Sign in to use this feature.

Years

Between: -

Subjects

remove_circle_outline
remove_circle_outline
remove_circle_outline
remove_circle_outline
remove_circle_outline

Journals

Article Types

Countries / Regions

Search Results (25)

Search Parameters:
Keywords = self myofascial release

Order results
Result details
Results per page
Select all
Export citation of selected articles as:
26 pages, 3594 KB  
Article
Long-Term Effects of Training Accompanying Myofascial Self-Massage Using a Blackroll® on Mechanical and Movement Efficiency in Recreational Cyclists
by Doris Posch, Markus Antretter, Martin Burtscher, Sebastian Färber, Martin Faulhaber and Lorenz Immler
Biomechanics 2025, 5(4), 104; https://doi.org/10.3390/biomechanics5040104 - 6 Dec 2025
Viewed by 720
Abstract
Background: Foam rolling has become an increasingly popular self-myofascial release (SMR) technique among athletes to prevent injuries, improve recovery, and increase athletic performance. This study investigated how SMR improves mechanical and movement efficiency in recreational road cyclists. Methods: We conducted an exploratory randomized [...] Read more.
Background: Foam rolling has become an increasingly popular self-myofascial release (SMR) technique among athletes to prevent injuries, improve recovery, and increase athletic performance. This study investigated how SMR improves mechanical and movement efficiency in recreational road cyclists. Methods: We conducted an exploratory randomized controlled trial (RCT) to investigate the effects of SMR using a foam roller on biomechanical and physiological performance parameters over a six-month period. A total of 32 male participants, aged 26–57 years, with a mean Body Mass Index (BMI) of 24.0 kg/m2 (SD = 2.2), were randomly assigned to either an intervention group (n = 16), which incorporated a standardized SMR program into their post-exercise recovery, or a control group (n = 16), which followed the same cycling protocol without SMR. The training program included heart rate-controlled strength endurance intervals. As the primary target, the variables we investigated included torque effectiveness, leg force symmetry, and pedal smoothness. Secondary measurements included submaximal oxygen uptake (VO2) as well as bioelectrical variables, which we analyzed using classic, repeated-measures ANOVA models and descriptive statistical methods. Results: The analysis revealed significant interaction effects in favor of the intervention group for torque effectiveness (η2p = 0.434), leg strength symmetry (η2p = 0.303), and pedal smoothness (η2p = 0.993). No significant group × time interactions were found for submaximal VO2 or bioelectrical parameters. Conclusions: Our findings indicate that foam rolling may serve as an effective adjunct to endurance training by enhancing functional neuromuscular performance in cyclists, particularly in torque control and pedal coordination. Its impact on aerobic efficiency and muscle composition appears to be minimal. The results support theoretical models that attribute SMR benefits to proprioceptive, circulatory, and neuromuscular mechanisms rather than structural tissue adaptations. Full article
(This article belongs to the Section Sports Biomechanics)
Show Figures

Figure 1

14 pages, 2950 KB  
Article
Does Massage Gun or Foam Roller Use During a Warm-Up Improve Performance in Trained Athletes?
by Lachlan Ormeno and Matthew Driller
Sports 2025, 13(9), 282; https://doi.org/10.3390/sports13090282 - 22 Aug 2025
Cited by 1 | Viewed by 9967
Abstract
Self-myofascial release tools like foam rollers and massage guns are being integrated into athlete warm-ups with increasing frequency, but evidence on their acute effects is limited. Sixteen healthy, trained athletes (23.2 ± 1.3 years; four female) completed three warm-up conditions in a randomised, [...] Read more.
Self-myofascial release tools like foam rollers and massage guns are being integrated into athlete warm-ups with increasing frequency, but evidence on their acute effects is limited. Sixteen healthy, trained athletes (23.2 ± 1.3 years; four female) completed three warm-up conditions in a randomised, crossover design separated by >48 h: dynamic warm-up plus foam rolling (FOAM), dynamic warm-up plus massage gun (GUN), and dynamic warm-up alone (CON). After each intervention, participants completed a countermovement jump (CMJ; height and reactive strength index [RSImod]), a 10/5 repeated jump test (RJT), a 20 m sprint, and a knee-to-wall ankle mobility test. Perceived soreness and fatigue were recorded. Linear mixed models and Cohen’s d were used to assess between-condition differences. Relative to CON, FOAM and GUN were associated with reduced CMJ height (d = −0.29 to −0.36) and RSImod (d = −0.40 to −0.52; p’s < 0.05). GUN was associated with significantly impaired sprint time (d = 0.34). There were modest improvements in ankle mobility (left side) following FOAM (d = 0.23, p < 0.05) and lower levels of muscle soreness compared to CON (p < 0.05). Despite some improvements in ankle mobility and muscle soreness with foam rolling, both foam rolling and massage gun use may acutely impair aspects of physical performance compared to a dynamic warm-up alone. Full article
Show Figures

