Sign in to use this feature.

Years

Between: -

Subjects

remove_circle_outline
remove_circle_outline
remove_circle_outline
remove_circle_outline
remove_circle_outline
remove_circle_outline
remove_circle_outline
remove_circle_outline
remove_circle_outline

Journals

Article Types

Countries / Regions

Search Results (25)

Search Parameters:
Keywords = single-source thermal evaporation

Order results
Result details
Results per page
Select all
Export citation of selected articles as:
28 pages, 5252 KB  
Article
Simulation-Based Performance Evaluation of a Desiccant Indirect Evaporative Cooling System for Office Buildings in Hot–Humid East African Coastal Climates
by James Kamau, Baye Alioune Ndiogou and Nassif Rayess
Sustainability 2025, 17(17), 7860; https://doi.org/10.3390/su17177860 - 31 Aug 2025
Viewed by 786
Abstract
In tropical regions like sub-Saharan Africa, conventional vapor compression HVAC systems contribute disproportionately to energy use, operating costs, and carbon emissions—particularly in coastal urban areas where humidity-driven cooling demand is extreme. Despite these challenges, viable low-energy alternatives remain largely underexplored for this region. [...] Read more.
In tropical regions like sub-Saharan Africa, conventional vapor compression HVAC systems contribute disproportionately to energy use, operating costs, and carbon emissions—particularly in coastal urban areas where humidity-driven cooling demand is extreme. Despite these challenges, viable low-energy alternatives remain largely underexplored for this region. This study presents the first simulation-based assessment of a desiccant indirect evaporative cooling (DIEC) system optimized for the hot–humid coastal climate of Dar es Salaam, Tanzania, addressing a critical gap in sustainable cooling research for coastal Africa. Using OpenStudio (version 3.9.0) and a custom EnergyPlus(version 9.3.0) latent heat removal algorithm, this study models a DIEC-equipped medium office building with 100% outdoor air ventilation and exhaust-air-based desiccant regeneration. The model reflects local construction practices, occupancy profiles, and weather data and is validated with >90% accuracy against experimental benchmarks. Results demonstrate that the DIEC system (1) maintains indoor thermal comfort (23.8–24.0 °C) during peak humidity periods, and (2) reduces annual cooling energy consumption by 10.2% relative to single-speed DX systems. These savings are particularly impactful in a context where electricity prices are rising, and HVAC loads consume 25–40% of building operational budgets. Furthermore, the system’s superior humidity control and stable power demand make it well-suited for integration with decentralized renewable energy sources. By establishing a context-specific benchmark for DIEC performance, this study delivers a novel, regionally tailored strategy for decarbonizing urban cooling in coastal tropical Africa. Full article
Show Figures

Figure 1

18 pages, 7849 KB  
Article
Evaluation of the Heat Transfer Performance of a Device Utilizing an Asymmetric Pulsating Heat Pipe Structure Based on Global and Local Analysis
by Dong Liu, Jianhong Liu, Kai Yang, Fumin Shang, Chaofan Zheng and Xin Cao
Energies 2024, 17(22), 5588; https://doi.org/10.3390/en17225588 - 8 Nov 2024
Cited by 1 | Viewed by 1122
Abstract
PHPs (pulsating heat pipes) are widely used as an efficient heat transfer element in equipment thermal management and waste heat recovery due to their flexibility. The purpose of this study was to design a heat transfer device that utilizes an asymmetric pulsating heat [...] Read more.
PHPs (pulsating heat pipes) are widely used as an efficient heat transfer element in equipment thermal management and waste heat recovery due to their flexibility. The purpose of this study was to design a heat transfer device that utilizes an asymmetric pulsating heat pipe structure by adjusting the lengths of selected pipes within the entire circulation pipeline. In the experiment, a constant temperature water bath was used as the heat source, with heat dissipated in the condensing section via natural convection. An infrared thermal imager was used to record the temperature of the condensing section, and the local wall temperature distribution was measured in different channels of the condensing section. Based on an in-depth analysis of the wavelet frequency, the following research conclusions are drawn: Firstly, as the heat source temperature increases, the start-up time of the pulsating heat pipe is shortened, the operating state changes from start–stop–start to stable and continuous oscillation, and the oscillation mode changes from high amplitude and low frequency to low amplitude and high frequency. These changes are especially pronounced when the heat source temperature is 80 °C, which is when the thermal resistance reaches its lowest value of 0.0074 K/W, and the equivalent thermal conductivity reaches its highest value of 666.29 W/(m·K). Secondly, the flow and oscillation of the working fluid can be effectively promoted by appropriately shortening the length of the condensing section of the pulsating heat pipes or the heat transfer distance between the evaporation and condensing sections. Third, under a low-temperature heat source, the oscillation frequency of each channel of a pulsating heat pipe is found to be low based on wavelet analysis. However, as the heat source temperature increases, the energy content of the temperature signal of the working fluid in each channel changes from a low- to a high-frequency value, gradually converging to the same characteristic frequency. At this point, the working fluid in the pipes no longer flows randomly in multiple directions but rather in a single direction. Finally, we determined that the maximum oscillation frequency of working fluid in a PHP is around 0.7 HZ when using the water bath heating method. Full article
(This article belongs to the Section J: Thermal Management)
Show Figures

