Sign in to use this feature.

Years

Between: -

Subjects

remove_circle_outline
remove_circle_outline
remove_circle_outline
remove_circle_outline
remove_circle_outline
remove_circle_outline
remove_circle_outline
remove_circle_outline
remove_circle_outline

Journals

remove_circle_outline
remove_circle_outline
remove_circle_outline
remove_circle_outline
remove_circle_outline
remove_circle_outline
remove_circle_outline

Article Types

Countries / Regions

Search Results (159)

Search Parameters:
Keywords = single imputation

Order results
Result details
Results per page
Select all
Export citation of selected articles as:
9 pages, 756 KB  
Proceeding Paper
Effect of Data Preparation on Machine Learning Models for Diabetes Prediction
by Goran Martinović, Ivan Ivković, Domen Verber and Tatjana Bačun
Eng. Proc. 2026, 125(1), 13; https://doi.org/10.3390/engproc2026125013 - 28 Jan 2026
Viewed by 86
Abstract
This paper examines how data preparation affects machine-learning classifiers for diabetes-risk prediction using the Pima Indians Diabetes Database. Three preprocessing methods are considered: imputing invalid zeros, handling outliers, and data scaling. Nine algorithms are evaluated on this dataset: linear/probabilistic baselines (Logistic Regression, Gaussian [...] Read more.
This paper examines how data preparation affects machine-learning classifiers for diabetes-risk prediction using the Pima Indians Diabetes Database. Three preprocessing methods are considered: imputing invalid zeros, handling outliers, and data scaling. Nine algorithms are evaluated on this dataset: linear/probabilistic baselines (Logistic Regression, Gaussian Naive Bayes), distance-based methods (KNN, Support Vector Machines), a single tree-based model (Decision Tree), and tree ensembles (Random Forest, Gradient Boosting, XGBClassifier, LightGBM). Median imputation of invalid zeros yields the largest and most consistent gains in accuracy and AUC. Outlier handling uses interquartile-range filtering, with Local Outlier Factor as an auxiliary indicator; effects are modest for accuracy and small, model-dependent for AUC. Scaling offers targeted benefits: for KNN, robust scaling can slightly alter performance and may reduce AUC relative to median-only imputation in this setup; SVM shows modest gains, while tree ensembles are comparatively insensitive overall. Ensembles achieve the highest performance and remain robust under minimal preparation, while simpler models benefit most from pipelines combining median imputation, careful outlier handling, and appropriate scaling. Hyperparameter tuning yields small to substantial gains—large for Decision Trees—while leaving ensemble rankings largely unchanged. Overall, results highlight the centrality of median imputation and the selective value of scaling for distance-based classifiers in diabetes-risk prediction. Full article
Show Figures

Figure 1

24 pages, 4205 KB  
Article
Data Fusion Method for Multi-Sensor Internet of Things Systems Including Data Imputation
by Saugat Sharma, Grzegorz Chmaj and Henry Selvaraj
IoT 2026, 7(1), 11; https://doi.org/10.3390/iot7010011 - 26 Jan 2026
Viewed by 147
Abstract
In Internet of Things (IoT) systems, data collected by geographically distributed sensors is often incomplete due to device failures, harsh deployment conditions, energy constraints, and unreliable communication. Such data gaps can significantly degrade downstream data processing and decision-making, particularly when failures result in [...] Read more.
In Internet of Things (IoT) systems, data collected by geographically distributed sensors is often incomplete due to device failures, harsh deployment conditions, energy constraints, and unreliable communication. Such data gaps can significantly degrade downstream data processing and decision-making, particularly when failures result in the loss of all locally redundant sensors. Conventional imputation approaches typically rely on historical trends or multi-sensor fusion within the same target environment; however, historical methods struggle to capture emerging patterns, while same-location fusion remains vulnerable to single-point failures when local redundancy is unavailable. This article proposes a correlation-aware, cross-location data fusion framework for data imputation in IoT networks that explicitly addresses single-point failure scenarios. Instead of relying on co-located sensors, the framework selectively fuses semantically similar features from independent and geographically distributed gateways using summary statistics-based and correlation screening to minimize communication overhead. The resulting fused dataset is then processed using a lightweight KNN with an Iterative PCA imputation method, which combines local neighborhood similarity with global covariance structure to generate synthetic data for missing values. The proposed framework is evaluated using real-world weather station data collected from eight geographically diverse locations across the United States. The experimental results show that the proposed approach achieves improved or comparable imputation accuracy relative to conventional same-location fusion methods when sufficient cross-location feature correlation exists and degrades gracefully when correlation is weak. By enabling data recovery without requiring redundant local sensors, the proposed approach provides a resource-efficient and failure-resilient solution for handling missing data in IoT systems. Full article
Show Figures

