Effect of Mn Addition on the Mechanical Properties and Ferroelectric Behavior of Bi0.5Na0.5TiO3 and 94(Bi0.5Na0.5TiO3)–6(BaTiO3) Ceramics
Highlights
- Mn doping preserves single-phase perovskite structure in BNT and BNT-BT ceramics.
- 0.5 mol% Mn maximizes remanent polarization in BNT-BT (~33–34 μC/cm2).
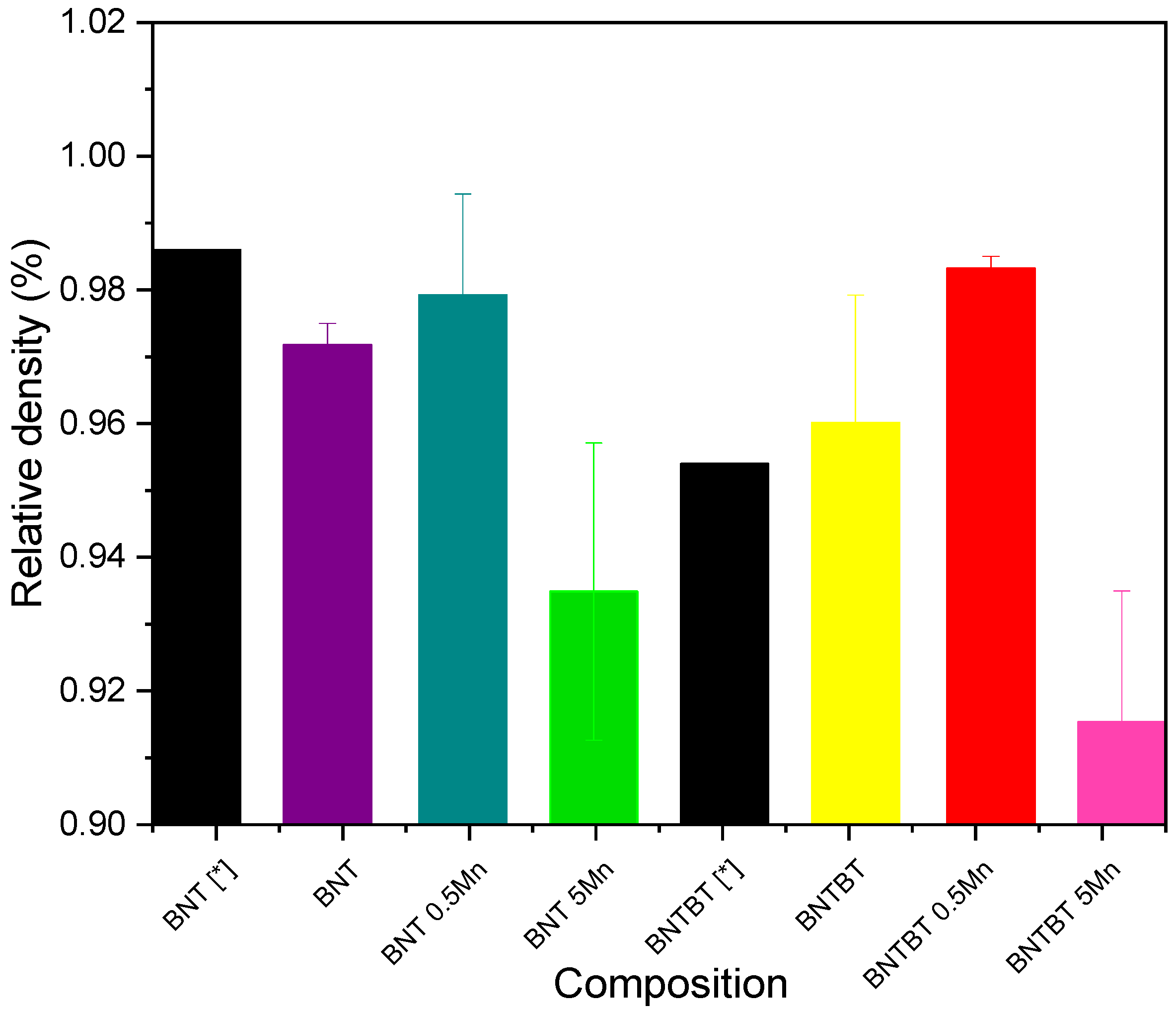
- High Mn content causes grain coarsening and reduced densification.