Figure 1

27 pages, 6259 KB  
Article
Real-Time Spectroscopic Ellipsometry for Flux Calibrations in Multi-Source Co-Evaporation of Thin Films: Application to Rate Variations in CuInSe2 Deposition
by Dhurba R. Sapkota, Balaji Ramanujam, Puja Pradhan, Mohammed A. Razooqi Alaani, Ambalanath Shan, Michael J. Heben, Sylvain Marsillac, Nikolas J. Podraza and Robert W. Collins
Materials 2024, 17(16), 4048; https://doi.org/10.3390/ma17164048 - 14 Aug 2024
Cited by 1 | Viewed by 1289
Abstract
Flux calibrations in multi-source thermal co-evaporation of thin films have been developed based on real-time spectroscopic ellipsometry (RTSE) measurements. This methodology has been applied to fabricate CuInSe2 (CIS) thin film photovoltaic (PV) absorbers, as an illustrative example, and their properties as functions [...] Read more.
Flux calibrations in multi-source thermal co-evaporation of thin films have been developed based on real-time spectroscopic ellipsometry (RTSE) measurements. This methodology has been applied to fabricate CuInSe2 (CIS) thin film photovoltaic (PV) absorbers, as an illustrative example, and their properties as functions of deposition rate have been studied. In this example, multiple Cu layers are deposited step-wise onto the same Si wafer substrate at different Cu evaporation source temperatures (TCu). Multiple In2Se3 layers are deposited similarly at different In source temperatures (TIn). Using RTSE, the Cu and In2Se3 deposition rates are determined as functions of TCu and TIn. These rates, denoted Reff, are measured in terms of effective thickness which is the volume per planar substrate area and accounts for surface roughness variations with deposition time. By assuming that all incident metal atoms are incorporated into the films and that the atomic concentrations in the deposited material components are the same as in single crystals, initial estimates of the Cu and In atom fluxes can be made versus TCu and TIn. Applying these estimates to the co-evaporation of a set of CIS films from individual Cu, In, and Se sources, atomic concentration corrections can be assigned to the Cu and In2Se3 calibration films. The corrections enable generation of a novel calibration diagram predicting the atomic ratio y = [Cu]/[In] and rate Reff within the TCu-TIn plane. Using this diagram, optimization of the CIS properties as a PV absorber can be achieved versus both y and Reff. Full article
Show Figures

Figure 1

40 pages, 11424 KB  
Review
Modeling, Design, and Optimization of Loop Heat Pipes
by Yihang Zhao, Mingshan Wei and Dan Dan
Energies 2024, 17(16), 3971; https://doi.org/10.3390/en17163971 - 10 Aug 2024
Cited by 3 | Viewed by 4470
Abstract
Thermal management technology based on loop heat pipes (LHPs) has broad application prospects in heat transfer control for aerospace and new energy vehicles. LHPs offer excellent heat transfer performance, reliability, and flexibility, making them suitable for high-heat flux density, high-power heat dissipation, and [...] Read more.
Thermal management technology based on loop heat pipes (LHPs) has broad application prospects in heat transfer control for aerospace and new energy vehicles. LHPs offer excellent heat transfer performance, reliability, and flexibility, making them suitable for high-heat flux density, high-power heat dissipation, and complex thermal management scenarios. However, due to limitations in heat source temperature and heat transfer power range, LHP-based thermal management systems still face challenges, especially in thermohydraulic modeling, component design, and optimization. Steady-state models improve computational efficiency and accuracy, while transient models capture dynamic behavior under various conditions, aiding performance evaluation during start-up and non-steady-state scenarios. Designs for single/multi-evaporators, compensation chambers, and wick materials are also reviewed. Single-evaporator designs offer compact and efficient start-up, while multi-evaporator designs handle complex thermal environments with multiple heat sources. Innovations in wick materials, such as porous metals, composites, and 3D printing, enhance capillary driving force and heat transfer performance. A comprehensive summary of working fluid selection criteria is conducted, and the effects of selecting organic, inorganic, and nanofluid working fluids on the performance of LHPs are evaluated. The selection process should consider thermodynamic properties, safety, and environmental friendliness to ensure optimal performance. Additionally, the mechanism and optimization methods of the start-up behavior, temperature oscillation, and non-condensable gas on the operating characteristics of LHPs were summarized. Optimizing vapor/liquid distribution, heat load, and sink temperature enhances start-up efficiency and minimizes temperature overshoot. Improved capillary structures and working fluids reduce temperature oscillations. Addressing non-condensable gases with materials like titanium and thermoelectric coolers ensures long-term stability and reliability. This review comprehensively discusses the development trends and prospects of LHP technology, aiming to guide the design and optimization of LHP. Full article
Show Figures

