 μC/cm2). In contrast, 5 mol% Mn promoted grain coarsening, increased porosity, and reduced functional performance. Mechanical properties evaluated using two-parameter Weibull statistics showed composition-dependent variations in characteristic hardness and elastic modulus. The results demonstrate that Mn-doping effects depend strongly on both dopant concentration and host-lattice structural state, distinguishing beneficial substitution from defect-saturation behavior in lead-free BNT-based ceramics. Full article
Show Figures

Graphical abstract

21 pages, 4917 KB  
Article
Effect of Pulse Plasma Sintering Temperature on Microstructure and Mechanical Properties of Al2O3-Cu Composites
by Paulina Piotrkiewicz, Justyna Zygmuntowicz, Marcin Wachowski, Ireneusz Szachogłuchowicz and Waldemar Kaszuwara
Materials 2026, 19(6), 1086; https://doi.org/10.3390/ma19061086 (registering DOI) - 12 Mar 2026
Abstract
Al2O3-Cu ceramic-metal composites containing 2.5 vol.% of a metallic phase were fabricated using the Pulse Plasma Sintering (PPS) method in order to evaluate the influence of sintering temperature on densification, microstructure, and mechanical performance. Consolidation was carried out at [...] Read more.
Al2O3-Cu ceramic-metal composites containing 2.5 vol.% of a metallic phase were fabricated using the Pulse Plasma Sintering (PPS) method in order to evaluate the influence of sintering temperature on densification, microstructure, and mechanical performance. Consolidation was carried out at 1200 °C, 1250 °C, 1300 °C, and 1400 °C under uniaxial pressure with a short sintering time of 3 min. Regardless of the processing temperature, all composites exhibited very high relative densities exceeding 99% of the theoretical value, indicating the high efficiency of PPS in densifying Al2O3-Cu systems while suppressing copper leakage. X-ray diffraction confirmed the presence of only two phases, Al2O3 and Cu, with no secondary reaction products. Microstructural observations revealed irregular copper particles and areas of dispersed metallic phase, whose proportion decreased with increasing sintering temperature due to accelerated matrix densification and copper immobilization. Grain growth in the alumina matrix was strongly temperature-dependent, with the average equivalent grain diameter increasing from 0.49 µm at 1200 °C to 2.35 µm at 1400 °C. Hardness decreased from 19.5 ± 2.8 GPa to 12.2 ± 1.6 GPa with increasing temperature, whereas fracture toughness reached a maximum of 5.42 ± 0.65 MPa·m0.5 at 1400 °C. The highest strength under monotonic compression conditions was obtained for samples sintered at 1300 °C, indicating an optimal balance between densification and microstructural coarsening. These results demonstrate that PPS is an effective method for producing dense Al2O3-Cu composites with tailored microstructure and mechanical properties. Full article
Show Figures

Figure 1

24 pages, 25033 KB  
Article
Tuning Eutectic High Entropy Alloy Microstructures: The Role of Consolidation and Particle Size Distribution in EHEA AlCoCrFeNi2.1
by Daniel Guerrero, Rita Carbajales, Miguel A. Monclus, José Antonio Calero, Luis Antonio Díaz, Miguel Ángel Lagos, Mónica Campos and Paula Alvaredo
Metals 2026, 16(3), 302; https://doi.org/10.3390/met16030302 - 8 Mar 2026
Viewed by 179
Abstract
Eutectic alloys stand out for their ability to combine high strength and good ductility; a behaviour rooted in their characteristic two-phase microstructure—lamellar or globular—formed at a constant solidification temperature that minimizes segregation and suppresses brittle phases. Their low interfacial energy limits microcrack propagation, [...] Read more.
Eutectic alloys stand out for their ability to combine high strength and good ductility; a behaviour rooted in their characteristic two-phase microstructure—lamellar or globular—formed at a constant solidification temperature that minimizes segregation and suppresses brittle phases. Their low interfacial energy limits microcrack propagation, while interfacial sliding and dislocation blocking at phase boundaries enhance both strength and toughness. In this work, we investigate how controlled microstructural modifications influence the behaviour of the eutectic high-entropy alloy AlCoCrFeNi2.1, composed of B2 (Ni–Al-rich) and L12 (Co–Fe–Ni-rich) phases. Because these phases exhibit distinct mechanical responses, microconstituent morphology becomes a design parameter. Powder metallurgy is the only processing route capable of providing the level of microstructural control required in this study. It preserves the rapidly solidified eutectic architecture of gas-atomised powders while allowing its intentional transformation during consolidation. Two strategies were implemented: (i) tuning the thermal–electrical input in Spark Plasma Sintering (SPS) and Electrical Resistance Sintering (ERS), and (ii) engineering the particle size distribution, including a bimodal design that enhances surface-energy-driven morphological transitions. SPS enables a gradual lamellar-to-globular evolution, whereas ERS induces ultrafast transformations governed by current intensity. The bimodal PSD significantly accelerates globularisation at lower energy input. EBSD-KAM (Electron Backscatter Diffraction—Kernel Average Misorientation) mapping identifies the lamellar B2 phase as metastable and highly strained, while globular B2 domains show reduced dislocation density. Nanoindentation confirms that intrinsic phase properties remain unchanged, whereas microhardness scales with morphology and lamellar spacing. These results demonstrate that the macroscopic mechanical response is governed by microstructure, establishing powder metallurgy as a uniquely powerful pathway for microstructure-driven design in eutectic HEAs. Full article
(This article belongs to the Special Issue Feature Papers in Entropic Alloys and Meta-Metals (2nd Edition))
Show Figures