Figure 1

21 pages, 3205 KB  
Article
scIRT: Imputation and Dimensionality Reduction for Single-Cell RNA-Seq Data by Combining NMF with SMOTE
by Yunwen Mou, Shuchao Li and Guoli Ji
Int. J. Mol. Sci. 2026, 27(3), 1173; https://doi.org/10.3390/ijms27031173 - 23 Jan 2026
Viewed by 118
Abstract
The establishment and development of single-cell RNA-sequencing (scRNA-seq) technology has accelerated the analysis of cell genome characteristics down to the single-cell level. Despite the rapid development of scRNA-seq technology, we cannot obtain a complete gene expression matrix in the biological experiments, and the [...] Read more.
The establishment and development of single-cell RNA-sequencing (scRNA-seq) technology has accelerated the analysis of cell genome characteristics down to the single-cell level. Despite the rapid development of scRNA-seq technology, we cannot obtain a complete gene expression matrix in the biological experiments, and the scRNA-seq data obtained from experiments also have a high dropout rate. Unfortunately, gene expression analysis and clustering tools require a complete matrix of gene expression values for classification or clustering calculations. Most imputation methods focus on the impact of the imputed high-dimensional expression matrix on clustering and cannot obtain the low-dimensional representation matrix, which may have an even better guiding effect on clustering. To this end, we designed an iterative imputation pipeline called scIRT to estimate dropout events for scRNA-seq and achieve dimensionality reduction simultaneously by combining the synthetic minority over-sampling technique (SMOTE) and non-negative matrix factorization (NMF). The adaptation of SMOTE effectively imputes missing data, while NMF performs dimensionality reduction and feature extraction on high-dimensional data. Using several scRNA-seq datasets, we demonstrated that this new approach achieved better and more robust performance than the existing approaches. We also compared the different effects of the imputed matrix and the low-dimensional representation matrix on clustering. ScIRT is a tool that can be used to preprocess scRNA-seq data. It can effectively recover missing data from scRNA-seq to facilitate downstream analyses such as cell type clustering and visualization. Full article
(This article belongs to the Section Molecular Biology)
Show Figures

Figure 1

37 pages, 8864 KB  
Article
Impact Analysis of the Market Penetration Rate of Connected Vehicles and the Failure Rate of Roadside Equipment on Data Accuracy
by Fengping Zhan
Sensors 2026, 26(2), 686; https://doi.org/10.3390/s26020686 - 20 Jan 2026
Viewed by 139
Abstract
Data quality, involving the accuracy, completeness and reliability of data, is of great significance for the operation and management of road traffic. As the two significant factors that affect data accuracy, the market penetration rate (MPR) of CVs and the failure rate of [...] Read more.
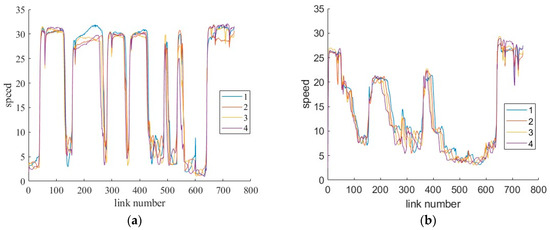
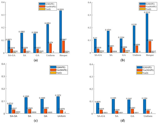
Data quality, involving the accuracy, completeness and reliability of data, is of great significance for the operation and management of road traffic. As the two significant factors that affect data accuracy, the market penetration rate (MPR) of CVs and the failure rate of roadside equipment (RSE) were considered in the heterogeneity traffic flow comprising human-driven vehicles and CVs. An optimal deployment method solved by SAGA was proposed to optimize the locations of RSE. A rigid nearest neighbor (RNN) algorithm and a soft nearest neighbor (SNN) algorithm were addressed to handle the missing data caused by sensor failure. Additionally, the BPNN algorithm was adopted to fuse RSE data and CV data. Case analysis results show that the proposed optimal deployment method is superior to the uniform and the hotspot methods. Data accuracy can reach 95% and 98% when the MPR is 15% and 60%, respectively. It decreases with the increase in sensor failure rate for single-source data, but not for the fused data. The performance of the SNN algorithm is better than the RNN algorithm in fixing single-source missing data. However, multi-source data fusion, especially with the high-precision data, is much more effective in improving data accuracy than missing data imputation. Full article
Show Figures