Figure 1

19 pages, 8855 KB  
Article
Tunability of Photovoltaic Functions via Halogen Substitution [(Ade)2 CdX4](X = Cl, Br): A Class of Three-Dimensional Organic–Inorganic Hybrid Materials
by Meixia Lv, Hongzhi Hu, Abuduheni Adila, Yibo Yan, Yang Liu and Zunqi Liu
Molecules 2024, 29(12), 2773; https://doi.org/10.3390/molecules29122773 - 11 Jun 2024
Cited by 3 | Viewed by 1347
Abstract
Two new three-dimensional organic–inorganic hybrid crystalline materials, [(Ade)2 CdCl4] (1) and [(Ade)2 CdBr4] (2), were obtained by the slow evaporation of adenine (Ade) and cadmium chloride in aqueous solution at room temperature with [...] Read more.
Two new three-dimensional organic–inorganic hybrid crystalline materials, [(Ade)2 CdCl4] (1) and [(Ade)2 CdBr4] (2), were obtained by the slow evaporation of adenine (Ade) and cadmium chloride in aqueous solution at room temperature with hydrochloric acid and hydrobromic acid used as halogen sources. The structural, thermal, optical, and electrical properties were characterized by single-crystal X-ray diffraction, infrared spectroscopy, thermogravimetric analysis, variable-temperature–variable-frequency dielectric constant analysis, and electrochemical tests. With increasing the substitution of Cl by Br, the composition of the material changed and the space group shifted from P-1 to P21/m, with a significant blue-shift in the fluorescence emission. Changing the temperature induced the deformation of the three-dimensional framework structure formed by hydrogen bonding interactions, leading to dielectric anomalies. Cyclic voltammetry tests showed the good reversibility of the electrolysis process. The structural diversity of the complexes was realized by modulating the halogen composition, and a new method for designing novel organic–inorganic hybrids with controllable photoelectric functionality was proposed. Full article
(This article belongs to the Section Inorganic Chemistry)
Show Figures

Graphical abstract

26 pages, 6734 KB  
Review
A Comprehensive Review of the Applications of Hybrid Evaporative Cooling and Solar Energy Source Systems
by Tinghui Xue, Yangda Wan, Zhifeng Huang, Pinyi Chen, Jie Lin, Weidong Chen and Haibo Liu
Sustainability 2023, 15(24), 16907; https://doi.org/10.3390/su152416907 - 16 Dec 2023
Cited by 13 | Viewed by 6654
Abstract
Recent advancements in single-stage evaporative cooling (EC) have showcased their effectiveness as an energy-efficient and sustainable air-conditioning (AC) solution. However, several challenges hinder the widespread adoption of EC in various applications. These challenges include climate sensitivity, substantial spatial requirements, and limitations in achieving [...] Read more.
Recent advancements in single-stage evaporative cooling (EC) have showcased their effectiveness as an energy-efficient and sustainable air-conditioning (AC) solution. However, several challenges hinder the widespread adoption of EC in various applications. These challenges include climate sensitivity, substantial spatial requirements, and limitations in achieving desired output temperatures. To address these concerns, there has been a growing focus on integrating EC with solar energy (SE) systems. With traditional energy resources being depleted, the use of SE has gained prominence as a sustainable solution to meet future energy demands while mitigating environmental pollution. This paper presents a comprehensive review of hybrid EC–SE systems, aiming to elucidate the potential synergies, benefits, and challenges associated with this integration. The review explores the principles and mathematical approaches of various configurations of EC systems to assess their compatibility with SE sources. Furthermore, the review delves into the mathematical model of SE, encompassing both solar power generation and thermal collectors, with the aim of integrating it into the EC model. It delves into key aspects of energy consumption and performance, showcasing advancements in achieving higher efficiency and enhanced cooling capacity through the hybrid systems. Additionally, the review highlights research gaps in the existing literature, emphasizing the need for further exploration in this interdisciplinary field. In conclusion, this paper offers valuable insights into the potential of EC–SE systems to address energy and cooling requirements while promoting sustainable development. Full article
Show Figures