- Low Mn levels enable tuning of ferroelectric response in lead-free BNT-BT ceramics.
- Excess Mn degrades electrical performance due to porosity and defect saturation.
- Mn-doped BNT-BT ceramics are promising for lead-free piezoelectric applications.
Abstract
1. Introduction
2. Materials and Methods
2.1. Sample Preparation
2.2. Structural, Microstructural, and Spectroscopic Characterization
2.3. Electrical and Ferroelectric Measurements
2.4. Mechanical Properties
3. Results
3.1. Phase Formation and Lattice Parameters
3.2. Density and Microstructure
3.3. Microstructural Characterization
3.3.1. SEM Observations
3.3.2. Optical Microscopy Observations
3.3.3. Consistency Between SEM and Optical Microscopy Results
3.3.4. Raman Spectroscopy
| Composition | A-O | Na-O Ba-O | Ti-O | Ti-O | TiO6 | TiO6 | TiO6 | TiO6 | MnO6 |
|---|---|---|---|---|---|---|---|---|---|
| BNT [52] | -- | 146 | 249 | 281–318 | 542 | -- | -- | 812 | -- |
| BNT-xBT, x < 6 [54] | -- | 146 | 249 | 281 | 542 | -- | -- | 812 | -- |
| BNT | 58 | 126 | 264 | 378 | 529 | 607 | 768 | 864 | -- |
| BNT0.5Mn | 59 | 124 | 270 | 393 | 532 | 593 | 738 | 834 | -- |
| BNT5Mn | 60 | 115 | 258 | 392 | 494 | 495 | 749 | 818 | 692 |
| BNT–BT | 63 | 99 | 269 | 322 | 533 | 619 | 767 | 857 | -- |
| BNT–BT0.5Mn | 63 | 94 | 235 | 269 | 526 | 614 | 770 | 854 | -- |
| BNT–BT5Mn | 61 | 106 | 252 | 356 | 519 | 620 | 751 | 793 | 695 |
3.4. Ferroelectric and Dielectric Properties
| System | Mn (mol%) | Pr (µC/cm2) | Ec (kV/cm) | Emax (kV/cm) | Reference |
|---|---|---|---|---|---|
| BNT | 0 | 29 | 61.1 | >100 | [56] |
| BNT | 0 | 1.8 | 17.7 | 200 | This work |
| BNT | 0.5 | 9.3 | 35.6 | 200 | This work |
| BNT | 5 | 10.1 | 18.5 | 200 | This work |
| BNT–6BT | 0 | 21–30 * | 25–40 * | >100 | [55] |
| BNT–6BT | 0 | 21.7 | 33 | 200 | This work |
| BNT–6BT | 0.5 | 33.5 | 33 | 200 | This work |
| BNT–6BT | 5 | 11.2 | 36.5 | 200 | This work |
3.5. Mechanical Properties
4. Discussion
4.1. Structural Incorporation and Lattice Distortion
4.2. Densification and Microstructural Evolution
4.3. Ferroelectric and Dielectric Response
4.4. Mechanical Behavior
4.5. Defect Chemistry and Overall Implications
5. Conclusions
Author Contributions
Funding
Data Availability Statement
Acknowledgments
Conflicts of Interest
References
- Karageorgou, M.A.; Tsakmakidis, K.; Stamopoulos, D. Ferroelectric/Piezoelectric Materials in Energy Harvesting: Physical Properties and Current Status of Applications. Crystals 2024, 14, 806. [Google Scholar] [CrossRef]
- Liu, G.; Zhang, S.; Jiang, W.; Cao, W. Losses in Ferroelectric Materials. Mater. Sci. Eng. R Rep. 2015, 89, 1–48. [Google Scholar] [CrossRef]