Figure 1

19 pages, 3177 KB  
Article
Vibration Foam Rolling Treatment Influence on Acute Changes in Plantar Flexors Muscle Temperature and Surface Emg Activity in Amateur Male Athletes
by Aleksandar Borisavljević, Marko Ćosić, Goran Janković, Iva Radić, Dunja Janković and Milivoj Dopsaj
J. Funct. Morphol. Kinesiol. 2025, 10(1), 25; https://doi.org/10.3390/jfmk10010025 - 8 Jan 2025
Cited by 1 | Viewed by 2765
Abstract
Background/Objectives: Foam rolling is widespread and deeply rooted in exercise practice. The optimal duration and role of this treatment still lack scientific consensus. A relatively novel foam rolling treatment that combines vibration during application targets different muscle characteristics that are not well understood. [...] Read more.
Background/Objectives: Foam rolling is widespread and deeply rooted in exercise practice. The optimal duration and role of this treatment still lack scientific consensus. A relatively novel foam rolling treatment that combines vibration during application targets different muscle characteristics that are not well understood. Studies exploring this combined treatment are scarce. The aim of this study was set to investigate the acute effects of different duration vibration (15 s, 30 s, and 60 s) foam rolling treatment (VFRt) on muscle skin temperature and surface muscle electromyography (sEMG) during Maximal Voluntary Isometric Contraction. Methods: Eighteen male subjects performed four sets of three trials of maximal isometric heel rises during three experimental sessions conducted in research laboratory. Results: Repeated measures of ANOVA determined that the muscle skin temperature significant difference was only found for the 30 s treatment (p = 0.013–0.000). For surface muscle electromyography a 30 s treatment out of all three yielded the most significant results, between pretreatment set and post-treatment set 1 (p = 0.01)—small effect size (Cohen’s d = −0.33)—and pretreatment set to post-treatment set 3 (p = 0.01)—small effect size (Cohen’s d = −0.30). Conclusions: All treatments did not produce significant differences during Maximal Voluntary Isometric Contraction heel rises, which—for practical application purposes—present a safe treatment. Future studies should investigate the acute effects of longer duration treatment on changes in surface muscle temperature. In terms of practical application, other findings suggest that muscle efficiency was improved taken into account of unchanged muscle strength along with decreased sEMG, which is beneficial. Also, the downward trend of muscle activity caused by the other two treatment durations could be of significance for practical application during rehabilitation process or during activities where this is a desired and indicated goal. In terms of targeting elevated muscle activity, 30 s of VFRt is the treatment of choice. Full article
Show Figures