Figure 1

13 pages, 3668 KB  
Article
Single-Crystal Growth of a Cubic Laves-Phase Ferromagnet HoAl2 by a Laser Floating-Zone Method
by Naoki Kikugawa, Takashi Kato, Momoko Hayashi and Hitoshi Yamaguchi
Crystals 2023, 13(5), 760; https://doi.org/10.3390/cryst13050760 - 3 May 2023
Cited by 2 | Viewed by 2179
Abstract
The successful growth of single crystals of a cubic Laves-phase material HoAl2 with the space group Fd-3m is reported in this study. The crystals were grown by a floating-zone method with five laser diodes as a heat source. Al-rich feed [...] Read more.
The successful growth of single crystals of a cubic Laves-phase material HoAl2 with the space group Fd-3m is reported in this study. The crystals were grown by a floating-zone method with five laser diodes as a heat source. Al-rich feed rods were prepared as compensation for heavy evaporation during the growth. The nominal ratio for the feed rods was optimized as Ho:Al = 1:2.5. Single crystals of HoAl2 with a length of 50 mm were first grown in this technique. Obtaining the large-sized crystal by the floating-zone method enabled us to systematically explore the physical properties using the same batch crystal. The crystal possessed a second-ordered ferromagnetic transition at 29 K and a first-ordered spin-reorientation transition at 20 K. The bulk physical properties, such as specific heat, magnetic susceptibility, isothermal magnetization, and thermal expansion measurements, were measured. Additionally, a magnetocaloric effect was evaluated by the magnetic entropy change. We demonstrate that anisotropic physical properties along the principal axes ([100], [110], and [111]) emerged below the magnetically ordered states, in contrast to the isotropic behavior in the paramagnetic state. Full article
(This article belongs to the Special Issue Magnetic Materials)
Show Figures

Figure 1

20 pages, 3778 KB  
Article
Surface Passivation for Promotes Bi-Excitonic Amplified Spontaneous Emission in CsPb(Br/Cl)3 Perovskite at Room Temperature
by Saif M. H. Qaid, Hamid M. Ghaithan, Huda S. Bawazir and Abdullah S. Aldwayyan
Polymers 2023, 15(9), 1978; https://doi.org/10.3390/polym15091978 - 22 Apr 2023
Cited by 17 | Viewed by 2424
Abstract
Perovskite-type lead halides exhibit promising performances in optoelectronic applications, for which lasers are one of the most promising applications. Although the bulk structure has some advantages, perovskite has additional advantages at the nanoscale owing to its high crystallinity given by a lower trap [...] Read more.
Perovskite-type lead halides exhibit promising performances in optoelectronic applications, for which lasers are one of the most promising applications. Although the bulk structure has some advantages, perovskite has additional advantages at the nanoscale owing to its high crystallinity given by a lower trap density. Although the nanoscale can produce efficient light emission, its comparatively poor chemical and colloidal stability limits further development of devices based on this material. Nevertheless, bulk perovskites are promising as optical amplifiers. There has been some developmental progress in the study of optical response and amplified spontaneous emission (ASE) as a benchmark for perovskite bulk phase laser applications. Therefore, to achieve high photoluminescence quantum yields (PLQYs) and large optical gains, material development is essential. One of the aspects in which these goals can be achieved is the incorporation of a bulk structure of high-quality crystallization films based on inorganic perovskite, such as cesium lead halide (CsPb(Br/Cl)3), in polymethyl methacrylate (PMMA) polymer and encapsulation with the optimal thickness of the polymer to achieve complete surface coverage, prevent degradation, surface states, and surface defects, and suppress emission at depth. Sequential evaporation of the perovskite precursors using a single-source thermal evaporation technique (TET) effectively deposited two layers. The PL and ASEs of the bare and modified films with a thickness of 400 nm PMMA were demonstrated. The encapsulation layer maintained the quantum yield of the perovskite layer in the air for more than two years while providing added optical gain compared to the bare film. Under a picosecond pulse laser, the PL wavelength of single excitons and ASE wavelength associated with the stimulated decay of bi-excitons were achieved. The two ASE bands were highly correlated and competed with each other; they were classified as exciton and bi-exciton recombination, respectively. According to the ASE results, bi-exciton emission could be observed in an ultrastable CsPb(Br/Cl)3 film modified by PMMA with a very low excitation energy density of 110 µJ/cm2. Compared with the bare film, the ASE threshold was lowered by approximately 5%. A bi-exciton has a binding energy (26.78 meV) smaller than the binding energy of the exciton (70.20 meV). Full article
(This article belongs to the Collection Polymers for Electrical and Optical Applications)
Show Figures

