Sign in to use this feature.

Years

Between: -

Subjects

remove_circle_outline
remove_circle_outline
remove_circle_outline
remove_circle_outline
remove_circle_outline
remove_circle_outline
remove_circle_outline
remove_circle_outline
remove_circle_outline

Journals

Article Types

Countries / Regions

remove_circle_outline
remove_circle_outline
remove_circle_outline
remove_circle_outline

Search Results (202)

Search Parameters:
Keywords = secular trend

Order results
Result details
Results per page
Select all
Export citation of selected articles as:
25 pages, 981 KB  
Article
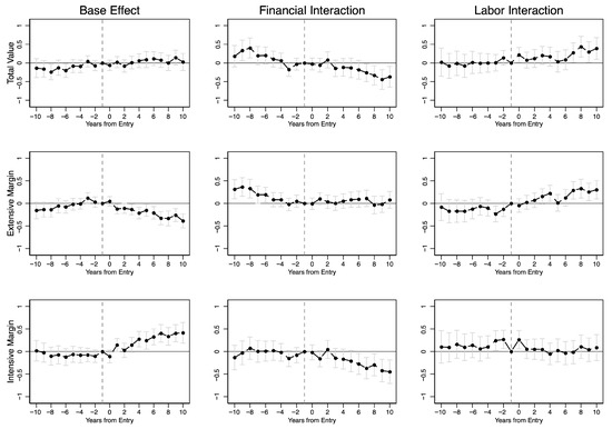
Modeling the Timing of Trade Adjustment: A Piecewise Linear Trend Approach with Financial and Labor Frictions
by Jae Wook Jung
Mathematics 2026, 14(5), 858; https://doi.org/10.3390/math14050858 - 3 Mar 2026
Viewed by 214
Abstract
This paper studies the dynamic adjustment of bilateral trade following Economic Integration Agreements (EIAs) and examines how financial development and labor market rigidity moderate the timing of trade responses. We approximate the event time adjustment path using a Piecewise Linear Trend (PLT) specification [...] Read more.
This paper studies the dynamic adjustment of bilateral trade following Economic Integration Agreements (EIAs) and examines how financial development and labor market rigidity moderate the timing of trade responses. We approximate the event time adjustment path using a Piecewise Linear Trend (PLT) specification that relaxes global linearity restrictions common in dynamic gravity models. Event study evidence reveals heterogeneous pre-entry and post-entry slopes, particularly at the product-margin level. Split joint pre-trend tests show that aggregate trade satisfies long-run parallel trends, while product-level margins exhibit significant secular restructuring prior to implementation, motivating explicit slope parameterization. Within the PLT framework, financial development is associated with short-run anticipation effects, whereas labor rigidity corresponds to delayed post-entry adjustments. Industry-level interactions indicate that these dynamics vary systematically with sectoral characteristics. The results remain robust to zero-inclusive estimators, alternative institutional proxies, and alternative event time discretizations. Overall, the findings demonstrate that institutional conditions shape the temporal profile of trade adjustment and that flexible slope modeling is essential for identifying dynamic responses to trade liberalization. Full article
Show Figures