Figure 1

26 pages, 6666 KB  
Article
A Complete, Sustainable Utilization Strategy: From Ferronickel Slag to High-Purity Magnesium Sulfate and Portland Cement
by Xihu Lei, Hui Li, Jiaming Huang, Minghua Shangguan, Shuxin Mi and Feng Gao
Sustainability 2026, 18(5), 2544; https://doi.org/10.3390/su18052544 - 5 Mar 2026
Viewed by 136
Abstract
Ferronickel slag, as a major solid waste in the stainless-steel industry, poses a serious threat to the environment due to its large-scale production and low utilization rate. In this study, magnesium oxide in the ferronickel slag was leached out and converted into high-purity [...] Read more.
Ferronickel slag, as a major solid waste in the stainless-steel industry, poses a serious threat to the environment due to its large-scale production and low utilization rate. In this study, magnesium oxide in the ferronickel slag was leached out and converted into high-purity magnesium sulfate, while the leach residue was utilized for cement clinker production. During the complete utilization of ferronickel slag, the Mg leaching efficiency reached 90.75% and was significantly enhanced by reducing the particle size of the ferronickel slag with H2SO4 solution as the sole solvent. High-purity magnesium sulfate with a purity of 99.92% was prepared from the leachate through a multi-step process involving primary crystallization, purification, and secondary crystallization. The leach residue, accounting for 68.20% of the original mass, was primarily composed of 79.4 wt% SiO2 and less than 6.1 wt% MgO and is used as a key raw material in the production of Portland cement. Sintering temperature significantly influenced the structure and properties of the resulting cement. Both the Portland clinker and cement were successfully produced at sintering temperatures of 1400 °C and 1450 °C when the leach residue was used as a primary raw material, with well-developed cementitious phases of calcium silicate and aluminate formed during calcination. The setting time, soundness, and compressive and flexural strengths of the hardened C1400 and C1450 mortars met the requirements specified in relevant standards. Through this integrated process, the overall utilization rate of the ferronickel slag reached 100%. Based on a preliminary estimate, full utilization of the annual ferronickel slag production in China could substitute at least 19.5 million tons of magnesite and 15.0 million tons of silica and reduce CO2 emissions by 10.3 million tons. Full article
(This article belongs to the Section Waste and Recycling)
Show Figures