Figure 1

25 pages, 10372 KB  
Article
Thermodynamic Analysis and Working Fluid Selection of a Novel Cogeneration System Based on a Regenerative Organic Flash Cycle
by Haojie Chen and Man-Hoe Kim
Energies 2022, 15(21), 7843; https://doi.org/10.3390/en15217843 - 23 Oct 2022
Cited by 8 | Viewed by 1958
Abstract
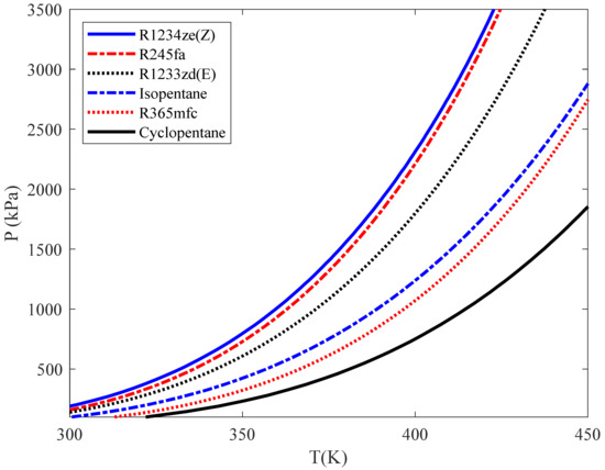
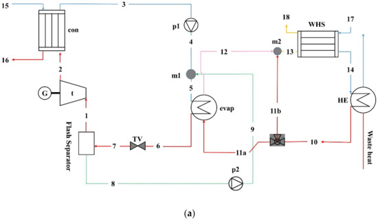
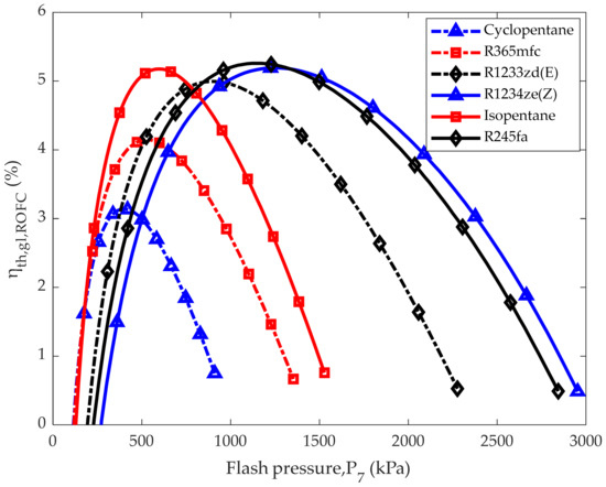
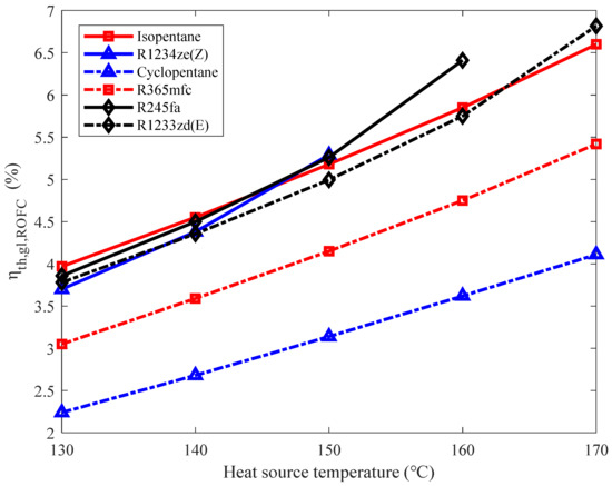
Recently proposed organic flash cycles maintain lower irreversibility in the evaporator than traditional organic Rankine cycles. This study presented a novel combined heat and power system that was based on a regenerative organic flash cycle, in order to improve thermal efficiency. Parametric analyses [...] Read more.
Recently proposed organic flash cycles maintain lower irreversibility in the evaporator than traditional organic Rankine cycles. This study presented a novel combined heat and power system that was based on a regenerative organic flash cycle, in order to improve thermal efficiency. Parametric analyses for the proposed combined heat and power system were carried out, using six working fluids, and performed with heat source temperatures and heat sink temperatures that ranged from 130 °C to 170 °C, and from 20 °C to 40 °C, respectively. The results showed that the preferable working fluid was altered, with a change in the operating condition. Isopentane, R1234ze(Z), R1233zd(E), and R245fa performed better at a cooling water temperature of 20 °C. The system that used R245fa showed more promising performance when the heat source temperatures were set to 150 °C and 160 °C. R365mfc was determined to be the best working fluid at a heat source temperature of 150 °C, and at cooling water temperatures of 30–40 °C. Finally, the analyses evaluated the year-round system performance on the basis of monthly ambient and water temperatures in Daegu, Korea, as the system’s parameters. Compared to the single regenerative organic flash cycle, the thermal efficiency of the novel system improved significantly, from 8.37 % to 32.80% in August, and to 74.34% in February. Full article
(This article belongs to the Section J2: Thermodynamics)
Show Figures

