Sign in to use this feature.

Years

Between: -

Subjects

remove_circle_outline
remove_circle_outline
remove_circle_outline
remove_circle_outline

Journals

Article Types

Countries / Regions

Search Results (16)

Search Parameters:
Keywords = sheeppox virus

Order results
Result details
Results per page
Select all
Export citation of selected articles as:
18 pages, 580 KB  
Review
Which Proteins? The Challenge of Identifying the Protective Antigens for Next-Generation Capripoxvirus Vaccines
by Mahder Teffera, Hani Boshra, Timothy R. Bowden and Shawn Babiuk
Vaccines 2025, 13(3), 219; https://doi.org/10.3390/vaccines13030219 - 22 Feb 2025
Cited by 1 | Viewed by 1033
Abstract
Sheeppox, goatpox, and lumpy skin disease continue to negatively impact the sheep, goat, and cattle industries in countries where these diseases are present and threaten to spread into new regions. Effective vaccines are available for disease control and eradication. However, commercial vaccines are [...] Read more.
Sheeppox, goatpox, and lumpy skin disease continue to negatively impact the sheep, goat, and cattle industries in countries where these diseases are present and threaten to spread into new regions. Effective vaccines are available for disease control and eradication. However, commercial vaccines are based on live attenuated virus isolates and therefore it is not currently possible to differentiate between infected and vaccinated animals (DIVA), which severely limits the use of these vaccines in countries that are free from disease and at risk of an incursion. The development of next-generation vaccines, including recombinant protein, viral-vectored, and mRNA, has been limited due to the lack of understanding of the protective antigen(s) of capripoxviruses. The complexity of capripoxviruses, with up to 156 open reading frames, makes the identification of protective antigen(s) difficult. This paper identifies the most promising antigens by first considering the membrane-associated proteins and then further selecting proteins based on immunogenicity and their role in immunity by comparing them to known orthopoxvirus homologues. From the 156 potential antigens, 13 have been identified as being the most likely to be protective. Further evaluation of these proteins, as immunogens, would be required to identify the optimal combination of immunodominant antigen(s) for the development of next-generation capripoxvirus vaccines. Full article
Show Figures

Figure 1

17 pages, 2679 KB  
Article
Enhanced Recovery and Detection of Highly Infectious Animal Disease Viruses by Virus Capture Using Nanotrap® Microbiome A Particles
by Amaresh Das, Joseph Gutkoska, Yadata Tadassa and Wei Jia
Viruses 2024, 16(11), 1657; https://doi.org/10.3390/v16111657 - 23 Oct 2024
Cited by 1 | Viewed by 1627
Abstract
This study reports the use of Nanotrap® Microbiome A Particles (NMAPs) to capture and concentrate viruses from diluted suspensions to improve their recovery and sensitivity to detection by real-time PCR/RT-PCR (qPCR/RT-qPCR). Five highly infectious animal disease viruses including goatpox virus (GTPV), sheeppox [...] Read more.
This study reports the use of Nanotrap® Microbiome A Particles (NMAPs) to capture and concentrate viruses from diluted suspensions to improve their recovery and sensitivity to detection by real-time PCR/RT-PCR (qPCR/RT-qPCR). Five highly infectious animal disease viruses including goatpox virus (GTPV), sheeppox virus (SPPV), lumpy skin disease virus (LSDV), peste des petits ruminants virus (PPRV), and African swine fever virus (ASFV) were used in this study. After capture, the viruses remained viable and recoverable by virus isolation (VI) using susceptible cell lines. To assess efficacy of recovery, the viruses were serially diluted in phosphate-buffered saline (PBS) or Eagle’s Minimum Essential Medium (EMEM) and then subjected to virus capture using NMAPs. The NMAPs and the captured viruses were clarified on a magnetic stand, reconstituted in PBS or EMEM, and analyzed separately by VI and virus-specific qPCR/RT-qPCR. The PCR results showed up to a 100-fold increase in the sensitivity of detection of the viruses following virus capture compared to the untreated viruses from the same dilutions. Experimental and clinical samples were subjected to virus capture using NMAPs and analyzed by PCR to determine diagnostic sensitivity (DSe) that was comparable (100%) to that determined using untreated (-NMAPs) samples. NMAPs were also used to capture spiked viruses from EDTA whole blood (EWB). Virus capture from EWB was partially blocked, most likely by hemoglobin (HMB), which also binds NMAPs and outcompetes the viruses. The effect of HMB could be removed by either dilution (in PBS) or using HemogloBind™ (Biotech Support Group; Monmouth Junction, NJ, USA), which specifically binds and precipitates HMB. Enhanced recovery and detection of viruses using NMAPs can be applicable to other highly pathogenic animal viruses of agricultural importance. Full article
(This article belongs to the Section Animal Viruses)
Show Figures