- Sezer, N.; Koç, M. A Comprehensive Review on the State-of-the-Art of Piezoelectric Energy Harvesting. Nano Energy 2021, 80, 105567. [Google Scholar] [CrossRef]
- Song, T.K.; Kim, M.-H.; Sung, Y.-S.; Yeo, H.G.; Lee, S.H.; Jeong, S.-J.; Song, J.-S. Depolarization Temperatures in Pb-Free Piezoelectric Materials. J. Korean Phys. Soc. 2007, 51, 697. [Google Scholar] [CrossRef]
- Selten, M.; Schneider, G.A.; Knoblauch, V.; McMeeking, R.M. On the Evolution of the Linear Material Properties of PZT during Loading History—An Experimental Study. Int. J. Solids Struct. 2005, 42, 3953–3966. [Google Scholar] [CrossRef]
- Kholkin, A.L.; Pertsev, N.A.; Goltsev, A.V. Piezoelectricity and Crystal Symmetry. In Piezoelectric and Acoustic Materials for Transducer Applications; Springer: Boston, MA, USA, 2008; pp. 17–38. [Google Scholar]
- Moharana, C. Synthesis of Low Loss Lead-Free Piezoelectric BNT-BT Ceramic. Ph.D. Thesis, National Institute of Technology, Delhi, India, 2009; pp. 1–24. [Google Scholar]
- Zhou, X.; Yan, Z.; Qi, H.; Wang, L.; Wang, S.; Wang, Y.; Jiang, C.; Luo, H.; Zhang, D. Electrical Properties and Relaxor Phase Evolution of Nb-Modified Bi0.5Na0.5TiO3–Bi0.5K0.5TiO3–SrTiO3 Lead-Free Ceramics. J. Eur. Ceram. Soc. 2019, 39, 2310–2317. [Google Scholar] [CrossRef]
- Xinyou, H.; Chunhua, G.; Zhigang, C.; Huiping, L. Influence of Composition on Properties of BNT-BT Lead-Free Piezoceramics. J. Rare Earths 2006, 24, 321–324. [Google Scholar] [CrossRef]
- Jaita, P.; Watcharapasorn, A.; Jiansirisomboon, S. Effects BNT Compound Incorporated on Structure and Electrical Properties of PZT Ceramic. Curr. Appl. Phys. 2011, 11, S77–S81. [Google Scholar] [CrossRef]
- Trelcat, J.-F.; Courtois, C.; Rguiti, M.; Leriche, A.; Duvigneaud, P.-H.; Segato, T. Morphotropic Phase Boundary in the BNT-BT–BKT System. Ceram. Int. 2012, 38, 2823–2827. [Google Scholar] [CrossRef]
- Zhang, Y.-R.; Li, J.-F.; Zhang, B.-P.; Peng, C.-E. Piezoelectric and Ferroelectric Properties of Bi-Compensated (Bi1/2Na1/2)TiO3–(Bi1/2K1/2)TiO3 Lead-Free Piezoelectric Ceramics. J. Appl. Phys. 2008, 103, 074109. [Google Scholar] [CrossRef]
- Zhou, X.; Xue, G.; Luo, H.; Bowen, C.R.; Zhang, D. Phase Structure and Properties of Sodium Bismuth Titanate Lead-Free Piezoelectric Ceramics. Prog. Mater. Sci. 2021, 122, 100836. [Google Scholar] [CrossRef]
- Dong, G.; Fan, H.; Liu, L.; Ren, P.; Cheng, Z.; Zhang, S. Large Electrostrain in Bi1/2Na1/2TiO3-Based Relaxor Ferroelectrics: A Case Study of Bi1/2Na1/2TiO3–Bi1/2K1/2TiO3–Bi(Ni2/3Nb1/3)O3 Ceramics. J. Mater. 2021, 7, 593–602. [Google Scholar] [CrossRef]