Figure 1

24 pages, 3467 KB  
Article
Multi-Objective Optimization of the Basic and Regenerative ORC Integrated with Working Fluid Selection
by Yuhao Zhou, Jiongming Ruan, Guotong Hong and Zheng Miao
Entropy 2022, 24(7), 902; https://doi.org/10.3390/e24070902 - 29 Jun 2022
Cited by 6 | Viewed by 2217
Abstract
A multi-objective optimization based on the non-dominated sorting genetic algorithm (NSGA-II) is carried out in the present work for the basic organic Rankine cycle (BORC) and regenerative ORC (RORC) systems. The selection of working fluids is integrated into multi-objective optimization by parameterizing the [...] Read more.
A multi-objective optimization based on the non-dominated sorting genetic algorithm (NSGA-II) is carried out in the present work for the basic organic Rankine cycle (BORC) and regenerative ORC (RORC) systems. The selection of working fluids is integrated into multi-objective optimization by parameterizing the pure working fluids into a two-dimensional array. Two sets of decision indicators, exergy efficiency vs. thermal efficiency and exergy efficiency vs. levelized energy cost (LEC), are adopted and examined. Five decision variables including the turbine inlet temperature, vapor superheat degree, the evaporator and condenser pinch temperature differences, and the mass fraction of the mixture are optimized. It is found that the turbine inlet temperature is the most effective factor for both the BORC and RORC systems. Compared to the reverse variation of exergy efficiency and thermal efficiency, only a weak conflict exists between the exergy efficiency and LEC which tends to make the binary objective optimization be a single objective optimization. The RORC provides higher thermal efficiency than BORC at the same exergy efficiency while the LEC of RORC also becomes higher because the bare module cost of buying one more heat exchange is higher than the cost reduction due to the reduced heat transfer area. Under the heat source temperature of 423.15 K, the final obtained exergy and thermal efficiencies are 45.6% and 16.6% for BORC, and 38.6% and 20.7% for RORC, respectively. Full article
(This article belongs to the Section Thermodynamics)
Show Figures

Figure 1

18 pages, 13346 KB  
Article
Measurements of Operating Parameters of a Metal Hydride Compressor with a Heat Pump
by Tomáš Brestovič, Natália Jasminská and Marián Lázár
Appl. Sci. 2022, 12(7), 3302; https://doi.org/10.3390/app12073302 - 24 Mar 2022
Cited by 8 | Viewed by 2898
Abstract
The hydrogen compression that occurs in a metal hydride compressor is based on the chemical and thermal processes of hydrogen absorption and desorption into an intermetallic structure of metals. The concept presented in this article is centred on the use of an optimal [...] Read more.
The hydrogen compression that occurs in a metal hydride compressor is based on the chemical and thermal processes of hydrogen absorption and desorption into an intermetallic structure of metals. The concept presented in this article is centred on the use of an optimal metal alloy that is capable of absorbing hydrogen into its structure at a low temperature and pressure. After such an alloy is heated up, its pressure will significantly increase, and this facilitates the compression of hydrogen without it being in direct contact with the movable parts of the compressor. As a result, the safety of the compression process is increased. The hydrogen compressor contains a pair of tandem metal hydride (MH) tanks with an integrated heat exchanger. The tanks are alternately heated and cooled, so that while hydrogen is absorbed in one of the tanks it is concurrently desorbed in the other tank. The unique nature of the prototype single-stage metal hydride compressor consists in using a heat pump that facilitated a significant reduction of the consumed electric energy in the heat transport between the tandem-arranged tanks. The purpose of this investigation was to examine the possibility of integrating a heat pump as a source of heat and cold for the process of absorption- and desorption-based hydrogen compression. With the prototype MH compressor presented in this article, a compression ratio of ε = 2.0 was achieved while the tanks were operated at temperatures ranging from 12 to 55 °C. In a single cycle, the compressor worked with 166 litres of hydrogen, which was absorbed into 3.125 kg of the La0.85Ce0.15Ni5 alloy. The average heating power that was achieved on the side of the condenser that heated the MH1 tank was 362 W, and the cooling power that was achieved on the evaporator side was 300 W. The achieved value of the heat pump COP was 2.92. Full article
(This article belongs to the Special Issue Mechanical and Biomedical Engineering in Paradigm)
Show Figures