Figure 1

12 pages, 1773 KB  
Article
The Development of a Multivalent Capripoxvirus-Vectored Vaccine Candidate to Protect against Sheeppox, Goatpox, Peste des Petits Ruminants, and Rift Valley Fever
by Hani Boshra, Graham A. D. Blyth, Thang Truong, Andrea Kroeker, Pravesh Kara, Arshad Mather, David Wallace and Shawn Babiuk
Vaccines 2024, 12(7), 805; https://doi.org/10.3390/vaccines12070805 - 20 Jul 2024
Viewed by 4373
Abstract
Capripoxviruses are the causative agents of sheeppox, goatpox, and lumpy skin disease (LSD) in cattle, which cause economic losses to the livestock industry in Africa and Asia. Capripoxviruses are currently controlled using several live attenuated vaccines. It was previously demonstrated that a lumpy [...] Read more.
Capripoxviruses are the causative agents of sheeppox, goatpox, and lumpy skin disease (LSD) in cattle, which cause economic losses to the livestock industry in Africa and Asia. Capripoxviruses are currently controlled using several live attenuated vaccines. It was previously demonstrated that a lumpy skin disease virus (LSDV) field isolate from Warmbaths (WB) South Africa, ORF 005 (IL-10) gene-deleted virus (LSDV WB005KO), was able to protect sheep and goats against sheeppox and goatpox. Subsequently, genes encoding the protective antigens for peste des petits ruminants (PPR) and Rift Valley fever (RVF) viruses have been inserted in the LSDV WB005KO construct in three different antigen forms (native, secreted, and fusion). These three multivalent vaccine candidates were evaluated for protection against PPR using a single immunization of 104 TCID50 in sheep. The vaccine candidates with the native and secreted antigens protected sheep against PPR clinical disease and decreased viral shedding, as detected using real-time RT-PCR in oral and nasal swabs. An anamnestic antibody response, measured using PPR virus-neutralizing antibody response production, was observed in sheep following infection. The vaccine candidates with the antigens expressed in their native form were evaluated for protection against RVF using a single immunization with doses of 104 or 105 TCID50 in sheep and goats. Following RVF virus infection, sheep and goats were protected against clinical disease and no viremia was detected in serum compared to control animals, where viremia was detected one day following infection. Sheep and goats developed RVFV-neutralizing antibodies prior to infection, and the antibody responses increased following infection. These results demonstrate that an LSD virus-vectored vaccine candidate can be used in sheep and goats to protect against multiple viral infections. Full article
(This article belongs to the Special Issue Animal Virus Infection, Immunity and Vaccines)
Show Figures

Figure 1

8 pages, 1209 KB  
Communication
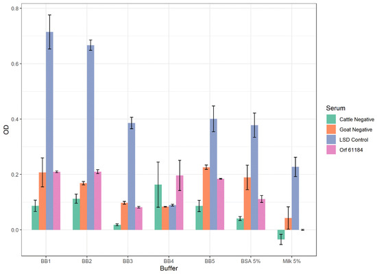
Different Neutralizing Antibody Responses of Heterologous Sera on Sheeppox and Lumpy Skin Disease Viruses
by Francisco J. Berguido, Richard Thiga Kangethe, Wendy Shell, Viskam Wijewardana, Reingard Grabherr, Giovanni Cattoli and Charles Euloge Lamien
Viruses 2024, 16(7), 1127; https://doi.org/10.3390/v16071127 - 14 Jul 2024
Cited by 1 | Viewed by 1596
Abstract
Sheeppox virus (SPPV), goatpox virus (GTPV), and lumpy skin disease virus (LSDV) are the three members of the genus Capripoxvirus within the Poxviridae family and are the etiologic agents of sheeppox (SPP), goatpox (GTP), and lumpy skin disease (LSD), respectively. LSD, GTP, and [...] Read more.
Sheeppox virus (SPPV), goatpox virus (GTPV), and lumpy skin disease virus (LSDV) are the three members of the genus Capripoxvirus within the Poxviridae family and are the etiologic agents of sheeppox (SPP), goatpox (GTP), and lumpy skin disease (LSD), respectively. LSD, GTP, and SPP are endemic in Africa and Asia, causing severe disease outbreaks with significant economic losses in livestock. Incursions of SPP and LSD have occurred in Europe. Vaccination with live attenuated homologous and heterologous viruses are routinely implemented to control these diseases. Using the gold standard virus neutralization test, we studied the ability of homologous and heterologous sera to neutralize the SPPV and LSDV. We found that LSD and SPP sera effectively neutralize their homologous viruses, and GTP sera can neutralize SPPV. However, while LSD sera effectively neutralizes SPPV, SPP and GTP sera cannot neutralize the LSDV to the same extent. We discuss the implications of these observations in disease assay methodology and heterologous vaccine efficacy. Full article
(This article belongs to the Section Viral Immunology, Vaccines, and Antivirals)
Show Figures