- Rao, P.V.B.; Ramana, E.V.; Sankaram, T.B. Electrical Properties of K0.5Bi0.5TiO3. J. Alloys Compd. 2009, 467, 293–298. [Google Scholar] [CrossRef]
- Picht, G.; Töpfer, J.; Hennig, E. Structural Properties of (Bi0.5Na0.5)1−xBaxTiO3 Lead-Free Piezoelectric Ceramics. J. Eur. Ceram. Soc. 2010, 30, 3445–3453. [Google Scholar] [CrossRef]
- Martin, L.W.; Chu, Y.-H.; Ramesh, R. Advances in the Growth and Characterization of Magnetic, Ferroelectric, and Multiferroic Oxide Thin Films. Mater. Sci. Eng. R Rep. 2010, 68, 89–133. [Google Scholar] [CrossRef]
- Zhang, S.; Xia, R.; Shrout, T.R. Lead-Free Piezoelectric Ceramics vs. PZT? J. Electroceram. 2007, 19, 251–257. [Google Scholar] [CrossRef]
- Fachbereich, V.; Geowissenschaften, M.; Seifert, K. Lead-Free Piezoelectric Ceramics; Technische Universität Darmstadt: Darmstadt, Germany, 2010. [Google Scholar]
- Safari, A.; Abazari, M. Lead-Free Piezoelectric Ceramics and Thin Films. IEEE Trans. Ultrason. Ferroelectr. Freq. Control 2010, 57, 2165–2176. [Google Scholar] [CrossRef] [PubMed]
- Chandrasekhar, M.; Kumar, P. Synthesis and Characterizations of BNT-BT and BNT-BT–KNN Ceramics for Actuator and Energy Storage Applications. Ceram. Int. 2015, 41, 5574–5580. [Google Scholar] [CrossRef]
- Shvartsman, V.V.; Lupascu, D.C. Lead-Free Relaxor Ferroelectrics. J. Am. Ceram. Soc. 2012, 95, 1–26. [Google Scholar] [CrossRef]
- Liu, G.; Nie, H.; Zhang, L.; Zeng, X.; Zheng, Y.; Chen, X.; Wang, X.; Yu, K.; Jin, L.; Yan, Y. Giant Electric Field-Induced Strain and Structure Evolution of NaTaO3-Modified 0.94(Bi0.5Na0.5)TiO3–0.06BaTiO3 Pb-Free Ceramics. Ceram. Int. 2023, 49, 20357–20364. [Google Scholar] [CrossRef]
- Shrout, T.R.; Zhang, S.J. Lead-Free Piezoelectric Ceramics: Alternatives for PZT? J. Electroceram. 2007, 19, 111–124. [Google Scholar] [CrossRef]
- Wang, H.; Li, Q.; Jia, Y.; Yadav, A.K.; Yan, B.; Li, M.; Quan, Q.; Wang, W.; Fan, H. Large Electro-Strain with Excellent Fatigue Resistance of Lead-Free (Bi0.5Na0.5)0.94Ba0.06Ti1−x(Y0.5Nb0.5)XO3 Perovskite Ceramics. Ceram. Int. 2021, 47, 17092–17098. [Google Scholar] [CrossRef]
- Liang, G.; Zhang, Y.; Zhu, J.; Zhang, Q.; Peng, B. Tailoring and Improving the Strong-Electric-Field Electrical Properties of the BNT-BT Ferroelectric Ceramics by a Functional-Group-Doping. Ceram. Int. 2021, 47, 6584–6590. [Google Scholar] [CrossRef]
- Takenaka, T.; Marumaya, K.-i.; Koichiro, S. (Bi1/2Na1/2)TiO3–BaTiO3 System for Lead-Free Piezoelectric Ceramics. Jpn. J. Appl. Phys. 1991, 30, 2236. [Google Scholar] [CrossRef]
- Li, X.-J.; Wang, Q.; Li, Q.-L. Effects of MnO2 Addition on Microstructure and Electrical Properties of (Bi0.5Na0.5)0.94Ba0.06TiO3 Ceramics. J. Electroceram. 2007, 20, 89–94. [Google Scholar] [CrossRef]