Graphical abstract

19 pages, 4617 KB  
Article
Development and Characteristics of New Biobased Magnesium Composites
by Apoorva Gautam, Michael Johanes and Manoj Gupta
Metals 2026, 16(3), 293; https://doi.org/10.3390/met16030293 - 5 Mar 2026
Viewed by 195
Abstract
The integration of sustainable and natural waste-derived materials into lightweight metals presents a promising strategy with both environmental and performance-related benefits. In this study, a biobased magnesium composite reinforced with dried leaf powder (DLP) derived from fallen waste leaves was synthesized using a [...] Read more.
The integration of sustainable and natural waste-derived materials into lightweight metals presents a promising strategy with both environmental and performance-related benefits. In this study, a biobased magnesium composite reinforced with dried leaf powder (DLP) derived from fallen waste leaves was synthesized using a controlled powder metallurgy method incorporating energy efficient hybrid microwave sintering, followed by hot extrusion at varying temperatures (350 °C, 250 °C, 150 °C). Microstructural analysis revealed that the addition of DLP had minimal effect on the overall grain morphology, while lower extrusion temperatures promoted finer grains due to restricted grain growth. Mg–5DLP composites consistently exhibited higher porosity than pure Mg, primarily due to the evaporation of organic constituents during sintering. The damping performance of the biomass-containing materials was improved (54.5% increase), particularly at lower extrusion temperatures (250 °C), though mechanical performance showed a trade-off with reduced hardness and compressive strength. A slight increase in yield strength at lower extrusion temperatures was attributed to retained dislocation density and grain refinement. Thermal stability remained largely unaffected, while corrosion behavior was strongly dependent on both DLP addition and extrusion temperature, with Mg–5DLP samples corroding faster than pure Mg when extruded at higher temperatures; interestingly, however, at the lowest extrusion temperature (150 °C), improved corrosion resistance to pure Mg (1.3 mm/year for Mg-5DLP vs. 2.0 mm/year for pure Mg) was observed. Overall, this work demonstrates that extrusion temperature is a critical factor in controlling the microstructure, thermal response, damping response, mechanical behavior and corrosion of biobased composites. The study not only highlights the potential of using direct biomass reinforcement of magnesium to synthesize lightweight, ecofriendly materials, but also lays a strong foundation for future investigations into biobased composite design, processing optimization, and property tailoring. Full article
Show Figures

Graphical abstract

16 pages, 5053 KB  
Article
Influence of the Post-Processing on the Surface Quality and the Mechanical Properties of Alumina Parts Processed by Ceramic Material Extrusion Additive Manufacturing
by Thomas Heim and Frank Kern
Materials 2026, 19(5), 998; https://doi.org/10.3390/ma19050998 - 5 Mar 2026
Viewed by 221
Abstract
This paper presents an evaluation of two new approaches to improve the surface quality and the mechanical properties of ceramic parts printed by fused deposition of ceramic (FDC). Dip-coating and aerosol-treatment are performed in order to reduce the staircase effect in the vertical [...] Read more.
This paper presents an evaluation of two new approaches to improve the surface quality and the mechanical properties of ceramic parts printed by fused deposition of ceramic (FDC). Dip-coating and aerosol-treatment are performed in order to reduce the staircase effect in the vertical printing direction, which typically represents the weakest orientation in most additive manufacturing processes, particularly in fused filament fabrication (FFF). The post-treatments are applied on two highly filled alumina feedstocks. A commercial aerosol-treatment machine for fused deposition modeling is used with ethanol as solvent. A suspension composition for dip-coating is developed to reduce the surface roughness without compromising the printing resolution. The influence of these post-processing steps on the mechanical properties and surface roughness of the green and sintered parts is investigated using perthometer measurements and four-point bending tests in the vertical build direction on as-processed, aerosol-treated, and dip-coated samples. The mechanical results are compared to extruded strand samples. An improvement in surface quality is achievable by dip-coating despite reduction in the parts strength, with a reduction of 65% of the Rz values in the sintered state compared to untreated samples. Aerosol-treatment neither improves the surface quality nor the mechanical properties of the parts. The feedstock and post-processing steps developed in this research aim at printing dense ceramic parts with high surface quality, serving as a basis for developing ceramic parts with higher strength. This advancement will facilitate the utilization of FDC in structural and aesthetic design applications. Full article
Show Figures

