Sign in to use this feature.

Years

Between: -

Subjects

remove_circle_outline
remove_circle_outline
remove_circle_outline
remove_circle_outline
remove_circle_outline
remove_circle_outline
remove_circle_outline
remove_circle_outline
remove_circle_outline

Journals

remove_circle_outline
remove_circle_outline
remove_circle_outline
remove_circle_outline
remove_circle_outline
remove_circle_outline
remove_circle_outline
remove_circle_outline
remove_circle_outline
remove_circle_outline
remove_circle_outline
remove_circle_outline
remove_circle_outline
remove_circle_outline
remove_circle_outline
remove_circle_outline
remove_circle_outline
remove_circle_outline
remove_circle_outline

Article Types

Countries / Regions

remove_circle_outline
remove_circle_outline
remove_circle_outline
remove_circle_outline
remove_circle_outline

Search Results (1,181)

Search Parameters:
Keywords = sequential 3D

Order results
Result details
Results per page
Select all
Export citation of selected articles as:
21 pages, 2248 KB  
Article
Influence of Dominant Phytoplankton Species on Disinfection By-Product Formation During Active-Substance Ballast Water Treatment: Skeletonema costatum vs. Akashiwo sanguinea
by Hyung-Gon Cha, Bonggil Hyun, Jin-Young Seo, Min-Chul Jang, Woo-Jin Lee, Kyoungsoon Shin and Pung-Guk Jang
J. Mar. Sci. Eng. 2026, 14(4), 372; https://doi.org/10.3390/jmse14040372 (registering DOI) - 15 Feb 2026
Abstract
Active substance-based Ballast Water Management Systems (BWMS) can generate disinfection by-products (DBPs) by reacting with dissolved organic matter (DOM). However, current IMO G9-based assessments often overlook qualitative DOM variations. This study investigated DBP formation following NaDCC treatment in natural seawater dominated by the [...] Read more.
Active substance-based Ballast Water Management Systems (BWMS) can generate disinfection by-products (DBPs) by reacting with dissolved organic matter (DOM). However, current IMO G9-based assessments often overlook qualitative DOM variations. This study investigated DBP formation following NaDCC treatment in natural seawater dominated by the diatom Skeletonema costatum and the dinoflagellate Akashiwo sanguinea. Laboratory-cultured DOM was also analyzed using ATR-FT-IR, PCA, and 2D-COS to evaluate structural differences. In field experiments, S. costatum treatment primarily produced brominated trihalomethanes (THMs) and specific haloacetic acids (HAAs) with a limited composition. Conversely, A. sanguinea treatment yielded a diverse range of DBPs, including nitrogenous DBPs (HANs). FT-IR results, supported by 2D-COS, revealed that A. sanguinea-derived DOM underwent non-monotonic structural changes and distinct sequential functional group reactions, suggesting multiple, time-delayed precursor interactions. These findings demonstrate that phytoplankton species-specific DOM composition significantly dictates DBP profiles and temporal dynamics. Therefore, environmental risk assessments for BWMS must incorporate the qualitative characteristics of biogenic DOM and dominant species traits, particularly during coastal bloom events, to ensure more accurate management strategies. Full article
(This article belongs to the Section Marine Environmental Science)
Show Figures

