Sign in to use this feature.

Years

Between: -

Subjects

remove_circle_outline
remove_circle_outline
remove_circle_outline
remove_circle_outline
remove_circle_outline
remove_circle_outline
remove_circle_outline
remove_circle_outline
remove_circle_outline

Journals

remove_circle_outline
remove_circle_outline
remove_circle_outline
remove_circle_outline
remove_circle_outline
remove_circle_outline
remove_circle_outline
remove_circle_outline
remove_circle_outline
remove_circle_outline
remove_circle_outline
remove_circle_outline
remove_circle_outline

Article Types

Countries / Regions

remove_circle_outline
remove_circle_outline
remove_circle_outline
remove_circle_outline
remove_circle_outline

Search Results (993)

Search Parameters:
Keywords = single-leg

Order results
Result details
Results per page
Select all
Export citation of selected articles as:
12 pages, 636 KB  
Article
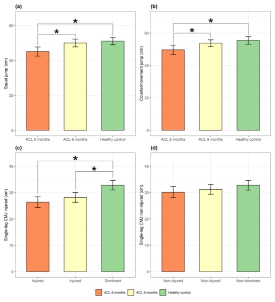
Squat Jump and Bilateral and Unilateral Countermovement Jump Performance in Soccer Players 6 and 9 Months After Anterior Cruciate Ligament Reconstruction
by Nikola Andrić, Mladen Mikić, Damjan Jakšić, Slavko Molnar, Dejan Javorac and Vukadin Milankov
Medicina 2026, 62(5), 807; https://doi.org/10.3390/medicina62050807 - 23 Apr 2026
Abstract
Background and Objectives: The assessment of neuromuscular recovery after ACL reconstruction is crucial for safe return to sport (RTS) in professional soccer players. This retrospective cross-sectional study aimed to compare squat jump (SJ), bilateral countermovement jump (CMJ), and single-leg CMJ performance in three [...] Read more.
Background and Objectives: The assessment of neuromuscular recovery after ACL reconstruction is crucial for safe return to sport (RTS) in professional soccer players. This retrospective cross-sectional study aimed to compare squat jump (SJ), bilateral countermovement jump (CMJ), and single-leg CMJ performance in three distinct groups: players at 6 months post-ACL reconstruction, players at 9 months post-ACL reconstruction, and healthy controls. Materials and Methods: Seventy-two male players (24 at 6 months post-ACL, 24 at 9 months post-ACL, 24 healthy controls) performed squat jump, bilateral countermovement jump, and single-leg CMJ tests using contact platforms following a controlled warm-up protocol. Results: Significant group differences were observed in all jump tests. At 6 months post-ACL reconstruction, players demonstrated significantly lower squat jump (45.13 ± 6.20 cm) and bilateral countermovement jump (49.67 ± 6.80 cm) heights compared to both 9-month players (SJ: 50.03 ± 5.30 cm; CMJ: 53.79 ± 4.85 cm) and controls (SJ: 51.12 ± 4.97 cm; CMJ: 55.49 ± 5.54 cm) (p ≤ 0.016, η2 = 0.187 and η2 = 0.156, respectively). No significant differences between 9-month and control groups were observed for the squat jump and the bilateral countermovement jump. Regarding the unilateral countermovement jump, the injured leg showed significant performance deficits compared to controls in both the 6-month and 9-month groups (p = 0.001, η2 = 0.378). However, the non-injured leg exhibited deficits only in the 6-month group. Conclusions: Compared to the 6-month post-ACL reconstruction group, the 9-month group showed a marked improvement in bilateral jump performance, indicating substantial neuromuscular recovery over time. However, persistent unilateral deficits in the injured leg remained even at 9 months, underscoring the need for a routine and comprehensive jumping evaluation to identify residual neuromuscular impairments that may require targeted rehabilitation before returning to sport. Full article
(This article belongs to the Special Issue ACL: From Injury to Return to Sport)
Show Figures