Figure 1

8 pages, 1301 KB  
Article
Evidence from Outcomes: Gender-Neutral 2vHPV Vaccination at Moderate Coverage Drives Rapid Depletion of HPV16/18 Among Vaccinated and Unvaccinated Women
by Matti Lehtinen, Ville N. Pimenoff, Tiina Eriksson, Camilla Lagheden, Anna Söderlund-Strand, Heljä-Marja Surcel and Joakim Dillner
Viruses 2026, 18(1), 99; https://doi.org/10.3390/v18010099 - 12 Jan 2026
Viewed by 438
Abstract
Human papillomavirus (HPV) vaccination may eventually eradicate oncogenic vaccine-targeted HPVs but only with a strategy that also protects unvaccinated individuals. We compared the impact of gender-neutral and girls-only vaccination strategies on the indirect and direct protection of unvaccinated and vaccinated young women against [...] Read more.
Human papillomavirus (HPV) vaccination may eventually eradicate oncogenic vaccine-targeted HPVs but only with a strategy that also protects unvaccinated individuals. We compared the impact of gender-neutral and girls-only vaccination strategies on the indirect and direct protection of unvaccinated and vaccinated young women against HPV16/18 infection using HPV16/18 seropositivity and PCR positivity 3–7 years post vaccination as the outcome measure. A total of 33 Finnish communities were randomized to one of three vaccination strategies: bivalent gender-neutral HPV vaccination (Arm A), girls-only HPV vaccination (Arm B), or control hepatitis B vaccination (Arm C). All individuals born between 1992 and 1995 and residing in these communities (n = 80,272) were invited to participate. Overall, 11,662 males and 20,513 females consented, corresponding to vaccination coverages of 25% and 45%, respectively, in 2007–2009. Between 2010 and 2014, 11,396 cervical samples were collected from 18-year-old participants and subjected to high-throughput PCR-based HPV genotyping. In addition, serum samples were obtained from 8022 unvaccinated women under 23 years of age residing in Arm A (n = 2657), Arm B (n = 2691), or Arm C (n = 2674) communities during the pre-vaccination (2005–2010) and post-vaccination (2011–2016) periods. To assess indirect vaccine effects using PCR and serological outcomes in unvaccinated women, we compared reductions in HPV16/18 prevalence from baseline within the gender-neutral and girls-only vaccination arms, using the control arm as a reference. A significant decrease in seroprevalence between the pre- and post-vaccination periods was detected in the gender-neutral communities for both HPV16 (seroprevalence ratio = 0.64) and HPV18 (0.72), whereas no comparable reductions were observed in the girls-only or control communities. In contrast, a significant reduction in HPV18 PCR-based prevalence from baseline to the post-vaccination period was observed in both the gender-neutral (0.32) and girls-only (0.61) communities. However, after accounting for ratios of seroprevalence rations for secular trends, the corresponding decrease in HPV18 seroprevalence was no longer statistically significant. Vaccine efficacy (VE) in Arm A or Arm B versus Arm C of vaccinated women measured the direct protection of vaccinated women by vaccination strategy. HPV16/18 VEs varied between 89% and 96% with some indication of herd effect against HPV18. Robust effectiveness of vaccination against PCR-confirmed cervical HPV16/18 infections, along with rapid indirect protection against HPV16/18 and HPV18 infections, was evident even with vaccination reaching only 25% and 45% coverage. Our results suggest that vaccine efficacy and herd effect induced by gender-neutral 2vHPV vaccination sets the stage for comprehensive HPV eradication, including the unvaccinated in the vaccinated communities. Full article
(This article belongs to the Special Issue HPV-Associated Cancers 2026)
Show Figures

Figure 1

61 pages, 2889 KB  
Review
Understanding the Secular Decline in Testosterone: Mechanisms, Consequences, and Clinical Perspectives
by Óscar Fraile-Martínez, Miguel A. Ortega and Cielo García-Montero
Int. J. Mol. Sci. 2026, 27(2), 692; https://doi.org/10.3390/ijms27020692 - 9 Jan 2026
Viewed by 3594
Abstract
Testosterone is a key regulator of male and female physiology, influencing reproductive function, muscle and bone anabolism, metabolic homeostasis, and psychological well-being. Growing evidence indicates a secular, age-independent decline in testosterone levels across populations, a trend associated with reduced fertility, metabolic and cardiovascular [...] Read more.
Testosterone is a key regulator of male and female physiology, influencing reproductive function, muscle and bone anabolism, metabolic homeostasis, and psychological well-being. Growing evidence indicates a secular, age-independent decline in testosterone levels across populations, a trend associated with reduced fertility, metabolic and cardiovascular dysfunction, mood disturbances, and impaired quality of life. While aging and genetic factors play a role, a wide range of modifiable influences—including obesity, physical inactivity, unhealthy dietary patterns, chronic stress, poor sleep, and exposure to endocrine-disrupting chemicals or other environmental stressors—appear to contribute substantially to this phenomenon. This narrative review synthesizes the evidence on testosterone’s physiological significance, the causes and consequences of its secular decline, and evaluates potential interventions, emphasizing lifestyle and environmental strategies (physical activity, nutrition, weight management, sleep, stress reduction, sunlight exposure) as well as pharmacological and nutraceutical options. Overall, the contemporary testosterone decline represents a complex, multifactorial public health issue requiring integrated approaches to preserve hormonal and systemic health. Full article
(This article belongs to the Special Issue Molecular Research on Reproductive Physiology and Endocrinology)
Show Figures