Figure 1

14 pages, 5791 KB  
Article
Epidemiological, Pathological, and Molecular Studies on Sheeppox Disease Outbreaks in Karnataka, India
by Gundallahalli Bayyappa Manjunatha Reddy, Varun Kumar Krishnappa, Chandan Dypasandra Siddalingaiah, Suguna Rao, Shivasharanappa Nayakvadi, Chethan Kumar Harlipura Basavarajappa and Baldev Raj Gualti
Microorganisms 2024, 12(7), 1373; https://doi.org/10.3390/microorganisms12071373 - 4 Jul 2024
Cited by 4 | Viewed by 3451
Abstract
An epidemiological study spanning twelve years has revealed that sheeppox disease is both widespread and endemic, predominantly surging during the winter and summer seasons. This investigation focused on sheeppox across 11 field outbreaks, involving 889 animals from non-migratory flocks across six districts in [...] Read more.
An epidemiological study spanning twelve years has revealed that sheeppox disease is both widespread and endemic, predominantly surging during the winter and summer seasons. This investigation focused on sheeppox across 11 field outbreaks, involving 889 animals from non-migratory flocks across six districts in Karnataka, in the southern peninsula of India. Among these, 105 animals exhibited clinical signs suggestive of sheeppox, such as lesions on the body, and 95 cases were confirmed through PCR testing. The overall positivity rate for sheeppox stood at 10.68% (95 out of 889 animals). The incidence of sheeppox was notably higher in animals aged between 1 and 2 years and was more prevalent in females. Affected animals displayed symptoms including respiratory distress, weakness, fever, loss of appetite, depression, and various skin lesions ranging from papular to pock lesions across their bodies. There was a significant increase in total leukocyte count, while hemoglobin levels, red blood cell counts, and hematocrit values significantly decreased. On gross examination, sheeppox lesions, varying from vesicular to nodular forms, were predominantly found on hairless areas of the body. Microscopic examination of skin lesions revealed extensive changes, such as hyperkeratosis, parakeratosis, acanthosis, hydropic degeneration, and necrosis of epithelial cells, along with characteristic intracytoplasmic viral inclusions. The lungs exhibited type-II pneumocyte hyperplasia and proliferative bronchiolitis, also with intracytoplasmic inclusions. Confirmation of the sheeppox virus was achieved through PCR and subsequent sequence analysis. Phylogenetic analysis of the full-length P32 and RPO30 gene demonstrated homology with sheeppox isolates from various parts of India and neighboring countries, indicating that Indian sheeppox viruses are highly lineage-specific and correlate with the host of origin. Based on these findings, it is recommended to implement a homologous vaccination strategy, utilizing selective host/viral strains to enhance protection in susceptible animals. Full article
(This article belongs to the Special Issue Emerging Infectious Diseases in Humans and Animals)
Show Figures