Figure 1

10 pages, 484 KB  
Article
Mid- to Long-Term Clinical Outcomes After Lumbar Microdiscectomy in Adolescent Patients: A Descriptive Study
by Lawrence Sanchez, Johanna Austeen Gjestland, Per-Henrik Randsborg and Ole Kristian Alhaug
Children 2026, 13(4), 578; https://doi.org/10.3390/children13040578 - 21 Apr 2026
Abstract
Background/Objectives: Adolescent lumbar disc herniation (ALDH) is rare. Evidence on long-term surgical outcomes remains limited. The objective of this study was to evaluate mid- and long-term clinical outcomes following lumbar microdiscectomy in adolescents with lumbar disc herniation (LDH). Methods: A single-institution [...] Read more.
Background/Objectives: Adolescent lumbar disc herniation (ALDH) is rare. Evidence on long-term surgical outcomes remains limited. The objective of this study was to evaluate mid- and long-term clinical outcomes following lumbar microdiscectomy in adolescents with lumbar disc herniation (LDH). Methods: A single-institution retrospective cohort study of patients under 19 years who underwent lumbar microdiscectomy over a ten-year period. Baseline clinical and radiological data were obtained from electronic patient records (EPR) and Magnetic Resonance Imaging (MRI). Patient-reported outcomes were collected at follow-up using the Oswestry Disability Index (ODI) as the primary outcome and Numeric Rating Scales (NRS) for back and leg pain and Global Perceived Effect (GPE) as secondary outcomes. Descriptive statistics were used to summarize results. Results: Seventeen of 27 patients (63%) participated. Mean age at surgery was 16.9 years, and mean symptom duration prior to surgery was 11.3 months. All patients underwent disc-preserving microdiscectomy. At a mean follow-up of 67.7 months, mean ODI was 9.5, mean NRS back pain was 2.8, and mean NRS leg pain was 2.3. Fourteen patients (82%) reported being completely recovered or much improved. Conclusions: Lumbar microdiscectomy in adolescents with LDH showed acceptable mid- to long-term outcomes, low disability, and low pain levels at more than five years of follow-up. Clinical and imaging findings resembled those seen in adults, though symptom duration before surgery was prolonged. Full article
(This article belongs to the Section Pediatric Orthopedics & Sports Medicine)
13 pages, 1503 KB  
Article
A Single-Institution Cohort Study of Autologous Platelet-Rich Plasma Gel for Hard-to-Heal Chronic Wounds: Potential Role in Microvascular Regeneration
by Miki Fujii, Kazuki Shimada, Takako Komiya and Hajime Matsumura
J. Clin. Med. 2026, 15(8), 3120; https://doi.org/10.3390/jcm15083120 - 19 Apr 2026
Viewed by 199
Abstract
Background/Objectives: Chronic wounds that fail to respond to standard wound care (SWC) remain a major clinical challenge. Platelet-rich plasma (PRP) is an advanced regenerative therapy that delivers platelet-derived growth factors involved in angiogenesis and tissue repair. However, clinical data in Asian populations and [...] Read more.
Background/Objectives: Chronic wounds that fail to respond to standard wound care (SWC) remain a major clinical challenge. Platelet-rich plasma (PRP) is an advanced regenerative therapy that delivers platelet-derived growth factors involved in angiogenesis and tissue repair. However, clinical data in Asian populations and evidence regarding ulcers associated with vasculitis or microangiopathic ischemia remain limited. This study evaluated the efficacy, safety, and treatment frequency of autologous PRP gel prepared using the newly approved AutoloGel System® in Japan. Methods: This single-center retrospective study included 20 patients with chronic ulcers unresponsive to ≥28 days of conventional therapy by a wound specialist. PRP gel was applied weekly for up to eight sessions under current insurance coverage. Primary outcomes were wound healing rate at 12 weeks after PRP initiation and healing duration. Healing time during specialist-directed conventional therapy was compared with that following PRP using the Wilcoxon signed-rank test. Results: Twenty patients (mean age 60 ± 15 years) with diverse refractory ulcers—including diabetic foot ulcers, chronic limb-threatening ischemia, vasculitic ulcers, venous leg ulcers, pressure ulcers, and surgical site infections—were analyzed. All wounds achieved complete epithelialization within 12 weeks. Healing time decreased significantly from 87.2 ± 77.1 days during conventional therapy to 47.9 ± 28.5 days after PRP initiation (median 60 vs. 44 days, p = 0.0107). No treatment-related adverse events were observed. Conclusions: Weekly autologous PRP gel therapy prepared using the AutoloGel System® was associated with improved healing outcomes in refractory chronic wounds. Favorable outcomes were observed in traditionally difficult-to-treat conditions, including vasculitis-associated and microangiopathic ischemic ulcers. These findings suggest the potential role of PRP in promoting angiogenesis and improving microcirculatory perfusion in wounds associated with microvascular dysfunction. Full article
(This article belongs to the Special Issue New Advances in Wound Healing and Skin Wound Treatment)
Show Figures

