Optimizing Sintering Temperature for Enhanced Piezoelectric Performance in PMT-PNT-PZT Ceramics
Abstract
1. Introduction
2. Materials and Methods
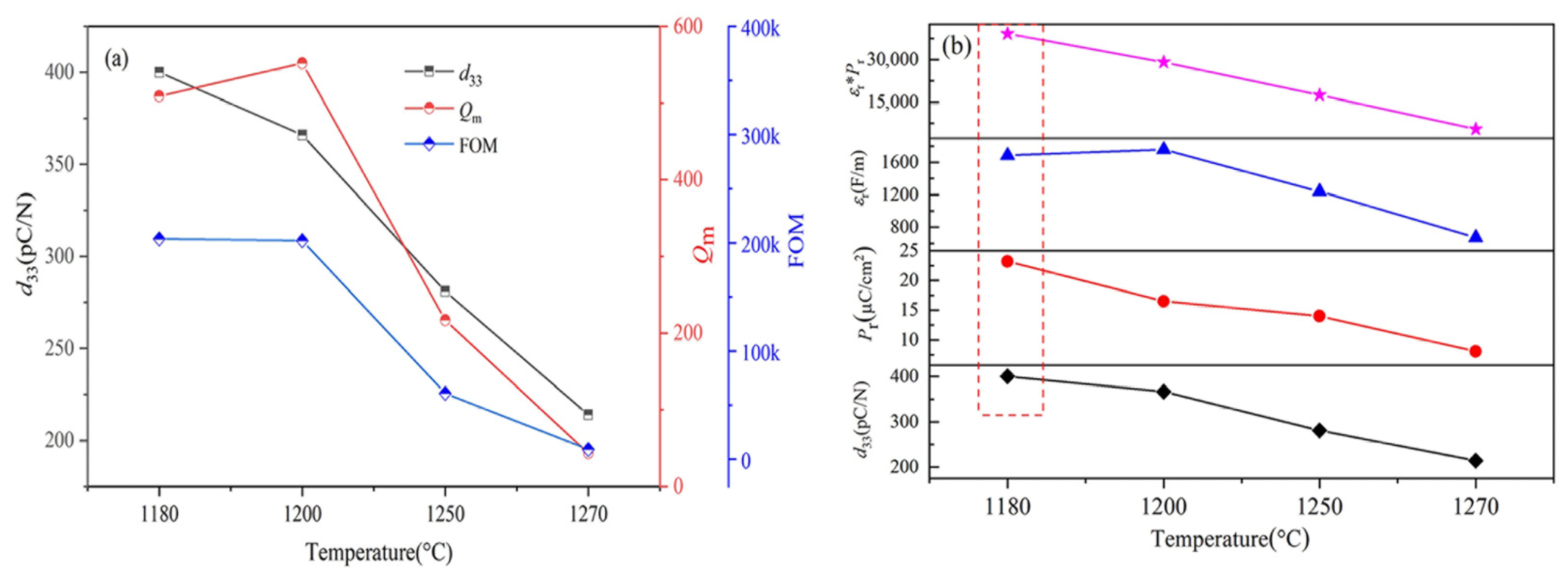
3. Results and Discussion
4. Conclusions
Author Contributions
Funding
Data Availability Statement
Conflicts of Interest
References
- Yang, X.R.; Li, W.L.; Qiao, Y.L.; Zhang, Y.L.; He, J.; Fei, W.D. High Energy-Storage Density of Lead-Free (Sr1−1.5xBix)Ti0.99Mn0.01O3 Thin Films Induced by Bi3+-VSr Dipolar Defects. Phys. Chem. Chem. Phys. 2019, 21, 16359–16366. [Google Scholar] [CrossRef]
- Clementi, G.; Lombardi, G.; Margueron, S.; Suarez, M.A.; Lebrasseur, E.; Ballandras, S.; Imbaud, J.; Lardet-Vieudrin, F.; Gauthier-Manuel, L.; Dulmet, B.; et al. LiNbO3 films-A low-cost alternative lead-free piezoelectric material for vibrational energy harvesters. Mech. Syst. Signal Process. 2020, 149, 107171. [Google Scholar] [CrossRef]
- Brusa, E.; Carrera, A.; Delprete, C. A Review of Piezoelectric Energy Harvesting: Materials, Design, and Readout Circuits. Actuators 2023, 12, 457. [Google Scholar] [CrossRef]
- Yan, Y.; Zhou, J.E.; Maurya, D.; Wang, Y.U.; Priya, S. Giant Piezoelectric Voltage Coefficient in Grain-Oriented Modified PbTiO3 Material. Nat. Commun. 2016, 7, 13089. [Google Scholar] [CrossRef]
- Tressler, J.F.; Alkoy, S.; Newnham, R.E. Piezoelectric Sensors and Sensor Materials. J. Electroceram. 1998, 2, 257–272. [Google Scholar] [CrossRef]
- Yang, X.; Li, W.; Zhang, Y.; Qiao, Y.; Yang, Y.; Fei, W. High Energy Storage Density Achieved in Bi3+-Li+ Co-Doped SrTi0.99Mn0.01O3 Thin Film via Ionic Pair Dooping-Engineering. J. Eur. Ceram. Soc. 2020, 40, 706–711. [Google Scholar] [CrossRef]
- Bartasyte, A.; Clementi, G.; Micard, Q.; Labbaveettil, I.; Moreira, A.S.L.; Boujnah, S.; Ouhabaz, M.; Verma, A.; Ichangi, A.; Malandrino, G.; et al. Material strategies to enhance the performance of piezoelectric energy harvesters based on lead-free materials. J. Micromech. Microeng. 2023, 33, 053001. [Google Scholar] [CrossRef]
- Yang, L.; Huang, H.; Xi, Z.; Zheng, L.; Xu, S.; Tian, G.; Zhai, Y.; Guo, F.; Kong, L.; Wang, Y.; et al. Simultaneously Achieving Giant Piezoelectricity and Record Coercive Field Enhancement in Relaxor-Based Ferroelectric Crystals. Nat. Commun. 2022, 13, 2444. [Google Scholar] [CrossRef]
- Wu, H.; Fu, S.; Wang, S.; Pan, H.; Zha, B.; Gao, A.; Li, L.; Liu, Z.; Liu, L.; Jiao, J.; et al. Electrical Current Visualization Sensor Based on Magneto-Electrochromic Effect. Nano Energy 2022, 98, 107226. [Google Scholar] [CrossRef]
- Zhang, Y.; Jie, W.; Chen, P.; Liu, W.; Hao, J. Ferroelectric and Piezoelectric Effects on the Optical Process in Advanced Materials and Devices. Adv. Mater. 2018, 30, 1707007. [Google Scholar] [CrossRef]