Figure 1

31 pages, 452 KB  
Article
The Second Stage of the “Religious Revival” in Russia: How to Evaluate It from the Perspective of the Secularization Debate
by Dmitry Uzlaner
Religions 2025, 16(12), 1582; https://doi.org/10.3390/rel16121582 - 16 Dec 2025
Viewed by 1529
Abstract
This article focuses on the religious processes in Russia over the last fifteen years. The author has two objectives: on the one hand, to describe processes that can be called the second stage of the “religious revival” in contemporary Russia, and on the [...] Read more.
This article focuses on the religious processes in Russia over the last fifteen years. The author has two objectives: on the one hand, to describe processes that can be called the second stage of the “religious revival” in contemporary Russia, and on the other hand, to place them within the context of theoretical discussions on secularization/desecularization. To achieve this goal, this article first examines the question of what secularization and, accordingly, desecularization are. Next, it describes the main trends in Russia’s religious life since 2012 at the macro-, meso-, and micro-levels. Then, the author examines numerous academic strategies aimed at “explaining religion away,” that is, proving that there has been no increase in the social significance of religion. Among these strategies, the following are considered in detail: (a) mixing empirical statements and value judgments; (b) instrumentalization of religion; and (c) religion finding “other work” to do. Finally, this article offers both a general evaluation of the Russian case from the perspective of secularization theory and broader reflections on the theory itself—for instance, it examines whether the theory is, in principle, falsifiable. Full article
(This article belongs to the Special Issue Europe, Religion and Secularization: Trends, Paradoxes and Dilemmas)
29 pages, 8075 KB  
Article
Long-Term Temperature and Precipitation Trends Across South America, Urban Centers, and Brazilian Biomes
by José Roberto Rozante, Gabriela Rozante and Iracema Fonseca de Albuquerque Cavalcanti
Atmosphere 2025, 16(12), 1332; https://doi.org/10.3390/atmos16121332 - 25 Nov 2025
Viewed by 1645
Abstract
This study examines long-term trends in maximum (Tmax) and minimum (Tmin) near-surface air temperatures and precipitation across South America, focusing on Brazilian biomes and national capitals, using ERA5 reanalysis data for 1979–2024. To isolate the underlying climate signal, seasonal cycles were removed using [...] Read more.
This study examines long-term trends in maximum (Tmax) and minimum (Tmin) near-surface air temperatures and precipitation across South America, focusing on Brazilian biomes and national capitals, using ERA5 reanalysis data for 1979–2024. To isolate the underlying climate signal, seasonal cycles were removed using Seasonal-Trend decomposition based on Loess (STL), which effectively separates short-term variability from long-term trends. Temperature trends were quantified using ordinary least squares (OLS) regression, allowing consistent estimation of linear changes over time, while precipitation trends were assessed using the non-parametric Mann–Kendall test combined with Theil–Sen slope estimation, a robust approach that minimizes the influence of outliers and serial correlation in hydroclimatic data. Results indicate widespread but spatially heterogeneous warming, with Tmax increasing faster than Tmin, consistent with reduced cloudiness and evaporative cooling. A meridional precipitation dipole is evident, with drying across the Cerrado, Pantanal, Caatinga, and Pampa, contrasted by rainfall increases in northern South America linked to ITCZ shifts. The Pantanal emerges as the most vulnerable biome, showing strong warming (+0.51 °C decade−1) and the steepest rainfall decline (−10.45 mm decade−1). Satellite-based fire detections (2013–2024) reveal rising wildfire activity in the Amazon, Pantanal, and Cerrado, aligning with the “hotter and drier” climate regime. In the capitals, persistent Tmax increases suggest enhanced urban heat island effects, with implications for public health and energy demand. Although ERA5 provides coherent spatial coverage, regional biases and sparse in situ observations introduce uncertainties, particularly in the Amazon and Andes, these do not alter the principal finding that the magnitude and persistence of the 1979–2024 warming lie well above the range of interdecadal variability typically associated with the Atlantic Multidecadal Oscillation (AMO) and the Pacific Decadal Oscillation (PDO). This provides strong evidence that the recent warming is not cyclical but reflects the externally forced secular warming signal. These findings underscore growing fire risk, ecosystem stress, and urban vulnerability, highlighting the urgency of targeted adaptation and resilience strategies under accelerating climate change. Full article
(This article belongs to the Special Issue Hydroclimate Extremes Under Climate Change)
Show Figures