Figure 1

12 pages, 2513 KB  
Article
Missing Data in OHCA Registries: How Multiple Imputation Methods Affect Research Conclusions—Paper II
by Stella Jinran Zhan, Seyed Ehsan Saffari, Marcus Eng Hock Ong and Fahad Javaid Siddiqui
J. Clin. Med. 2026, 15(2), 732; https://doi.org/10.3390/jcm15020732 - 16 Jan 2026
Viewed by 142
Abstract
Background/Objectives: Missing data in clinical observational studies, such as out-of-hospital cardiac arrest (OHCA) registries, can compromise statistical validity. Single imputation methods are simple alternatives to complete-case analysis (CCA) but do not account for imputation uncertainty. Multiple imputation (MI) is the standard for handling [...] Read more.
Background/Objectives: Missing data in clinical observational studies, such as out-of-hospital cardiac arrest (OHCA) registries, can compromise statistical validity. Single imputation methods are simple alternatives to complete-case analysis (CCA) but do not account for imputation uncertainty. Multiple imputation (MI) is the standard for handling missing-at-random (MAR) data, yet its implementation remains challenging. This study evaluated the performance of MI in association analysis compared with CCA and single imputation methods. Methods: Using a simulation framework with real-world Singapore OHCA registry data (N = 13,274 complete cases), we artificially introduced 20%, 30%, and 40% missingness under MAR. MI was implemented using predictive mean matching (PMM), random forest (RF), and classification and regression trees (CART) algorithms, with 5–20 imputations. Performance was assessed based on bias and precision in a logistic regression model evaluating the association between alert issuance and bystander CPR. Results: CART outperformed PMM, providing more accurate β coefficients and stable CIs across missingness levels. Although K-Nearest Neighbours (KNN) produced similar point estimates, it underestimated imputation uncertainty. PMM showed larger bias, wider and less stable CIs, and in some settings performed similarly to CCA. MI methods produced wider CIs than single imputation, appropriately capturing imputation uncertainty. Increasing the number of imputations had minimal impact on point estimates but modestly narrowed CIs. Conclusions: MI performance depends strongly on the chosen algorithm. CART and RF methods offered the most robust and consistent results for OHCA data, whereas PMM may not be optimal and should be selected with caution. MI using tree-based methods (CART/RF) remains the preferred strategy for generating reliable conclusions in OHCA research. Full article
Show Figures

Figure 1

23 pages, 3280 KB  
Article
Research on Short-Term Photovoltaic Power Prediction Method Using Adaptive Fusion of Multi-Source Heterogeneous Meteorological Data
by Haijun Yu, Jinjin Ding, Yuanzhi Li, Lijun Wang, Weibo Yuan, Xunting Wang and Feng Zhang
Energies 2026, 19(2), 425; https://doi.org/10.3390/en19020425 - 15 Jan 2026
Viewed by 159
Abstract
High-precision short-term photovoltaic (PV) power prediction has become a critical technology in ensuring grid accommodation capacity, optimizing dispatching decisions, and enhancing plant economic benefits. This paper proposes a long short-term memory (LSTM)-based short-term PV power prediction method with the genetic algorithm (GA)-optimized adaptive [...] Read more.
High-precision short-term photovoltaic (PV) power prediction has become a critical technology in ensuring grid accommodation capacity, optimizing dispatching decisions, and enhancing plant economic benefits. This paper proposes a long short-term memory (LSTM)-based short-term PV power prediction method with the genetic algorithm (GA)-optimized adaptive fusion of space-based cloud imagery and ground-based meteorological data. The effective integration of satellite cloud imagery is conducted in the PV power prediction system, and the proposed method addresses the issues of low accuracy, poor robustness, and inadequate adaptation to complex weather associated with using a single type of meteorological data for PV power prediction. The multi-source heterogeneous data are preprocessed through outlier detection and missing value imputation. Spearman correlation analysis is employed to identify meteorological attributes highly correlated with PV power output. A dedicated dataset compatible with LSTM algorithm-based prediction models is constructed. An LSTM prediction model with a GA algorithm-based adaptive multi-source heterogeneous data fusion method is proposed, and the ability to construct a precise short-term PV power prediction model is demonstrated. Experimental results demonstrate that the proposed method outperforms single-source LSTM, single-source CNN-LSTM, and dual-source CNN-Transformer models in prediction accuracy, achieving an RMSE of 0.807 kWh and an MAPE of 6.74% on a critical test day. The proposed method enables real-time precision forecasting for grid dispatch centers and lightweight edge deployment at PV plants, enhancing renewable energy integration while effectively mitigating grid instability from power fluctuations. Full article
Show Figures