Figure 1

13 pages, 7666 KB  
Article
Inter-Set Foam Rolling of the Latissimus Dorsi Acutely Increases Repetitions in Lat Pull-Down Exercise without Affecting RPE
by Luca Russo, Sebastiano Riccio, Giulio Zecca, Alin Larion, Riccardo Di Giminiani, Johnny Padulo, Cristian Popa and Gian Mario Migliaccio
J. Funct. Morphol. Kinesiol. 2024, 9(1), 43; https://doi.org/10.3390/jfmk9010043 - 29 Feb 2024
Cited by 2 | Viewed by 6174
Abstract
Foam rolling is widely used in fitness, sports, rehabilitation, and injury prevention. However, there are limited data available on the effect of foam rolling techniques on the upper limbs. The aim of this investigation is to assess the effects of foam rolling the [...] Read more.
Foam rolling is widely used in fitness, sports, rehabilitation, and injury prevention. However, there are limited data available on the effect of foam rolling techniques on the upper limbs. The aim of this investigation is to assess the effects of foam rolling the latissimus dorsi area during the rest period between two consecutive lat pull-down exercise (LPDE) sets. Seventeen resistance training experienced volunteer male subjects (25.8 ± 3.4 years; 180.3 ± 9.0 cm; 79.7 ± 9.9 kg) participated in this research. Each subject performed 2 training sessions of LPDE in a random order, separated by one week. Each session consisted of 2 sets of maximum repetitions using 85% of their one-repetition maximum (1RM), with a 7 min rest period between sets. The rest period condition between sets was different in the 2 sessions: passive rest (Pr) or foam rolling the latissimus dorsi muscle bilaterally for 3 sets of 45 s (FRr). The following variables were assessed for each LPDE set: number of repetitions (REPS), average excursion per repetition in millimeters (EXC), average power of the set in watts (AP) and rating of perceived exertion (RPE). Pr did not show any significant change between the first and the second LPDE set for REPS, EXC, and AP. However, there was a significant increase for RPE (8.4 ± 0.5 vs. 8.9 ± 0.5 a.u., p = 0.003) between the two sets. FRr resulted in an increase for REPS (7.1 ± 1.5 vs. 8.2 ± 1.3, p < 0.001) and AP (304.6 ± 61.5 W vs. 318.8 ± 60.8 W, p = 0.034) between the first and the second LPDE sets, but no changes were observed for EXC and RPE. The use of foam rolling techniques on the latissimus dorsi area during the complete rest period between sets in LPDE at 85% 1RM appears to improve the number of repetitions and the movement power without affecting the RPE during the second set. Full article
(This article belongs to the Section Athletic Training and Human Performance)
Show Figures

Figure 1

31 pages, 627 KB  
Review
Effects of Self-Myofascial Release on Athletes’ Physical Performance: A Systematic Review
by Luis Manuel Martínez-Aranda, Manuel Sanz-Matesanz, Ezequiel David García-Mantilla and Francisco Tomás González-Fernández
J. Funct. Morphol. Kinesiol. 2024, 9(1), 20; https://doi.org/10.3390/jfmk9010020 - 11 Jan 2024
Cited by 14 | Viewed by 20052
Abstract
Therapists and strength and conditioning specialists use self-myofascial release (SMR) as an intervention tool through foam rollers or massage rollers for soft tissue massage, with the purpose of improving mobility in the muscular fascia. Moreover, the use of SMR by professional and amateur [...] Read more.
Therapists and strength and conditioning specialists use self-myofascial release (SMR) as an intervention tool through foam rollers or massage rollers for soft tissue massage, with the purpose of improving mobility in the muscular fascia. Moreover, the use of SMR by professional and amateur athletes during warm-ups, cool downs, and workouts can have significant effects on their physical performance attributes, such as range of motion (ROM) and strength. The purpose of this study was to analyse the literature pertaining to these types of interventions and their effects found in different physical performance attributes for athletes. A systematic search was carried out using the following databases: PUBMED, ISI Web of Science, ScienceDirect, and Cochrane, including articles up to September 2023. A total of 25 articles with 517 athletes were studied in depth. SMR seems to have acute positive effects on flexibility and range of motion, without affecting muscle performance during maximal strength and power actions, but favouring recovery perception and decreasing delayed-onset muscle soreness. Some positive effects on agility and very short-range high-speed actions were identified, as well. In conclusion, although there is little evidence of its method of application due to the heterogeneity in that regard, according to our findings, SMR could be used as an intervention to improve athletes’ perceptual recovery parameters, in addition to flexibility and range of motion, without negatively affecting muscle performance. Full article
(This article belongs to the Special Issue Advances in Musculoskeletal Physiotherapy)
Show Figures