Figure 1

16 pages, 6820 KB  
Article
Harnessing Attenuation-Related Mutations of Viral Genomes: Development of a Serological Assay to Differentiate between Capripoxvirus-Infected and -Vaccinated Animals
by Francisco J. Berguido, Tesfaye Rufael Chibssa, Angelika Loitsch, Yang Liu, Kiril Krstevski, Igor Djadjovski, Eeva Tuppurainen, Tamaš Petrović, Dejan Vidanović, Philippe Caufour, Tirumala Bharani K. Settypalli, Clemens Grünwald-Gruber, Reingard Grabherr, Adama Diallo, Giovanni Cattoli and Charles Euloge Lamien
Viruses 2023, 15(12), 2318; https://doi.org/10.3390/v15122318 - 25 Nov 2023
Cited by 1 | Viewed by 2507
Abstract
Sheeppox, goatpox, and lumpy skin disease caused by the sheeppox virus (SPPV), goatpox virus (GTPV), and lumpy skin disease virus (LSDV), respectively, are diseases that affect millions of ruminants and many low-income households in endemic countries, leading to great economic losses for the [...] Read more.
Sheeppox, goatpox, and lumpy skin disease caused by the sheeppox virus (SPPV), goatpox virus (GTPV), and lumpy skin disease virus (LSDV), respectively, are diseases that affect millions of ruminants and many low-income households in endemic countries, leading to great economic losses for the ruminant industry. The three viruses are members of the Capripoxvirus genus of the Poxviridae family. Live attenuated vaccines remain the only efficient means for controlling capripox diseases. However, serological tools have not been available to differentiate infected from vaccinated animals (DIVA), though crucial for proper disease surveillance, control, and eradication efforts. We analysed the sequences of variola virus B22R homologue gene for SPPV, GTPV, and LSDV and observed significant differences between field and vaccine strains in all three capripoxvirus species, resulting in the truncation and absence of the B22R protein in major vaccines within each of the viral species. We selected and expressed a protein fragment present in wildtype viruses but absent in selected vaccine strains of all three species, taking advantage of these alterations in the B22R gene. An indirect ELISA (iELISA) developed using this protein fragment was evaluated on well-characterized sera from vaccinated, naturally and experimentally infected, and negative cattle and sheep. The developed wildtype-specific capripox DIVA iELISA showed >99% sensitivity and specificity for serum collected from animals infected with the wildtype virus. To the best of our knowledge, this is the first wildtype-specific, DIVA-capable iELISA for poxvirus diseases exploiting changes in nucleotide sequence alterations in vaccine strains. Full article
(This article belongs to the Special Issue Capripox Viruses: A Continuing Transboundary Threat to Animal Health)
Show Figures

Figure 1

17 pages, 5000 KB  
Article
In Silico Analysis of Honey Bee Peptides as Potential Inhibitors of Capripoxvirus DNA-Directed RNA Polymerase
by Ghulam Mustafa, Hafiza Salaha Mahrosh, Mahwish Salman, Muhammad Ali, Rawaba Arif, Sibtain Ahmed and Hossam Ebaid
Animals 2023, 13(14), 2281; https://doi.org/10.3390/ani13142281 - 12 Jul 2023
Cited by 5 | Viewed by 2824
Abstract
The genus Capripoxvirus belongs to the Poxviridae family. The sheeppox, goatpox, and lumpy skin disease viruses are three species of this genus with 96% identity in their genomes. These are financially devastating viral infections among cattle, which cause a reduction in animal products [...] Read more.
The genus Capripoxvirus belongs to the Poxviridae family. The sheeppox, goatpox, and lumpy skin disease viruses are three species of this genus with 96% identity in their genomes. These are financially devastating viral infections among cattle, which cause a reduction in animal products and lead to a loss in livestock industries. In the current study, the phylogenetic analysis was carried out to reveal the evolutionary relationships of Capripoxvirus species (i.e., sheeppox virus (SPPV), goatpox virus (GTPV), and lumpy skin disease virus (LSDV)) with other viruses from the Poxviridae family with >96% query coverage to find the similarity index among all members. The three viruses (i.e., SPPV, GTPV, and LSDV) joined the clade of Capripoxvirus of the Poxviridae family in the phylogenetic tree and exhibited close evolutionary relationships. The multiple sequence alignment using ClustalOmega revealed significant variations in the protein sequences of the DNA-dependent RNA polymerase of SPPV, GTPV, and LSDV. The three-dimensional structures of five selected bee peptides and DNA-directed RNA polymerase of SPPV, GTPV, and LSDV were predicted using trRosetta and I-TASSER and used for molecular docking and simulation studies. The protein–protein docking was carried out using HADDOCK server to explore the antiviral activity of peptides as honey bee proteins against SPPV, GTPV, and LSDV. In total, five peptides were docked to DNA-directed RNA polymerase of these viruses. The peptides mellitin and secapin-1 displayed the lowest binding scores (−106.9 +/− 7.2 kcal/mol and −101.4 +/− 11.3 kcal/mol, respectively) and the best patterns with stable complexes. The molecular dynamics simulation indicated that the complex of protein DNA-dependent RNA polymerase and the peptide melittin stayed firmly connected and the peptide binding to the receptor protein was stable. The findings of this study provide the evidence of bee peptides as potent antimicrobial agents against sheeppox, goatpox, and lumpy skin disease viruses with no complexity. Full article
Show Figures