- Wang, Y.; Wang, S.; Meng, Y.; Liu, Z.; Li, D.; Bai, Y.; Yuan, G.; Wang, Y.; Zhang, X.; Li, X.; et al. Pyro-Catalysis for Tooth Whitening via Oral Temperature Fluctuation. Nat. Commun. 2022, 13, 4419. [Google Scholar] [CrossRef] [PubMed]
- Li, Z.; Yi, X.; Yang, J.; Bian, L.; Yu, Z.; Dong, S. Designing Artificial Vibration Modes of Piezoelectric Devices Using Programmable, 3D Ordered Structure with Piezoceramic Strain Units. Adv. Mater. 2022, 34, 2107236. [Google Scholar] [CrossRef]
- Li, Q.; Dong, G.; Zhao, Y.; Liu, R.; Zhang, J.; Lin, X.; Huang, S. High piezoelectric properties and excellent thermal stability in PNN-modified lead zirconate titanate piezoceramics. J. Am. Ceram. Soc. 2025, 108, 20643. [Google Scholar] [CrossRef]
- Li, D.; Zeng, X.; Li, Z.; Shen, Z.-Y.; Hao, H.; Luo, W.; Wang, X.; Song, F.; Wang, Z.; Li, Y. Progress and Perspectives in Dielectric Energy Storage Ceramics. J. Adv. Ceram. 2021, 10, 675–703. [Google Scholar] [CrossRef]
- Li, F.; Lin, D.; Chen, Z.; Cheng, Z.; Wang, J.; Li, C.; Xu, Z.; Huang, Q.; Liao, X.; Chen, L.-Q.; et al. Ultrahigh Piezoelectricity in Ferroelectric Ceramics by Design. Nat. Mater. 2018, 17, 349–354. [Google Scholar] [CrossRef] [PubMed]
- Yimnirun, R.; Ananta, S.; Laoratanakul, P. Dielectric and Ferroelectric Properties of Lead Magnesium Niobate-Lead Zirconate Titanate Ceramics Prepared by Mixed-Oxide Method. J. Eur. Ceram. Soc. 2005, 25, 3235–3242. [Google Scholar] [CrossRef]
- Wang, H.; Zhang, F.; Chen, Y.; Huang, C.; Wang, X.; Wu, X.; Chen, Y.; Xu, Y.; Guan, S.; Zhu, J.; et al. Giant Piezoelectric Coefficient of PNN-PZT-Based Relaxor Piezoelectric Ceramics by Constructing an RT MPB. Ceram. Int. 2021, 47, 12284–12291. [Google Scholar] [CrossRef]
- He, C.; Li, X.; Wang, Z.; Liu, Y.; Shen, D.; Li, T.; Long, X.; Ye, Z.-G. Growth of Pb(Fe1/2Nb1/2)O3-Pb(Yb1/2Nb1/2)O3-PbTiO3 Piezo-/Ferroelectric Crystals for High Power and High Temperature Applications. CrystEngComm 2012, 14, 4407–4413. [Google Scholar] [CrossRef]
- Zhang, S.; Lee, S.-M.; Kim, D.-H.; Lee, H.-Y.; Shrout, T.R. Characterization of Mn-Modified Pb(Mg1/3Nb2/3)O3-PbZrO3-PbTiO3 Single Crystals for High Power Broad Bandwidth Transducers. Appl. Phys. Lett. 2008, 93, 122908. [Google Scholar] [CrossRef]
- Xia, Z.; Li, Q. Structural Phase Transformation and Electrical Properties of (0.90-x)Pb(Mg1/3Nb2/3)O3-xPbTiO3-0.10Pb(Fe1/2Nb1/2)O3 Ferroelectric Ceramics Near the Morphotropic Phase Boundary. Acta Mater. 2007, 55, 6176–6181. [Google Scholar] [CrossRef]