Figure 1

29 pages, 2458 KB  
Article
Finite Element Analysis and Optimization of Automotive Disk Brakes Using ANSYS
by Yingshuai Liu, Shufang Wang, Shuo Shi and Jianwei Tan
Symmetry 2026, 18(2), 349; https://doi.org/10.3390/sym18020349 - 13 Feb 2026
Viewed by 15
Abstract
The safety of vehicle operation is largely influenced by the performance of the brakes. The quality of automotive brake performance directly affects the lives of drivers and passengers. This paper conducts an in-depth study based on the structural characteristics of disk brakes for [...] Read more.
The safety of vehicle operation is largely influenced by the performance of the brakes. The quality of automotive brake performance directly affects the lives of drivers and passengers. This paper conducts an in-depth study based on the structural characteristics of disk brakes for a specific model of sedan, analyzing the roles of key components in the brake system. Then, using simulation techniques such as finite element analysis and topology optimization, it provides strong support for optimizing the design process. First, the symmetrical structure of the disk brake is analyzed, and 3D modeling is performed in SolidWorks 2025. Next, static simulation analysis is conducted using ANSYS R1, with results showing that the maximum total deformation of the brake is 0.038 mm (not strain), and the maximum stress is 155.78 MPa, which meets the requirements for emergency braking. On this basis, modal analysis is further conducted to clarify the natural frequencies and vibration patterns of each mode, comparing the differences in vibration modes across different orders. Through computational verification, the brake does not experience resonance, effectively improving the stability of each mode and the comfort of driving and riding. Finally, the variable-density method enabled 10.49% weight reduction while maintaining resonance safety, validating the proposed ‘static–modal–topology’ workflow for brake lightweighting. Unlike previous FEA studies that merely verified static strength or performed isolated modal checks, this work establishes an integrated “static–modal–topology” sequential optimization workflow which explicitly couples the prestress-induced frequency shift with lightweighting constraints, thereby filling the gap in simultaneous resonance-risk-aware and mass-target-driven brake design. The proposed ‘static-modal-topological’ sequential framework achieves a 10.49% weight reduction rate, representing a 26.4% improvement over the 8.3% reduction rate of single-topological optimization methods in the literature. Notably, it controls the first-order frequency of prestressed coupling at 1885.7 Hz (exceeding the engine’s 200 Hz upper limit) for the first time, resolving the core contradiction of ’difficulty in balancing lightweighting and resonance risk’. Full article
19 pages, 3210 KB  
Article
Leucine Aminopeptidase from Xanthomonas oryzae pv. oryzae with Esterase Activity Toward Heroin: Biochemical and Catalytic Insights
by Hualing Li, Qi Hu, Nuo Xu, Xueting Shao, Yuxin Liu, Yuxin Hou, Binjie Wang, Jiye Wang, Jianzhuang Yao, Shurong Hou and Xiabin Chen
Biomolecules 2026, 16(2), 298; https://doi.org/10.3390/biom16020298 - 13 Feb 2026
Viewed by 31
Abstract
Heroin is a highly addictive drug that exerts its primary effects through activation of μ-opioid receptors. Its principal active metabolite, 6-monoacetylmorphine (6-MAM), significantly contributes to heroin’s neurological effects and acute toxicity. Current pharmacotherapies for heroin use disorder, employing opioid receptor agonist or antagonist, [...] Read more.
Heroin is a highly addictive drug that exerts its primary effects through activation of μ-opioid receptors. Its principal active metabolite, 6-monoacetylmorphine (6-MAM), significantly contributes to heroin’s neurological effects and acute toxicity. Current pharmacotherapies for heroin use disorder, employing opioid receptor agonist or antagonist, are often limited by risks of dependence, tolerance, and/or adverse side effects. In this context, enzyme-based therapy emerges as a promising alternative by rapidly converting drugs into inactive or less harmful metabolites in the blood. As a macromolecule, the enzyme does not cross the blood–brain barrier, thereby avoiding side effects in CNS. Through structure-based computational screening, Xoo-PepA (PDB ID: 3JRU), a leucine aminopeptidase from Xanthomonas oryzae pv. oryzae, was identified as a potential enzyme capable of hydrolyzing heroin and 6-MAM. Computational and experimental analyses confirm that Xoo-PepA hydrolyzes heroin sequentially to 6-MAM and subsequently to morphine. Enzymatic properties including dependence on metal ions, optimal pH, thermal stability, and substrate specificity were characterized accordingly. Notably, supplementation with Ni2+ or Zn2+ and TCEP extended Xoo-PepA’s half-life at 37 °C from 1 h to over 24 h, highlighting the essential role of metal ions in maintaining structural stability. Moreover, Ni2+ enhanced Xoo-PepA’s hydrolysis toward peptidase substrate L-leucine-p-nitroaniline by 770-fold, yet conferred no significant activation toward heroin. Mutations in metal ion-coordination residues (e.g., K262A, D267A/E346L) exhibited different activity profiles toward these two types of substrates, suggesting a distinct regulatory mechanism of metal ions may be involved in these activities. This study provides the first demonstration that Xoo-PepA, a non-mammalian, metal-dependent aminopeptidase, can hydrolyze heroin and 6-MAM, shedding light on its functional versatility and biochemical characteristics. Full article
(This article belongs to the Section Enzymology)
31 pages, 4557 KB  
Article
FTIR–Fluorescence Two-Dimensional Correlation Spectroscopy of Soil Water-Extractable Particle Fractions by Sequential Membrane Filtration
by Dmitry S. Volkov, Olga B. Rogova, Svetlana T. Ovseyenko and Mikhail A. Proskurnin
Soil Syst. 2026, 10(2), 31; https://doi.org/10.3390/soilsystems10020031 - 13 Feb 2026
Viewed by 48
Abstract
The distribution of water-soluble organic matter (or dissolved organic matter DOM) in narrow (nano-and micrometer) fractions of chernozem was studied by sequential filtration on track-etched membranes. Multimodal (IR and fluorescence) two-dimensional correlation (2D-COS) spectroscopy was used. Protocols for attenuated total reflectance (ATR) FTIR [...] Read more.
The distribution of water-soluble organic matter (or dissolved organic matter DOM) in narrow (nano-and micrometer) fractions of chernozem was studied by sequential filtration on track-etched membranes. Multimodal (IR and fluorescence) two-dimensional correlation (2D-COS) spectroscopy was used. Protocols for attenuated total reflectance (ATR) FTIR of DOM were proposed. ATR-FTIR 2D-COS provides a larger volume of information on characteristic bands compared to traditional FTIR, especially in C–H ranges (3000–2800 and 1450–1300 cm−1). The fluorescence excitation–emission matrix 2D-COS showed that the indexes and ratios of humic- to protein-like compounds are reproducible, and exhibit significant variation among size fractions, with maximum amounts of saturated humic-like compounds in the largest (2–10 μm) and finest fractions (0.01–0.03 μm), while medium fractions (0.05–1 μm) are dominated by fulvic acids and fresh organic matter. Heterospectral fluorescence–IR 2D-COS enhanced the accuracy of identification and assessment of DOM group composition and showed that C–H IR band intensities correlate with tyrosine-like EEM bands and biogenic fluorescence indexes, while carboxylic components have humate-like bands and humification fluorescence indexes. Element profiles in DOM fractions correlate with fluorescence indexes; humification indexes with P, S, Cr, Mg, Ca, Cu, and Zn; biogenic with Mg, P, Cr, Cd, K, S, and Ca. Full article
Show Figures