Figure 1

15 pages, 1753 KB  
Article
Cross-Protection of an Inactivated and a Live-Attenuated Lumpy Skin Disease Virus Vaccine against Sheeppox Virus Infections in Sheep
by Janika Wolff, Martin Beer and Bernd Hoffmann
Vaccines 2023, 11(4), 763; https://doi.org/10.3390/vaccines11040763 - 29 Mar 2023
Cited by 7 | Viewed by 3228
Abstract
Sheeppox virus (SPPV) (genus Capripoxvirus, family Poxviridae) infections are a highly virulent and contagious disease of sheep with a high morbidity and mortality, especially in naïve populations and young animals. For the control of SPPV, homologous and heterologous live-attenuated vaccines are commercially available. [...] Read more.
Sheeppox virus (SPPV) (genus Capripoxvirus, family Poxviridae) infections are a highly virulent and contagious disease of sheep with a high morbidity and mortality, especially in naïve populations and young animals. For the control of SPPV, homologous and heterologous live-attenuated vaccines are commercially available. In our study, we compared a commercially available live-attenuated lumpy skin disease virus (LSDV) vaccine strain (Lumpyvax) with our recently developed inactivated LSDV vaccine candidate regarding their protective efficacy against SPPV in sheep. Both vaccines were proven to be safe in sheep, and neither clinical signs nor viremia could be detected after vaccination and challenge infection. However, the local replication of the challenge virus in the nasal mucosa of previously vaccinated animals was observed. Because of the advantages of an inactivated vaccine and its heterologous protection efficacy against SPPV in sheep, our inactivated LSDV vaccine candidate is a promising additional tool for the prevention and control of SPPV outbreaks in the future. Full article
(This article belongs to the Special Issue Veterinary Vaccines)
Show Figures

Figure 1

16 pages, 1403 KB  
Article
Development and Optimization of Indirect ELISAs for the Detection of Anti-Capripoxvirus Antibodies in Cattle, Sheep, and Goat Sera
by Francisco J. Berguido, Esayas Gelaye, Yang Liu, Batdorj Davaasuren, Kiril Krstevski, Igor Djadjovski, Emiliya Ivanova, Gabriela Goujgoulova, Angelika Loitsch, Eeva Tuppurainen, Tesfaye Rufael Chibssa, Philippe Caufour, Milena Samojlović, Sava Lazić, Tamaš Petrović, Dejan Vidanović, Stéphane Bertagnoli, Reingard Grabherr, Adama Diallo, Giovanni Cattoli and Charles Euloge Lamienadd Show full author list remove Hide full author list
Microorganisms 2022, 10(10), 1956; https://doi.org/10.3390/microorganisms10101956 - 30 Sep 2022
Cited by 15 | Viewed by 3281
Abstract
Sheeppox (SPP), goatpox (GTP), and lumpy skin disease (LSD) are economically significant pox diseases of ruminants, caused by sheeppox virus (SPPV), goatpox virus (GTPV), and lumpy skin disease virus (LSDV), respectively. SPPV and GTPV can infect both sheep and goats, while LSDV mainly [...] Read more.
Sheeppox (SPP), goatpox (GTP), and lumpy skin disease (LSD) are economically significant pox diseases of ruminants, caused by sheeppox virus (SPPV), goatpox virus (GTPV), and lumpy skin disease virus (LSDV), respectively. SPPV and GTPV can infect both sheep and goats, while LSDV mainly affects cattle. The recent emergence of LSD in Asia and Europe and the repeated incursions of SPP in Greece, Bulgaria, and Russia highlight how these diseases can spread outside their endemic regions, stressing the urgent need to develop high-throughput serological surveillance tools. We expressed and tested two recombinant truncated proteins, the capripoxvirus homologs of the vaccinia virus C-type lectin-like protein A34 and the EEV glycoprotein A36, as antigens for an indirect ELISA (iELISA) to detect anti-capripoxvirus antibodies. Since A34 outperformed A36 by showing no cross-reactivity to anti-parapoxvirus antibodies, we optimized an A34 iELISA using two different working conditions, one for LSD in cattle and one for SPP/GTP in sheep and goats. Both displayed sound sensitivities and specificities: 98.81% and 98.72%, respectively, for the LSD iELISA, and 97.68% and 95.35%, respectively, for the SPP/GTP iELISA, and did not cross-react with anti-parapoxvirus antibodies of cattle, sheep, and goats. These assays could facilitate the implementation of capripox control programs through serosurveillance and the screening of animals for trade. Full article
(This article belongs to the Section Virology)
Show Figures