Figure 1

11 pages, 821 KB  
Article
Effect of Self-Myofascial Release of the Lower Back on Myofascial Gliding, Lumbar Flexibility, and Abdominal Trunk Muscle Strength: A Crossover Study
by Yuki Nakai, Katsutoshi Oe, Ryuko Matsuno, Ryoji Kiyama, Masayuki Kawada, Yasufumi Takeshita, Takasuke Miyazaki and Sota Araki
Sports 2023, 11(8), 147; https://doi.org/10.3390/sports11080147 - 2 Aug 2023
Cited by 12 | Viewed by 7138
Abstract
Roller massage has been recognized as an effective intervention for managing various conditions. However, data on the effects of roller massage on the dynamic mechanisms of the myofascial and soft tissues of the lower back are limited. This study aimed to examine the [...] Read more.
Roller massage has been recognized as an effective intervention for managing various conditions. However, data on the effects of roller massage on the dynamic mechanisms of the myofascial and soft tissues of the lower back are limited. This study aimed to examine the effect of the self-myofascial release of the lower back on myofascial gliding, lumbar flexibility, and abdominal trunk muscle strength using a roller massager. This crossover study included 24 college athletes who underwent three interventions—roller massage, static stretching, and control (rest). Before and after the intervention, lumbar and fascial gliding were evaluated using ultrasonography. Long-seat anteflexion (lumbar flexibility) and abdominal trunk muscle strength were assessed. The movement velocities of the subcutaneous tissue and the multifidus muscle over time were calculated using echo video analysis software, and gliding was estimated using the cross-correlation coefficient between the velocities. Gliding, lumbar flexibility, and abdominal trunk muscle strength showed significant intervention-by-time interactions. Roller massage significantly improved gliding, lumbar flexibility, and abdominal trunk muscle strength. The self-myofascial release of the lower back using a roller massager improved the lumbar/fascia gliding, lumbar flexibility, and abdominal trunk muscle strength compared to static stretching. Full article
(This article belongs to the Special Issue Connecting Health and Performance with Sports Sciences)
Show Figures

Figure 1

12 pages, 2444 KB  
Article
Self-Myofascial Release of the Foot Plantar Surface: The Effects of a Single Exercise Session on the Posterior Muscular Chain Flexibility after One Hour
by Luca Russo, Eleonora Montagnani, Davide Pietrantuono, Fabiola D’Angona, Tommaso Fratini, Riccardo Di Giminiani, Stefano Palermi, Francesco Ceccarini, Gian Mario Migliaccio, Elena Lupu and Johnny Padulo
Int. J. Environ. Res. Public Health 2023, 20(2), 974; https://doi.org/10.3390/ijerph20020974 - 5 Jan 2023
Cited by 16 | Viewed by 6790
Abstract
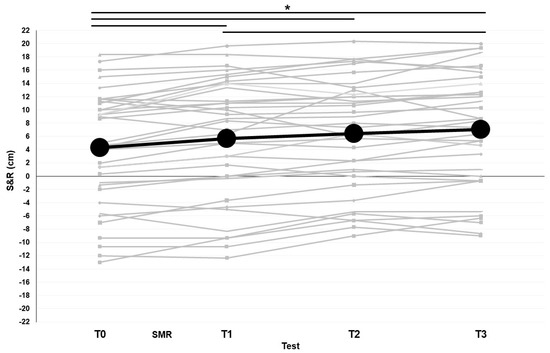
This study evaluated the effects of a single exercise session of Self-Myofascial Release (SMR) on the posterior muscular chain flexibility after one hour from the intervention. Thirty-six participants performed SMR using a rigid ball under the surface of both feet. Participants were tested [...] Read more.
This study evaluated the effects of a single exercise session of Self-Myofascial Release (SMR) on the posterior muscular chain flexibility after one hour from the intervention. Thirty-six participants performed SMR using a rigid ball under the surface of both feet. Participants were tested with the Sit and Reach (S&R) test at four different times: before (T0), immediately after (T1), 30 (T2), and 60 (T3) minutes after the SMR intervention. The sample (n = 36) was categorized into three groups: (1) flexible, (2) average, and (3) stiff, based on the flexibility level at T0 (S&R values of >10 cm, >0 but <10 cm and <0 cm, respectively). For the whole sample, we detected significant improvements in the S&R test between the T1, T2, and T3 compared to T0. The stiff group showed a significant (p < 0.05) improvement between T1–T2 and T1–T3. Results were similar between the average group and the whole sample. The flexible group did not show any significant difference (p > 0.05) over time. In conclusion, this investigation demonstrated that an SMR session of both feet was able to increase posterior muscular chain flexibility up to one hour after intervention. Considering that a standard training session generally lasts one hour, our study can help professionals take advantage of SMR effects for the entire training period. Furthermore, our results also demonstrate that physical exercise practitioners should also assess individuals’ flexibility before training, as the SMR procedure used in this work does not seem necessary in flexible individuals. Full article
Show Figures