Graphical abstract

17 pages, 4131 KB  
Article
CrFeVWX (X = Ta or Ti) High-Entropy Alloy: A Theoretical and Experimental Comparative Investigation on Phase Stability
by Ricardo Martins, Vasco Valadares, André Pereira, António P. Gonçalves, Filipe Neves, Ana Sá, Paulo Luz, Bernardo Monteiro, Andrei Galatanu, Judith Monnier, Benjamin Villeroy and Marta Dias
Materials 2026, 19(5), 987; https://doi.org/10.3390/ma19050987 - 4 Mar 2026
Viewed by 268
Abstract
Materials capable of withstanding extreme environments open promising opportunities for nuclear fusion reactors. In this study, equiatomic CrFeTaVW and CrFeTiVW high-entropy alloys are investigated as interlayer materials between W and CuCrZr. Monte Carlo and Molecular Dynamics simulations predicted a bcc-type structure for both [...] Read more.
Materials capable of withstanding extreme environments open promising opportunities for nuclear fusion reactors. In this study, equiatomic CrFeTaVW and CrFeTiVW high-entropy alloys are investigated as interlayer materials between W and CuCrZr. Monte Carlo and Molecular Dynamics simulations predicted a bcc-type structure for both systems. Additionally, the Monte Carlo simulation predicts lower potential energy and a more stable structure for both systems than Molecular Dynamics. For CrFeTaVW, the chemical segregation values are lower in MC than in the MD simulation, whereas for CrFeTiVW, the opposite trend is observed, with MC indicating stronger segregation values. After simulation, the high-entropy alloys were prepared by planetary ball milling, consolidated by spark plasma sintering, and analyzed using X-ray diffraction, scanning electron microscopy, and thermal diffusivity. The experimental results for the milled powders confirmed the formation of a bcc structure in both alloys. The consolidated material revealed a bcc-type structure and an Fe2Ta Laves phase for the CrFeTaVW HEA, while the CrFeTiVW HEA exhibits two different bcc-type structures. The values of CrFeTaVW and CrFeTiVW thermal diffusivity are between 3.5 and 7 mm2/s, which is consistent with the expected values for high-entropy alloys. Overall, the findings indicate that these HEAs have promising properties that can be used in extreme environments. Full article
(This article belongs to the Special Issue High-Entropy Alloys: Synthesis, Characterization, and Applications)
Show Figures

Graphical abstract

55 pages, 14077 KB  
Review
Polymeric Powders for Powder Bed Fusion: From Chemistry and Powder Characteristics to Process Parameters, Defects and Applications
by Sina Zinatlou Ajabshir, Helia Mohammadkamal, Zahra Zinatlou Ajabshir, Diego Barletta, Fabrizia Caiazzo and Massimo Poletto
Polymers 2026, 18(5), 622; https://doi.org/10.3390/polym18050622 - 2 Mar 2026
Viewed by 547
Abstract
Polymer powder bed fusion (PBF) is strongly influenced by powder chemistry and powder state, yet many studies discuss the materials and processing conditions in isolation. This review synthesises the literature using a powder-centred framework that connects polymer chemistry and powder production history to [...] Read more.
Polymer powder bed fusion (PBF) is strongly influenced by powder chemistry and powder state, yet many studies discuss the materials and processing conditions in isolation. This review synthesises the literature using a powder-centred framework that connects polymer chemistry and powder production history to measurable powder descriptors, and then links these descriptors to processing windows, defect mechanisms, and application outcomes. Key descriptors include crystallinity and thermal transitions, additive packages, particle size distribution, morphology, and surface texture. Environmental sensitivities are also considered, including moisture uptake, temperature effects, and optical response. These factors are related to powder spreading, energy absorption, and melt solidification or sintering to explain how flowability, packing density, and melt dynamics govern porosity, lack of fusion, distortion, and degradation. Powder qualification is discussed together with lot-to-lot variability and lifecycle effects, including ageing, reuse, and refresh, using the indicators commonly reported in laboratory and production settings and supported by emerging in situ monitoring. Application case studies are consolidated to illustrate how powder state and process control translate into repeatable qualification targets as polymer PBF moves toward a predictable and transferable manufacturing practice. Full article
(This article belongs to the Special Issue 3D Printing of Polymer Composites, 2nd Edition)
Show Figures