- Zhong, X.; Shui, A.; Fang, Y.; Yu, H. Improved Relaxor Behavior and Insulation in BaTiO3-Based Ceramics for High-Performance Energy Storage via Trace MnO2 Doping. Ceram. Int. 2025, 51, 66103–66112. [Google Scholar] [CrossRef]
- Yang, X.; Fang, B.; Zhang, S.; Lu, X.; Ding, J. Reducing Sintering Temperature While Optimizing Electrical Properties of BCZT-Based Lead-Free Ceramics by Adding MnO2 as Sintering Aid. Materials 2025, 18, 1888. [Google Scholar] [CrossRef]
- Bhandari, S.; Kumar, B. Effect of Structural Modification by MnO2 Addition on the Electrical Properties of Lead Free Flux Grown (Na0.5Bi0.5)TiO3–(K0.5Bi0.5)TiO3 Single Crystals. Cryst. Growth Des. 2015, 15, 867–874. [Google Scholar] [CrossRef]
- Sahoo, S.; Pradhan, D.K. Effect of Mn Doping on Structural, Dielectric and Ferroelectric Properties of (K0.5Na0.5)NbO3 Lead Free Ceramics. AIP Conf. Proc. 2024, 2995, 020006. [Google Scholar] [CrossRef]
- Wang, J.; Fan, H. Enhanced Energy Storage Performance and Fatigue Resistance of Mn-Doped 0.7Na0.5Bi0.5TiO3–0.3Sr0.7Bi0.2TiO3 Lead-Free Ferroelectric Ceramics. J. Mater. Res. 2020, 36, 1161–1170. [Google Scholar] [CrossRef]
- Watcharapasorn, A.; Jiansirisomboon, S.; Tunkasiri, T. Microstructures and Mechanical Properties of Zirconium-Doped Bismuth Sodium Titanate Ceramics. Chiang Mai J. Sci. 2006, 33, 169–173. [Google Scholar]
- Kruea-In, C.; Puanpia, P.; Takhan, O.; Inthong, S. Phase Formation, Microstructures, and Mechanical Properties of Lead-Free BNKT Ferroelectric Ceramics Doped with BZZ. In Proceedings of the Key Engineering Materials; Trans Tech Publications Ltd.: Wollerau, Switzerland, 2016; Volume 675–676, pp. 589–592. [Google Scholar]
- Dong, X.; Li, X.; Chen, H.; Dong, Q.; Wang, J.; Wang, X.; Pan, Y.; Chen, X.; Zhou, H. Realizing Enhanced Energy Storage and Hardness Performances in 0.90NaNbO3−0.10Bi(Zn0.5Sn0.5)O3 Ceramics. J. Adv. Ceram. 2022, 11, 729–741. [Google Scholar] [CrossRef]
- Jaita, P.; Jarupoom, P. Enhanced Electric Field-Induced Strain and Electrostrictive Response of Lead-Free BaTiO3-Modified Bi0.5(Na0.80K0.20)0.5TiO3 Piezoelectric Ceramics. J. Asian Ceram. Soc. 2021, 9, 975–987. [Google Scholar] [CrossRef]
- Cho, J.H.; Jeong, Y.H.; Nam, J.H.; Yun, J.S.; Park, Y.J. Fracture Toughness and Electrical Properties of 0.975Bi(Na0.78K0.22)TiO3–0.025BiAlO3 Ceramics. Jpn. J. Appl. Phys. 2013, 52, 101501. [Google Scholar] [CrossRef]
- Gallegos-Melgar, A.; Espinosa-Arbelaez, D.G.; Flores-Ruiz, F.J.; Lahmar, A.; Dellis, J.-L.; Lemée, N.; Espinoza-Beltran, F.J.; Mayén-Sánchez, J.M. Ferroelectric Properties of Manganese Doped (Bi1/2Na1/2)TiO3 and (Bi1/2Na1/2)TiO3–BaTiO3 Epitaxial Thin Films. Appl. Surf. Sci. 2015, 359, 923–930. [Google Scholar] [CrossRef]