Figure 1

16 pages, 956 KB  
Article
Biological Maturation Is Associated with Single-Leg Jump Performance, but Not with the Magnitude of Inter-Limb Asymmetry
by Gennaro Boccia, Giulia Paurini, Daniele Villano, Roberto Marocco, Alexandru Nicolae Ungureanu, Luca Beratto, Paolo Riccardo Brustio, Alberto Rainoldi and Corrado Lupo
Sports 2026, 14(4), 163; https://doi.org/10.3390/sports14040163 - 17 Apr 2026
Viewed by 235
Abstract
This study investigated interlimb asymmetries in lower limb performance using both vertical and horizontal jump tests in elite young basketball players. Specifically, it aimed to determine whether (1) unilateral jump performance and (2) the magnitude of interlimb asymmetry differed across maturity groups, whether [...] Read more.
This study investigated interlimb asymmetries in lower limb performance using both vertical and horizontal jump tests in elite young basketball players. Specifically, it aimed to determine whether (1) unilateral jump performance and (2) the magnitude of interlimb asymmetry differed across maturity groups, whether (3) limb dominance influences performance, and whether (4) asymmetry direction is consistent across tests. One hundred elite male basketball players (U13 to U19) were categorised into three maturational stages: Pre-PHV (n = 19), Circa-PHV (n = 29), and Post-PHV (n = 52). Each athlete performed the following unilateral tests with both the dominant and non-dominant leg: single-leg hop, triple hop for distance, 6 m timed hop, single-leg countermovement jump (SL-CMJ), and single-leg drop jump (SL-DJ) from a 30 cm box. The Bilateral Strength Asymmetry (BSA) index was computed for each test. All tests showed significant differences between Pre-PHV and Circa-PHV groups (p < 0.001), whereas only the 6 m timed hop differed between Circa-PHV and Post-PHV (p < 0.01). BSA did not differ significantly across maturation stages in any test, except for the single-leg hop. Agreement in asymmetry direction between test pairs was slight to fair (kappa ≤ 0.29). BSA values remained largely stable across maturational stages, suggesting that interlimb asymmetries are established before PHV, likely during childhood. Limb dominance did not affect jump performance, and asymmetry direction varied between tests, confirming they are not interchangeable. Full article
Show Figures

Figure 1

20 pages, 1340 KB  
Article
Acute Effects of Muscle Flexibility and Myofascial Release of the Posterior Lower-Leg Muscles on Ankle Function in Individuals with Active Ankle Dorsiflexion Range of Motion Deficits
by Maria Giannioti, Konstantinos Fousekis, Eleftherios Paraskevopoulos and Dimitris Mandalidis
Sports 2026, 14(4), 154; https://doi.org/10.3390/sports14040154 - 15 Apr 2026
Viewed by 320
Abstract
Ankle dorsiflexion range of motion (ADF-ROM) deficits has been linked to impaired function, altered gait, and injury risk. This study’s objective was to examine the acute effects of static self-stretching (SSS), foam rolling (FR), and instrument-assisted soft tissue mobilization (IASTM) of the posterior [...] Read more.
Ankle dorsiflexion range of motion (ADF-ROM) deficits has been linked to impaired function, altered gait, and injury risk. This study’s objective was to examine the acute effects of static self-stretching (SSS), foam rolling (FR), and instrument-assisted soft tissue mobilization (IASTM) of the posterior lower-leg on ADF-ROM and functional ankle outcomes in individuals with ADF-ROM deficits. Thirteen healthy, physically active college students with active ADF-ROM ≤ 13°, assessed in a non-weight-bearing position, completed all three interventions in a randomized, within-subject repeated-measures design. Pre- and post-intervention assessments included ADF-ROM, ankle plantar flexor isometric strength (APF-IS), single-leg countermovement vertical jump (SLCVJ), anterior reach distance in the Y-Balance Test (A-YBT), and gait parameters (contact time and plantar pressure). A two-way repeated-measures ANOVA with Bonferroni post hoc tests was used. Effect sizes reported as partial eta squared (ηp2) and Cohen dz. All interventions significantly improved ADF-ROM (p < 0.001; ηp2 = 0.885), with IASTM showing the largest increase (50.7%, dz = 2.15), followed by FR (35.4%, dz = 2.20) and SSS (21.5%, dz = 1.82). Differences between IASTM and FR (p > 0.05, dz = 0.40) and between FR and SSS (p > 0.05, dz = 0.69) were nonsignificant, while IASTM was significantly greater than SSS (p < 0.05, dz = 0.92). Significant gains were also seen in A-YBT (p < 0.05; ηp2 = 0.302) and rearfoot plantar pressure (p < 0.01; ηp2 = 0.482), although pairwise comparisons were nonsignificant and demonstrated small-to-moderate effect sizes (dz = 0.35–0.52). No significant changes occurred in APF-IS, SLCVJ, or contact time and mid- and forefoot plantar pressures during roll-off. In conclusion, all interventions improved ADF-ROM, with IASTM and FR being comparably effective. However, only slight improvements in dynamic balance and certain gait parameters were noted, with no effect on strength or power. Full article
(This article belongs to the Special Issue Innovative Approaches to Sports Injury Prevention and Recovery)
Show Figures