Graphical abstract

22 pages, 1960 KB  
Review
Micro- and Mesoporous Silica-Based Materials as Support Catalysts in Reforming Reactions
by Chiara Nunnari, Antonio Fotia, Angela Malara, Anastasia Macario and Patrizia Frontera
Catalysts 2026, 16(3), 218; https://doi.org/10.3390/catal16030218 - 1 Mar 2026
Viewed by 399
Abstract
Reforming processes are key technologies for the production of hydrogen and synthesis gas from hydrocarbon feedstocks, with steam reforming and dry reforming being the most extensively studied routes. Steam reforming remains the dominant industrial process due to its high efficiency and economic viability; [...] Read more.
Reforming processes are key technologies for the production of hydrogen and synthesis gas from hydrocarbon feedstocks, with steam reforming and dry reforming being the most extensively studied routes. Steam reforming remains the dominant industrial process due to its high efficiency and economic viability; however, its associated CO2 emissions raise environmental concerns, partially mitigated through an integration with carbon capture and storage technologies. Dry reforming has emerged as an attractive alternative, although it requires high operating temperatures and suffers from catalyst deactivation. Catalyst design is therefore critical for improving process efficiency and stability. Supported metal catalysts, particularly Ni-based systems, are widely employed, with the support material playing a decisive role in metal dispersion, resistance to sintering and coking, and reaction selectivity. Microporous and mesoporous silica-based materials, including zeolites and ordered mesoporous silicas, offer tunable structural and surface properties that enhance catalytic performance. The novelty of this work lies in its holistic approach to reforming catalysis, where the catalytic performance is not discussed solely in terms of active metals, but is systematically correlated with the surface properties, chemical composition, and structural features of silica-based supports. Moreover, this study expands the perspective to alternative and less-explored feedstocks. By considering multiple fuels and support types, the study provides new design guidelines for developing more efficient and sustainable reforming catalysts. Full article
Show Figures

Graphical abstract

15 pages, 2880 KB  
Article
Effects of Platelet TiB2 on the Formation and Mechanical Properties of (Zr,Ti)B2 Ceramics Prepared by Spark Plasma Sintering
by Shaolei Song, Peiqi Jiang, Yuanyuan Liu, Lei Lei and Yan Li
Materials 2026, 19(5), 946; https://doi.org/10.3390/ma19050946 - 28 Feb 2026
Viewed by 237
Abstract
(Zr,Ti)B2 ceramics with enhanced hardness and fracture toughness were prepared by spark plasma sintering using platelet TiB2 and irregular ZrB2 as starting powders. The effects of sintering temperature (1700–1900 °C) and platelet TiB2 content (0–30 wt.%) on the sinterability, [...] Read more.
(Zr,Ti)B2 ceramics with enhanced hardness and fracture toughness were prepared by spark plasma sintering using platelet TiB2 and irregular ZrB2 as starting powders. The effects of sintering temperature (1700–1900 °C) and platelet TiB2 content (0–30 wt.%) on the sinterability, phase composition, microstructure, and mechanical properties of the (Zr,Ti)B2 ceramics were investigated. With increasing sintering temperature, the relative density of the solid solution increased from 89.9 ± 0.5% at 1700 °C to 97.7 ± 0.4% at 1800 °C, followed by no significant change upon further temperature elevation; however, the relative density showed an initial increase and subsequent decrease with increasing TiB2 content. Under optimized parameters (1800 °C, 3 min, 50 MPa, with a TiB2 content of 30 wt.%), (Zr,Ti)B2 ceramics achieve a maximum hardness of 24.9 ± 1.0 GPa, a fracture toughness of 5.0 ± 0.3 MPa·m1/2, and a relative density of 96.5 ± 0.5%. The high content of platelet TiB2 refined the (Zr,Ti)B2 grain size, reducing the D50 by 25.8% to 1.70 μm compared to the 20 wt.% content. This study provides a novel perspective for the design and preparation of high-performance ceramics. Full article
(This article belongs to the Section Advanced Composites)
Show Figures

Graphical abstract

21 pages, 7458 KB  
Article
Mechanistic Analysis of the Effect of Hematite Concentrates on the Sintering Properties of Iron Ore Fines: Based on Process Mineralogy and Sintering Properties
by Sijun Xie, Jian Pan, Deqing Zhu, Qingshi Song, Siwei Li, Congcong Yang, Zhengqi Guo and Mengjie Hu
Minerals 2026, 16(3), 255; https://doi.org/10.3390/min16030255 - 28 Feb 2026
Viewed by 188
Abstract
The sintering process represents a primary source of dust, SO2, NOx, and CO2 emissions in steel mills. Utilizing high-grade concentrate with low impurity content can directly reduce slag generation at the source, thereby decreasing fuel consumption and minimizing associated emissions. [...] Read more.
The sintering process represents a primary source of dust, SO2, NOx, and CO2 emissions in steel mills. Utilizing high-grade concentrate with low impurity content can directly reduce slag generation at the source, thereby decreasing fuel consumption and minimizing associated emissions. This study investigated the physicochemical properties, microstructure, and elemental distribution of hematite concentrates (H2 and H3) and H1 sinter fines. Sinter pot tests were conducted to evaluate the effects of blending these two concentrates on sintering performance and key quality indices. Microstructural analysis and quantitative phase composition statistics of the sintered products were performed to elucidate the mechanisms by which these concentrates influence sintering outcomes. Results demonstrated that replacing 33% H1 sinter fines with 33% H2 or H3 concentrates reduced the tumbler index from 73.6% to 68.5% and 73.2%, respectively. The productivity coefficient decreased to 68.5% and 73.2%, while solid fuel consumption increased from 73.9 kg/t to 90.5 kg/t and 81.2 kg/t. RI declined from 80.0% to 77.9% and 78.4%, whereas RDI improved from 72.9% to 76.8% and 75.8%. Full article
(This article belongs to the Special Issue Mineralogy of Iron Ore Sinters, 3rd Edition)
Show Figures