Figure 1

20 pages, 6322 KB  
Article
Automated Procedure for Centre Localization, Noise Removal, and Background Suppression in Two-Dimensional X-Ray Diffraction Patterns
by Massimo Ladisa
Appl. Sci. 2026, 16(4), 1776; https://doi.org/10.3390/app16041776 - 11 Feb 2026
Viewed by 107
Abstract
In this paper, we present a comprehensive and automated methodology for processing two-dimensional X-ray diffraction (2D-XRD) patterns. The proposed workflow involves three sequential stages: (i) precise localization of the diffraction center, (ii) removal of high-frequency noise, and (iii) suppression of non-physical background signals. [...] Read more.
In this paper, we present a comprehensive and automated methodology for processing two-dimensional X-ray diffraction (2D-XRD) patterns. The proposed workflow involves three sequential stages: (i) precise localization of the diffraction center, (ii) removal of high-frequency noise, and (iii) suppression of non-physical background signals. This method enables improved data quality for subsequent quantitative analysis such as radial integration, phase identification, and structural refinement. Application to experimental datasets from both the Synchrotron Radiation Facility and a table-top X-ray diffractometer demonstrates the method’s robustness, accuracy, and computational efficiency. Full article
(This article belongs to the Special Issue Advances in Computer Vision and Digital Image Processing)
Show Figures

Figure 1

20 pages, 3193 KB  
Article
A Geological Modeling Workflow for Shale Reservoirs: A Case Study of the F2 Member in the Qintong Sag
by Maozhou Han, Siyu Yu, Shaohua Li, Changsheng Lu, Chijun Huang, Kailong Wei and Shengze Li
Appl. Sci. 2026, 16(4), 1759; https://doi.org/10.3390/app16041759 - 10 Feb 2026
Viewed by 153
Abstract
Shale reservoirs provide critical storage space for unconventional oil and gas, yet their frequent vertical facies alternations and complex spatial architectures make it difficult for conventional two-point geostatistical methods to reproduce thin interbedding and reservoir-scale continuity. Multiple-point geostatistics can incorporate structural information through [...] Read more.
Shale reservoirs provide critical storage space for unconventional oil and gas, yet their frequent vertical facies alternations and complex spatial architectures make it difficult for conventional two-point geostatistical methods to reproduce thin interbedding and reservoir-scale continuity. Multiple-point geostatistics can incorporate structural information through training images (TIs), but practical 3D shale modeling is often hindered by the limited availability of representative 3D TIs. Using the F2 Member in the Qintong Sag, Subei Basin, eastern China, as a case study, we propose a hierarchical 2D-to-3D geological modeling workflow that combines mixed-point geostatistical simulation (MIXSIM) for generating vertical 2D facies sections and a sequential 2D simulation strategy with conditioning data (s2Dcd) for propagating section-based patterns into 3D space under hard well constraints. In the workflow, vertical sections serve as TI carriers to explicitly capture bedding-scale alternations, while well data are imposed as hard conditioning information during 3D simulation. Quantitative evaluation is performed in terms of (i) conditioning-data consistency, (ii) vertical facies-transition statistics quantified by transition counts and Markov transition probability matrices, (iii) global facies proportions summarized as the mean of 10 realizations, and (iv) connectivity characterized by connected geobody analysis. The realizations honor the conditioning data exactly, reproduce vertical transition behavior with a transition-matrix discrepancy of DMAE=0.0396, and maintain global facies proportions close to well-based estimates with a maximum deviation of 2.36%. These results demonstrate that the proposed MIXSIM–s2Dcd workflow provides a practical solution for well-data-driven, high-resolution 3D shale facies modeling when 3D training images are unavailable. Full article
(This article belongs to the Section Earth Sciences)
Show Figures