Figure 1

22 pages, 381 KB  
Article
Beyond Belief: Understanding the Demographics and Dynamics of South Korea’s Religious “Nones”
by Andrew Eungi Kim, Wang Mo Seo and Gisun Kang
Religions 2025, 16(10), 1317; https://doi.org/10.3390/rel16101317 - 17 Oct 2025
Viewed by 4650
Abstract
Religious “nones” is currently used in academia as a category referring to individuals who do not have a specific religious belief or do not belong to a specific religious organization. The increase in the number of religious nones is a distinct religious, cultural, [...] Read more.
Religious “nones” is currently used in academia as a category referring to individuals who do not have a specific religious belief or do not belong to a specific religious organization. The increase in the number of religious nones is a distinct religious, cultural, and social trend not only in the West but also around the world, and South Korea is no exception. The following questions arise: What are the trends of religious nones in South Korea? What are their characteristics? What are the historical, cultural and social factors for the large number of the irreligious in the country? This paper shows that South Korea boasts one of the highest percentages of the population with no religious affiliation in the world. The paper also finds that religious nones in the country tend to be “spiritual but not religious”, i.e., they have the characteristic of pursuing spirituality by practicing their faith in their own way outside of the institutional system. As for the factors for the high rate of religious nones, the paper argues that the phenomenon of irreligion in South Korea has a long history, e.g., suppression of shamanism and Buddhism during the Joseon dynasty (1392–1910), and that the popularity of shamanism and Confucianism, which are often seen more as spiritual practice and a philosophical system, respectively, has also been a contributing attribute. The rapid economic development, improved living standard, high education attainment level, and the rise of leisure culture are other factors for the rise in religious nones in Korea. The paper closes by reflecting on the implications of increasing religious nones for the concept of secularization. Full article
(This article belongs to the Section Religions and Humanities/Philosophies)
15 pages, 328 KB  
Review
Gray Divorce in the Shadow of Modernization: Changing Family Dynamics in Türkiye
by Selcuk Aydin, Abdurrahim Sahin and Muhammed Bahadir
Soc. Sci. 2025, 14(10), 615; https://doi.org/10.3390/socsci14100615 - 17 Oct 2025
Viewed by 4065
Abstract
Gray divorce, defined as the dissolution of marriages among individuals aged 50 and above, has become an increasingly significant issue in Türkiye. Official statistics in Türkiye show that between 2001 and 2024, divorces among individuals aged 50 and above increased both in absolute [...] Read more.
Gray divorce, defined as the dissolution of marriages among individuals aged 50 and above, has become an increasingly significant issue in Türkiye. Official statistics in Türkiye show that between 2001 and 2024, divorces among individuals aged 50 and above increased both in absolute numbers and as a proportion of total divorces, rising nearly threefold during this period. These increases reflect broader demographic and social changes, such as population ageing, longer life expectancy, changing expectations of marriage, and shifting gender norms. Using sociological literature on modernization and family change, as well as official statistical data, this review synthesises existing knowledge and situates gray divorce within global debates on family transformation. Findings from gray divorce studies indicate that women’s increasing autonomy, life cycle transitions such as retirement or empty nest experiences, and greater societal acceptance of divorce contribute to this trend. Furthermore, gray divorces have broad implications for intergenerational relationships, care responsibilities, and social policies. Specifically in Türkiye, regional differences show that divorce among the elderly is more prevalent in western urbanized provinces, where individualism and secular values prevail, and significantly less common in eastern regions, where traditional and religious norms are stronger. The increasing prevalence of this phenomenon highlights the need for more empirical research and policy responses that are appropriate to Türkiye’s demographic, regional, and cultural transformations. Full article
(This article belongs to the Section Family Studies)
Show Figures

