Sign in to use this feature.

Years

Between: -

Subjects

remove_circle_outline
remove_circle_outline
remove_circle_outline
remove_circle_outline
remove_circle_outline

Journals

Article Types

Countries / Regions

Search Results (8)

Search Parameters:
Keywords = seedcake

Order results
Result details
Results per page
Select all
Export citation of selected articles as:
28 pages, 2243 KB  
Article
Comprehensive Investigations into the Oil Extraction Process of Yellowish and Blackish Sesame Varieties, Parameters Optimization, and Absorbance Spectra Characteristics
by Abraham Kabutey, Sonia Habtamu Kibret, Su Su Soe and Mahmud Musayev
Foods 2025, 14(19), 3450; https://doi.org/10.3390/foods14193450 - 9 Oct 2025
Viewed by 421
Abstract
The demand for sesame oil is increasing due to its nutritious and medicinal qualities and industrial applications such as biodiesel production. Mechanical oil extraction is commonly used although yield is lower. Roasting conditions could improve oil yield. The present study investigated heating conditions [...] Read more.
The demand for sesame oil is increasing due to its nutritious and medicinal qualities and industrial applications such as biodiesel production. Mechanical oil extraction is commonly used although yield is lower. Roasting conditions could improve oil yield. The present study investigated heating conditions (temperature: 40, 50, and 60 °C and time: 15, 30, and 45 min) on oil extraction parameters of yellowish and blackish sesame varieties under a screw pressing operation based on a factorial design involving twenty-six experimental runs. The determined amounts of moisture content of yellowish and blackish sesame samples were 3.49 ± 0.19% w.b. and 6.69 ± 0.07% w.b. In that order, the oil contents of the samples were 38.73 ± 2.61% and 45.31 ± 6.51%. The overall optimal factor levels for explaining the calculated parameters (weight loss, seedcake, sediments in the oil, extraction loss, extracted crude oil, oil yield, and oil expression efficiency) were the heating temperature of 50 °C and time of 22.5 min for yellowish sesame, whereas those of blackish sesame were 60 °C and 15 min. The determined regression models with the significant terms predicted the crude oil, oil yield, and oil expression efficiency of yellowish sesame with the amounts of 25.496 g, 25.806%, and 66.631% in comparison with blackish sesame with the amounts of 20.449 g, 22.215%, and 49.029%. Yellowish sesame produced higher oil output than blackish sesame under the heating conditions. Similarities of absorption peaks were observed which can be used to assess adulteration and oil quality parameters. Full article
(This article belongs to the Section Food Engineering and Technology)
Show Figures