Figure 1

33 pages, 745 KB  
Article
XAI-Driven Malware Detection from Memory Artifacts: An Alert-Driven AI Framework with TabNet and Ensemble Classification
by Aristeidis Mystakidis, Grigorios Kalogiannnis, Nikolaos Vakakis, Nikolaos Altanis, Konstantina Milousi, Iason Somarakis, Gabriela Mihalachi, Mariana S. Mazi, Dimitris Sotos, Antonis Voulgaridis, Christos Tjortjis, Konstantinos Votis and Dimitrios Tzovaras
AI 2026, 7(2), 66; https://doi.org/10.3390/ai7020066 - 10 Feb 2026
Viewed by 248
Abstract
Modern malware presents significant challenges to traditional detection methods, often leveraging fileless techniques, in-memory execution, and process injection to evade antivirus and signature-based systems. To address these challenges, alert-driven memory forensics has emerged as a critical capability for uncovering stealthy, persistent, and zero-day [...] Read more.
Modern malware presents significant challenges to traditional detection methods, often leveraging fileless techniques, in-memory execution, and process injection to evade antivirus and signature-based systems. To address these challenges, alert-driven memory forensics has emerged as a critical capability for uncovering stealthy, persistent, and zero-day threats. This study presents a two-stage host-based malware detection framework, that integrates memory forensics, explainable machine learning, and ensemble classification, designed as a post-alert asynchronous SOC workflow balancing forensic depth and operational efficiency. Utilizing the MemMal-D2024 dataset—comprising rich memory forensic artifacts from Windows systems infected with malware samples whose creation metadata spans 2006–2021—the system performs malware detection, using features extracted from volatile memory. In the first stage, an Attentive and Interpretable Learning for structured Tabular data (TabNet) model is used for binary classification (benign vs. malware), leveraging its sequential attention mechanism and built-in explainability. In the second stage, a Voting Classifier ensemble, composed of Light Gradient Boosting Machine (LGBM), eXtreme Gradient Boosting (XGB), and Histogram Gradient Boosting (HGB) models, is used to identify the specific malware family (Trojan, Ransomware, Spyware). To reduce memory dump extraction and analysis time without compromising detection performance, only a curated subset of 24 memory features—operationally selected to reduce acquisition/extraction time and validated via redundancy inspection, model explainability (SHAP/TabNet), and training data correlation analysis —was used during training and runtime, identifying the best trade-off between memory analysis and detection accuracy. The pipeline, which is triggered from host-based Wazuh Security Information and Event Management (SIEM) alerts, achieved 99.97% accuracy in binary detection and 70.17% multiclass accuracy, resulting in an overall performance of 87.02%, including both global and local explainability, ensuring operational transparency and forensic interpretability. This approach provides an efficient and interpretable detection solution used in combination with conventional security tools as an extra layer of defense suitable for modern threat landscapes. Full article
Show Figures

