Sign in to use this feature.

Years

Between: -

Subjects

remove_circle_outline
remove_circle_outline
remove_circle_outline
remove_circle_outline
remove_circle_outline
remove_circle_outline
remove_circle_outline
remove_circle_outline
remove_circle_outline

Journals

remove_circle_outline
remove_circle_outline
remove_circle_outline
remove_circle_outline
remove_circle_outline
remove_circle_outline
remove_circle_outline
remove_circle_outline
remove_circle_outline
remove_circle_outline
remove_circle_outline
remove_circle_outline
remove_circle_outline
remove_circle_outline
remove_circle_outline
remove_circle_outline

Article Types

Countries / Regions

remove_circle_outline
remove_circle_outline
remove_circle_outline
remove_circle_outline
remove_circle_outline
remove_circle_outline

Search Results (1,760)

Search Parameters:
Keywords = searching path

Order results
Result details
Results per page
Select all
Export citation of selected articles as:
23 pages, 1494 KB  
Article
A Multi-Strategy Enhanced Crested Porcupine Optimizer for Autonomous Vehicle Grid Path Planning
by Weijia Li, Ying Cao, Yahui Shan and Guangyin Jin
Mathematics 2026, 14(7), 1147; https://doi.org/10.3390/math14071147 (registering DOI) - 29 Mar 2026
Abstract
Autonomous ground vehicles operating in structured and semi-structured environments—such as urban roads, parking lots, and logistics warehouses—require fast, reliable, and collision-free path planning on occupancy grid maps. Existing metaheuristic planners often suffer from premature convergence, insufficient population diversity, and poor feasibility maintenance, limiting [...] Read more.
Autonomous ground vehicles operating in structured and semi-structured environments—such as urban roads, parking lots, and logistics warehouses—require fast, reliable, and collision-free path planning on occupancy grid maps. Existing metaheuristic planners often suffer from premature convergence, insufficient population diversity, and poor feasibility maintenance, limiting their deployment in safety-critical vehicular navigation. This paper proposes a multi-strategy enhanced Crested Porcupine Optimizer (MSCPO) that systematically addresses these limitations through four coordinated enhancements: chaos-opposition initialization with feasibility repair to ensure high-quality and diverse initial routes; a diversity-coupled adaptive mechanism for dynamic strategy scheduling throughout the search; elite-guided differential Lévy perturbation to escape local optima and accelerate convergence; and a two-stage safety-aware objective with elite local refinement to sharpen final solution precision. Experiments on four representative grid maps with varying obstacle densities, conducted over 30 independent runs per algorithm, demonstrate that MSCPO consistently outperforms state-of-the-art metaheuristic planners and deterministic baselines in path length, smoothness, and convergence speed. Statistical analysis via Wilcoxon rank-sum and Friedman tests confirms the significance of the improvements. An ablation study quantifies the individual contribution of each enhancement module, confirming the practical effectiveness of MSCPO for autonomous vehicle navigation tasks. Full article
(This article belongs to the Section E2: Control Theory and Mechanics)
34 pages, 1419 KB  
Article
A Structural Decomposition-Based Optimization Approach for the Integrated Scheduling of Blending Processes in Raw Material Yards
by Wenyu Xiong, Feiyang Sun, Xiongzhi Guo, Jiangfei Yin, Chao Sun and Yan Xiong
Appl. Sci. 2026, 16(7), 3256; https://doi.org/10.3390/app16073256 - 27 Mar 2026
Abstract
The blending process in raw material yards is essential for maintaining precise material proportions in downstream production, directly influencing product quality and energy efficiency in industries such as steel and coal processing. However, stringent operational constraints, including silo capacity limits, discharge rates, equipment [...] Read more.
The blending process in raw material yards is essential for maintaining precise material proportions in downstream production, directly influencing product quality and energy efficiency in industries such as steel and coal processing. However, stringent operational constraints, including silo capacity limits, discharge rates, equipment movement delays, and a strict no-empty-silo requirement, result in a strongly coupled, high-dimensional combinatorial scheduling problem. In this paper, we develop a mixed-integer nonlinear programming (MINLP) model to capture the complex dynamics of silo weight and equipment operations. The primary scientific contribution of this work lies in the theoretical discovery of a structural decoupling property within the complex MINLP. We analytically prove that by fixing the replenishment sequence, the intractable global problem can be rigorously decomposed into two subproblems: a linear programming (LP) problem for silo-filling cart scheduling and a shortest-path problem solvable via dynamic programming (DP) for reclaimer scheduling. Leveraging this decomposition, a two-stage metaheuristic algorithm is proposed, combining greedy initialization with multi-round simulated annealing enhanced by local search. Experimental validation using real industrial data demonstrates that the proposed method consistently outperforms the greedy algorithm. Crucially, while the commercial solver Gurobi struggles to converge within a practical 1800 s time limit, our approach yields comparable solution quality in mere seconds. Furthermore, robustness analysis under a 20% demand surge confirms the algorithm’s adaptive capability, maintaining the silo weight stability through re-optimization. This research provides a robust, computationally efficient solution for the blending process in raw material yards. Full article
(This article belongs to the Section Applied Industrial Technologies)
34 pages, 10419 KB  
Article
Path Planning for Autonomous Land-Levelling Operations Based on an Improved ACO
by Wenming Chen, Xinhua Wei, Qi Song, Lei Sun, Yuheng Zheng, Chengqian Jin, Chengliang Liu, Shanlin Yi, Ziyu Zhu, Chenyang Li, Siyuan Xu, Dongdong Du and Shaocen Zhang
Agronomy 2026, 16(7), 700; https://doi.org/10.3390/agronomy16070700 - 26 Mar 2026
Viewed by 113
Abstract
This study proposes a variable-scale optimization strategy for land-levelling path planning to overcome the limitations of conventional traversal-based operations, including poor coordination, insufficient planning, low operational efficiency, and the computational burden associated with large datasets and constrained earthmoving capacity. For large-scale inter-regional earthwork [...] Read more.
This study proposes a variable-scale optimization strategy for land-levelling path planning to overcome the limitations of conventional traversal-based operations, including poor coordination, insufficient planning, low operational efficiency, and the computational burden associated with large datasets and constrained earthmoving capacity. For large-scale inter-regional earthwork balancing, an improved ant colony optimization (IACO) algorithm is developed to generate efficient region to region transfer routes. After verifying that inter-regional earthwork balance satisfies the levelling requirement, a field-wide fine-levelling plan is produced at the grid scale using a hybrid method that integrates an improved A* search with ant colony optimization (FIA*ACO). The proposed framework is evaluated through simulation and field experiments using measurement-based indicators, including the maximum elevation difference and the proportion of points within ±5 cm of the target elevation. Field results show that IACO-based inter-regional planning increases the ±5 cm compliant proportion by 14.18 percentage points and reduces the maximum elevation difference by 0.079 m. Subsequent FIA*ACO-based fine-gridded planning further improves the ±5 cm compliant proportion by 20.82 percentage points and decreases the maximum elevation difference by 0.311 m. Overall, the results demonstrate that inter-regional planning rapidly expands the area meeting levelling standards, while grid-level refinement further enhances levelling quality, validating the effectiveness of the proposed variable-scale strategy for land-levelling path planning. Full article
Show Figures