Figure 1

13 pages, 2752 KB  
Article
XRD and TG-DTA Study of New Phosphate-Based Geopolymers with Coal Ash or Metakaolin as Aluminosilicate Source and Mine Tailings Addition
by Dumitru Doru Burduhos Nergis, Petrica Vizureanu, Andrei Victor Sandu, Diana Petronela Burduhos Nergis and Costica Bejinariu
Materials 2022, 15(1), 202; https://doi.org/10.3390/ma15010202 - 28 Dec 2021
Cited by 55 | Viewed by 4290
Abstract
Coal ash-based geopolymers with mine tailings addition activated with phosphate acid were synthesized for the first time at room temperature. In addition, three types of aluminosilicate sources were used as single raw materials or in a 1/1 wt. ratio to obtain five types [...] Read more.
Coal ash-based geopolymers with mine tailings addition activated with phosphate acid were synthesized for the first time at room temperature. In addition, three types of aluminosilicate sources were used as single raw materials or in a 1/1 wt. ratio to obtain five types of geopolymers activated with H3PO4. The thermal behaviour of the obtained geopolymers was studied between room temperature and 600 °C by Thermogravimetry-Differential Thermal Analysis (TG-DTA) and the phase composition after 28 days of curing at room temperature was analysed by X-ray diffraction (XRD). During heating, the acid-activated geopolymers exhibited similar behaviour to alkali-activated geopolymers. All of the samples showed endothermic peaks up to 300 °C due to water evaporation, while the samples with mine tailings showed two significant exothermic peaks above 400 °C due to oxidation reactions. The phase analysis confirmed the dissolution of the aluminosilicate sources in the presence of H3PO4 by significant changes in the XRD patterns of the raw materials and by the broadening of the peaks because of typically amorphous silicophosphate (Si–P), aluminophosphate (Al–P) or silico-alumino-phosphate (Si–Al–P) formation. The phases resulted from geopolymerisation are berlinite (AlPO4), brushite (CaHPO4∙2H2O), anhydrite (CaSO4) or ettringite as AFt and AFm phases. Full article
Show Figures

Figure 1

23 pages, 8240 KB  
Article
Performance Analysis and Optimization of a Series Heat Exchangers Organic Rankine Cycle Utilizing Multi-Heat Sources from a Marine Diesel Engine
by Youyi Li and Tianhao Tang
Entropy 2021, 23(7), 906; https://doi.org/10.3390/e23070906 - 16 Jul 2021
Cited by 7 | Viewed by 3537
Abstract
Organic Rankine Cycle (ORC) is an effective way to recycle waste heat sources of a marine diesel engine. The aim of the present paper is to analyze and optimize the thermoeconomic performance of a Series Heat Exchangers ORC (SHEORC) for recovering energy from [...] Read more.
Organic Rankine Cycle (ORC) is an effective way to recycle waste heat sources of a marine diesel engine. The aim of the present paper is to analyze and optimize the thermoeconomic performance of a Series Heat Exchangers ORC (SHEORC) for recovering energy from jacket water, scavenge air, and exhaust gas. The three sources are combined into three groups of jacket water (JW)→exhaust gas (EG), scavenge air (SA)→exhaust gas, and jacket water→scavenge air→exhaust gas. The influence of fluid mass flow rate, evaporation pressure, and heat source recovery proportion on the thermal performance and economic performance of SHEORC was studied. A single-objective optimization with power output as the objective and multi-objective optimization with exergy efficiency and levelized cost of energy (LCOE) as the objectives are carried out. The analysis results show that in jacket water→exhaust gas and jacket water→scavenge air→exhaust gas source combination, there is an optimal heat recovery proportion through which the SHEORC could obtain the best performance. The optimization results showed that R245ca has the best performance in thermoeconomic performance in all three source combinations. With scavenge air→exhaust, the power output, exergy efficiency, and LCOE are 354.19 kW, 59.02%, and 0.1150 $/kWh, respectively. Integrating the jacket water into the SA→EG group would not increase the power output, but would decrease the LCOE. Full article
(This article belongs to the Section Thermodynamics)
Show Figures