Figure 1

15 pages, 501 KB  
Article
Association Between HLA Alleles and IgA Nephropathy in a Taiwanese Population
by Yung-Chieh Huang, I-Chieh Chen, Guan-Cheng Lin, Tzu-Hung Hsiao, Shang-Feng Tsai, Yi-Ming Chen and Lin-Shien Fu
Int. J. Mol. Sci. 2026, 27(2), 790; https://doi.org/10.3390/ijms27020790 - 13 Jan 2026
Viewed by 136
Abstract
Genetic associations with IgA nephropathy (IgAN), particularly in the human leukocyte antigen (HLA) region, vary across ethnic groups. This study investigated the association of HLA alleles with the diagnosis, pathological findings, and prognosis of biopsy-proven IgAN in a Taiwanese population. A case-control study [...] Read more.
Genetic associations with IgA nephropathy (IgAN), particularly in the human leukocyte antigen (HLA) region, vary across ethnic groups. This study investigated the association of HLA alleles with the diagnosis, pathological findings, and prognosis of biopsy-proven IgAN in a Taiwanese population. A case-control study was conducted using data from the Taiwan Precision Medicine Initiative, including 157 patients with biopsy-proven IgAN and 1570 age- and sex-matched controls. Genetic data were obtained from single-nucleotide polymorphism arrays, and HLA imputation was performed. Most single-nucleotide polymorphisms associated with IgAN were located within the HLA region on chromosome 6. Frequencies of several alleles (including C*08:01, DQA1*03:01, and DQB1*04:01) were significantly higher in the IgAN group. Conversely, frequencies of alleles such as B*58:01 and DQB1*02:01 were significantly lower. This study identified novel risk and protective HLA alleles for IgAN in a Taiwanese population. Full article
(This article belongs to the Special Issue A Molecular Perspective on the Genetics of Kidney Diseases)
Show Figures

Figure 1

14 pages, 390 KB  
Article
Molecular Features Associated with a High-Risk Clinical Course in Neuroblastomas Initially Diagnosed as Non-High-Risk
by Rixt S. Bruinsma, Wendy W. J. de Leng, Marta F. Fiocco, Miranda P. Dierselhuis, Karin P. Langenberg, Jan J. Molenaar, Lennart A. Kester, Max M. van Noesel, Godelieve A. M. Tytgat, Cornelis P. van de Ven, Marc H. W. A. Wijnen, Ronald R. de Krijger and Alida F. W. van der Steeg
Cancers 2026, 18(2), 235; https://doi.org/10.3390/cancers18020235 - 12 Jan 2026
Viewed by 208
Abstract
Background/Objectives: Some patients initially diagnosed with non-high-risk neuroblastoma follow a high-risk clinical course and have poor survival compared to those initially diagnosed with high-risk neuroblastoma. We aimed to identify molecular aberrations present at diagnosis that may explain the high-risk clinical course in [...] Read more.
Background/Objectives: Some patients initially diagnosed with non-high-risk neuroblastoma follow a high-risk clinical course and have poor survival compared to those initially diagnosed with high-risk neuroblastoma. We aimed to identify molecular aberrations present at diagnosis that may explain the high-risk clinical course in this patient group. Methods: Data were collected from non-high-risk neuroblastoma patients diagnosed at our center between 2014 and 2021. Segmental chromosomal aberrations (SCAs), gene amplifications and mutations at diagnosis were detected by a single-nucleotide polymorphism array and next-generation sequencing. Telomere maintenance mechanisms (TMMs) were investigated using fluorescent in situ hybridization, whole genome sequencing (WGS) and RNA sequencing. SCA counts were imputed by using multiple imputation. Results: The total cohort included 89 patients. Thirteen patients developed a high-risk clinical course (group A) due to progression (n = 4), local relapse (n = 4), refractory disease (n = 3) or metastases (n = 2). Seventy-six patients followed a non-high-risk clinical course (group B). An SCA profile (≥1 SCA) was present in 76% of patients in group A and only 15% in group B (p = 0.004). 1p deletion was associated with a high-risk clinical course (p = 0.034). Gains of 1q, 2p and 17q, and deletions of 4p and 11q were more common in group A. After imputation, SCA count was associated with a high-risk clinical course (pooled OR 1.256 with 95% CI 1.006–1.568, p = 0.044). Two patients, both group A, exhibited MDM2/CDK4 amplification. Alternative lengthening of telomeres (ALT) was activated in 57% of group A. Conclusions: SCA profile and 1p deletion are associated with a high-risk clinical course. ALT activation, MDM2/CDK4 co-amplification, SCA count, gains of 1q, 2p, and 17q, and deletions of 4p and 11q may also be relevant molecular markers. Larger studies are needed for confirmation of these findings. Full article
(This article belongs to the Special Issue Neuroblastoma: Molecular Insights and Clinical Implications)
Show Figures