Figure 1

18 pages, 12077 KB  
Article
ROS 2-Driven Navigation and Sensor Platform for Quadruped Robots
by Vegard Brekke, Erlend Odd Berge, Eirik Dybdahl, Jayant Singh and Ilya Tyapin
Robotics 2026, 15(4), 70; https://doi.org/10.3390/robotics15040070 - 26 Mar 2026
Viewed by 234
Abstract
This paper presents an open-source ROS 2 navigation and sensor platform for quadruped robots, demonstrated on Boston Dynamics Spot in a laboratory environment. The platform integrates SLAM Toolbox for mapping and localisation, Navigation2 with MPPI and Smac Hybrid-A* for global path planning, and [...] Read more.
This paper presents an open-source ROS 2 navigation and sensor platform for quadruped robots, demonstrated on Boston Dynamics Spot in a laboratory environment. The platform integrates SLAM Toolbox for mapping and localisation, Navigation2 with MPPI and Smac Hybrid-A* for global path planning, and a frontier-based autonomous exploration module with practical handling of unreachable frontiers. The paper validates and verifies current, open-source algorithms deployed on off-the-shelf hardware. A greedy wavefront-based frontier selection method is presented that prioritizes Time-to-Closest-Viable-Frontier (TCVF) by terminating the search as soon as a feasible frontier is identified. On a real robot dataset replayed across five goal scenarios, the method reduces median selection latency from 94.31 ms to 51.08 ms (95th percentile: 109.54 ms to 56.99 ms), corresponding to a 1.85-times improvement in compute time compared to a standard implementation. The system also employs Zenoh middleware and Foxglove for remote monitoring and control, enabling flexible, high-bandwidth operation. The platform, including configuration files and launch scripts, is released openly to support future research and deployment on quadruped robots. Full article
(This article belongs to the Section Sensors and Control in Robotics)
Show Figures