Figure 1

20 pages, 4585 KB  
Article
Fabrication of Temperature-Stable Low-Temperature Co-Fired Ceramics via Reaction Between Ba3(VO4)2 and Li2WO4
by Du-Won Kim, Hye-Won Jeong and Kyoung-Ho Lee
Materials 2026, 19(5), 889; https://doi.org/10.3390/ma19050889 - 27 Feb 2026
Viewed by 130
Abstract
New glass-free low-temperature co-fired microwave dielectric composites with compositions (1–4x/3)Ba3(VO4)2–xBaWO4–(2x/3)Li3VO4 (x = 0.3–0.7) were fabricated by reactive liquid-phase sintering of (1–x)Ba3(VO4)2–xLi2WO4 mixtures at [...] Read more.
New glass-free low-temperature co-fired microwave dielectric composites with compositions (1–4x/3)Ba3(VO4)2–xBaWO4–(2x/3)Li3VO4 (x = 0.3–0.7) were fabricated by reactive liquid-phase sintering of (1–x)Ba3(VO4)2–xLi2WO4 mixtures at 850 °C. During sintering, Li2WO4 is fully consumed by reacting with Ba3(VO4)2 to form BaWO4 and Li3VO4 while providing a transient liquid phase that promotes densification. As a result, the sintered ceramics achieve high relative densities of ≈94–98% at 850 °C. The relative fractions of Ba3(VO4)2, BaWO4, and Li3VO4 can be systematically tailored by adjusting the initial Li2WO4 content, enabling effective control of the temperature coefficient of the resonant frequency (τf) and the quality factor (Q × f). With increasing Li2WO4 content, the τf values shift from +23.97 to −45.48 ppm/°C, owing to the increasing contributions of the negative τf phases BaWO4 and Li3VO4, while the Q × f values increase moderately from 44,300 to 47,300 GHz. The optimal microwave dielectric properties are obtained for x = 0.5, meaning εr = 9.19, Q × f = 45,900 GHz, and τf = −1.15 ppm/°C when sintering at 850 °C for 1 h. Chemical compatibility tests confirmed that the composites exhibit no detectable reaction with Ag electrodes, indicating that the Ba3(VO4)2–BaWO4–Li3VO4 system is a promising glass-free dielectric for LTCC applications requiring low firing temperature, near-zero thermal drift, and reliable electrode compatibility. Full article
(This article belongs to the Section Electronic Materials)
Show Figures

Figure 1

9 pages, 1465 KB  
Article
Optimizing Sintering Temperature for Enhanced Piezoelectric Performance in PMT-PNT-PZT Ceramics
by Shaoyang Yuan, Junjun Wang, Junjun He, Liqiang Liu, Yufang Jiao, Yan Mu and Fengmin Wu
Crystals 2026, 16(3), 163; https://doi.org/10.3390/cryst16030163 - 27 Feb 2026
Viewed by 167
Abstract
The 0.006Pb(Mn1/3Ta2/3)O3-0.114Pb(Ni1/3Ta2/3)O3-0.43PbZrO3-0.45PbTiO3 lead-based ceramics (PMT-PNT-PZT) were synthesized via the solid-state reaction at different sintering temperatures to study their effects on phase structure, microstructure, and electrical properties. The maximum [...] Read more.
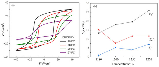
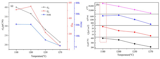
The 0.006Pb(Mn1/3Ta2/3)O3-0.114Pb(Ni1/3Ta2/3)O3-0.43PbZrO3-0.45PbTiO3 lead-based ceramics (PMT-PNT-PZT) were synthesized via the solid-state reaction at different sintering temperatures to study their effects on phase structure, microstructure, and electrical properties. The maximum mechanical quality factor (Qm) and relative permittivity (εr) were achieved at the sintering temperature of 1200 °C. The piezoelectric constant d33 of 400 pC/N was obtained at 1180 °C, which is attributed to the high grain density and the significant contribution from the remanent polarization and permittivity product (Prεr = 39,115 μC/cm2). Compared with commercial PZT4 ceramics, the present composition sintered at 1180 °C exhibits an optimal balance between d33 and Qm, together with the superior figure of merit (FOM = 2.04 × 105 pC/N). Furthermore, it demonstrates excellent temperature stability in electromechanical coupling performance. Full article
(This article belongs to the Special Issue Recent Research on Piezoelectric Ceramics)
Show Figures