Figure 1

10 pages, 679 KB  
Article
Acute Effect of Short Intensive Self-Myofascial Release on Jump Performance in Amateur Athletes: A Randomized Cross-Over Study
by Dawid Koźlenia and Jarosław Domaradzki
Int. J. Environ. Res. Public Health 2022, 19(24), 16816; https://doi.org/10.3390/ijerph192416816 - 14 Dec 2022
Cited by 10 | Viewed by 2843
Abstract
Searching for effective methods to maximize physical performance that can be utilized during warm-ups is challenging in modern sports. This study aimed to investigate the effect of a short and intensive self-myofascial release (SI-SMR) on jumps in amateur, collegiate athletes. The study sample [...] Read more.
Searching for effective methods to maximize physical performance that can be utilized during warm-ups is challenging in modern sports. This study aimed to investigate the effect of a short and intensive self-myofascial release (SI-SMR) on jumps in amateur, collegiate athletes. The study sample consists of 30 subjects with an average age of 21.8 years. The tests conducted included a squat jump (SJ), countermovement jump (CMJ), and drop jump (DJ). In the first week, half of the participants performed a standardized warm-up with additional short (15 s per lower limb muscle group) and intensive (20 reps/15 s) SMR and then performed jump tests. The other half performed a standard warm-up. The following week the groups switched interventions. The results revealed a tendency for all jump test parameters (height, force, and power), the reactive strength index, and stiffness to improve with SI-SMR, but the differences were small and insignificant. A dependent t-test for paired samples revealed that only SJ height improvement (+0.96 ± 2.63 cm) reached statistical significance (p = 0.04), but the small ES (ES = 0.14) could have attenuated this result. When a two-way mixed ANOVA was applied, the differences were insignificant. SI-SMR was ineffective in the direct improvement of jump performance. Although SI-SMR had no adverse effects, athletes should focus on specific preparations for sports competitions instead of using an SI-SMR protocol. Full article
Show Figures

Figure 1

11 pages, 735 KB  
Article
Self-Induced Myofascial Release in Patients with Hemophilic Ankle Arthropathy: A Pilot Observational Study
by Elena Donoso-Úbeda, Raúl Pérez-Llanes, Javier Meroño-Gallut, Roberto Ucero-Lozano and Rubén Cuesta-Barriuso
Life 2022, 12(12), 2008; https://doi.org/10.3390/life12122008 - 2 Dec 2022
Cited by 4 | Viewed by 2295
Abstract
Background: Hemophilic ankle arthropathy is manifested by degenerative functional alterations (reduced muscle strength, mobility, and proprioception) and chronic pain. Myofascial release techniques are used to treat soft tissue adhesions, relieve pain, and reduce tissue sensitivity. The aim was to evaluate the safety of [...] Read more.
Background: Hemophilic ankle arthropathy is manifested by degenerative functional alterations (reduced muscle strength, mobility, and proprioception) and chronic pain. Myofascial release techniques are used to treat soft tissue adhesions, relieve pain, and reduce tissue sensitivity. The aim was to evaluate the safety of self-induced myofascial release in patients with hemophilic ankle arthropathy and to assess possible changes in musculoskeletal variables. Methods: We recruited 20 patients with ankle hemophilic arthropathy. Patients carried out a daily self-induced myofascial release exercise program using a foam roller over a period of 8 weeks. The primary variable was the frequency of hemarthrosis (regular telephone follow-up). Secondary variables were pain intensity (visual analog scale), range of motion (goniometry), and functional capacity of the lower limbs (six-minute walk test). Three evaluations were performed: pre-treatment (T0), post-treatment (T1), and at 8 weeks follow-up (T2). Results: There was a lower, non-significant, association in the frequency of hemarthrosis between the experimental and follow-up periods, compared to the pre-study period (SE = 0.50; 95%CI: −1.67; 0.28). There were significant within-subject changes in intensity of pain (T0: 4.91; T1: 2.79; T2: 2.46; p < 0.001), plantar flexion (T0: 125.55; T1: 131.5; T2: 130.30; p = 0.01), and functionality of the lower limbs (T0: 173.06; T1: 184.85; T2: 178.39; p = 0.009). Conclusions: Self-induced myofascial release is safe in patients with hemophilic ankle arthropathy. A protocol based on self-induced myofascial release can lead to changes in pain intensity, range of ankle motion in plantar flexion, and functionality in hemophilic patients. Full article
(This article belongs to the Special Issue Orthopaedic Trauma and Reconstruction)
Show Figures