Figure 1

22 pages, 2106 KB  
Article
Rigid-Chain Following and Kinematic Response Analysis on Piecewise Non-Smooth Paths: A DGPS-Based Solution Method
by Yaxuan Zhao, Ziheng Li and Hualu Liu
Algorithms 2026, 19(4), 252; https://doi.org/10.3390/a19040252 - 25 Mar 2026
Viewed by 118
Abstract
Rigid-body chain following on piecewise analytic paths is a fundamental subroutine in motion planning and multibody simulation. The problem is nontrivial when only the leader trajectory of the first node is available: enforcing fixed inter-node distances reduces to circle–curve intersection, which is generally [...] Read more.
Rigid-body chain following on piecewise analytic paths is a fundamental subroutine in motion planning and multibody simulation. The problem is nontrivial when only the leader trajectory of the first node is available: enforcing fixed inter-node distances reduces to circle–curve intersection, which is generally multi-valued and becomes particularly challenging near non-smooth junctions. We present a Dichotomy Geometric Path Search (DGPS) framework that converts each constraint into a one-dimensional root-finding task and resolves the branch selection through no-backtracking ordering: at every time step, the admissible solution for the current node is the nearest feasible root in the past relative to its immediately preceding node. DGPS combines backward bracketing with bisection, achieving robust convergence. Compared with the inverse Jacobian method, which maps end-effector velocities to joint velocities via explicit inversion, the proposed approach avoids Jacobian inversion and globally coupled nonlinear solves. We further characterize the local structure of the zero set and establish monotonicity/uniqueness conditions that justify stable root selection across piecewise junctions. Extensive tests on representative piecewise trajectories (line–arc–line, polylines with corners, piecewise sinusoids, and time reparameterization) show that DGPS enforces distance constraints to near machine precision, produces interpretable speed/acceleration transients around non-smooth events, and exhibits computational costs consistent with iteration difficulty. The results support DGPS as a general, efficient solver requiring only the prescribed leader trajectory. Full article
(This article belongs to the Section Algorithms for Multidisciplinary Applications)
Show Figures

Figure 1

39 pages, 28158 KB  
Article
Improved Arithmetic Optimization Algorithm Based on Curriculum Education for Numerical Optimization and Practical Problems
by Ke Shen, Shiyi Guo, Wanqing Tang and Meng Wang
Symmetry 2026, 18(3), 544; https://doi.org/10.3390/sym18030544 - 23 Mar 2026
Viewed by 117
Abstract
The arithmetic optimization algorithm (AOA) is a recently proposed swarm intelligence optimizer with a simple structure and few control parameters. However, the original AOA relies on a single update mechanism, which often leads to premature convergence and limited adaptability in complex optimization problems. [...] Read more.
The arithmetic optimization algorithm (AOA) is a recently proposed swarm intelligence optimizer with a simple structure and few control parameters. However, the original AOA relies on a single update mechanism, which often leads to premature convergence and limited adaptability in complex optimization problems. To address these limitations, this paper proposes a multi-strategy improved arithmetic optimization algorithm (IAOA). The proposed algorithm constructs a heterogeneous strategy pool composed of six search strategies, including arithmetic update, differential evolution operators, competitive elite learning, interpolation-based acceleration, and curriculum education learning. Furthermore, an adaptive strategy regulation mechanism based on fitness improvement contribution is introduced to dynamically adjust the selection probability of each strategy. Extensive experiments conducted on the CEC2017 and CEC2022 benchmark suites demonstrate that IAOA achieves a superior optimization accuracy, convergence speed, and stability compared with several classical algorithms, recent metaheuristics, and AOA variants. Statistical tests including the Wilcoxon rank-sum test and Friedman mean rank test confirm the significance of the performance improvements. In addition, the algorithm is successfully applied to a three-dimensional path planning problem for amphibious unmanned aerial vehicles, demonstrating its effectiveness in solving complex engineering optimization problems. Full article
Show Figures