Figure 1

17 pages, 7048 KB  
Article
C/CuNi Composites for High-Speed Train Pantograph Sliders: Regulation of Mechanical and Friction Properties by Carbon Fiber Content
by Qi Qiang, Kezhi Li, Tianzhan Shen and Haibo Ouyang
C 2026, 12(1), 19; https://doi.org/10.3390/c12010019 - 26 Feb 2026
Viewed by 227
Abstract
The pantograph slider is a key friction component in high-speed train systems, and its performance directly affects the safety and efficiency of operation. In this study, Cf/C/CuNi composites with carbon fiber contents of 1 wt.%, 3 wt.%, 5 wt.%, and 7 wt.% were [...] Read more.
The pantograph slider is a key friction component in high-speed train systems, and its performance directly affects the safety and efficiency of operation. In this study, Cf/C/CuNi composites with carbon fiber contents of 1 wt.%, 3 wt.%, 5 wt.%, and 7 wt.% were prepared by a solvothermal method combined with spark plasma sintering (SPS). The influence of carbon fiber content on the mechanical and friction properties of the composites was systematically studied. The results show that the flexural strength of the composites increases from 20.20 MPa to 38.45 MPa with an increase in the carbon fiber content. However, excessive carbon fiber content can lead to fiber agglomeration and interface defects, thereby reducing the friction stability and increasing the wear rate from 0.64 g/m3 to 1.60 g/m3. A carbon fiber content of 1 wt.% helps to form a continuous lubricating film, resulting in a low and stable friction coefficient. This study provides valuable insights for the design and optimization of high-performance pantograph slider materials for high-speed railway applications. Full article
Show Figures

Figure 1

28 pages, 8855 KB  
Article
Artificial Neural Networks for Modeling Mechanical and Microstructural Properties of Spark Plasma Sintered Powders
by Katarzyna Peta, Jakub Wiśniewski and Piotr Siwak
Materials 2026, 19(5), 848; https://doi.org/10.3390/ma19050848 - 25 Feb 2026
Viewed by 231
Abstract
This paper presents a novel approach to modeling and optimizing the mechanical and microstructural properties of 316L stainless steel surfaces manufactured by spark plasma sintering (SPS). The integration of artificial intelligence techniques, particularly artificial neural networks (ANNs), with the optimization of material properties [...] Read more.
This paper presents a novel approach to modeling and optimizing the mechanical and microstructural properties of 316L stainless steel surfaces manufactured by spark plasma sintering (SPS). The integration of artificial intelligence techniques, particularly artificial neural networks (ANNs), with the optimization of material properties and the spark plasma sintering (SPS) process reflects the growing emphasis on intelligent manufacturing in advanced industrial applications. The surface functionality depends on the material’s mechanical and microstructural characteristics. The optimization technique was developed through the processing of a comprehensive set of measurement data, forming the foundation for the artificial intelligence method. To model the relationships between SPS parameters (sintering temperature and holding time) and material properties (density, porosity, hardness, and surface-affected zone (AKA the possible carbide zone depth), a series of controlled experiments was conducted. The performance of neural network models was evaluated using their coefficients of determination (R2 > 0.95) and the sum of squared errors (SSE < 0.02). These metrics were calculated by comparing actual measurement data with values predicted by the models. Validation experiments confirmed the reliability of the presented models and their relevance for implementation in industrial environments. The predictive model is valid for 316L stainless steel within the tested SPS setup and parameter range. Full article
(This article belongs to the Section Materials Simulation and Design)
Show Figures

Figure 1

Back to TopTop