Figure 1

36 pages, 8292 KB  
Article
Sustainable Cross-Platform Reconstruction and Reuse of Semantic-Vertex-Based BIM 3D Objects
by Jaeho Cho
Sustainability 2026, 18(4), 1771; https://doi.org/10.3390/su18041771 - 9 Feb 2026
Viewed by 141
Abstract
Building Information Modeling (BIM) three-dimensional (3D) objects undergo repeated conversion and reconstruction processes for cross-platform utilization, during which geometric information loss, topological distortion, and semantic omission frequently occur, leading to fundamental limitations in accurate shape reconstruction and semantic-based functional reuse. The academic objective [...] Read more.
Building Information Modeling (BIM) three-dimensional (3D) objects undergo repeated conversion and reconstruction processes for cross-platform utilization, during which geometric information loss, topological distortion, and semantic omission frequently occur, leading to fundamental limitations in accurate shape reconstruction and semantic-based functional reuse. The academic objective of this study is to overcome these limitations by proposing a three-stage sequential cross-platform reconstruction framework, consisting of semantic-vertex-based functional utilization, semantic-vertex-based invariant triangle mesh reconstruction, and semantic-vertex-based functional reuse, and to experimentally validate its effectiveness. To this end, an FBX–JSON dual-pipeline-based data management architecture is introduced to process visual geometric data and non-visual semantic metadata in parallel, thereby ensuring platform independence and data consistency. Experimental validation was conducted using IFC-based BIM objects generated in Autodesk Revit and triangle mesh models processed in Blender, at both the object and project levels. Quantitative evaluation was performed using geometric identity preservation, mesh completeness, semantic vertex restoration accuracy, and functional retention rate as the core performance indicators. The results reveal that the primary cause of mesh failure during platform transformation is face normal inconsistency, which can be stably resolved through auxiliary remeshing, thereby ensuring robust mesh reconstruction. Although the experiments were limited to round-trip transfers between Blender and Unity, the results experimentally verify the effectiveness of the proposed three-stage reconstruction framework and dual-pipeline data architecture, while also demonstrating their strong potential for generalization to broader cross-platform BIM environments. Full article
(This article belongs to the Special Issue Building a Sustainable Future: Sustainability and Innovation in BIM)
Show Figures

Figure 1

19 pages, 703 KB  
Article
Family Functioning and Adolescent Depression: Parallel and Serial Mediation Roles of Academic Stress and Emotion Regulation
by Mingping Jiang and Haibo Yang
Behav. Sci. 2026, 16(2), 244; https://doi.org/10.3390/bs16020244 - 9 Feb 2026
Viewed by 217
Abstract
With the rapid pace of economic development and intensifying social competition, adolescent depression has emerged as an escalating global public health concern. The present study investigated the relationship between family functioning and adolescent depression, with particular attention being paid to the parallel and [...] Read more.
With the rapid pace of economic development and intensifying social competition, adolescent depression has emerged as an escalating global public health concern. The present study investigated the relationship between family functioning and adolescent depression, with particular attention being paid to the parallel and serial mediating roles of academic stress and emotion regulation strategies. A total of 437 adolescents from Anhui Province were surveyed using the Chinese versions of the Family Assessment Device, the Academic Stress Scale, the Emotion Regulation Questionnaire, and the Center for Epidemiologic Studies Depression Scale (CES-D). The results revealed that (1) the prevalence of depression was 27.7%, with 31.2% of participants experiencing moderate to high levels of academic stress; (2) family functioning was identified as a key predictor of adolescent depression; and (3) academic stress and expressive suppression sequentially mediated the relationship between family functioning and depression, while academic stress and cognitive reappraisal functioned as parallel mediators. In conclusion, healthy family functioning plays a crucial role in reducing adolescent depression, both directly and through the mediating effects of academic stress and emotion regulation strategies. These findings highlight the importance of family support and the adoption of adaptive coping mechanisms in promoting adolescent mental health. Full article
(This article belongs to the Special Issue Academic Anxieties and Coping Strategies)
Show Figures