Figure 1

23 pages, 56439 KB  
Article
Multipath Credibility Selection for Robust UWB Angle-of-Arrival Estimation in Narrow Underground Corridors
by Jianjia Li, Baoguo Yu, Songzuo Cui, Menghuan Yang, Jun Zhao, Runjia Su and Runze Tian
Sensors 2026, 26(6), 2002; https://doi.org/10.3390/s26062002 - 23 Mar 2026
Viewed by 206
Abstract
Waveguide-like propagation in elongated underground environments—utility corridors, logistics tunnels—generates dense multipath that can cause the earliest or strongest resolvable channel impulse response (CIR) component to originate from a specular reflection rather than the direct line-of-sight (LOS) path. In the single-anchor CIR-tap-based implementations common [...] Read more.
Waveguide-like propagation in elongated underground environments—utility corridors, logistics tunnels—generates dense multipath that can cause the earliest or strongest resolvable channel impulse response (CIR) component to originate from a specular reflection rather than the direct line-of-sight (LOS) path. In the single-anchor CIR-tap-based implementations common to practical ultra-wideband (UWB) systems, baseline estimators such as phase-difference-of-arrival (PDOA) and MUSIC rely on selecting a single dominant CIR component, producing large angle-of-arrival (AoA) errors whenever the selected path is a reflection. We propose a multipath credibility selection (MCS) AoA estimator, MCS-AoA, that does not require explicit LOS/NLOS classification. The algorithm scores each resolvable CIR component with four credibility factors—amplitude significance, time-of-flight (TOF) consistency, inter-baseline phase–geometry agreement, and cross-baseline coherence—and fuses retained candidates into a credibility-weighted spatial covariance matrix for 2D MUSIC search. Field experiments on a custom five-channel coherent UWB platform compare MCS-AoA against six baselines—PDOA, MUSIC, MVDR/Capon, TLS-ESPRIT, PwMUSIC, and DNN-AoA. In an underground corridor (5–40 m), MCS-AoA achieves an azimuth/elevation MAE of 1.00°/1.46°, outperforming all baselines (PDOA: 2.26°/2.49°; MUSIC: 1.76°/2.40°; next-best PwMUSIC: 1.44°/2.17°); in a logistics tunnel (5–80 m), it achieves a 1.19° overall azimuth MAE. Simulations corroborate these gains, with a 0.71° azimuth RMSE at 80 m (69.3% reduction over PDOA) and 86.6% of estimates falling within 1°. Full article
(This article belongs to the Section Navigation and Positioning)
Show Figures

Figure 1

26 pages, 2977 KB  
Article
HGR-QL: Optimized Q-Learning for Multi-UAV Path Planning in Mountain Search and Rescue
by Qi Liu, Daqiao Zhang, Shaopeng Li, Pei Dai and Wenjing Li
Drones 2026, 10(3), 223; https://doi.org/10.3390/drones10030223 - 22 Mar 2026
Viewed by 162
Abstract
Existing Q-Learning-based path planning methods face significant bottlenecks in large-scale collaboration, dynamic interference adaptation, and regional value differentiation, failing to meet the practical needs of mountain search and rescue. This study proposes HGR-QL, an optimized Q-Learning method for large-scale multi-UAV operations. Referencing remote [...] Read more.
Existing Q-Learning-based path planning methods face significant bottlenecks in large-scale collaboration, dynamic interference adaptation, and regional value differentiation, failing to meet the practical needs of mountain search and rescue. This study proposes HGR-QL, an optimized Q-Learning method for large-scale multi-UAV operations. Referencing remote sensing datasets, a 50 × 50 dynamic grid environment is constructed by integrating 20% fixed obstacles and 10 moving interference sources, highly simulating real mountain features. Integrating the individual Q-tables and the regional shared Q-tables, the hierarchical independent Q-table architecture is designed, balancing local autonomy and global collaboration. To guide UAVs focusing on remote sensing-identified high-value areas, an innovative multi-level gradient collision avoidance reward function is constructed, avoiding task deviation. Comparative experiments across three scenarios with four baselines and ablation tests validate the core modules. Results show HGR-QL outperforms peers in key metrics: in the dynamic interference scenario, it achieves a 74.47% task completion rate, 25.44 collisions, and a stable 100.00 ms communication delay. HGR-QL provides a lightweight, scalable solution, effectively enhancing the efficiency, safety, and stability of mountain search and rescue and supporting the “golden 72 h” rescue window. Full article
Show Figures