Figure 1

24 pages, 4515 KB  
Article
Performance Evaluation of an Adsorption Heat Pump System Using MSC-30/R1234yf Pair with the Impact of Thermal Masses
by Sangwon Seo, František Mikšík, Yuta Maeshiro, Kyaw Thu and Takahiko Miyazaki
Appl. Sci. 2021, 11(5), 2279; https://doi.org/10.3390/app11052279 - 4 Mar 2021
Cited by 5 | Viewed by 3701
Abstract
In this study, we evaluated the performance of low Global Warming Potential (GWP) refrigerant R1234yf on the activated carbon (MSC-30) for adsorption heating applications. The adsorption isotherms of MSC-30/R1234yf were measured using a constant-volume–variable-pressure (CVVP) method from very low relative pressure to the [...] Read more.
In this study, we evaluated the performance of low Global Warming Potential (GWP) refrigerant R1234yf on the activated carbon (MSC-30) for adsorption heating applications. The adsorption isotherms of MSC-30/R1234yf were measured using a constant-volume–variable-pressure (CVVP) method from very low relative pressure to the practical operating ranges. The data were fitted with several isotherm models using non-linear curve fitting. An improved equilibrium model was employed to investigate the influence of dead thermal masses, i.e., the heat exchanger assembly and the non-adsorbing part of the adsorbent. The model employed the model for the isosteric heat of adsorption where the adsorbed phase volume was accounted for. The performance of the heat pump was compared with MSC-30/R134a pair using the data from the literature. The analysis covered the desorption temperature ranging from 60 °C to 90 °C, with the evaporation temperature at 5 °C and the adsorption temperature and condensation temperature set to 30 °C. It was observed that the adsorption isotherms of R1234yf on MSC-30 were relatively lower than those of R134a by approximately 12%. The coefficient of performance (COP) of the selected pair was found to vary from 0.03 to 0.35 depending on the heat source temperature. We demonstrated that due to lower latent heat, MSC-30/R1234yf pair exhibits slightly lower cycle performance compared to the MSC-30/R134a pair. However, the widespread adaptation of environmentally friendly R1234yf in automobile heat pump systems may call for the implementation of adsorption systems such as the direct hybridization using a single refrigerant. The isotherm and performance data presented in this work will be essential for such applications. Full article
(This article belongs to the Special Issue Sciences and Innovations in Heat Pump/Refrigeration: Volume II)
Show Figures

Figure 1

19 pages, 3680 KB  
Article
Single-Source Thermal Evaporation Growth and the Tuning Surface Passivation Layer Thickness Effect in Enhanced Amplified Spontaneous Emission Properties of CsPb(Br0.5Cl0.5)3 Perovskite Films
by Saif M. H. Qaid, Hamid M. Ghaithan, Bandar Ali Al-Asbahi and Abdullah S. Aldwayyan
Polymers 2020, 12(12), 2953; https://doi.org/10.3390/polym12122953 - 10 Dec 2020
Cited by 16 | Viewed by 9123
Abstract
High-quality inorganic cesium lead halide perovskite CsPb(Br0.5Cl0.5)3 thin films were successfully achieved through evaporation of the precursors and deposition sequentially by a single-source thermal evaporation system. The different melting points of the precursors were enabled us to evaporate [...] Read more.
High-quality inorganic cesium lead halide perovskite CsPb(Br0.5Cl0.5)3 thin films were successfully achieved through evaporation of the precursors and deposition sequentially by a single-source thermal evaporation system. The different melting points of the precursors were enabled us to evaporate precursors one by one in one trip. The resulting films through its fabrication were smooth and pinhole-free. Furthermore, this technique enabled complete surface coverage by high-quality perovskite crystallization and more moisture stability oppositely of that produce by solution-processed. Then the perovskite films were encapsulated by evaporated a polymethyl methacrylate (PMMA) polymer as a specialized surface passivation approach with various thicknesses. The blue emission, high photoluminescence quantum yield (PLQY), stable, and low threshold of amplified spontaneous emission (ASE) properties of CsPb(Br0.5Cl0.5)3 films in the bulk structure at room temperature were achieved. The effects of the surface-passivation layer and its thickness on the optical response were examined. Detailed analysis of the dependence of ASE properties on the surface passivation layer thickness was performed, and it was determined this achieves performance optimization. The ASE characteristics of bare perovskite thin film were influenced by the incorporation of the PMMA with various thicknesses. The improvement to the surface layer of perovskite thin films compared to that of the bare perovskite thin film was attributed to the combination of thermal evaporation deposition and surface encapsulation. The best results were achieved when using a low PMMA thickness up to 100 nm and reducing the ASE threshold by ~11 μJ/cm2 when compared with free-encapsulation and by ~13 μJ/cm2 when encapsulation occurs at 200 nm or thicker. Compared to the bare CsPb(Br0.5Cl0.5)3, ASE reduced 1.1 times when the PMMA thickness was 100 nm. Full article
Show Figures

Figure 1

Back to TopTop