Figure 1

11 pages, 873 KB  
Article
Repeatability of Knee Extension Muscle Endurance Between 20% and 40% of One Repetition Maximum
by Sam J. Hillen, Matthew D. Fliss and Cameron J. Mitchell
Muscles 2026, 5(2), 26; https://doi.org/10.3390/muscles5020026 - 13 Apr 2026
Viewed by 211
Abstract
Dynamic muscular endurance, the ability to lift a submaximal load until task failure, is a common measure in both cross-sectional and training studies. However, the repeatability of low-load muscular endurance in the knee extensors has not been well established. Establishing reliability metrics is [...] Read more.
Dynamic muscular endurance, the ability to lift a submaximal load until task failure, is a common measure in both cross-sectional and training studies. However, the repeatability of low-load muscular endurance in the knee extensors has not been well established. Establishing reliability metrics is essential to ensure that observed differences reflect true physiological changes rather than measurement error. The purpose of this study was to quantify the repeatability of low-load dynamic knee extensions performed to task failure. Forty healthy adults completed three visits, each consisting of one set of knee extensions at 20%, 30%, and 40% of one repetition maximum (1RM) to assess relative muscular endurance, and three sets at 20% 1RM on the contralateral leg to assess the impact of fatigue within a single session (fatigue curve). Intraclass correlation coefficients (ICCs), standard error of the measurement, and smallest detectable difference (SDD) were calculated. Repeatability ranged from moderate to excellent across conditions (ICC = 0.77–0.94). Lower loads and later sets demonstrated reduced repeatability compared with heavier loads and earlier sets. These results indicate that researchers and practitioners should consider load and fatigue curve effects in protocol design and SDDs when interpreting the meaningfulness of individual changes in knee extension muscular endurance. Full article
Show Figures

Figure 1

15 pages, 2290 KB  
Article
External Load, More than Surface Instability, Drives Post-Activation Performance Enhancement in Split Squat Conditioning Activity: Phase-Specific EMG Responses
by Jinyong Sim, Hanbee Jang, Yujin Jeong and Sanghee Park
J. Clin. Med. 2026, 15(8), 2927; https://doi.org/10.3390/jcm15082927 - 12 Apr 2026
Viewed by 267
Abstract
Background: Conditioning activity (CA) is used to elicit post-activation performance enhancement (PAPE), but it is unclear whether load response principles from back squat models generalize to unilateral split squat conditioning when external load and surface instability are manipulated together. Thus, the current study [...] Read more.
Background: Conditioning activity (CA) is used to elicit post-activation performance enhancement (PAPE), but it is unclear whether load response principles from back squat models generalize to unilateral split squat conditioning when external load and surface instability are manipulated together. Thus, the current study examined acute effects of stable vs. unstable split squat CA with or without external load on jump performance and phase-specific electromyography (EMG). Methods: Twenty men completed a randomized crossover of three CAs (2 × 3 reps): unloaded stable split squat (SS), unloaded BOSU SS, and BOSU loaded at 50% split squat one-repetition maximum. Single leg jump (SLJ) and countermovement jump (CMJ) were assessed pre-CA and at 3 min (SLJ) and 4 min (CMJ) post-CA. EMG was recorded from the biceps femoris (BF), semitendinosus (ST), vastus lateralis (VL), vastus medialis (VM) gluteus medius (Gmed), peroneus longus (PL), gastrocnemius lateralis (GL) and gastrocnemius medialis (GM). Signals were time-normalized across the split squat cycle and quantified using phase-specific area under the curve (AUC) (descending/ascending). Results: SLJ and CMJ increased after all conditions compared with the pre-test (p < 0.05). SS and unloaded BOSU SS produced comparable jump outcomes, whereas BOSU loaded yielded the greatest CMJ increase (p < 0.04). Unloaded BOSU SS selectively increased hamstring activation (BF, ST) without changes in Gmed or PL. BOSU loaded increased EMG amplitude across all measured muscles. Conclusions: External load primarily drives acute CMJ potentiation, whereas instability mainly redistributes recruitment toward the hamstrings without improving jump performance beyond the stable condition. These findings indicated that when the goal is acute jump enhancement, external load should be prioritized, whereas unstable surfaces may be used to selectively target posterior chain activation. Full article
(This article belongs to the Special Issue Advances in Musculoskeletal Rehabilitation and Functional Movement)
Show Figures