Figure 1

25 pages, 21050 KB  
Article
Predicting ESG Scores Using Machine Learning for Data-Driven Sustainable Investment
by Sanskruti Patel, Abhay Nath and Pranav Desai
Analytics 2026, 5(1), 7; https://doi.org/10.3390/analytics5010007 - 9 Jan 2026
Viewed by 345
Abstract
Environmental, social and governance (ESG) metrics increasingly inform sustainable investment yet suffer from inter-rater heterogeneity and incomplete reporting, limiting their utility for forward-looking allocation. In this study, we developed and validated a two-level stacked-ensemble machine-learning framework to predict total ESG risk scores for [...] Read more.
Environmental, social and governance (ESG) metrics increasingly inform sustainable investment yet suffer from inter-rater heterogeneity and incomplete reporting, limiting their utility for forward-looking allocation. In this study, we developed and validated a two-level stacked-ensemble machine-learning framework to predict total ESG risk scores for S&P 500 firms using a comprehensive feature set comprising pillar sub-scores, controversy measures, firm financials, categorical descriptors and geospatial environmental indicators. Data pre-processing combined median/mean imputation, one-hot encoding, normalization and rigorous feature engineering; models were trained with an 80:20 train–test split and hyperparameters tuned by k-fold cross-validation. The stacked ensemble substantially outperformed single-model baselines (RMSE = 1.006, MAE = 0.664, MAPE = 3.13%, R2 = 0.979, CV_RMSE_Mean = 1.383, CV_R2_Mean = 0.957), with LightGBM and gradient boosting as competitive comparators. Permutation importance and correlation analysis identified environmental and social components as primary drivers (environmental importance = 0.41; social = 0.32), with potential multicollinearity between component and aggregate scores. This study concludes that ensemble-based predictive analytics can produce reliable, actionable ESG estimates to enhance screening and prioritization in sustainable investment, while recommending human review for extreme predictions and further work to harmonize cross-provider score divergence. Full article
Show Figures