- Hou, Y.; Zhu, M.; Gao, F.; Wang, H.; Wang, B.; Yan, H.; Tian, C. Effect of MnO2 Addition on the Structure and Electrical Properties of Pb(Zn1/3Nb2/3)0.20(Zr0.50Ti0.50)0.80O3 Ceramics. J. Am. Ceram. Soc. 2004, 87, 847–850. [Google Scholar]
- Gao, X.; Wu, J.; Yu, Y.; Chu, Z.; Shi, H.; Dong, S. Giant Piezoelectric Coefficients in Relaxor Piezoelectric Ceramic PNN-PZT for Vibration Energy Harvesting. Adv. Funct. Mater. 2018, 28, 1706895. [Google Scholar]
- Zhao, S.; Wu, H.; Sun, Q. Study on PSN-PZN-PZT Quaternary Piezoelectric Ceramics Near the Morphotropic Phase Boundary. Mater. Sci. Eng. B 2005, 123, 203–210. [Google Scholar]
- Wang, Z.; Li, X.; He, C.; Liu, Y.; Han, S.; Pan, S.; Long, X. Characteristic Electrical Properties of Pb(Sc1/2Nb1/2)O3-PbTiO3 Ferroelectric Crystals. J. Mater. Sci. 2015, 50, 3970–3975. [Google Scholar]
- Huang, T.; Fu, J.; Zuo, R. A Pb(Zr,Ti)O3-Pb(Zn1/3Nb2/3)O3-Bi(Mn2/3Sb1/3)O3 Quaternary Solid Solution Ceramic with Low Sintering Temperature, High Piezoelectric Coefficient and Large Mechanical Quality Factor. J. Mater. Sci. Mater. Electron. 2019, 30, 9540–9546. [Google Scholar] [CrossRef]
- Zhang, H.; Shen, J.; Tian, J.; Zhou, J.; Chen, W. Elastic, Dielectric and Piezoelectric Properties of Fe2O3 Doped PMnS-PZN-PZT Ceramics. Ferroelectrics 2016, 491, 15–26. [Google Scholar] [CrossRef]
- Lee, H.J.; Zhang, S. Design of Low-Loss 1-3 Piezoelectric Composites for High-Power Transducer Applications. IEEE Trans. Ultrason. Ferroelectr. Freq. Control. 2012, 59, 1969–1975. [Google Scholar] [PubMed]
- Lee, S.M.; Lee, S.H.; Yoon, C.B.; Kim, H.E.; Lee, K.W. Low-Temperature Sintering of MnO2-Doped PZT-PZN Piezoelectric Ceramics. J. Electroceram. 2007, 18, 311–315. [Google Scholar]
- Dabas, S.; Kumar, M.; Chaudhary, P.; Thakur, O.P. Enhanced Magneto-Electric Coupling and Energy Storage Analysis in Mn-Modified Lead Free BiFeO3-BaTiO3 Solid Solutions. J. Appl. Phys. 2019, 126, 134102. [Google Scholar] [CrossRef]
- Yoo, J.; Lee, C.; Jeong, Y.; Chung, K.; Lee, D.; Paik, D. Microstructural and Piezoelectric Properties of Low Temperature Sintering PMN-PZT Ceramics with the Amount of Li2CO3 Addition. Mater. Chem. Phys. 2005, 90, 386–390. [Google Scholar] [CrossRef]
- Zhang, S.; Xia, R.; Shrout, T.R. Low Temperature Sintering and Properties of Piezoelectric Ceramics PSNT-Mn with LiBiO2 Addition. Mater. Sci. Eng. B 2006, 129, 131–134. [Google Scholar] [CrossRef]
- Tan, C.K.I.; Sharifzadeh Mirshekarloo, M.; Lai, S.C.; Zhang, L.; Yao, K. PNN-PZN-PMN-PZ-PT Multilayer Piezoelectric Ceramic with Low Sintering Temperature. Int. J. Appl. Ceram. Technol. 2016, 13, 889–895. [Google Scholar] [CrossRef]
- Li, Z.; Fan, H. Polaron Relaxation Associated with the Localized Oxygen Vacancies in Ba0.85Sr0.15TiO3 Ceramics at High Temperatures. J. Appl. Phys. 2009, 106, 054102. [Google Scholar] [CrossRef]