Figure 1

33 pages, 24249 KB  
Article
GEAR-RRT*: A Path Planning Algorithm for Complex Environments with Adaptive Informed-Ellipse Sampling and Layered Expansion
by Wenhao Yue, Xiang Li, Xiangfei Kong, Zhaowei Wang, Junchao Feng and Lanlan Pan
Symmetry 2026, 18(3), 536; https://doi.org/10.3390/sym18030536 - 20 Mar 2026
Viewed by 102
Abstract
In complex ground environments, conventional RRT* often suffers from poor path quality and slow expansion during robot path planning. To address these issues, this paper proposes GEAR-RRT* (Goal-guided, adaptive informed-Ellipse sampling, layered obstacle-Avoidance expansion, and cost-driven Rewiring), which constructs a collaborative optimization mechanism [...] Read more.
In complex ground environments, conventional RRT* often suffers from poor path quality and slow expansion during robot path planning. To address these issues, this paper proposes GEAR-RRT* (Goal-guided, adaptive informed-Ellipse sampling, layered obstacle-Avoidance expansion, and cost-driven Rewiring), which constructs a collaborative optimization mechanism across the three stages of sampling, expansion, and rewiring. First, the proposed method employs an adaptive informed ellipse to concentrate sampling within feasible regions while dynamically adjusting the informed-ellipse sampling domain, and further integrates Halton-directional hybrid sampling to generate high-quality candidate samples within that domain. Meanwhile, a layered expansion strategy is adopted: the planner first performs direct goal connection for rapid progress toward the goal; when this expansion is blocked by obstacles, it switches to local multi-directional offset to search for feasible expansion directions; if this still fails, an adaptive Artificial Potential Field is introduced to guide subsequent expansions until a feasible path is found. Next, a multi-factor rewiring parent selection strategy is used to optimize path length, safety clearance, and turning angle, while cubic B-spline smoothing is applied to improve path continuity. Finally, GEAR-RRT* is evaluated in five simulation environments as well as in joint ROS and physical-robot validation and is compared with five improved RRT* variants. The results demonstrate that the proposed method achieves superior overall performance in planning time, path length, and safety clearance. Full article
(This article belongs to the Section Computer)
Show Figures