Figure 1

23 pages, 7140 KB  
Article
Comparative Study of the Structural and Adsorptive Performance of Biomass-Derived Graphene Materials
by Makpal Seitzhanova, Zhanar Kudyarova, Yerlan Doszhanov, Bibigul Rakhimova, Svetlana Aleshkova and Zhandos Tauanov
Molecules 2026, 31(4), 586; https://doi.org/10.3390/molecules31040586 - 8 Feb 2026
Viewed by 164
Abstract
This study presents the development of an environmentally benign and economically viable methodology for the synthesis of graphene-containing carbon materials derived from renewable agricultural residues, specifically walnut shells, rice husks, and apricot stones. The proposed synthesis route involves sequential stages of controlled pre-carbonization, [...] Read more.
This study presents the development of an environmentally benign and economically viable methodology for the synthesis of graphene-containing carbon materials derived from renewable agricultural residues, specifically walnut shells, rice husks, and apricot stones. The proposed synthesis route involves sequential stages of controlled pre-carbonization, desilicification, chemical activation with potassium hydroxide (KOH), and subsequent mild exfoliation, resulting in the formation of few-layer graphene with a high degree of structural ordering. Pre-carbonization carried out at 523–573 K, followed by activation at 1123 K, yields graphene sheets exhibiting a specific surface area of 1300–1800 m2/g, a carbon content of 60–90%, and an average pore diameter below 100 nm. The synthesized materials were subjected to comprehensive physicochemical characterization using BET surface area analysis, Raman spectroscopy, FTIR spectroscopy, scanning electron microscopy (SEM), transmission electron microscopy (TEM), and atomic absorption flame emission spectrophotometry. Raman spectroscopic analysis revealed an I_G/I_2D intensity ratio of approximately 1.5–2.0, indicating the presence of graphene structures consisting of approximately four to five layers. To enhance adsorption performance, the graphene-containing carbon materials were further functionalized with sulfuric acid, and the successful incorporation of surface functional groups was confirmed by FTIR spectroscopy. The adsorption properties of the functionalized graphene-containing carbon materials were evaluated in aqueous solutions containing sodium, potassium, calcium, and magnesium salts, demonstrating adsorption efficiencies of up to 80%. Compared to conventional biomass-derived graphene synthesis methods, the developed approach produces materials with enhanced porosity, higher graphitic ordering, and improved chemical purity. These characteristics highlight the strong potential of the synthesized graphene-containing carbon materials for applications in energy storage systems, adsorption-based water purification technologies, and environmentally sustainable nanotechnological applications. Full article
Show Figures

Figure 1

13 pages, 2224 KB  
Article
Motion-Informed, Patient-Specific Femoral Localization for MPFL Reconstruction Using 4D-CT and Constrained Optimization
by Jiaying Wei, Xinhao Zhang, Jia Li, Weigen Ye, Runxing Kang, Dehua Wang, Weilin Wu, Mao Yuan, Yinsong Sun, Hong Cheng, Wei Huang, Ke Li, Chaobin Zou and Chen Zhao
Diagnostics 2026, 16(4), 508; https://doi.org/10.3390/diagnostics16040508 - 7 Feb 2026
Viewed by 179
Abstract
Background: Accurate femoral localization is a critical factor influencing graft length-change behavior in medial patellofemoral ligament reconstruction (MPFLR). However, the commonly used Schöttle point is derived from static radiographs and does not account for subject-specific patellofemoral kinematics during active knee motion. In this [...] Read more.
Background: Accurate femoral localization is a critical factor influencing graft length-change behavior in medial patellofemoral ligament reconstruction (MPFLR). However, the commonly used Schöttle point is derived from static radiographs and does not account for subject-specific patellofemoral kinematics during active knee motion. In this study, we integrated four-dimensional computed tomography (4D-CT) with constrained optimization to establish a motion-informed, patient-specific femoral localization framework. Methods: A total of 1382 4D-CT knee datasets were screened, and 58 knees were selected for detailed kinematic modeling. Subject-specific femoral and patellar point clouds were reconstructed from time-resolved CT data acquired during voluntary knee flexion. Within a predefined 5–15 mm neighborhood of the Schöttle point, a constrained sequential quadratic programming (SQP) approach was applied to identify an individualized femoral point (I-point) that minimized MPFL length variability while enforcing a femoral-surface constraint. Results: Compared with the Schöttle point, the I-point demonstrated a distinct spatial distribution, characterized primarily by a proximal shift along the femoral axis (PERMANOVA pseudo-F = 4.457, p = 0.006). Across 0–90° of knee flexion, the I-point was associated with reduced MPFL length variation and approached a relatively stable length-change profile near mid-flexion. Conclusions: These findings indicate that integrating 4D-CT-derived kinematics with constrained optimization can provide quantitative, imaging-based, motion-informed guidance for patient-specific femoral localization. This imaging-based framework may serve as a preoperative decision-support tool for personalized MPFLR planning. Full article
Show Figures