Figure 1

12 pages, 1085 KB  
Article
Validation of Falls Efficacy Scale Instrument in Romanian Adults with Type 2 Diabetes Mellitus: A Monocenter, Prospective Study
by Bianca Iliescu, Andreea Herascu, Laura Gaita, Vlad-Florian Avram, Adina Braha and Bogdan Timar
Diagnostics 2026, 16(8), 1135; https://doi.org/10.3390/diagnostics16081135 - 10 Apr 2026
Viewed by 349
Abstract
Background: Fear of falling is common in older adults with type 2 diabetes mellitus (T2DM), particularly in those with balance and mobility impairment. The Falls Efficacy Scale—International (FES-I) is widely used to quantify concern about falling but requires local validation. We aimed [...] Read more.
Background: Fear of falling is common in older adults with type 2 diabetes mellitus (T2DM), particularly in those with balance and mobility impairment. The Falls Efficacy Scale—International (FES-I) is widely used to quantify concern about falling but requires local validation. We aimed to validate the Romanian version of the FES-I in older adults with T2DM. Methods: In this validation study, 124 consecutive outpatients with T2DM aged > 60 years completed the Romanian FES-I at baseline (v1) and at one-month follow-up (v2). Internal consistency was assessed with Cronbach’s alpha and item–total correlations. Test–retest reliability was evaluated using intraclass correlation coefficient (ICC) and the Bland–Altman agreement. Construct validity was examined by correlations with the Fear-of-Falling Questionnaire—Revised (FFQ-R), Berg Balance Scale (BBS), Timed Up and Go (TUG), and single-leg stance (SLS). Discriminative performance was assessed via ROC analyses. Results: Mean FES-I scores were 30.8 ± 11.4 (v1) and 31.1 ± 11.6 (v2). Internal consistency (Cronbach’s alpha 0.945–0.947) and test–retest reliability (ICC 0.972; 95% CI 0.956–0.983) were excellent, with minimal bias. FES-I correlated strongly with FFQ-R (rho = 0.787) and moderately with function (BBS rho = −0.631; TUG rho = 0.547; SLS rho = −0.498; all p < 0.001). Discrimination was good for BBS (AUROC = 0.779) and TUG (AUROC = 0.800). Conclusions: The Romanian FES-I demonstrates excellent reliability and good validity in older adults with T2DM, with low measurement error and clinically interpretable change thresholds. It can be used for fear-of-falling quantification in routine care and research, including longitudinal monitoring and evaluation of interventions in Romanian patients with diabetes. Full article
(This article belongs to the Section Clinical Diagnosis and Prognosis)
Show Figures

Figure 1

14 pages, 951 KB  
Article
Sex Differences in Intraocular Pressure and Retinal Vessel Responses After Sustained Isometric Knee Extension in Young Adults: A Quasi-Experimental Study
by Monika Vieversytė-Dvylienė, Vytautas Streckis, Matas Streckis and Rima Solianik
J. Clin. Med. 2026, 15(8), 2858; https://doi.org/10.3390/jcm15082858 - 9 Apr 2026
Viewed by 229
Abstract
Purpose: Evidence on the safety of single-joint isometric exercises of the lower legs remains limited. Thus, the aims of this study were to examine intraocular pressure (IOP) and retinal vessel responses during a 1 min isometric knee extension task and to assess potential [...] Read more.
Purpose: Evidence on the safety of single-joint isometric exercises of the lower legs remains limited. Thus, the aims of this study were to examine intraocular pressure (IOP) and retinal vessel responses during a 1 min isometric knee extension task and to assess potential sex-related differences. Materials and Methods: This prospective, parallel-group, quasi-experimental exploratory trial enrolled 43 healthy young adults (22 males and 21 females; age range: 19–35 years), who performed a 1 min sustained maximal-effort isometric knee extension task. The cardiovascular response, IOP, and retinal vessel diameters were assessed. Results: The isometric task increased fatigue, heart rate, systolic blood pressure (SBP), and mean arterial pressure in both sexes (p < 0.05), with males exhibiting a significantly greater rise in SBP than females (p < 0.05). A significant reduction in IOP was observed only in males (p < 0.05). Central retinal arteriolar equivalent decreased in both sexes (p < 0.05), whereas central retinal venular equivalent (CRVE) increased exclusively in females (p < 0.05). Despite the difference in the CRVE response, both sexes exhibited a comparably reduced arteriolar-to-venular diameter ratio (p < 0.05). Conclusions: To sum up, the isometric maximal-effort knee extension exercise increased cardiovascular loads in both sexes, with males showing a greater SBP rise and a reduction in IOP. Although retinal microvascular responses were sex specific, both sexes showed a similar reduction in the arteriolar-to-venular diameter ratio, indicating a consistent shift in microvascular regulation. Full article
(This article belongs to the Section Ophthalmology)
Show Figures