Figure 1

11 pages, 592 KB  
Article
Early Graft Loss in Solitary Pancreas Transplant Recipients Within Eurotransplant Region
by Jacobus W. Mensink, Jacob K. de Bakker, Marko J. K. Mallat, Milou van Bruchem, Danny van der Helm, Marieke van Meel, Aiko P. J. de Vries, Robert A. Pol, Christian Margreiter and Volkert A. L. Huurman
Transplantology 2026, 7(1), 3; https://doi.org/10.3390/transplantology7010003 - 8 Jan 2026
Viewed by 254
Abstract
Introduction: While extensive research has been conducted on specific factors affecting transplant outcomes in simultaneous pancreas-kidney recipients, less is known about outcomes following single pancreas transplantation (PTx). This study focuses on identifying factors related to early graft loss after PTx. Patients and Methods: [...] Read more.
Introduction: While extensive research has been conducted on specific factors affecting transplant outcomes in simultaneous pancreas-kidney recipients, less is known about outcomes following single pancreas transplantation (PTx). This study focuses on identifying factors related to early graft loss after PTx. Patients and Methods: A retrospective analysis was performed on a Eurotransplant (ET) registry database encompassing all consecutive solitary pancreas transplantations from 2000 to 2018. To address any missing values, multiple imputation techniques were employed. Uni and multivariable statistical analyses were performed. Results: The primary causes of early graft loss (<90 days) were thrombosis, bleeding, rejection, and infection. Using multivariable analysis, donor male gender (Hazard Ratio (HR) 0.62) was significantly associated with early graft survival. Of all recipient variables, recipient age (HR 0.96) and recipient cardiovascular history (HR 2.10) were associated with graft loss. A subgroup analysis PTx of female donors into female recipients showed an increased risk for early graft loss compared to male-to-male transplants (HR 2.14). The graft survival rates were 62.9% and 79.0%, respectively (p = 0.017). Discussion: This Eurotransplant registry analysis identifies various donor- and recipient-related risk factors after PTx, partly mirroring the SPK population but also identifying new factors. These findings identify PTx patients as a separate entity in pancreas transplantation and emphasize the need for tailor-made matching of donors and recipients. Full article
(This article belongs to the Section Solid Organ Transplantation)
Show Figures

Figure 1

23 pages, 3375 KB  
Article
Spatially Gated Mixture of Experts for Missing Data Imputation in Pavement Management Systems
by Bongjun Ji, Seungyeon Han and Mun-Sup Lee
Systems 2026, 14(1), 48; https://doi.org/10.3390/systems14010048 - 31 Dec 2025
Viewed by 300
Abstract
Accurate imputation of missing pavement-condition data is critical for proactive infrastructure management, yet it is complicated by spatial non-stationarity—deterioration patterns and data quality vary markedly across regions. This study proposes a Spatially Gated Mixture-of-Experts (SG-MoE) imputation model that explicitly encodes spatial heterogeneity by [...] Read more.
Accurate imputation of missing pavement-condition data is critical for proactive infrastructure management, yet it is complicated by spatial non-stationarity—deterioration patterns and data quality vary markedly across regions. This study proposes a Spatially Gated Mixture-of-Experts (SG-MoE) imputation model that explicitly encodes spatial heterogeneity by (i) clustering road segments using geographic coordinates and (ii) supervising a gating network to route each sample to region-specialized expert regressors. Using a large-scale national pavement management database, we benchmark SG-MoE against a strong baseline under controlled missingness mechanisms (MCAR: missing completely at random; MAR: missing at random; MNAR: missing not at random) and missing rates (10–50%). Across scenarios, SG-MoE consistently matches or improves upon the baseline; the largest gains occur under MCAR and the challenging MNAR setting, where spatial specialization reduces systematic underestimation of high crack-rate sections. The results provide practical guidance on when spatially aware ensembling is most beneficial for infrastructure imputation at scale. We additionally report comparative results under three missingness mechanisms. Across five random seeds, SG-MoE is comparable to the single LightGBM baseline under MCAR/MAR and achieves its largest gains under MNAR (e.g., sMAPE improves by 0.82 points at 10% MNAR missingness). Full article
(This article belongs to the Section Artificial Intelligence and Digital Systems Engineering)
Show Figures

Figure 1

11 pages, 482 KB  
Article
Efficacy and Safety of Pirfenidone in Patients with Progressive Pulmonary Fibrosis: A Retrospective Single-Center Study
by Ju Hyun Oh, Jin Han Park, Ji Hoon Jang, Minyoung Her, Een Young Cho and Jae Ha Lee
Life 2026, 16(1), 11; https://doi.org/10.3390/life16010011 - 21 Dec 2025
Viewed by 671
Abstract
Progressive pulmonary fibrosis (PPF) is an emerging subset of fibrotic interstitial lung diseases (ILD), defined by progressive fibrosis despite standard treatment in patients with other than idiopathic pulmonary fibrosis. The international guidelines recommended the use of nintedanib for PPF, while evidence supporting pirfenidone [...] Read more.
Progressive pulmonary fibrosis (PPF) is an emerging subset of fibrotic interstitial lung diseases (ILD), defined by progressive fibrosis despite standard treatment in patients with other than idiopathic pulmonary fibrosis. The international guidelines recommended the use of nintedanib for PPF, while evidence supporting pirfenidone remains insufficient. In this study, we aimed to evaluate the efficacy and safety of pirfenidone in treating PPF. In this retrospective single-center study, we analyzed clinical data from patients with PPF who were treated with pirfenidone. Lung function data from six months before and after pirfenidone treatment were collected to assess changes over time. Missing values were imputed using a general linear mixed model (GLMM) for longitudinal data analysis. Of 33 subjects, the median age was 65.0 years, and 51.5% were female. Rheumatoid arthritis-related ILD was the most common subtype (45.5%). The median daily dose of pirfenidone was 600 mg, with a median treatment duration of 7.3 months. GLMM analysis showed a significant forced vital capacity (FVC) improvement, from −114 mL in the 6 months before treatment to +47.3 mL in the 6 months after treatment (p = 0.001). All adverse events related to pirfenidone were mild. In conclusion, the use of pirfenidone in PPF can potentially reduce the rate of FVC decline in real clinical practice. Full article
Show Figures