- Shannon, R.D. Revised Effective Ionic Radii and Systematic Studies of Interatomic Distances in Halides and Chalcogenides. Acta Crystallogr. A 1976, 32, 751–767. [Google Scholar] [CrossRef]
- Ramesh, S.; Chew, W.J.K.; Tan, C.Y.; Purbolaksono, J.; Noor, A.M.; Hassan, M.A.; Sutharsini, U.; Satgunam, M.; Teng, W.D. Influence of Manganese on the Sintering Properties of Tetragonal Zirconia. Ceram.–Silikáty 2013, 57, 28–32. [Google Scholar]
- Zhong, H.; Zhang, H. Effects of Different Sintering Temperature and Mn Content on Magnetic Properties of NiZn Ferrites. J. Magn. Magn. Mater. 2004, 283, 247–250. [Google Scholar] [CrossRef]
- Pardo, L.; Mercadelli, E.; García, Á.; Brebøl, K.; Galassi, C. Field-Induced Phase Transition and Relaxor Character in Submicrometer-Structured Lead-Free (Bi0.5Na0.5)0.94Ba0.06TiO3 Piezoceramics at the Morphotropic Phase Boundary. IEEE Trans. Ultrason. Ferroelectr. Freq. Control 2011, 58, 1893–1904. [Google Scholar] [CrossRef] [PubMed]
- Hiruma, Y.; Nagata, H.; Takenaka, T. Thermal Depoling Process and Piezoelectric Properties of Bismuth Sodium Titanate Ceramics. J. Appl. Phys. 2009, 105, 084112. [Google Scholar] [CrossRef]
- Suchanicz, J.; Jankowska-Sumara, I.; Kruzina, T.V. Raman and Infrared Spectroscopy of Na0.5Bi0.5TiO3–BaTiO3 Ceramics. J. Electroceram. 2011, 27, 45–50. [Google Scholar] [CrossRef]
- Ojima, K.; Iwasaki, K.; Harada, S.; Takagi, Y.; Nagata, H. Low-Temperature Sintering Mechanism and Electrical Properties of CuO-Added (Bi0.5Na0.5)TiO3 Ceramics. J. Ceram. Soc. Jpn. 2023, 131, 209–215. [Google Scholar] [CrossRef]
- Zhang, Q.; Zhang, Y.; Wang, F.; Wang, Y.; Lin, D.; Zhao, X.; Luo, H.; Ge, W.; Viehland, D. Enhanced Piezoelectric and Ferroelectric Properties in Mn-Doped Na0.5Bi0.5TiO3–BaTiO3 Single Crystals. Appl. Phys. Lett. 2009, 95, 102904. [Google Scholar] [CrossRef]
- Wang, L.G.; Zhu, C.M.; Jiang, J.B.; Yu, G.B.; Qin, H.X.; Zeng, P.Y.; Jiang, C.H.; Wang, Y.S. Dynamics of the Phase Transition in Bi0.5Na0.5TiO3 Based on in Situ Raman Spectroscopy. J. Mater. Chem. C 2023, 11, 13459–13465. [Google Scholar] [CrossRef]
- Kreisel, J.; Glazer, A.; Bouvier, P.; Lucazeau, G. High-Pressure Raman Study of a Relaxor Ferroelectric: The Na0.5Bi0.5TiO3 Perovskite. Phys. Rev. B 2001, 63, 174106. [Google Scholar] [CrossRef]