Figure 1

24 pages, 32650 KB  
Article
Enhancing Noise Robustness in Few-Shot Automatic Modulation Classification via Complex-Valued Autoencoders
by Minghui Gao, Binquan Zhang, Lu Wang, Xiaogang Tang and Hao Huan
Electronics 2026, 15(3), 674; https://doi.org/10.3390/electronics15030674 - 3 Feb 2026
Viewed by 146
Abstract
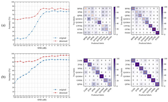
The emergence of radio frequency machine learning has significantly propelled the application of deep learning (DL) methods in automatic modulation classification (AMC). However, under non-cooperative scenarios, the performance of DL-based AMC suffers severe performance degradation due to scarce labeled samples and noise interference. [...] Read more.
The emergence of radio frequency machine learning has significantly propelled the application of deep learning (DL) methods in automatic modulation classification (AMC). However, under non-cooperative scenarios, the performance of DL-based AMC suffers severe performance degradation due to scarce labeled samples and noise interference. To enhance noise robustness in few-shot AMC, this paper proposes a complex-domain autoencoder-based method where a complex-valued noise reduction network (CNRN) is embedded into the AMC framework, jointly extracting complex-valued and temporal features from noisy signals to achieve signal–noise separation. Our framework executes four sequential operations: high-signal-to-noise-ratio (high-SNR) samples are first isolated from limited raw data via unsupervised classification; rotation and cyclic time-shifting operations then augment the sample space; the CNRN is subsequently trained on augmented data; and final AMC classification is implemented through DL-based classifiers. Experimental validation on RML 2016.10a dataset demonstrates: (1) for −20 dB signals, denoising achieves 20.18 dB SNR improvement with 87.74% mean squared error reduction; (2) across the −20 dB to 18 dB range, denoised signals exhibit accuracy improvements of 21.57% under DL-based classifiers. Physical validation further confirms that the proposed method exhibits enhanced noise robustness, demonstrating its practical utility in real-world scenarios. Full article
Show Figures

Figure 1

24 pages, 6849 KB  
Article
The Development and Experimental Implementation of an Open Mechatronic Drive Platform for a BLDC Servomotor in an Industrial Robotic Axis
by Erick Axel Padilla-García, Mario Ricardo Cruz-Deviana, Jorge Díaz-Salgado, Raúl Dalí Cruz-Morales and Jaime González-Sierra
Processes 2026, 14(3), 519; https://doi.org/10.3390/pr14030519 - 2 Feb 2026
Viewed by 225
Abstract
This paper presents an open-architecture mechatronic drive platform for operating a three-phase BLDC servomotor in an industrial robotic axis. A sequential and iterative mechatronic design methodology is adopted, integrating electronic design, digital control, mechanical development, and experimental prototyping, with emphasis on open-loop operation. [...] Read more.
This paper presents an open-architecture mechatronic drive platform for operating a three-phase BLDC servomotor in an industrial robotic axis. A sequential and iterative mechatronic design methodology is adopted, integrating electronic design, digital control, mechanical development, and experimental prototyping, with emphasis on open-loop operation. The electronic circuit was designed using schematics and a PCB and validated in Proteus Design Suite 8.15 (Labcenter Electronics Ltd., London, UK) to verify switching sequences and inverter behavior. The power stage is based on a six-switch insulated-gate bipolar transistor (IGBT) inverter module, complemented by an independent snubber protection board and a dedicated digital gate-drive control board. The mechanical enclosure was designed using computer-aided design (CAD), CAD software tools (Shapr3D, version 5.911.0 (9224), Shapr3D Zrt., Budapest, Hungary), and fabricated via 3D printing. Switching behavior was simulated in Octave using parameters from a real industrial BLDC servomotor (Yaskawa SGMAH series) extracted from a Motoman robotic axis. The contribution is design-oriented in a mechatronic engineering sense, emphasizing accessibility, openness, and experimental enablement of industrial drive hardware rather than control-performance optimization. An industrial Yaskawa BLDC servomotor from the Motoman robot is used to determine switching sequences and safe operating parameters. Experimental open-loop tests were conducted by directly commanding the six inverter switching sectors, resulting in the stable synchronous rotation of the motor on the developed electromechanical platform. Full article
(This article belongs to the Section AI-Enabled Process Engineering)
Show Figures