Figure 1

14 pages, 327 KB  
Article
Biochemical Composition of Pumpkin Seeds and Seed By-Products
by Nikolaos Polyzos, Ângela Fernandes, Ricardo C. Calhelha, Jovana Petrović, Marina Soković, Isabel C. F. R. Ferreira, Lillian Barros and Spyridon A. Petropoulos
Plants 2024, 13(17), 2395; https://doi.org/10.3390/plants13172395 - 27 Aug 2024
Cited by 9 | Viewed by 6805
Abstract
The goal of the current work was to assess the nutritional profile and phytochemical properties of cucurbit (Cucurbita maxima L.) seeds, seed oils and oil extraction by-products (e.g., seed-cakes). Our results suggest a high nutritional value for both cucurbit seeds and cucurbit [...] Read more.
The goal of the current work was to assess the nutritional profile and phytochemical properties of cucurbit (Cucurbita maxima L.) seeds, seed oils and oil extraction by-products (e.g., seed-cakes). Our results suggest a high nutritional value for both cucurbit seeds and cucurbit cake, while γ-tocopherol was the richest compound, with traces of α, β and δ-tocopherol compounds also detected. Regarding the free sugars composition, there were recorded significant statistical differences between seeds and cucurbit seed-cake, although sucrose content was the highest for both matrices (1.97 and 2.9 g/100 g dw, respectively) followed by trehalose (0.26 and 0.25 g/100 g dw, respectively), fructose (0.20 and 0.34 g/100 g dw, respectively) and glucose (0.21 and 0.19 g/100 g dw, respectively). In terms of organic acids, oxalic was the only compound detected in seed cake (0.006 g/100 g dw), while in seeds only traces of oxalic and malic acid were detected. In relation to fatty acid composition, linolenic acid was the most abundant compound in both seeds and seed-cake (43.9% and 41.5%, respectively), while oleic acid (37.0% and 36.3%, respectively), palmitic acid (12.2% and 14.0%, respectively) and stearic acid (4.83% and 5.46%, respectively) were detected in lesser amounts. Moreover, polyunsaturated fatty acids (PUFA) were the major fatty acids class (44.5% and 42.3% in seeds and seed cake, respectively) compared to monounsaturated fatty acids (MUFA; 37.4% and 36.7% in seeds and seed cake, respectively) and saturated fatty acids (SFA; 18.1% and 21.0% in seeds and seed cake, respectively) which were detected in lower amounts. Furthermore, the tested extracts did not present any cytotoxic or hepatoxic activity at the maximum tested concentration (GI50 > 400 μg/mL), while seed oils presented satisfactory antimicrobial properties with inhibitory activity against the studied bacterial strains and fungi. Our findings provide valuable knowledge regarding the exploitation of pumpkin seeds and seed by-products as valuable natural sources of nutrients and phytochemicals in the food industry sector within the context of a circular economy. Full article
(This article belongs to the Section Phytochemistry)
16 pages, 2341 KB  
Article
Assessment of Quality and Efficiency of Cold-Pressed Oil from Selected Oilseeds
by Abraham Kabutey, David Herák and Čestmír Mizera
Foods 2023, 12(19), 3636; https://doi.org/10.3390/foods12193636 - 30 Sep 2023
Cited by 15 | Viewed by 6444
Abstract
In this present study, an oil press was used to process 200 g each of sesame, pumpkin, flax, milk thistle, hemp and cumin oilseeds in order to evaluate the amount of oil yield, seedcake, sediments and material losses (oil and sediments). Sesame produced [...] Read more.
In this present study, an oil press was used to process 200 g each of sesame, pumpkin, flax, milk thistle, hemp and cumin oilseeds in order to evaluate the amount of oil yield, seedcake, sediments and material losses (oil and sediments). Sesame produced the highest oil yield at 30.60 ± 1.69%, followed by flax (27.73 ± 0.52%), hemp (20.31 ± 0.11%), milk thistle (14.46 ± 0.51%) and pumpkin (13.37 ± 0.35%). Cumin seeds produced the lowest oil yield at 3.46 ± 0.15%. The percentage of sediments in the oil, seedcake and material losses for sesame were 5.15 ± 0.09%, 60.99 ± 0.04% and 3.27 ± 1.56%. Sediments in the oil decreased over longer storage periods, thereby increasing the percentage oil yield. Pumpkin oil had the highest peroxide value at 18.45 ± 0.53 meq O2/kg oil, an acid value of 11.21 ± 0.24 mg KOH/g oil, free fatty acid content of 5.60 ± 0.12 mg KOH/g oil and iodine value of 14.49 ± 0.16 g l/100 g. The univariate ANOVA of the quality parameters against the oilseed type was statistically significant (p-value < 0.05), except for the iodine value, which was not statistically significant (p-value > 0.05). Future studies should analyze the temperature generation, oil recovery efficiency, percentage of residual oil in the seedcake and specific energy consumption of different oilseeds processed using small-large scale presses. Full article
(This article belongs to the Section Food Engineering and Technology)
Show Figures