- Kühn, G. O. Kubaschewski, C. B. Alcock. Metallurgical Thermochemistry. 5th Edition revised and enlarged. International Series on Materials Science and Technology, Vol. 24, G. v. Raynor (ed.). Pergamon Press Oxford, New York, Toronto, Sidney, Paris, Frankfurt 1979 500 Seiten mit 180 Tabellen, 118 Abbildungen und 984 Literaturzitate. Preis: Broschiert US $ 20,00. Krist. Techn. 1980, 15, 176. [Google Scholar] [CrossRef]
- Selvamani, R.; Singh, G.; Sathe, V.; Tiwari, V.S.; Gupta, P.K. Dielectric, Structural and Raman Studies on (Na0.5Bi0.5TiO3)1−x(BiCrO3)x Ceramic. J. Phys. Condens. Matter 2011, 23, 055901. [Google Scholar] [CrossRef] [PubMed]
- Parija, B.; Rout, S.K.; Cavalcante, L.S.; Simões, A.Z.; Panigrahi, S.; Longo, E.; Batista, N.C. Structure, Microstructure and Dielectric Properties of 100−x(Bi0.5Na0.5)TiO3–x[SrTiO3] Composites Ceramics. Appl. Phys. A 2012, 109, 715–723. [Google Scholar] [CrossRef]
- Xie, H.; Jin, L.; Shen, D.; Wang, X.; Shen, G. Morphotropic Phase Boundary, Segregation Effect and Crystal Growth in the NBT–KBT System. J. Cryst. Growth 2009, 311, 3626–3630. [Google Scholar] [CrossRef]
- Parija, B.; Badapanda, T.; Sahoo, P.; Kar, M.; Kumar, P.; Panigrahi, S. Structural and Electromechanical Study of Bi0.5Na0.5TiO3–BaTiO3 Solid-Solutions. Process. Appl. Ceram. 2013, 7, 73–80. [Google Scholar] [CrossRef]
- Ullah Khan, N.; Yun, W.S.; Ullah, A.; Ali, S.; Sheeraz, M.; Ullah, A.; Kim, I.W.; Ahn, C.W. Large Electrostrictive Response via Tailoring Ergodic Relaxor State in Bi1/2Na1/2TiO3-Based Ceramics with Bi(Mn1/2Ce1/2)O3 End-Member. Ceram. Int. 2024, 50, 8790–8799. [Google Scholar] [CrossRef]
- Ali, S.; Sheeraz, M.; Ullah, A.; Yun, W.S.; Ullah, A.; Kim, I.W.; Ahn, C.W. Mapping the Low Tolerance Factor Bi(Li1/3Zr2/3)O3 End Member and MPB Composition Nexus in Bi1/2Na1/2TiO3-Based Ceramics. Chem. Eng. J. 2024, 485, 150087. [Google Scholar] [CrossRef]
- Fu, P.; Xu, Z.; Chu, R.; Li, W.; Xie, Q.; Zang, G. Effects of Eu2O3 on the Structure and Electrical Properties of 0.82Bi0.5Na0.5TiO3–0.18Bi0.5K0.5TiO3 Lead-Free Piezoelectric Ceramics. Curr. Appl. Phys. 2011, 11, 822–826. [Google Scholar] [CrossRef]
- Jaita, P.; Watcharapasorn, A.; Jiansirisomboon, S. Effect of Lead Zirconate Titanate on Microstructure, Mechanical and Electrical Properties of Bismuth Sodium Lanthanum Titanate Ceramics. IOP Conf. Ser. Mater. Sci. Eng. 2011, 18, 092011. [Google Scholar] [CrossRef]
- Wylie-Van Eerd, B.; Damjanovic, D.; Klein, N.; Setter, N.; Trodahl, J. Structural Complexity of (Na0.5Bi0.5)TiO3–BaTiO3 as Revealed by Raman Spectroscopy. Phys. Rev. B 2010, 82, 104112. [Google Scholar] [CrossRef]
- Kreisel, J.; Bouvier, P. High-Pressure Raman Spectroscopy of Nano-Structured ABO3 Perovskites: A Case Study of Relaxor Ferroelectrics. J. Raman Spectrosc. 2003, 34, 524–531. [Google Scholar] [CrossRef]