Figure 1

13 pages, 2588 KB  
Article
Effect of Acute Self-Myofascial Release on Pain and Exercise Performance for Cycling Club Members with Iliotibial Band Friction Syndrome
by Jong Jin Park, Hae Sung Lee and Jong-Hee Kim
Int. J. Environ. Res. Public Health 2022, 19(23), 15993; https://doi.org/10.3390/ijerph192315993 - 30 Nov 2022
Cited by 7 | Viewed by 4757
Abstract
Cycling is a popular sport, and the cycling population and prevalence of related injuries and diseases increase simultaneously. Iliotibial band friction syndrome is a common chronic overuse injury caused by repetitive knee use in cycling. Self-myofascial release using foam rollers is an effective [...] Read more.
Cycling is a popular sport, and the cycling population and prevalence of related injuries and diseases increase simultaneously. Iliotibial band friction syndrome is a common chronic overuse injury caused by repetitive knee use in cycling. Self-myofascial release using foam rollers is an effective intervention for this syndrome; however, studies reporting positive results on self-myofascial release in cycling are limited. Therefore, this study investigated the effect of self-myofascial release on pain and iliotibial band flexibility, heart rate, and exercise performance (cadence, power, and record) in adult male cyclists with iliotibial band friction syndrome. We evaluated the pain and exercise ability of the control (n = 11) and self-myofascial release (n = 11) groups before and after cycling twice. Significant differences were observed in the pain scale, the iliotibial band flexibility, and cycling pain and power. The posterior cadence of the self-myofascial release group was 3.2% higher than that of the control group. The control group’s record time increased by 74.64 s in the second cycling session compared to the first cycling session, while that of the self-myofascial release group decreased by 30.91 s in the second cycling session compared to the first cycling session. Self-myofascial release is effective in relieving pain and may improve cycling performance by increasing the iliotibial band flexibility. Full article
(This article belongs to the Special Issue Exercise and Physical Fitness)
Show Figures

Figure 1

17 pages, 1628 KB  
Article
Frailty Status Improvement after 5-Month Multicomponent Program PROMUFRA in Community-Dwelling Older People: A Randomized Controlled Trial
by Joaquín Barrachina-Igual, Ana Pablos, Pilar Pérez-Ros, Cristina Flor-Rufino and Francisco M. Martínez-Arnau
J. Clin. Med. 2022, 11(14), 4077; https://doi.org/10.3390/jcm11144077 - 14 Jul 2022
Cited by 6 | Viewed by 2808
Abstract
A study was made of the effect of the PROMUFRA multicomponent frailty program upon physical frailty, kinanthropometry, pain and muscle function parameters in frail and pre-frail community-dwelling older people. Eighty-one participants were randomly allocated to the intervention group (IG) or control group (CG). [...] Read more.
A study was made of the effect of the PROMUFRA multicomponent frailty program upon physical frailty, kinanthropometry, pain and muscle function parameters in frail and pre-frail community-dwelling older people. Eighty-one participants were randomly allocated to the intervention group (IG) or control group (CG). The IG performed PROMUFRA for 20 weeks, using six strength exercises with three series of 8–12 repetitions until muscular failure, and seven myofascial exercises, with one set of 10 repetitions. The CG continued their routine. The frailty criteria number (FCN), kinanthropometric parameters and muscle function were measured at baseline and after the program. Between-group differences were found in the interaction for FCN, muscle mass, fat mass, skeletal muscle mass index, knee flexion range of motion (ROM), hip flexion with knee straight ROM, maximum isometric knee extension, maximum isotonic knee extension, maximum leg press and hand grip strength., and also on post-intervention frailty status. The IG showed a statistical trend towards decreased pain. In conclusion, the PROMUFRA program is a potential training approach that can bring benefits in physical frailty status, body composition, ROM and muscle function among frail or pre-frail community-dwelling older people. Full article
Show Figures