Figure 1

13 pages, 17144 KB  
Article
Characterization of a Nigerian Lumpy Skin Disease Virus Isolate after Experimental Infection of Cattle
by Janika Wolff, Eeva Tuppurainen, Adeyinka Adedeji, Clement Meseko, Olayinka Asala, Jolly Adole, Rebecca Atai, Banenat Dogonyaro, Anja Globig, Donata Hoffmann, Martin Beer and Bernd Hoffmann
Pathogens 2022, 11(1), 16; https://doi.org/10.3390/pathogens11010016 - 23 Dec 2021
Cited by 25 | Viewed by 4119
Abstract
Lumpy skin disease virus (LSDV), together with sheeppox virus and goatpox virus, belong to the genus Capripoxvirus within the family Poxviridae. Collectively, they are considered the most serious poxvirus diseases of agricultural livestock. Due to their severe clinical course and consequent loss [...] Read more.
Lumpy skin disease virus (LSDV), together with sheeppox virus and goatpox virus, belong to the genus Capripoxvirus within the family Poxviridae. Collectively, they are considered the most serious poxvirus diseases of agricultural livestock. Due to their severe clinical course and consequent loss of production, as well as high mortality of naïve small and large ruminant populations, they are known to have a significant impact on the economy and global trade restrictions of affected countries. Therefore, all capripox diseases are classified as notifiable under the guidelines of the World Organization of Animal Health (OIE). Since the 1970s, several outbreaks of LSD have been recorded in Nigeria. Until now, only a little information on the virus strains leading to the reported outbreaks have been published, dealing mainly with the phylogenetic relationship of those strains and the description of field outbreaks. During the present study, we experimentally infected cattle with a low-passage Nigerian LSDV strain isolated from a skin sample of LSD positive cattle in Nigeria in 2018. Clinical, molecular and serological data indicate that this LSDV isolate is highly pathogenic in cattle since it induced a severe clinical course and approximately 33% mortality in naïve Holstein Friesian cattle after experimental infection. Full article
(This article belongs to the Special Issue Molecular Research of Emerging Viral Pathogens in Humans and Animals)
Show Figures

Figure 1

9 pages, 1236 KB  
Communication
Use of an Alignment-Free Method for the Geographical Discrimination of GTPVs Based on the GPCR Sequences
by Tesfaye Rufael Chibssa, Yang Liu, Melaku Sombo, Jacqueline Kasiiti Lichoti, Janchivdorj Erdenebaatar, Bazartseren Boldbaatar, Reingard Grabherr, Tirumala Bharani K. Settypalli, Francisco J. Berguido, Angelika Loitsch, Delesa Damena, Giovanni Cattoli, Adama Diallo and Charles Euloge Lamien
Microorganisms 2021, 9(4), 855; https://doi.org/10.3390/microorganisms9040855 - 16 Apr 2021
Cited by 1 | Viewed by 2521
Abstract
Goatpox virus (GTPV) belongs to the genus Capripoxvirus, together with sheeppox virus (SPPV) and lumpy skin disease virus (LSDV). GTPV primarily affects sheep, goats and some wild ruminants. Although GTPV is only present in Africa and Asia, the recent spread of LSDV in [...] Read more.
Goatpox virus (GTPV) belongs to the genus Capripoxvirus, together with sheeppox virus (SPPV) and lumpy skin disease virus (LSDV). GTPV primarily affects sheep, goats and some wild ruminants. Although GTPV is only present in Africa and Asia, the recent spread of LSDV in Europe and Asia shows capripoxviruses could escape their traditional geographical regions to cause severe outbreaks in new areas. Therefore, it is crucial to develop effective source tracing of capripoxvirus infections. Earlier, conventional phylogenetic methods, based on limited samples, identified three different nucleotide sequence profiles in the G-protein-coupled chemokine receptor (GPCR) gene of GTPVs. However, this method did not differentiate GTPV strains by their geographical origins. We have sequenced the GPCR gene of additional GTPVs and analyzed them with publicly available sequences, using conventional alignment-based methods and an alignment-free approach exploiting k-mer frequencies. Using the alignment-free method, we can now classify GTPVs based on their geographical origin: African GTPVs and Asian GTPVs, which further split into Western and Central Asian (WCA) GTPVs and Eastern and Southern Asian (ESA) GTPVs. This approach will help determine the source of introduction in GTPV emergence in disease-free regions and detect the importation of additional strains in disease-endemic areas. Full article
Show Figures