Figure 1

39 pages, 27667 KB  
Article
A Dynamic Multi-Niche Biogeography-Based Optimization Algorithm and Its Application to Robot Path Planning
by Xiaojie Tang, Pengju Qu, Zhengyang He, Chengfen Jia and Qian Zhang
Biomimetics 2026, 11(3), 221; https://doi.org/10.3390/biomimetics11030221 - 19 Mar 2026
Viewed by 292
Abstract
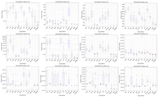
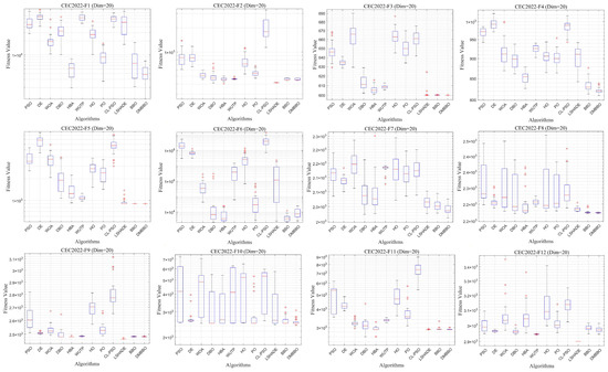
Biogeography-based optimization (BBO) is a population-based metaheuristic algorithm inspired by species migration among habitats. However, the original BBO often suffers from premature convergence and insufficient population diversity when solving complex optimization problems. To address these limitations, this paper proposes a novel dynamic multi-niche [...] Read more.
Biogeography-based optimization (BBO) is a population-based metaheuristic algorithm inspired by species migration among habitats. However, the original BBO often suffers from premature convergence and insufficient population diversity when solving complex optimization problems. To address these limitations, this paper proposes a novel dynamic multi-niche biogeography-based optimization (DMBBO) algorithm. DMBBO incorporates three effective strategies: a dynamic multi-niche population structure to maintain diversity and enhance parallel search capability, a dual-source migration mechanism to improve information exchange efficiency, and a niche-level hybrid elite preservation strategy to stabilize convergence behavior and improve solution quality. Extensive experiments were conducted on the CEC2022, CEC2020, and CEC2019 benchmark test suites under different dimensional settings. The experimental results demonstrated that DMBBO consistently outperformed 23 state-of-the-art algorithms in terms of optimization accuracy, convergence speed, and robustness, with statistically significant improvements validated by Friedman ranking and Wilcoxon rank-sum tests. An ablation study and convergence behavior analysis further confirmed the effectiveness of the proposed strategies. Additionally, DMBBO was applied to robotic path planning problems in grid-based environments involving six different scenarios with varying map sizes and obstacle densities. The results showed that DMBBO is capable of generating shorter and more stable paths in both simple and complex environments, highlighting its strong applicability to constrained optimization problems. Full article
(This article belongs to the Section Biological Optimisation and Management)
Show Figures

Figure 1

23 pages, 8149 KB  
Article
UGV Swarm Multi-View Fusion Under Occlusion: A Graph-Based Calibration-Free Framework
by Jiaqi Jing, Weilong Song, Hangcheng Zhang, Yong Liu, Fuyong Feng, Dezhi Zheng and Shangchun Fan
Drones 2026, 10(3), 214; https://doi.org/10.3390/drones10030214 - 18 Mar 2026
Viewed by 188
Abstract
In unmanned ground vehicle (UGV) swarm systems, comprehensive environmental awareness is critical for coordinated operations. Yet they are frequently deployed in occlusion-rich, constrained environments where multi-agent visual fusion is essential. However, existing methods are critically limited by offline-calibrated extrinsic parameters, hindering flexible deployment, [...] Read more.
In unmanned ground vehicle (UGV) swarm systems, comprehensive environmental awareness is critical for coordinated operations. Yet they are frequently deployed in occlusion-rich, constrained environments where multi-agent visual fusion is essential. However, existing methods are critically limited by offline-calibrated extrinsic parameters, hindering flexible deployment, and by a strong co-visibility assumption, which fails under severe occlusion. To overcome these constraints, we introduce an end-to-end, calibration-free framework for the joint registration of cameras and subjects. Our approach begins with a single-view module that estimates subjects’ poses and appearance features. Subsequently, a novel graph-based pose propagation module (GPPM) treats UGVs’ cameras as nodes in a graph, connecting them with edges when they share co-visible subjects identified via appearance matching. Breadth-first search (BFS) then finds the shortest registration path from any camera to a designated root camera, enabling pose propagation via local co-visibility links and global alignment of all subjects into a unified bird’s-eye-view (BEV) space. This strategy relaxes the stringent requirement of full co-visibility with the root node. A multi-task loss function is proposed to jointly optimize pose estimation and feature matching. Trained and evaluated on a synthetic dataset with occlusions (CSRD-O) collected by a UGV swarm system, our framework achieves mean camera pose errors of 1.57 m/8.70° and mean subject pose errors of 1.40 m/9.14°. Furthermore, we demonstrate a scene monitoring task using a UGV swarm system. Experiments show that the proposed method generates robust BEV estimates even under severe occlusion and low inter-view overlap. This work presents a purely visual, self-calibrating multi-view fusion perception scheme, demonstrating its potential to support cooperative perception, task-oriented monitoring, and collective situational awareness in UGV swarm systems. Full article
Show Figures