Figure 1

28 pages, 348 KB  
Article
Transmission and Transformation of Religion Among Muslims in Canada and West Germany
by Alyshea Cummins and Linda Hennig
Religions 2025, 16(10), 1293; https://doi.org/10.3390/rel16101293 - 11 Oct 2025
Viewed by 3548
Abstract
In many countries across the Western world, religion is in decline, with public secular environments increasingly outweighing family-based religious socialization. Canada and West Germany exemplify this trend, where younger generations often perceive religion as something to be justified within predominantly nonreligious peer groups. [...] Read more.
In many countries across the Western world, religion is in decline, with public secular environments increasingly outweighing family-based religious socialization. Canada and West Germany exemplify this trend, where younger generations often perceive religion as something to be justified within predominantly nonreligious peer groups. Muslims, as a religious minority, display greater resilience to secularization, yet their religiosity is also subject to transformation. Drawing on narrative family interviews spanning two to three generations, this study examines the conditions shaping religious continuity and discontinuity within Muslim families in Canada and West Germany. Focusing on second- and third-generation Muslims, we find that practicing religion with children is the most significant factor in successful transmission, especially when rituals are woven into daily life. Yet family practice alone is insufficient: embedding children in faith-based community networks and fostering open dialogue about religion prove crucial for sustaining confidence, belonging, and adaptability. Religious transmission also intersects with ethnic and cultural identity, though ethnic ties alone do not guarantee continuity. Ultimately, we observe that transmission involves transformation: parents are changing the way they approach religion, placing a greater emphasis on their children making their own choices. Muslim families, like other faith communities, shift toward more individualized and reflective forms of religiosity, negotiating their identities within secular and often critical societal contexts. Full article
27 pages, 1734 KB  
Article
Comparative Photometry of the Quiet Quasar PDS 456 and the Radio-Loud Blazar 3C 273
by Alberto Silva Betzler, Ingrid dos Santos Delfino, Agábio Brasil dos Santos, Roberto Mendes Dias and Orahcio Felicio de Sousa
Galaxies 2025, 13(5), 110; https://doi.org/10.3390/galaxies13050110 - 15 Sep 2025
Viewed by 1329
Abstract
A comparative analysis of the photometric variability of the blazar 3C 273 and the quasar PDS 456 using multi-band data from ground- and space-based platforms (2015–2025) reveals contrasting behaviors. For 3C 273, a statistically significant secular dimming was detected in the ATLASc [...] Read more.
A comparative analysis of the photometric variability of the blazar 3C 273 and the quasar PDS 456 using multi-band data from ground- and space-based platforms (2015–2025) reveals contrasting behaviors. For 3C 273, a statistically significant secular dimming was detected in the ATLASc-band light curve (5.6±0.2)×104magday1 and confirmed by Johnson–Cousins V-band photometry. Ten optical flares were identified, two coinciding with Fermi gamma-ray enhancements, suggesting a synchrotron origin linked to jet activity. A significant bluer-when-brighter trend (ρ=0.54) was found relative to the o-band, and several color extrema align with gamma-ray activity, reinforcing the nonthermal interpretation. In contrast, PDS 456 exhibits a statistically significant secular brightening in the o-band (3.1±0.2)×105magday1 and 75 optical flares, four coinciding with UV flares observed by Swift/UVOT. The co color index displays a non-Gaussian distribution with asymmetric reddening and blueing episodes. An extreme reddening event aligns with a strong UV flare, suggesting transient inner-disk heating. These results indicate jet-dominated variability in 3C 273 and disk-driven variability in PDS 456, highlighting distinct physical mechanisms in radio-loud versus radio-quiet active galactic nuclei. Full article
Show Figures