Figure 1

13 pages, 1159 KB  
Article
Straightforward Chemo-Multi-Enzymatic Cascade Systems for the Stereo-Controlled Synthesis of 5-Amino-6-nitrocyclitols
by Lahssen El Blidi, Marielle Lemaire, Irfan Wazeer, Maher M. Alrashed and Mohanad El-Harbawi
Catalysts 2026, 16(2), 144; https://doi.org/10.3390/catal16020144 - 2 Feb 2026
Viewed by 240
Abstract
New aminonitrocyclitols were directly synthesized through stereoselective, one-pot, multistep cascade reactions. The aminonitrocyclitol moiety was constructed by the sequential action of two enzymes followed by a spontaneous intramolecular Henry reaction. To construct the carbocycle, two C–C bonds were stereoselectively cleaved, one by aldolase [...] Read more.
New aminonitrocyclitols were directly synthesized through stereoselective, one-pot, multistep cascade reactions. The aminonitrocyclitol moiety was constructed by the sequential action of two enzymes followed by a spontaneous intramolecular Henry reaction. To construct the carbocycle, two C–C bonds were stereoselectively cleaved, one by aldolase and the other by the intramolecular nitroaldol reaction. The aldolase acceptor substrates were generated by adding an amino group to 4-nitrobutanal. As expected, only the (R,R)- or d-erythroaldol configuration was obtained with l-fuculose-1-phosphate aldolase (F1PA). In the case of l-rhamnulose-1-phosphate aldolase (R1PA), both the aldol (R,S)- or l-threo and erythroaldol (R,R)- or d-erythroaldol configurations were obtained in very close ratios. The presence of a ketone and a terminal nitro group in the aldol formed led to a stereoselective intramolecular Henry reaction. The various aminonitrocyclitols were obtained in amide form with an average overall yield of 60%. Deprotection of the amine function was achieved by hydrolysis of the amide group by the action of papain without epimerization at the ring carbon stereochemistries defined in the previous steps. All these reactions led to the preparation of new aminonitrocyclitols with high stereoselectivity. Full article
(This article belongs to the Special Issue Enzymatic and Chemoenzymatic Cascade Reactions)
Show Figures

Figure 1

18 pages, 5447 KB  
Article
Discovery of Novel Derivatives of Catechin Gallate with Antimycobacterial Activity from Kirkia wilmsii Engl. Extracts
by Nenekazi Masikantsi, Rendani Mbau, Nuhu Tukur, Peter Masoko and Gabriel Mashabela
Antibiotics 2026, 15(2), 141; https://doi.org/10.3390/antibiotics15020141 - 1 Feb 2026
Viewed by 316
Abstract
Background/Objectives: The increase in incidences of multidrug resistance exacerbates tuberculosis-related global health challenges and underscores a call for more efforts for development of new antitubercular drugs, including the use of medicinal plants, especially those that have been used for generations by traditional healers. [...] Read more.
Background/Objectives: The increase in incidences of multidrug resistance exacerbates tuberculosis-related global health challenges and underscores a call for more efforts for development of new antitubercular drugs, including the use of medicinal plants, especially those that have been used for generations by traditional healers. Despite reports of antimicrobial activity and chemical profiling of Kirkia wilmsii (K. wilmsii) extracts, chemical structures of the bioactive agents have not been elucidated. Here, we used a combination of bioactivity-guided fractionation, mass spectrometry, and nuclear magnetic resonance to purify and elucidate the chemical structure of antimycobacterial agents contained in leaf and twig extracts for K. wilmsii. Results: After overnight extraction with acetone and 90 g of dry twigs and leaves produced 5.38 g (6%) and 4.56 g (5%) of product, which displayed moderate antimycobacterial activity of 0.5 and 1 mg/mL, respectively. The antimycobacterial activity was increased six- and three-fold, respectively, after the crude extracts were subjected to solvent–solvent partitioning. Due to many bioactive fractions being obtained after silica gel chromatography purification, fraction 5 of twig extract was prioritized for further purification due to its low minimum inhibitory concentration (MIC) (0.25 mg/mL) and cytotoxicity (20%, in THP-1 cells). Sequential purification of the fraction 5 (twig extract) extracts through the C18 cartridge and high-performance liquid chromatography (HPLC) produced four fractions, which were subjected to structural elucidation. The high-resolution mass spectrometric analyses revealed that the first two eluting peaks had the same mass ion of 441.0822 m/z (M − H), which corresponded to catechin monogallate, and so were the last two eluting peaks, which had a mass ion of 539.0932 m/z (M − H), corresponding to catechin digallate. Further analyses by 1H, 13C, and 2D NMR confirmed the chemical structures of compounds eluting in the first two peaks on HPLC as structural isomers of catechin 3′-monogallate and catechin 4′-monogallate (MIC not determined). Similarly, compounds eluting in the last two peaks were identified as structural isomers catechin 3′-digallate and catechin 4′-digallate, with an MIC of 250 µg/mL against Mycobacterium smegmatis and Mycobacterium tuberculosis H37Rv and an MBC of 500 μg/mL against M. smegmatis. Conclusions: To the best of our knowledge, this study is the first to report the structure of catechin 3′- and 4′-digallate, their antimycobacterial activity, and the existence of acyl migration involving galloyl 3′ and 4′-hydroxyl groups of catechin ring B. Full article
Show Figures

Figure 1

Back to TopTop