Figure 1

17 pages, 1335 KB  
Article
Efficacy and Tolerability of Extended-Duration Tonic Motor Activation for Treatment of Restless Legs Syndrome with Awakenings During Sleep
by Hussein Alawieh, Kurtis J. Swartz, Stephanie K. Rigot and Jonathan D. Charlesworth
J. Clin. Med. 2026, 15(8), 2845; https://doi.org/10.3390/jcm15082845 - 9 Apr 2026
Viewed by 490
Abstract
Background: Restless legs syndrome (RLS) is a prevalent neurological sleep disorder that often impairs sleep maintenance. This single-arm, open-label study evaluated the efficacy, safety, and tolerability of extended-duration tonic motor activation (XD-TOMAC) in adults with RLS who experience frequent awakenings with symptoms. Methods [...] Read more.
Background: Restless legs syndrome (RLS) is a prevalent neurological sleep disorder that often impairs sleep maintenance. This single-arm, open-label study evaluated the efficacy, safety, and tolerability of extended-duration tonic motor activation (XD-TOMAC) in adults with RLS who experience frequent awakenings with symptoms. Methods: The study comprised three stages: Stage 1 (2 weeks of no intervention), Stage 2 (8 weeks XD-TOMAC), and Stage 3 (2 weeks of no intervention). XD-TOMAC consisted of bilateral high-frequency peroneal nerve stimulation programmed to 180 min duration and administered nightly at bedtime. Nineteen adults with moderate–severe RLS were enrolled, each reporting at least three nights per week of RLS symptoms causing increased awakenings or interfering with returning to sleep after waking. Results: The intent-to-treat analysis population included all patients who began Stage 2 (n = 15). After 8 weeks of XD-TOMAC, the mean change in International RLS Study Group Rating Scale (IRLS) score was −10.6 points (p < 0.001), and the mean change in Medical Outcomes Study Sleep Problems Index II (MOS-II) was −29.5 points (p < 0.001). The mean change in the number of nocturnal awakenings was −1.1 per night (p = 0.009), and the mean change in sleep efficiency was +8.5% (p = 0.001). The mean change in time awake with RLS symptoms after sleep onset was −28.1 min (p = 0.009). Each of these improvements was sustained at the end of Stage 3 (p < 0.01). There were no serious or severe device-related adverse events. Conclusions: Compared with prior 30 min TOMAC studies, XD-TOMAC demonstrated greater efficacy and similar tolerability, supporting its potential as a nonpharmacological therapy for RLS patients whose symptoms frequently disrupt sleep. Full article
Show Figures

Figure 1

17 pages, 2374 KB  
Article
The Effects of Dynamic Balance Training on Balance and Walking Function in Stroke Patients
by Jianhua Li, Jian Wang and Renxiu Bian
Healthcare 2026, 14(8), 985; https://doi.org/10.3390/healthcare14080985 - 9 Apr 2026
Viewed by 312
Abstract
Background: Stroke-related impairments in balance and gait are among the most common and disabling sequelae, significantly limiting functional independence and increasing fall risk. This study investigated the effects of short-term dynamic balance training on balance and gait in post-stroke hemiplegic patients. Methods: In [...] Read more.
Background: Stroke-related impairments in balance and gait are among the most common and disabling sequelae, significantly limiting functional independence and increasing fall risk. This study investigated the effects of short-term dynamic balance training on balance and gait in post-stroke hemiplegic patients. Methods: In this randomized controlled pilot trial, 16 post-stroke hemiplegic patients (intervention group, n = 8; control group, n = 8; mean age ≈ 58 years; predominantly male) were assigned to either a control group receiving conventional rehabilitation or an intervention group receiving additional daily dynamic balance training using the Prokin-252 system (30 min/day, 5 days/week, 3 weeks). Primary outcome measures included balance performance (Berg Balance Scale, mini-BESTest, single-leg stance), center-of-pressure (COP) parameters, gait performance (Timed Up and Go Test), and surface electromyography (sEMG) activity. Results: Following the intervention, both groups demonstrated improvements; however, the intervention group showed significantly greater gains in balance and gait outcomes. Specifically, Berg Balance Scale scores improved significantly (p = 0.012), as did mini-BESTest scores (p = 0.004). Eyes-closed single-leg stance time increased significantly on both sides (p < 0.05). COP analysis revealed reductions in sway area and trajectory length under challenging conditions. sEMG analysis indicated increased activation of the affected-side gluteus medius. In terms of gait performance, the intervention group demonstrated greater improvements in Timed Up and Go Test performance (p = 0.002), dual-task walking, and gait phase symmetry. Conclusions: Supplementing conventional rehabilitation with dynamic balance training effectively enhances balance and gait function in post-stroke patients, potentially through improved neuromuscular control. The integration of sensor-based COP analysis and sEMG provides additional mechanistic insight into rehabilitation outcomes. Full article
Show Figures