- Guiffard, B.; Boucher, E.; Eyraud, L.; Lebrun, L.; Guyomar, D. Influence of donor co-doping by niobium or fluorine on the conductivity of Mn doped and Mg doped PZT ceramics. J. Eur. Ceram. Soc. 2005, 25, 2487–2490. [Google Scholar] [CrossRef]
- Chen, Y.; Li, L.; Zhou, Z.; Wang, Y.; Chen, Q.; Wang, Q. La2O3-Modified BiYbO3-Pb(Zr,Ti)O3 Ternary Piezoelectric Ceramics with Enhanced Electrical Properties and Thermal Depolarization Temperature. J. Adv. Ceram. 2023, 12, 1593–1611. [Google Scholar] [CrossRef]
- Zhang, S.; Lebrun, L.; Randall, C.A.; Shrout, T.R. Growth and Electrical Properties of (Mn, F) Co-Doped 0.92Pb(Zn1/3Nb2/3)O3-0.08PbTiO3 Single Crystal. J. Cryst. Growth 2004, 267, 204–212. [Google Scholar] [CrossRef]
- Chen, X.; Liao, Y.; Wang, H.; Mao, L.; Xiao, D.; Zhu, J.; Chen, Q. Phase Structure and Electric Properties of Bi0.5(Na0.825K0.175)0.5TiO3 Ceramics Prepared by a Sol-Gel Method. J. Alloys Compd. 2010, 493, 368–371. [Google Scholar] [CrossRef]
- Chauhan, A.; Patel, S.; Vaish, R. Mechanical Confinement for Improved Energy Storage Density in BNT-BT-KNN Lead-Free Ceramic Capacitors. AIP Adv. 2014, 4, 087106. [Google Scholar] [CrossRef]
- Kim, S.W.; Lee, H.C. Development of PZN-PMN-PZT Piezoelectric Ceramics with High d33 and Qm Values. Materials 2022, 15, 7070. [Google Scholar] [CrossRef] [PubMed]
- Yang, Y.; Sun, E.; Xu, Z.; Zheng, H.; Yang, B.; Zhang, R.; Cao, W. Sm and Mn co-doped PMN-PT piezoelectric ceramics: Defect engineering strategy to achieve large d33 and high Qm. J. Mater. Sci. Technol. 2023, 137, 143–151. [Google Scholar] [CrossRef]
- Kamboj, B.; Tanwar, V.; Yadav, A.K.; Yadav, S.; Ghosh, D.; Ingole, P.P. Site-Specific Selenium Substitution Enhances Charge Storage Performance in Solid-State Flexible MnFe2O4-Based Supercapacitor Devices via Modulated d-States. Adv. Funct. Mater. 2025, 36, 16045. [Google Scholar]
- Wu, Y.; Cheng, Y.; Guan, S.; Wang, X.; Shi, W.; Xu, H.; Lang, R.; Xing, J.; Zhu, J.; Chen, Q. KNN-Based Lead-Free Piezoelectric Ceramics with High Qm and Enhanced d33 via a Donor-Acceptor Codoping Strategy. Inorg. Chem. 2023, 62, 15094–15103. [Google Scholar] [CrossRef]
- Bian, L.; Zhu, K.; Wang, Q.; Ma, J.; Fan, J.; Qi, X.; Jiang, G.; Zhao, B.; Zhang, R.; Yang, B.; et al. Performance Enhancement of Ultrasonic Transducer Made of Textured PNN-PZT Ceramic. J. Adv. Dielectr. 2022, 12, 2244003. [Google Scholar] [CrossRef]
- Haertling, G.H. Ferroelectric Ceramics: History and Technology. J. Am. Ceram. Soc. 1999, 82, 797–818. [Google Scholar] [CrossRef]