Figure 1

13 pages, 720 KB  
Article
Secular Trends in Height, Body Mass, and BMI Among Polish Boys in Eastern Regions from 1986 to 2021: Cross-Decade Analysis of Nutritional Status
by Agnieszka Wasiluk and Jerzy Saczuk
J. Clin. Med. 2025, 14(16), 5767; https://doi.org/10.3390/jcm14165767 - 14 Aug 2025
Cited by 4 | Viewed by 1308
Abstract
Background/Objectives: Secular trends in children’s physical development are important indicators of population health, nutritional status, and socioeconomic conditions. This study aimed to assess long-term changes in the height, weight, Body Mass Index (BMI), and nutritional status of boys from Eastern Poland between 1986 [...] Read more.
Background/Objectives: Secular trends in children’s physical development are important indicators of population health, nutritional status, and socioeconomic conditions. This study aimed to assess long-term changes in the height, weight, Body Mass Index (BMI), and nutritional status of boys from Eastern Poland between 1986 and 2021. Methods: Anthropometric data were collected from 13,172 boys aged 8, 13, and 17 years at five time points (1986, 1996, 2006, 2016, and 2021). Standardized measurement protocols were used throughout the study. The BMI was calculated and categorized using international cut-off points for age and gender. Secular changes in the height, weight, and Body Mass Index (BMI) were analyzed using an analysis of variance (ANOVA) with post hoc tests, and differences in dietary categories were assessed using chi-square tests (p ≤ 0.05). Results: The height, weight, and BMI increased significantly across all ages. The largest height gain was seen in 13-year-olds, while the greatest BMI increase occurred between 2016 and 2021. The overweight and obesity prevalence rose sharply by an average of 21.70% across age groups, with the normal BMI prevalence decreasing by 18.41%. The underweight prevalence declined, especially among adolescents; however, this likely reflects a general upward shift in the BMI rather than a true nutritional improvement. Conclusions: Strong secular trends are evident, influenced by global and local socioeconomic factors, including Poland’s EU accession and the COVID-19 pandemic. While an increased height suggests better living standards, the rising overweight and obesity rates indicate emerging health risks. Due to the lack of direct lifestyle and socioeconomic data, further research incorporating these factors and the pubertal BMI variability is needed to clarify underlying causes. Targeted regional strategies promoting healthy diets, physical activity, and lifestyles are urgently required. Full article
(This article belongs to the Section Epidemiology & Public Health)
Show Figures

Figure 1

26 pages, 41871 KB  
Article
Episodic vs. Sea Level Rise Coastal Flooding Scenarios at the Urban Scale: Extreme Event Analysis and Adaptation Strategies
by Sebastian Spadotto, Saverio Fracaros, Annelore Bezzi and Giorgio Fontolan
Water 2025, 17(13), 1991; https://doi.org/10.3390/w17131991 - 2 Jul 2025
Cited by 1 | Viewed by 2397
Abstract
Sea level rise (SLR) and increased urbanisation of coastal areas have exacerbated coastal flood threats, making them even more severe in important cultural sites. In this context, the role of hard coastal defences such as promenades and embankments needs to be carefully assessed. [...] Read more.
Sea level rise (SLR) and increased urbanisation of coastal areas have exacerbated coastal flood threats, making them even more severe in important cultural sites. In this context, the role of hard coastal defences such as promenades and embankments needs to be carefully assessed. Here, a thorough investigation is conducted in Grado, one of the most significant coastal and historical towns in the Friuli Venezia Giulia region of Italy. Grado is located on a barrier island of the homonymous lagoon, the northernmost of the Adriatic Sea, and is prone to flooding from both the sea and the back lagoon. The mean and maximum sea levels from the historical dataset of Venice (1950–2023) were analysed using the Gumbel-type distribution, allowing for the identification of annual extremes based on their respective return periods (RPs). Grado and Trieste sea level datasets (1991–2023) were used to calibrate the statistics of the extremes and to calculate the local component (subsidence) of relative SLR. The research examined the occurrence of annual exceedance of the minimum threshold water level of 110 cm, indicating Grado’s initial notable marine ingression. The study includes a detailed analysis of flood impacts on the urban fabric, categorised into sectors based on the promenade elevation on the lagoon side, the most vulnerable to flooding. Inundated areas were obtained using a high-resolution digital terrain model through a GIS-based technique, assessing both the magnitude and exposure of the urban environment to flood risk due to storm surges, also considering relative SLR projections for 2050 and 2100. Currently, approximately 42% of Grado’s inhabited area is inundated with a sea level threshold value of 151 cm, which occurs during surge episodes with a 30-year RP. By 2100, with an optimistic forecast (SSP1-2.6) of local SLR of around +53 cm, the same threshold will be met with a surge of ca. 100 cm, which occurs once a year. Thus, extreme levels linked with more catastrophic events with current secular RPs will be achieved with a multi-year frequency, inundating more than 60% of the urbanized area. Grado, like Venice, exemplifies trends that may impact other coastal regions and historically significant towns of national importance. As a result, the generated simulations, as well as detailed analyses of urban sectors where coastal flooding may occur, are critical for medium- to long-term urban planning aimed at adopting proper adaptation measures. Full article
(This article belongs to the Special Issue Urban Flood Frequency Analysis and Risk Assessment)
Show Figures