Figure 1

11 pages, 1364 KB  
Article
Postoperative Changes in Femoral Rotation Angle and Their Influencing Factors Following Total Hip Arthroplasty via Single Approach: A Retrospective CT-Based Study
by Hiroaki Kurishima, Yasutake Tomata, Norikazu Yamada, Atsushi Noro, Yasuaki Kuriyama, Hidetatsu Tanaka, Yu Mori and Toshimi Aizawa
J. Clin. Med. 2026, 15(7), 2729; https://doi.org/10.3390/jcm15072729 - 4 Apr 2026
Viewed by 291
Abstract
Background/Objectives: This study aimed to evaluate the femoral rotation angle (FRA) before and after THA using a single approach and to identify its influencing factors through three-dimensional measurements. Methods: This retrospective study analyzed patients undergoing 108 primary unilateral THA via the anterolateral-supine approach [...] Read more.
Background/Objectives: This study aimed to evaluate the femoral rotation angle (FRA) before and after THA using a single approach and to identify its influencing factors through three-dimensional measurements. Methods: This retrospective study analyzed patients undergoing 108 primary unilateral THA via the anterolateral-supine approach (ALSA) from May to October 2023. Patients with hip contractures, femoral deformities, or other specific conditions were excluded for precise FRA measurements. Preoperative and postoperative CT scans were used for measurements of the FRA, anteversion, leg lengthening, and global offset. FRA was defined as the angle between the posterior condylar line and the line connecting the bilateral anterosuperior iliac spines, with external rotation as positive. Multiple linear regression, adjusted for age, sex, body mass index, and stem design, assessed the influence of anteversion change, leg lengthening, global offset change, and soft tissue release on the difference in FRA. Results: The mean FRA changed significantly from −2.8° preoperatively to −11.8° postoperatively (p < 0.001), demonstrating an average internal rotation of 9.0° after THA. Anteversion increased by a mean of 9.0° (p < 0.001), leg length increased by 9.0 mm (p < 0.001), and global offset decreased by 1.7 mm (p < 0.001). Multivariate analysis revealed that anteversion change (β = −0.41, p < 0.001) and global offset change (β = 0.40, p = 0.022) were significantly associated with FRA differences. Leg lengthening and ischiofemoral ligament or conjoint tendon resection were not significant (p = 0.089, p = 0.917, and p = 0.750, respectively). Conclusions: ALSA THA significantly rotates the femur internally, associated with an increase in anteversion and a decrease in global offset. Full article
(This article belongs to the Special Issue Hip and Knee Arthroplasty: Update on Clinical Management)
Show Figures

Figure 1

38 pages, 3132 KB  
Article
Lightweight Semantic-Aware Route Planning on Edge Hardware for Indoor Mobile Robots: Monocular Camera–2D LiDAR Fusion with Penalty-Weighted Nav2 Route Server Replanning
by Bogdan Felician Abaza, Andrei-Alexandru Staicu and Cristian Vasile Doicin
Sensors 2026, 26(7), 2232; https://doi.org/10.3390/s26072232 - 4 Apr 2026
Viewed by 992
Abstract
The paper introduces a computationally efficient semantic-aware route planning framework for indoor mobile robots, designed for real-time execution on resource-constrained edge hardware (Raspberry Pi 5, CPU-only). The proposed architecture fuses monocular object detection with 2D LiDAR-based range estimation and integrates the resulting semantic [...] Read more.
The paper introduces a computationally efficient semantic-aware route planning framework for indoor mobile robots, designed for real-time execution on resource-constrained edge hardware (Raspberry Pi 5, CPU-only). The proposed architecture fuses monocular object detection with 2D LiDAR-based range estimation and integrates the resulting semantic annotations into the Nav2 Route Server for penalty-weighted route selection. Object localization in the map frame is achieved through the Angular Sector Fusion (ASF) pipeline, a deterministic geometric method requiring no parameter tuning. The ASF projects YOLO bounding boxes onto LiDAR angular sectors and estimates the object range using a 25th-percentile distance statistic, providing robustness to sparse returns and partial occlusions. All intrinsic and extrinsic sensor parameters are resolved at runtime via ROS 2 topic introspection and the URDF transform tree, enabling platform-agnostic deployment. Detected entities are classified according to mobility semantics (dynamic, static, and minor) and persistently encoded in a GeoJSON-based semantic map, with these annotations subsequently propagated to navigation graph edges as additive penalties and velocity constraints. Route computation is performed by the Nav2 Route Server through the minimization of a composite cost functional combining geometric path length with semantic penalties. A reactive replanning module monitors semantic cost updates during execution and triggers route invalidation and re-computation when threshold violations occur. Experimental evaluation over 115 navigation segments (legs) on three heterogeneous robotic platforms (two single-board RPi5 configurations and one dual-board setup with inference offloading) yielded an overall success rate of 97% (baseline: 100%, adaptive: 94%), with 42 replanning events observed in 57% of adaptive trials. Navigation time distributions exhibited statistically significant departures from normality (Shapiro–Wilk, p < 0.005). While central tendency differences between the baseline and adaptive modes were not significant (Mann–Whitney U, p = 0.157), the adaptive planner reduced temporal variance substantially (σ = 11.0 s vs. 31.1 s; Levene’s test W = 3.14, p = 0.082), primarily by mitigating AMCL recovery-induced outliers. On-device YOLO26n inference, executed via the NCNN backend, achieved 5.5 ± 0.7 FPS (167 ± 21 ms latency), and distributed inference reduced the average system CPU load from 85% to 48%. The study further reports deployment-level observations relevant to the Nav2 ecosystem, including GeoJSON metadata persistence constraints, graph discontinuity (“path-gap”) artifacts, and practical Route Server configuration patterns for semantic cost integration. Full article
(This article belongs to the Special Issue Advances in Sensing, Control and Path Planning for Robotic Systems)
Show Figures