| Composition | Nomenclature |
|---|---|
| Bi0.5Na0.5TiO3 | BNT |
| Bi0.5Na0.5TiO3 + 0.5%mol MnO2 | BNT0.5Mn |
| Bi0.5Na0.5TiO3 + 5%mol MnO2 | BNT5Mn |
| 0.94(Bi0.5Na0.5TiO3)-0.06(BaTiO3) | BNT–BT |
| 0.94(Bi0.5Na0.5TiO3)-0.06(BaTiO3) + 0.5%mol MnO2 | BNT–BT0.5Mn |
| 0.94(Bi0.5Na0.5TiO3)-0.06(BaTiO3) + 5%mol MnO2 | BNT–BT5Mn |
| Composition | Avg. Grain Size (µm) | Relative Density (%) | Pr (µC/cm2) | tan δ at 1 kHz (%) | Characteristic Hardness H0 Obtained from Two-Parameter Weibull Analysis Vickers Hardness HV (GPa) | Characteristic Reduced Elastic Modulus E0 Obtained from Two-Parameter Weibull Analysis Nanoindentation E* (b) |
|---|---|---|---|---|---|---|
| BNT | <1.0 | ~97 | 1.8 | 4 | 3.18 | 60 |
| BNT0.5Mn | ~2.0 | ~98 | 9.3 | 6 | 6.21 | 96 |
| BNT5Mn | ~5.5 | ~93 | 10.1 | 7 | 3.00 | 98 |
| BNT–BT | ~1.2 | ~96 | 21.7 | 11 | 6.54 | 75 |
| BNT–BT0.5Mn | ~3.2 | ~98 | 33.5 | 21 | 5.90 | 94 |
| BNT–BT5Mn | ~6.8 | ~91 | 11.2 | 10 | 7.70 | 139 |
Disclaimer/Publisher’s Note: The statements, opinions and data contained in all publications are solely those of the individual author(s) and contributor(s) and not of MDPI and/or the editor(s). MDPI and/or the editor(s) disclaim responsibility for any injury to people or property resulting from any ideas, methods, instructions or products referred to in the content. |
© 2026 by the authors. Licensee MDPI, Basel, Switzerland. This article is an open access article distributed under the terms and conditions of the Creative Commons Attribution (CC BY) license.
Share and Cite
Gallegos-Melgar, A.; Mayen, J.; Hernandez-Hernandez, M. Effect of Mn Addition on the Mechanical Properties and Ferroelectric Behavior of Bi0.5Na0.5TiO3 and 94(Bi0.5Na0.5TiO3)–6(BaTiO3) Ceramics. Materials 2026, 19, 1092. https://doi.org/10.3390/ma19061092
Gallegos-Melgar A, Mayen J, Hernandez-Hernandez M. Effect of Mn Addition on the Mechanical Properties and Ferroelectric Behavior of Bi0.5Na0.5TiO3 and 94(Bi0.5Na0.5TiO3)–6(BaTiO3) Ceramics. Materials. 2026; 19(6):1092. https://doi.org/10.3390/ma19061092
Chicago/Turabian StyleGallegos-Melgar, Adriana, Jan Mayen, and Maricruz Hernandez-Hernandez. 2026. "Effect of Mn Addition on the Mechanical Properties and Ferroelectric Behavior of Bi0.5Na0.5TiO3 and 94(Bi0.5Na0.5TiO3)–6(BaTiO3) Ceramics" Materials 19, no. 6: 1092. https://doi.org/10.3390/ma19061092
APA StyleGallegos-Melgar, A., Mayen, J., & Hernandez-Hernandez, M. (2026). Effect of Mn Addition on the Mechanical Properties and Ferroelectric Behavior of Bi0.5Na0.5TiO3 and 94(Bi0.5Na0.5TiO3)–6(BaTiO3) Ceramics. Materials, 19(6), 1092. https://doi.org/10.3390/ma19061092