Figure 1

18 pages, 1108 KB  
Article
Three-Phase-Lag Effect on Rayleigh Waves in a Generalized Thermoelastic Diffusion Medium with Modified Couple Stress
by Emad K. Jaradat, Sayed M. Abo-Dahab, Rajneesh Kumar and Eslam S. Elidy
Crystals 2025, 15(7), 588; https://doi.org/10.3390/cryst15070588 - 22 Jun 2025
Cited by 2 | Viewed by 888
Abstract
This study examines the behavior of Rayleigh waves propagating through a homogeneous, isotropic material, analyzed using a three-phase-lag thermoelastic diffusion framework enhanced by modified couple stress theory. The mathematical model integrates coupled thermoelastic and diffusive effects, incorporating phase-lags associated with (1) temperature gradients, [...] Read more.
This study examines the behavior of Rayleigh waves propagating through a homogeneous, isotropic material, analyzed using a three-phase-lag thermoelastic diffusion framework enhanced by modified couple stress theory. The mathematical model integrates coupled thermoelastic and diffusive effects, incorporating phase-lags associated with (1) temperature gradients, (2) heat flux, and (3) thermal displacement gradients. By solving the derived governing equations analytically subject to stress-free, thermally insulated, and impermeable boundary conditions, we obtain the characteristic secular equation for Rayleigh wave propagation. Numerical simulations conducted on a copper medium evaluate how the secular equation’s determinant, wave velocity, and attenuation coefficient vary with angular frequency. The analysis focuses particularly on the influence of phase-lag parameters, including thermal and diffusion gradients and relaxation times. Results demonstrated that increasing the displacement gradient phase-lag elevated the secular determinant but reduced wave velocity and attenuation, while temperature gradient phase-lags exhibited the opposite trend. The study highlights the sensitivity of Rayleigh wave propagation to thermo-diffusive coupling and microstructural effects, offering insights applicable to seismic wave analysis, geophysical exploration, and material processing. Comparisons with prior theories underscore the model’s advancement in capturing size-dependent and memory-dependent phenomena. Full article
Show Figures

Figure 1

11 pages, 419 KB  
Article
Olympic Italian Female Water Polo Players: Analysis of Body Size and Body Composition Data over 20 Years
by Giovanni Melchiorri, Marco Bonifazi, Maria Rosaria Squeo, Raffaella Spada, Virginia Tancredi and Valerio Viero
J. Funct. Morphol. Kinesiol. 2025, 10(2), 210; https://doi.org/10.3390/jfmk10020210 - 4 Jun 2025
Viewed by 1994
Abstract
Background: The variation in the body mass and height of players over time is called the secular trend. It has been analyzed in several team sports, but no similar studies have been conducted on female athletes playing water polo. The aim of this [...] Read more.
Background: The variation in the body mass and height of players over time is called the secular trend. It has been analyzed in several team sports, but no similar studies have been conducted on female athletes playing water polo. The aim of this paper was to study the changes that have occurred in the body size and composition of female water polo athletes participating in the Olympic Games, from their first inclusion in the Olympics (2004) until today. Methods: Data were collected from the female water polo players of the National Team selected to participate in the Olympic Games from 2004 (Athens) until 2024 (Paris) and then analyzed. A total of 93 athletes were assessed, and we analyzed the data for each of the Olympics between 2004 and 2024. To evaluate the anthropometric characteristics of the athletes, their body mass and height were recorded and their Body Mass Index (BMI) was then calculated. The athletes’ Body Composition (BC) was assessed using bioelectrical impedance analysis (BIA). Results: The athletes’ average age decreases over time, while their body mass increases. Their body height does not vary significantly. The BMI confirmed that the athletes were always healthy and with a correct diet. With regard to BC, the Fat Free Mass (FFM) values exhibit an increasing trend. Conclusions: The water polo female athletes participating in the 2024 Olympic Games were younger and have different anthropometric and BC values than the athletes playing in the first women’s water polo tournament at the Olympics in 2004. The most likely explanation for this is the rapid evolution of the young female version of the sport, with improved recruitment and training strategies and greater attention paid to nutrition. Full article
(This article belongs to the Special Issue Sports Nutrition and Body Composition)
Show Figures