Figure 1

15 pages, 301 KB  
Article
Morula Kernel Cake (Sclerocarya birrea) as a Protein Source in Diets of Finishing Tswana Lambs: Effects on Nutrient Digestibility, Growth, Meat Quality, and Gross Margin
by Leonard Baleseng, Othusitse Madibela, Christopher Tsopito, Molebeledi Mareko, Wame Boitumelo and Moagi Letso
Animals 2023, 13(8), 1387; https://doi.org/10.3390/ani13081387 - 18 Apr 2023
Cited by 4 | Viewed by 2176
Abstract
A trial evaluated growth performance, carcass characteristics, meat quality, and economic returns of fattened lambs fed on diets containing different protein sources. Six castrated male Tswana lambs per treatment were used in a completely randomised design (CRD) trial and fed on complete diets [...] Read more.
A trial evaluated growth performance, carcass characteristics, meat quality, and economic returns of fattened lambs fed on diets containing different protein sources. Six castrated male Tswana lambs per treatment were used in a completely randomised design (CRD) trial and fed on complete diets containing Lucerne (CD; commercial diet), morula kernel cake (MKC), or sunflower seedcake (SC) as protein sources over a 103-day experiment. No significant differences (p > 0.05) were observed in the dry matter intake, final body weight, average daily gain, and FCR. This was attributable to all the diets providing an equal supply of nutrients to the lambs. Meat quality attributes and proximate composition values were similar (p > 0.05) across the treatments. Longissimus dorsi muscle organoleptic quality did not differ (p > 0.05) across the treatments. The gross margin analysis was significantly greater (p < 0.05) when feeding SCD than feeding CD and was intermediate for lambs fed MKCD. Morula kernel cake (Sclerocarya birrea) can be used for fattening lambs when common protein sources are either not available or expensive. Full article
17 pages, 1671 KB  
Article
Determination of Maximum Oil Yield, Quality Indicators and Absorbance Spectra of Hulled Sunflower Seeds Oil Extraction under Axial Loading
by Abraham Kabutey, David Herák and Čestmír Mizera
Foods 2022, 11(18), 2866; https://doi.org/10.3390/foods11182866 - 16 Sep 2022
Cited by 12 | Viewed by 4260
Abstract
The present study aims to estimate the maximum oil yield of hulled sunflower seed samples in a uniaxial process under a load of 40 kN and speed of 4 mm/min. The oil samples were assessed for their quality parameters and spectra curves within [...] Read more.
The present study aims to estimate the maximum oil yield of hulled sunflower seed samples in a uniaxial process under a load of 40 kN and speed of 4 mm/min. The oil samples were assessed for their quality parameters and spectra curves within the wavelength range of 325–600 nm. The results show that heating temperatures in the range of 40 °C to 80 °C increased the oil output; however, a maximum oil yield of 48.869 ± 6.023% with a minimum energy of 533.709 ± 65.644 J at the fifth repeated pressing was obtained from the unheated sample compared to the heated samples. The peroxide values ranged from 6.898 ± 0.144 to 7.290 ± 0.507 meq O2/kg, acid values from 1.043 ± 0.166 to 1.998 ± 0.276 mg KOH/g oil and free fatty acid values from 0.521 ± 0.083 to 0.999 ± 0.138 mg KOH/g oil, which were within the recommended quality threshold. There were significant spectral differences among the oil samples. A single absorbance peak was observed at 350 nm for all oil samples, indicating low levels of pigment molecules in the oil. The study revealed the need for repeated pressings to recover the considerable residual oil remaining in the seedcake after the first pressing. Full article
(This article belongs to the Section Food Engineering and Technology)
Show Figures

Figure 1

10 pages, 2641 KB  
Article
Chemical Composition of Pinus nigra Arn. Unripe Seeds from Bulgaria
by Hafize Fidan, Stanko Stankov, Magdalena Stoyanova, Zhana Petkova, Nadezhda Petkova, Albena Stoyanova, Sezai Ercisli, Ravish Choudhary and Rohini Karunakaran
Plants 2022, 11(3), 245; https://doi.org/10.3390/plants11030245 - 18 Jan 2022
Cited by 3 | Viewed by 2952
Abstract
The present paper aims to investigate the chemical composition of unripe black pine seeds obtained from Bulgaria. The lipid fraction was evaluated in unripe seeds, and the cellulose, total carbohydrates, glucose, fructose, and sucrose were evaluated in seedcakes. The major fatty acid identified [...] Read more.
The present paper aims to investigate the chemical composition of unripe black pine seeds obtained from Bulgaria. The lipid fraction was evaluated in unripe seeds, and the cellulose, total carbohydrates, glucose, fructose, and sucrose were evaluated in seedcakes. The major fatty acid identified in the Pinus nigra seed oil was unsaturated linoleic acid (44.2%), followed by the saturated palmitic acid (31.2%). The amount of unsaturated pinolenic (10.5%) and oleic acids (8.8%) was also rather high. The amino acid composition of the protein fraction of seedcakes was also determined. The amino acid composition was represented mainly by asparagine (3.92 mg/g), serine (3.79 mg/g), alanine (3.65 mg/g), arginine (3.32 mg/g), phenylalanine (2.98 mg/g), lysine (2.85 mg/g), proline (2.69 g/mg), tryptophan (2.44 mg/g), valine (2.33 mg/g), isoleucine (2.28 mg/g), and tyrosine (2.05 mg/g). The mineral content (N, P, K, Mg, Na, and Cu) of the seedcakes was evaluated, as the amount of K (8048.00 mg/kg) and Mg (172.99 mg/kg) were the highest in the samples. These findings emphasized the potential use of the unripe black pine seeds in different areas due to their chemical importance and values. Full article
(This article belongs to the Section Phytochemistry)
Show Figures