Figure 1

18 pages, 316 KB  
Article
Factors Affecting Wound Healing in Patients with Venous Leg Ulcers: A Pilot Study
by Hubert Aleksandrowicz, Joanna Czerwińska, Waldemar Placek and Agnieszka Owczarczyk-Saczonek
Nutrients 2026, 18(7), 1148; https://doi.org/10.3390/nu18071148 - 3 Apr 2026
Viewed by 476
Abstract
Background/Objectives: Previous studies have compared nutritional deficiency parameters in patients with venous leg ulcers (VLUs) to healthy individuals or those with unrelated conditions. This single-center study assessed blood levels of factors involved in ulcer healing and compared patients with VLUs to those with [...] Read more.
Background/Objectives: Previous studies have compared nutritional deficiency parameters in patients with venous leg ulcers (VLUs) to healthy individuals or those with unrelated conditions. This single-center study assessed blood levels of factors involved in ulcer healing and compared patients with VLUs to those with chronic venous insufficiency without ulcers. Methods: A total of 24 patients were included: 17 with VLUs formed the study group, and 7 with lower-limb venous insufficiency without ulcers served as controls. Disease severity was assessed using the CEAP classification, and all participants underwent ankle–brachial index (ABI) measurement. Venous blood samples were analyzed for selected vitamins, proteins, ions, protein electrophoresis, and amino acid profiles. Results: Strong correlations were identified (r > 0.5 or r < −0.5), some of which were statistically significant. Positive associations in the study group included BMI with waist circumference (r = 0.85, p < 0.05), tyrosine with proline (r = 0.84, p < 0.05), and valine with leucine (r = 0.82, p < 0.05). Negative correlations included albumin with folic acid (r = −0.73, p < 0.05), albumin with vitamin B6 (r = −0.71, p < 0.05), and folic acid with waist circumference (r = −0.65, p < 0.05). No significant differences in blood concentrations were observed between groups. Conclusions: Statistically significant correlations were observed between selected biochemical parameters, including albumin and alpha-1 globulins, as well as amino acid and vitamin concentrations, in both patients with VLUs and controls with chronic venous insufficiency without ulcers. Larger studies are needed to confirm these findings and clarify their relevance to venous leg ulcers. Full article
(This article belongs to the Section Micronutrients and Human Health)
13 pages, 747 KB  
Article
Comparison of Unilateral and Bilateral Jump Training on Physical Performance Adaptations in Prepubertal and Pubertal Youth Soccer Players
by Wajdi Dardouri, Raouf Hammami, Abdelkader Mahmoudi and Roland van den Tillaar
J. Funct. Morphol. Kinesiol. 2026, 11(2), 146; https://doi.org/10.3390/jfmk11020146 - 1 Apr 2026
Viewed by 357
Abstract
Objective: This randomized controlled trial aimed to investigate how volume-matched unilateral and bilateral jump training affects physical performance in prepubertal and pubertal male youth soccer players and to examine whether maturational status influences these training adaptations. Methods: Sixty-five male soccer players (age 10.5 [...] Read more.
Objective: This randomized controlled trial aimed to investigate how volume-matched unilateral and bilateral jump training affects physical performance in prepubertal and pubertal male youth soccer players and to examine whether maturational status influences these training adaptations. Methods: Sixty-five male soccer players (age 10.5 ± 2.9 years; height 136.7 ± 17.8 cm; body mass 32.8 ± 8.6 kg; maturity offset −1.6 ± 1.0 years) completed an 8-week training program (two sessions/week). Participants were randomly assigned to a bilateral jump group (n = 22), unilateral jump group (n = 22), or control group (n = 21). Performance was evaluated in a single testing session, which included horizontal jump tests (bilateral standing long jump and single-leg hop distance), linear sprint tests over 10 m (acceleration) and 30 m (maximal sprint performance) using timed trials, and change-of-direction (COD) ability assessed via a standardized timed COD test. Results: Significant main effects of time, maturation, and time × group interactions were observed for all outcomes (p ≤ 0.013). A maturation × group interaction was found for bilateral jump performance (p = 0.045), a group effect for 10 m sprint time (p = 0.015), and a time × maturation × group interaction for COD performance (p < 0.001). Both training groups had improved jump performance (jump distance) and 10 m sprint time across maturity levels, while no changes were observed in the control group. For 30 m sprint time, improvements were observed in both training groups in prepubertal players, whereas only the unilateral group showed improvements in pubertal players. COD performance (completion time) improved in the unilateral group at both maturity levels and in the bilateral group at the pubertal level. Conclusions: Structured jump training enhances horizontal jump distance, sprint performance, and COD ability in youth soccer players. Adaptations appear to be influenced by training modality and maturation, although these effects may vary depending on the specific performance task. Full article
Show Figures

Figure 1

Back to TopTop