Figure 1

12 pages, 783 KB  
Article
Single-Shot Subcutaneous Lidocaine Infiltration at Closure Is Associated with Reduced Early Pain and Opioid Requirement After Single-Incision Laparoscopic Totally Extraperitoneal Hernia Repair
by Jong Min Lee
J. Clin. Med. 2025, 14(23), 8324; https://doi.org/10.3390/jcm14238324 - 23 Nov 2025
Cited by 1 | Viewed by 557
Abstract
Background: Subcutaneous wound infiltration with local anesthetics has been proposed as a simple adjunct for postoperative pain control; however, its value in single-incision laparoscopic total extraperitoneal (SILTEP) inguinal hernia repair remains unclear. Methods: We retrospectively analyzed 199 consecutive SILTEP inguinal hernia repairs performed [...] Read more.
Background: Subcutaneous wound infiltration with local anesthetics has been proposed as a simple adjunct for postoperative pain control; however, its value in single-incision laparoscopic total extraperitoneal (SILTEP) inguinal hernia repair remains unclear. Methods: We retrospectively analyzed 199 consecutive SILTEP inguinal hernia repairs performed between November 2022 and July 2025 (117 no-lidocaine, 82 lidocaine). A double adjustment, combining 1:1 propensity score matching with multivariable regression across 20 multiply imputed datasets was performed. The primary outcome was maximal numeric pain intensity scale (NPIS) on postoperative day (POD) 0. Results: Eighty-two matched pairs were generated. In the final pooled, adjusted models, lidocaine infiltration was associated with a significant reduction in the primary outcome, maximal NPIS on POD 0 (β = −1.25; 95% CI: −2.01 to −0.50; p = 0.001). Lidocaine was also associated with significantly lower odds of requiring rescue analgesia on POD 0 (OR = 0.12; 95% CI: 0.03–0.46; p = 0.002), fewer rescue doses during hospitalization (β = −1.11; 95% CI: −1.62 to −0.49; p < 0.001), and a lower morphine-equivalent dose (β = −5.14; 95% CI: −7.79 to −2.49; p < 0.001). No increase in postoperative complications was observed. Conclusions: Single-shot subcutaneous lidocaine infiltration in SILTEP hernia repair is a simple, low-risk intervention that was associated with reduced immediate postoperative pain and opioid use without increasing complications. However, the effect was short-lived with no sustained benefit beyond the first postoperative day. Full article
Show Figures