Figure 1

11 pages, 579 KB  
Review
Chronic Effects of Foam Rolling on Flexibility and Performance: A Systematic Review of Randomized Controlled Trials
by Jeffrey Cayaban Pagaduan, Sheng-Yuan Chang and Nai-Jen Chang
Int. J. Environ. Res. Public Health 2022, 19(7), 4315; https://doi.org/10.3390/ijerph19074315 - 4 Apr 2022
Cited by 17 | Viewed by 10885
Abstract
The purpose of this study is to review the existing literature on chronic effects of foam rolling (FR) on flexibility and performance. Electronic databases were searched during January 2022 for topics related to FR. Included studies met the following criteria: (a) peer-reviewed articles [...] Read more.
The purpose of this study is to review the existing literature on chronic effects of foam rolling (FR) on flexibility and performance. Electronic databases were searched during January 2022 for topics related to FR. Included studies met the following criteria: (a) peer-reviewed articles written in English; (b) FR intervention of at least four weeks; (c) non-motorized FR device during intervention; (d) randomized controlled trial with existence of a control group; and (e) any lower body parameter related to flexibility, recovery, and performance. Nine studies met that criteria. Results revealed that chronic FR demonstrated conflicting results for improvement of flexibility. On the other hand, a majority of the articles in this review showed no beneficial effects of FR on performance. Lastly, the effect of FR on recovery is unclear. These findings suggest the need for further studies to establish the consensus about the long-term application of FR in flexibility, recovery, and performance. Full article
(This article belongs to the Special Issue Neuromuscular Responses and Adaptations in Exercise, Sport and Health)
Show Figures

Figure 1

11 pages, 2075 KB  
Article
The Influence of Self-Myofascial Release on Muscle Flexibility in Long-Distance Runners
by Iwona Sulowska-Daszyk and Agnieszka Skiba
Int. J. Environ. Res. Public Health 2022, 19(1), 457; https://doi.org/10.3390/ijerph19010457 - 1 Jan 2022
Cited by 23 | Viewed by 12965
Abstract
During long-distance running, athletes are exposed to repetitive loads. Myofascial structures are liable to long-term work, which may cause cumulating tension within them. The aim of this study was to evaluate the acute effect of self-myofascial release on muscle flexibility in long-distance runners. [...] Read more.
During long-distance running, athletes are exposed to repetitive loads. Myofascial structures are liable to long-term work, which may cause cumulating tension within them. The aim of this study was to evaluate the acute effect of self-myofascial release on muscle flexibility in long-distance runners. The study comprised 62 long-distance, recreationally running participants between the age of 20 and 45 years. The runners were randomly divided into two groups: Group 1 (n = 32), in which subjects applied the self-myofascial release technique between baseline and the second measurement of muscle flexibility, and Group 2 (n = 30), without any intervention. The self-myofascial release technique was performed according to standardized foam rolling. Assessment of muscle flexibility was conducted according to Chaitow’s proposal. After application of the self-myofascial release technique, higher values were noted for the measurements of the following muscles: piriformis, tensor fasciae latae muscles and adductor muscles. Within the iliopsoas and rectus femoris muscles, lower values were observed in the second measurement. These changes were statistically significant (p < 0.05) within the majority of muscles. All these outcomes indicate improvement related to larger muscle flexibility and also, an increase in range of motion. In the control group (Group 2), significant improvement was observed only in measurements for the iliopsoas muscles. The single application of self-myofascial release techniques with foam rollers may significantly improve muscle flexibility in long-distance runners. Based on these results, the authors recommend the self-myofascial release technique with foam rollers be incorporated in the daily training routine of long-distance runners, as well as athletes of other sport disciplines. Full article
(This article belongs to the Section Exercise and Health)
Show Figures