Figure 1

12 pages, 274 KB  
Article
Chemical and Biological Evaluation of the Oil and Seedcake from Seeds of a Greek Cardoon Cultivar as Potential Functional Vegetable Oil. Comparison with Sesame, Flaxseed and Extra Virgin Olive Oils
by Elisavet-Foteini Varvouni, Konstantia Graikou, Olga Gortzi, Antigoni Cheilari, Nektarios Aligiannis and Ioanna Chinou
Foods 2021, 10(11), 2665; https://doi.org/10.3390/foods10112665 - 2 Nov 2021
Cited by 9 | Viewed by 3367
Abstract
Cynara cardunculus L. is a plant of the Mediterranean basin, known since antiquity as a food and for its therapeutic properties. The needs of the 21st century for the utilization of agricultural waste has led to the study of the seed oil of [...] Read more.
Cynara cardunculus L. is a plant of the Mediterranean basin, known since antiquity as a food and for its therapeutic properties. The needs of the 21st century for the utilization of agricultural waste has led to the study of the seed oil of a Greek cultivar of Cynaracardunculus (GCCC) as potential nutritional oil, as large amounts of cardoon seeds are discarded. The sterol and fatty acid profile of cold-pressed seed oil was examined by gas chromatography-mass spectrometry GC-MS and compared with that of solvent extraction. Total phenolic content was determined and compared with well-known and widely appreciated edible vegetable oils; while, additionally, the total lignan content and nutritional value of cold-pressed oil revealed it as a potential dietary candidate. Furthermore, the seedcake (residue of cold-pressed oil extraction) has been studied exerting it as a good source of phenolics. Both GCCC oil and seedcake were tested for their antioxidant and enzyme inhibitory activities exhibiting higher activity compared to the sesame, flaxseed and extra virgin olive oils. According to the results, Cynara seed oil was shown to be a rich source of ω-6/-9 fatty acids and phenolics, highlighting, indicating that it could be a promising health-promoting vegetable oil, while the seedcake was revealed as a rich source of bioactive compounds. Full article
Show Figures

Graphical abstract

11 pages, 1931 KB  
Article
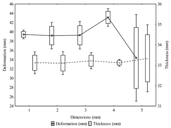
Estimation of Energy Requirement of Jatropha Curcas L. Seedcake Briquettes under Compression Loading
by Tatiana Ivanova, Abraham Kabutey, David Herák and Cimen Demirel
Energies 2018, 11(8), 1980; https://doi.org/10.3390/en11081980 - 30 Jul 2018
Cited by 5 | Viewed by 2575
Abstract
The energy requirement of Jatropha curcas L. seedcake of different dimensions (4.5, 5.6, 6.7, 8 and 10 mm) for briquette compaction was investigated under compression loading (100, 200, 300 and 400 kN) using the universal compression-testing machine. The parameters measured and/or calculated were [...] Read more.
The energy requirement of Jatropha curcas L. seedcake of different dimensions (4.5, 5.6, 6.7, 8 and 10 mm) for briquette compaction was investigated under compression loading (100, 200, 300 and 400 kN) using the universal compression-testing machine. The parameters measured and/or calculated were the deformation, thickness, numerical energy and theoretical energy. The statistical analysis results show that compression forces had a significant effect (P-value < 0.05) on the amounts of deformation and thickness, while that of the dimensions of the sample did not. The increase in compression forces increased the numerical energy while that of samples dimensions caused a decrease. Using the tangent curve mathematical model; the force coefficient of mechanical behaviour (kN), the deformation coefficient of mechanical behaviour and the fitting curve function exponent were determined for describing the experimental dependency between the force and deformation curves as well as the numerical energies of densified jatropha seedcake briquettes. Full article
(This article belongs to the Section L: Energy Sources)
Show Figures

Figure 1

Back to TopTop