Figure 1

24 pages, 8006 KB  
Article
Historical and Future Windstorms in the Northeastern United States
by Sara C. Pryor, Jacob J. Coburn, Fred W. Letson, Xin Zhou, Melissa S. Bukovsky and Rebecca J. Barthelmie
Climate 2025, 13(5), 105; https://doi.org/10.3390/cli13050105 - 20 May 2025
Cited by 1 | Viewed by 1675
Abstract
Large-scale windstorms represent an important atmospheric hazard in the Northeastern US (NE) and are associated with substantial socioeconomic losses. Regional simulations performed with the Weather Research and Forecasting (WRF) model using lateral boundary conditions from three Earth System Models (ESMs: Geophysical Fluid Dynamics [...] Read more.
Large-scale windstorms represent an important atmospheric hazard in the Northeastern US (NE) and are associated with substantial socioeconomic losses. Regional simulations performed with the Weather Research and Forecasting (WRF) model using lateral boundary conditions from three Earth System Models (ESMs: Geophysical Fluid Dynamics Laboratory (GFDL), Hadley Centre Global Environment Model (HadGEM) and Max Planck Institute (MPI)) are used to quantify possible future changes in windstorm characteristics and/or changes in the parent cyclone types responsible for windstorms. WRF nested within MPI ESM best represents important aspects of historical windstorms and the cyclone types responsible for generating windstorms compared with a reference simulation performed with the ERA-Interim reanalysis for the historical climate. The spatial scale and frequency of the largest windstorms in each simulation defined using the greatest extent of exceedance of local 99.9th percentile wind speeds (U > U999) plus 50-year return period wind speeds (U50,RP) do not exhibit secular trends. Projections of extreme wind speeds and windstorm intensity/frequency/geolocation and dominant parent cyclone type associated with windstorms vary markedly across the simulations. Only the MPI nested simulations indicate statistically significant differences in windstorm spatial scale, frequency and intensity over the NE in the future and historical periods. This model chain, which also exhibits the highest fidelity in the historical climate, yields evidence of future increases in 99.9th percentile 10 m height wind speeds, the frequency of simultaneous U > U999 over a substantial fraction (5–25%) of the NE and the frequency of maximum wind speeds above 22.5 ms−1. These geophysical changes, coupled with a projected doubling of population, leads to a projected tripling of a socioeconomic loss index, and hence risk to human systems, from future windstorms. Full article
Show Figures

Graphical abstract

21 pages, 591 KB  
Article
The Ascendancy of Secular Trends in Iran
by Ali Sarihan
Religions 2025, 16(5), 592; https://doi.org/10.3390/rel16050592 - 3 May 2025
Viewed by 10214
Abstract
In 1979, Ayatollah Khomeini spearheaded the Islamic Revolution, toppling the secular Shah regime, a move that resonated with millions of people. Fast-forward to 2025, there has been a notable rise in secularism in Iran, even among 1979’s religious clerics. Currently, 73% of Iranians [...] Read more.
In 1979, Ayatollah Khomeini spearheaded the Islamic Revolution, toppling the secular Shah regime, a move that resonated with millions of people. Fast-forward to 2025, there has been a notable rise in secularism in Iran, even among 1979’s religious clerics. Currently, 73% of Iranians support the idea of separating Islam from the state and advocating for a secular government. As a result, there have been widespread anti-Islamist regime and pro-democratic protests during different periods, such as 2009–2010, 2017–2018, 2019–2020, and 2022–2023. The most recent development in 2024 was the victory of reformist candidate Masoud Pezeshkian in the presidential elections, defeating conservative candidate Saeed Jalili. This study examines the factors driving the rise of secularism, namely globalization, the systemic issues within the Islamic regime, the significant influence of the Iranian diaspora, and the impact of rapid urbanization. Full article
Show Figures

Figure 1

Back to TopTop