Figure 1

16 pages, 2213 KB  
Article
Acute Effects of Static Self-Stretching Exercises and Foam Roller Self-Massaging on the Trunk Range of Motions and Strength of the Trunk Extensors
by Maria Fonta, Elias Tsepis, Konstantinos Fousekis and Dimitris Mandalidis
Sports 2021, 9(12), 159; https://doi.org/10.3390/sports9120159 - 26 Nov 2021
Cited by 12 | Viewed by 9567
Abstract
Although the effectiveness of static self-stretching exercises (SSSEs) and foam roller self-massaging (FRSM) in joint range of motion and muscle strength of the lower limbs has been extensively investigated, little is known about their effectiveness on the posterior trunk muscles. The present study [...] Read more.
Although the effectiveness of static self-stretching exercises (SSSEs) and foam roller self-massaging (FRSM) in joint range of motion and muscle strength of the lower limbs has been extensively investigated, little is known about their effectiveness on the posterior trunk muscles. The present study aimed to investigate the acute effects of two 7-min SSSEs and FRSM intervention protocols on the range of trunk movements and the strength of the trunk extensors. Twenty-five healthy active males (n = 14) and females (n = 11) performed each intervention separately, one week apart. The range of motion (ROM) of the trunk-hip flexion (T-HF), the ROM of the trunk side-flexion (TSF) and rotation (TR) bilaterally, as well as the isometric maximum strength (TESmax) and endurance (TESend) of the trunk extensors were measured before and after each intervention. The ROMs of T-HF, TSF, and TR were significantly increased following both SSSEs and FRSM. The TESmax and TESend were also significantly increased after FRSM, but decreased following SSSEs. While both interventions were effective in increasing the range of motion of the trunk, a single 7-min session of FRSM presented more advantages over a similar duration SSSEs protocol due to the increase in the strength of the trunk extensors it induced. Full article
Show Figures

Figure 1

10 pages, 1858 KB  
Article
Does Self-Myofascial Release Cause a Remote Hamstring Stretching Effect Based on Myofascial Chains? A Randomized Controlled Trial
by Paul Fauris, Carlos López-de-Celis, Max Canet-Vintró, Juan Carlos Martin, Luis Llurda-Almuzara, Jacobo Rodríguez-Sanz, Noé Labata-Lezaun, Mathias Simon and Albert Pérez-Bellmunt
Int. J. Environ. Res. Public Health 2021, 18(23), 12356; https://doi.org/10.3390/ijerph182312356 - 24 Nov 2021
Cited by 24 | Viewed by 8054
Abstract
Background: The hamstring muscles are described as forming part of myofascial chains or meridians, and the superficial back line (SBL) is one such chain. Good hamstring flexibility is fundamental to sporting performance and is associated with prevention of injuries of these muscles. The [...] Read more.
Background: The hamstring muscles are described as forming part of myofascial chains or meridians, and the superficial back line (SBL) is one such chain. Good hamstring flexibility is fundamental to sporting performance and is associated with prevention of injuries of these muscles. The aim of this study was to measure the effect of self-myofascial release (SMR) on hamstring flexibility and determine which segment of the SBL resulted in the greatest increase in flexibility. Methods: 94 volunteers were randomly assigned to a control group or to one of the five intervention groups. In the intervention groups, SMR was applied to one of the five segments of the SBL (plantar fascia, posterior part of the sural fascia, posterior part of the crural fascia, lumbar fascia or epicranial aponeurosis) for 10 min. The analyzed variables were hamstring flexibility at 30 s, 2, 5, and 10 min, and dorsiflexion range of motion before and after the intervention. Results: Hamstring flexibility and ankle dorsiflexion improved when SMR was performed on any of the SBL segments. The segments with the greatest effect were the posterior part of the sural fascia when the intervention was brief (30 s to 2 min) or the posterior part of the crural fascia when the intervention was longer (5 or 10 min). In general, 50% of the flexibility gain was obtained during the first 2 min of SMR. Conclusions: The SBL may be considered a functional structure, and SMR to any of the segments can improve hamstring flexibility and ankle dorsiflexion. Full article
Show Figures

Figure 1

Back to TopTop