Figure 1

17 pages, 1119 KB  
Review
Biomarkers on the Icy Jovian Moons: Can Europa Also Provide Insights into Life’s Origin?
by Julian Chela-Flores, Doron Lancet and Roy Yaniv
Life 2026, 16(3), 489; https://doi.org/10.3390/life16030489 - 17 Mar 2026
Viewed by 318
Abstract
Within the payloads of JUICE and Europa Clipper, there are instruments suitable for the search of specific biosignatures that can diagnose life tracks in two ways. The payloads include mass spectrometers capable of measuring isotopic abundances for identifying life, and chromatography instruments testing [...] Read more.
Within the payloads of JUICE and Europa Clipper, there are instruments suitable for the search of specific biosignatures that can diagnose life tracks in two ways. The payloads include mass spectrometers capable of measuring isotopic abundances for identifying life, and chromatography instruments testing whether ocean worlds harbor amphiphile mixtures, which would lead to a lipid-first origin of life. In this paper we describe how the two missions may begin to test whether there may be large detectable excursions of stable isotopes of chemical elements on the icy surfaces of the Jovian icy moons that are substantially shifted from their expected isotopic distributions. The detection of an unambiguous signal would suggest a biogenic origin, provided care is taken to exclude abiotic thermal isotopic fractionation. Our suggested tests should be confirmed independently with other techniques. Stable isotope geochemistry on the icy Jovian moons has not yet been thoroughly discussed in the literature. In addition, we enquire whether insights into life’s origin could be retrieved from Europa’s ocean and surface, including the question of the first steps in the evolution of life. Special emphasis has been put on an approach to seek on the surface of ocean worlds chemical phenomena that are rather primitive, such as reproducing lipid micelles as roots of protocells, but nevertheless can predict a path towards life with published models. Full article
(This article belongs to the Section Origin of Life)
Show Figures

Graphical abstract

26 pages, 10218 KB  
Article
Self-Adaptive Ant Colony Optimization with Bidirectional Updating for Robot Path Planning
by Yixuan Zhang, Shaoxin Sun, Yin Wang and Yiyang Yuan
Appl. Sci. 2026, 16(6), 2870; https://doi.org/10.3390/app16062870 - 17 Mar 2026
Viewed by 265
Abstract
Mobile robot path planning using Ant Colony Optimization (ACO) has the disadvantages of slow convergence, local optima, and unsmooth paths because of fixed heuristics and constant pheromone updating. In this paper, Self-Adaptive Risk-Aware Bidirectional updating ACO (SAR-BACO) is proposed with three improvements: (1) [...] Read more.
Mobile robot path planning using Ant Colony Optimization (ACO) has the disadvantages of slow convergence, local optima, and unsmooth paths because of fixed heuristics and constant pheromone updating. In this paper, Self-Adaptive Risk-Aware Bidirectional updating ACO (SAR-BACO) is proposed with three improvements: (1) composite heuristic incorporating target attraction, obstacle repulsion and direction consistency to minimize early blind searching; (2) dynamic pheromone updating based on solution quality and number of iterations to balance exploration and exploitation; (3) triangular pruning to remove redundant turning points and become smoother. Theoretical analysis verifies convergence. Our experimental results on grids up to 50 × 50 demonstrate that SAR-BACO performs much better than classical and heuristic-improved algorithms with respect to the length of a path, convergence rate, smoothness and efficiency. Using SAR-BACO on a 50 × 50 map, the path lengths, convergence iterations and turning points decreased by 60.68%, 48.96%, and 96.00% respectively compared to Basic ACO (after triangular pruning, values averaged over 50 runs). The framework provides a generalizable solution to autonomous navigation with the need to consider both search efficiency and path executability. Full article
Show Figures