Figure 1

14 pages, 751 KB  
Article
Probe-Based Real-Time qPCR Assays for a Reliable Differentiation of Capripox Virus Species
by Janika Wolff, Martin Beer and Bernd Hoffmann
Microorganisms 2021, 9(4), 765; https://doi.org/10.3390/microorganisms9040765 - 6 Apr 2021
Cited by 13 | Viewed by 3748
Abstract
Outbreaks of the three capripox virus species, namely lumpy skin disease virus, sheeppox virus, and goatpox virus, severely affect animal health and both national and international economies. Therefore, the World Organization for Animal Health (OIE) classified them as notifiable diseases. Until now, discrimination [...] Read more.
Outbreaks of the three capripox virus species, namely lumpy skin disease virus, sheeppox virus, and goatpox virus, severely affect animal health and both national and international economies. Therefore, the World Organization for Animal Health (OIE) classified them as notifiable diseases. Until now, discrimination of capripox virus species was possible by using different conventional PCR protocols. However, more sophisticated probe-based real-time qPCR systems addressing this issue are, to our knowledge, still missing. In the present study, we developed several duplex qPCR assays consisting of different types of fluorescence-labelled probes that are highly sensitive and show a high analytical specificity. Finally, our assays were combined with already published diagnostic methods to a diagnostic workflow that enables time-saving, reliable, and robust detection, differentiation, and characterization of capripox virus isolates. Full article
Show Figures

Figure 1

11 pages, 2911 KB  
Article
Differentiation of Capripox Viruses by Nanopore Sequencing
by Kamal H. Eltom, Anna Christina Althoff, Sören Hansen, Susanne Böhlken-Fascher, Ausama Yousif, Hussein A. El-Sheikh, Ahmed A. ElWakeel, Mahmoud A. Elgamal, Hadeer M. Mossa, Emad A. Aboul-Soud, Janika Wolff, Christian Korthase, Bernd Hoffmann, Nabawia M. Adam, Sanaa A. Abdelaziz, Mohamed A. Shalaby and Ahmed Abd El Wahed
Vaccines 2021, 9(4), 351; https://doi.org/10.3390/vaccines9040351 - 6 Apr 2021
Cited by 8 | Viewed by 4654
Abstract
The genus capripoxvirus (CaPV), family Poxviridae, includes three virus species: goatpox virus (GPV), sheeppox virus (SPV) and lumpy skin disease virus (LSDV). CaPV causes disease outbreaks with consequent economic losses in Africa and the Middle East. LSDV has recently spread to Southeast [...] Read more.
The genus capripoxvirus (CaPV), family Poxviridae, includes three virus species: goatpox virus (GPV), sheeppox virus (SPV) and lumpy skin disease virus (LSDV). CaPV causes disease outbreaks with consequent economic losses in Africa and the Middle East. LSDV has recently spread to Southeast Europe. As CaPVs share 96–97% genetic similarity along the length of the entire genome and are difficult to distinguish using serological assays, simple, reliable and fast methods for diagnosis and species differentiation are crucial in cases of disease outbreak. The present study aimed to develop a field-applicable CaPV differentiation method. Nanopore technology was used for whole genome sequencing. A local database of complete CaPV genomes and partial sequences of three genes (RPO30, P32 and GPCR) was established for offline Basic Local Alignment Search Tool (BLAST). Specificities of 98.04% in whole genome and 97.86% in RPO30 gene runs were obtained among the three virus species, while other databases were less specific. The total run time was shortened to approximately 2 h. Functionality of the developed procedure was proved by samples with high host background sequences. Reliable differentiation options for the quality and capacity of hardware, and sample quality of suspected cases, were derived from these findings. The whole workflow can be performed rapidly with a mobile suitcase laboratory and mini-computer, allowing application at the point-of-need with limited resource settings. Full article
(This article belongs to the Special Issue Lumpy Skin Disease Control and Vaccines)
Show Figures