Figure 1

29 pages, 1533 KB  
Article
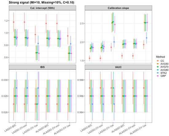
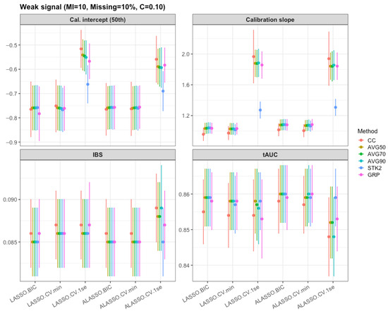
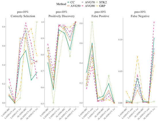
A Two-Step Variable Selection Strategy for Multiply Imputed Survival Data Using Penalized Cox Models
by Qian Yang, Bin Luo, Chenxi Yu and Susan Halabi
Bioengineering 2025, 12(11), 1278; https://doi.org/10.3390/bioengineering12111278 - 20 Nov 2025
Viewed by 747
Abstract
Multiple imputation (MI) is widely used for handling missing data. However, applying penalized methods after MI can be challenging because variable selection may be inconsistent across imputations. We propose a two-step variable selection method for multiply imputed datasets with survival outcomes: apply LASSO [...] Read more.
Multiple imputation (MI) is widely used for handling missing data. However, applying penalized methods after MI can be challenging because variable selection may be inconsistent across imputations. We propose a two-step variable selection method for multiply imputed datasets with survival outcomes: apply LASSO or ALASSO to each MI dataset, followed by ridge regression, and combine estimates using variable selected in any or d% (d = 50, 70, 90, 100) of the MI datasets. For comparison, we also fit stacked MI datasets with weighted penalized regression and a group LASSO approach that enforces consistent selection across imputations. Simulations with Cox models evaluated tuning by AIC, BIC, cross-validation at the minimum error, and the 1SE rule. Across scenarios, performance differed by both the penalization and the selection rule. More conservative choices such as ALASSO with BIC and a 50% inclusion frequency tended to control false positive and gave more stable calibration. The grouped approach achieved comparable selection with modestly higher estimation error. Overall, no single method consistently outperformed others across all scenarios. Our findings suggest that practitioners should weigh trade-offs between selection stability, estimation accuracy, and calibration when applying penalized methods to multiply imputed survival data. Full article
(This article belongs to the Section Biosignal Processing)
Show Figures

Figure 1

14 pages, 1037 KB  
Article
Individualized Risk Prediction of Medical Postoperative Complications After Oncologic Hepatectomy: A Nomogram-Based Approach
by Raluca Zaharia, Stefan Morarasu, Cristian Ene Roata, Ana Maria Musina, Wee Liam Ong, Gabriel Mihail Dimofte and Sorinel Lunca
Med. Sci. 2025, 13(4), 267; https://doi.org/10.3390/medsci13040267 - 13 Nov 2025
Viewed by 548
Abstract
Background: Liver resection remains the primary curative treatment for many malignant liver diseases. Advances in patient selection, perioperative care, and surgical technique have markedly reduced procedure-related (surgical) complications in experienced centres. However, despite these improvements, medical (non-surgical) complications continue to represent a substantial [...] Read more.
Background: Liver resection remains the primary curative treatment for many malignant liver diseases. Advances in patient selection, perioperative care, and surgical technique have markedly reduced procedure-related (surgical) complications in experienced centres. However, despite these improvements, medical (non-surgical) complications continue to represent a substantial source of postoperative morbidity, particularly after major liver resections. Herein, we aim to assess the incidence, nature, and predictors of medical versus surgical complications after liver resection and to develop an individual risk calculator for estimating medical morbidity after liver resection. Methods: This is an observational single-centre study including patients who underwent liver resection for cancer between 2013 and 2025. Postoperative complications were classified into medical and surgical categories based on clinical and diagnostic criteria. Demographic, clinical, and intraoperative data were analyzed to identify risk factors associated with each type of complication, and a multivariate logistic regression model was used to select significant variables, which were imputed in a prediction nomogram made available as an interactive web-based calculator. Results: Of the 231 patients included, 36 patients (15.6%) developed postoperative complications. From multivariate analysis, independent predictors of medical complications included cirrhosis (OR 2.8, 95% CI 1.2–6.8, p < 0.05), operative time > 180 min (OR 2.0, 95% CI 1.1–7.4, p < 0.05), intraoperative blood loss > 500 mL (OR 2, 95% CI: 0.9–4.8, p < 0.05), and ASA score ≥ 3 (OR 3.7, 95% CI 1.1–12.5, p < 0.05). Major hepatic resection was the only independent predictor of surgical complications (OR 7.42, 95% CI: 1.14–48.52, p = 0.036). The logistic regression model demonstrated fair discriminative ability with an AUC of 0.682 (95% CI: 0.544–0.729). The risk-prediction nomogram showed a 24.7% risk of postoperative medical morbidity in patients with all four risk factors vs. a 5.4% risk in patients without any risk factor. Conclusion: Postoperative medical complications are significantly more frequent in patients undergoing oncological liver resection with an ASA score ≥ 3, history of cirrhosis, prolonged operative time, and increased intraoperative blood loss. Our logistic regression model and web-friendly nomogram may be used for external validation in larger cohorts and could support preoperative counselling and perioperative risk stratification. Full article
Show Figures

Figure 1

Back to TopTop