- Zhang, S.; Lee, S.M.; Kim, D.H.; Lee, H.-Y.; Shrout, T.R. Temperature Dependence of the Dielectric, Piezoelectric, and Elastic Constants for Pb(Mg1/3Nb2/3)O3-PbZrO3-PbTiO3 Piezocrystals. J. Appl. Phys. 2007, 102, 114103. [Google Scholar]
- Feng, Y.; Yang, C.; Guo, X.; Sun, W.; Wang, W.; Lin, X.; Huang, S. Achieving Both Large Piezoelectric Constant and Low Dielectric Loss in BiScO3-PbTiO3–Bi(Mn2/3Sb1/3)O3 High-Temperature Piezoelectric Ceramics. J. Adv. Dielectr. 2022, 12, 2250017. [Google Scholar] [CrossRef]
- Zhou, C.; Zhang, J.; Yao, W.; Liu, D.; He, G. Remarkably Strong Piezoelectricity, Rhombohedral-Orthorhombic-Tetragonal Phase Coexistence and Domain Structure of (K,Na)(Nb,Sb)O3-(Bi,Na)ZrO3-BaZrO3 Ceramics. J. Alloys Compd. 2020, 820, 153411. [Google Scholar] [CrossRef]





| Material | εr | kp | kt | Tc (°C) | d33 (pC/N) | Qm | FOM(pC/N) | Ref. |
|---|---|---|---|---|---|---|---|---|
| PMT-PNT-PZ-PT (1180 °C) | 1686 | 0.65 | 304 | 400 | 509 | 2.04 × 105 | This work | |
| PZT4 | 1300 | 0.58 | 328 | 289 | 500 | 1.50 × 105 | [44] | |
| PMN-PZT | 216 | 1530 | 100 | 1.53 × 105 | [45] | |||
| BS–yPT–xBMS | 1384 | 0.50 | 410 | 330 | 84 | 2.80 × 104 | [46] | |
| KNNS-BNZ-xBZ | 3460 | 0.58 | 0.45 | 610 | 34 | 2.10 × 104 | [47] |
Disclaimer/Publisher’s Note: The statements, opinions and data contained in all publications are solely those of the individual author(s) and contributor(s) and not of MDPI and/or the editor(s). MDPI and/or the editor(s) disclaim responsibility for any injury to people or property resulting from any ideas, methods, instructions or products referred to in the content. |
© 2026 by the authors. Licensee MDPI, Basel, Switzerland. This article is an open access article distributed under the terms and conditions of the Creative Commons Attribution (CC BY) license.
Share and Cite
Yuan, S.; Wang, J.; He, J.; Liu, L.; Jiao, Y.; Mu, Y.; Wu, F. Optimizing Sintering Temperature for Enhanced Piezoelectric Performance in PMT-PNT-PZT Ceramics. Crystals 2026, 16, 163. https://doi.org/10.3390/cryst16030163
Yuan S, Wang J, He J, Liu L, Jiao Y, Mu Y, Wu F. Optimizing Sintering Temperature for Enhanced Piezoelectric Performance in PMT-PNT-PZT Ceramics. Crystals. 2026; 16(3):163. https://doi.org/10.3390/cryst16030163
Chicago/Turabian StyleYuan, Shaoyang, Junjun Wang, Junjun He, Liqiang Liu, Yufang Jiao, Yan Mu, and Fengmin Wu. 2026. "Optimizing Sintering Temperature for Enhanced Piezoelectric Performance in PMT-PNT-PZT Ceramics" Crystals 16, no. 3: 163. https://doi.org/10.3390/cryst16030163
APA StyleYuan, S., Wang, J., He, J., Liu, L., Jiao, Y., Mu, Y., & Wu, F. (2026). Optimizing Sintering Temperature for Enhanced Piezoelectric Performance in PMT-PNT-PZT Ceramics. Crystals, 16(3), 163. https://doi.org/10.3390/cryst16030163