Figure 1

30 pages, 9314 KB  
Article
Development of a Safe and Highly Efficient Inactivated Vaccine Candidate against Lumpy Skin Disease Virus
by Janika Wolff, Tom Moritz, Kore Schlottau, Donata Hoffmann, Martin Beer and Bernd Hoffmann
Vaccines 2021, 9(1), 4; https://doi.org/10.3390/vaccines9010004 - 23 Dec 2020
Cited by 53 | Viewed by 9864
Abstract
Capripox virus (CaPV)-induced diseases (lumpy skin disease, sheeppox, goatpox) are described as the most serious pox diseases of livestock animals, and therefore are listed as notifiable diseases under guidelines of the World Organisation for Animal Health (OIE). Until now, only live-attenuated vaccines are [...] Read more.
Capripox virus (CaPV)-induced diseases (lumpy skin disease, sheeppox, goatpox) are described as the most serious pox diseases of livestock animals, and therefore are listed as notifiable diseases under guidelines of the World Organisation for Animal Health (OIE). Until now, only live-attenuated vaccines are commercially available for the control of CaPV. Due to numerous potential problems after vaccination (e.g., loss of the disease-free status of the respective country, the possibility of vaccine virus shedding and transmission as well as the risk of recombination with field strains during natural outbreaks), the use of these vaccines must be considered carefully and is not recommended in CaPV-free countries. Therefore, innocuous and efficacious inactivated vaccines against CaPV would provide a great tool for control of these diseases. Unfortunately, most inactivated Capripox vaccines were reported as insufficient and protection seemed to be only short-lived. Nevertheless, a few studies dealing with inactivated vaccines against CaPV are published, giving evidence for good clinical protection against CaPV-infections. In our studies, a low molecular weight copolymer-adjuvanted vaccine formulation was able to induce sterile immunity in the respective animals after severe challenge infection. Our findings strongly support the possibility of useful inactivated vaccines against CaPV-infections, and indicate a marked impact of the chosen adjuvant for the level of protection. Full article
(This article belongs to the Special Issue Lumpy Skin Disease Control and Vaccines)
Show Figures

Figure 1

20 pages, 3948 KB  
Article
Establishment of a Challenge Model for Sheeppox Virus Infection
by Janika Wolff, Sahar Abd El Rahman, Jacqueline King, Mohamed El-Beskawy, Anne Pohlmann, Martin Beer and Bernd Hoffmann
Microorganisms 2020, 8(12), 2001; https://doi.org/10.3390/microorganisms8122001 - 15 Dec 2020
Cited by 12 | Viewed by 3400
Abstract
Sheeppox virus (SPPV) together with goatpox virus and lumpy skin disease virus form the genus Capripoxvirus of the Poxviridae family. Due to their great economic importance and major impact on livelihood of small-scale farmers, OIE guidelines classify capripox viruses as notifiable diseases. In [...] Read more.
Sheeppox virus (SPPV) together with goatpox virus and lumpy skin disease virus form the genus Capripoxvirus of the Poxviridae family. Due to their great economic importance and major impact on livelihood of small-scale farmers, OIE guidelines classify capripox viruses as notifiable diseases. In the present study, we examined pathogenesis of an Indian SPPV isolate and an Egyptian SPPV isolate in sheep. Three different infection routes were tested: (i) intravenous infection, (ii) intranasal infection and (iii) contact transmission between infected and naïve sheep. Clinical course, viremia and viral shedding as well as seroconversion were analyzed in order to establish a challenge model for SPPV infections that can be used in future vaccine studies. Next to in vivo characterization, both SPPV strains underwent next- and third-generation sequencing to obtain high quality full-length genomes for genetic characterization and comparison to already published SPPV sequences. Full article
Show Figures

Figure 1

Back to TopTop