Figure 1

30 pages, 11120 KB  
Article
ParaTaintGX: Detecting Memory Corruption Vulnerabilities in SGX Applications via Parameter-Taint Model
by Chao Li, Yifan Xu, Zhe Sun, Yongjie Liu, Jun Zhang and Fan Li
Mathematics 2026, 14(6), 1007; https://doi.org/10.3390/math14061007 - 16 Mar 2026
Viewed by 207
Abstract
Intel Software Guard Extensions (SGX) have been widely studied and adopted in privacy-preserving information systems to enhance the security and privacy guarantees of sensitive data computation. By constructing a protected enclave within the processor, SGX provides hardware-enforced confidentiality and integrity for sensitive data [...] Read more.
Intel Software Guard Extensions (SGX) have been widely studied and adopted in privacy-preserving information systems to enhance the security and privacy guarantees of sensitive data computation. By constructing a protected enclave within the processor, SGX provides hardware-enforced confidentiality and integrity for sensitive data and critical code. Nevertheless, due to inevitable interactions between trusted enclaves and untrusted host environments, SGX applications remain vulnerable to memory corruption attacks. Existing detection techniques exhibit fundamental limitations, including the lack of systematic induction of SGX-specific memory corruption behaviors, the absence of fine-grained parameter-level taint modeling during call-chain construction, and relatively inefficient call-chain exploration strategies over large search spaces. To address these issues, we propose ParaTaintGX, an analysis framework that integrates parameter-level taint states into vulnerability detection. ParaTaintGX constructs fine-grained call-chain nodes that capture both functions and the taint states of their parameters. It further introduces a Multi-node Heuristic Priority Search Algorithm to guide call-chain exploration. In addition, a backtracking-based pruning strategy is applied during path analysis to efficiently identify memory corruption vulnerabilities. Our evaluation demonstrates that ParaTaintGX discovers 12 vulnerabilities across 10 open-source SGX projects, outperforming the best baseline tool by two vulnerabilities. It achieves 19.35% precision, surpassing the most precise existing tool by 8.37 percentage points. These results highlight its superior detection capability and precision. Full article
Show Figures

Figure 1

24 pages, 10468 KB  
Article
BGSE-RRT*: A Goal-Guided and Multi-Sector Sampling-Expansion Path Planning Algorithm for Complex Environments
by Wenhao Yue, Xiang Li, Ziyue Liu, Xiaojiang Jiang and Lanlan Pan
Sensors 2026, 26(6), 1837; https://doi.org/10.3390/s26061837 - 14 Mar 2026
Viewed by 199
Abstract
In complex ground environments, conventional RRT* often suffers from low planning efficiency and poor path quality for robot path planning. This paper proposes BGSE-RRT* (Bi-tree Cooperative, Goal-guided, low-discrepancy Sampling, multi-sector Expansion). First, BGSE-RRT* constructs a nonlinear switching probability via bi-tree cooperative adaptive switching, [...] Read more.
In complex ground environments, conventional RRT* often suffers from low planning efficiency and poor path quality for robot path planning. This paper proposes BGSE-RRT* (Bi-tree Cooperative, Goal-guided, low-discrepancy Sampling, multi-sector Expansion). First, BGSE-RRT* constructs a nonlinear switching probability via bi-tree cooperative adaptive switching, together with KD-Tree nearest-neighbor acceleration and multi-condition triggering, to adaptively balance global exploration and local convergence. Meanwhile, a goal-guided expansion with dynamic target binding and adaptive step size, under a multi-constraint feasibility check, accelerates the convergence of the two trees. When the goal-guided expansion becomes blocked, BGSE-RRT* generates candidate points in local multi-sector regions using a 2D Halton low-discrepancy sequence and selects the best candidate for expansion; if the multi-sector expansion still fails, a sampling-point-guided expansion is activated to continue advancing and search for a feasible path. Second, B-spline smoothing is applied to improve trajectory continuity. Finally, in five simulation environments and ROS/real-robot joint validation, compared with GB-RRT*, BI-RRT*, BI-APF-RRT*, and BAI-RRT*, BGSE-RRT* reduces planning time by up to 84.71%, shortens path length by 2.94–6.88%, and improves safety distance by 20.68–48.33%. In ROS/real-robot validation, the trajectory-tracking success rate reaches 100%. Full article
(This article belongs to the Section Sensors and Robotics)
Show Figures

Figure 1

Back to TopTop