Sign in to use this feature.

Years

Between: -

Subjects

remove_circle_outline
remove_circle_outline
remove_circle_outline
remove_circle_outline
remove_circle_outline
remove_circle_outline
remove_circle_outline
remove_circle_outline
remove_circle_outline

Journals

remove_circle_outline
remove_circle_outline
remove_circle_outline
remove_circle_outline
remove_circle_outline
remove_circle_outline
remove_circle_outline
remove_circle_outline
remove_circle_outline
remove_circle_outline
remove_circle_outline
remove_circle_outline
remove_circle_outline
remove_circle_outline

Article Types

Countries / Regions

remove_circle_outline
remove_circle_outline
remove_circle_outline
remove_circle_outline

Search Results (1,003)

Search Parameters:
Keywords = sandwich method

Order results
Result details
Results per page
Select all
Export citation of selected articles as:
30 pages, 1360 KB  
Systematic Review
Screening Methods for Downy Mildew Resistance in Maize: A Systematic Review
by Mable Chebichii Kipkoech, Arsenio Ndeve, Joao Bila, Pedro Fato, Suwilanji Nanyangwe, Kolawole Peter Oladiran and Constantino Francisco Lhamine
Genes 2026, 17(3), 350; https://doi.org/10.3390/genes17030350 (registering DOI) - 22 Mar 2026
Abstract
Background/Objectives: Downy mildew, caused by Peronosclerospora and Sclerophthora species, is a major constraint to maize production in tropical and subtropical regions, with yield losses of 30–100%. This systematic review synthesised evidence on methods used to screen maize for downy mildew resistance and assessed [...] Read more.
Background/Objectives: Downy mildew, caused by Peronosclerospora and Sclerophthora species, is a major constraint to maize production in tropical and subtropical regions, with yield losses of 30–100%. This systematic review synthesised evidence on methods used to screen maize for downy mildew resistance and assessed their effectiveness, reliability, and associated markers. Methods: PubMed, Google Scholar, ScienceDirect, and CAB Abstracts were searched (last searched 22 October 2025) for English-language studies (1990–2025) evaluating phenotypic or molecular screening methods. Risk of bias was assessed using the RoB 2 framework. Narrative synthesis was conducted following a protocol registered on the Open Science Framework. Results: Twelve studies met the inclusion criteria, predominantly from India and Cambodia. Spreader row systems (seven studies) and conidial spray inoculation (six studies) were the most common field methods, while the glasshouse sandwich technique generated the highest disease pressure. Cross-method correlations were strong (r = 0.92–0.99), and heritability estimates ranged from 0.50 to 0.97. QTL mapping identified resistance loci on chromosomes 2, 3, and 6, with chromosome 6 stable across multiple pathogen species. Evidence certainty was moderate for method effectiveness and low for molecular markers. Conclusions: Established phenotypic screening methods reliably discriminate resistant germplasm; however, standardised protocols, broader geographic validation, and independent molecular marker confirmation are needed. Full article
Show Figures

Figure 1

23 pages, 18768 KB  
Article
Deflection Analysis of Steel Truss Web–Concrete Composite Beams Based on Zigzag Beam Theory
by Ningning Zhou, Feng Gao, Rongqiao Xu and Yang Zhao
Buildings 2026, 16(6), 1183; https://doi.org/10.3390/buildings16061183 - 17 Mar 2026
Viewed by 130
Abstract
To address the inherent inaccuracies of the classical beam theory (which overestimates the flexural stiffness) and the “quasi-plane section method” (which neglects the shear deformation) in the deflection analysis of steel truss web–concrete composite beams, this study homogenizes discrete steel truss web members [...] Read more.
To address the inherent inaccuracies of the classical beam theory (which overestimates the flexural stiffness) and the “quasi-plane section method” (which neglects the shear deformation) in the deflection analysis of steel truss web–concrete composite beams, this study homogenizes discrete steel truss web members into a continuous steel web with equivalent thickness based on the strain energy equivalence principle. This homogenization is conducted under the assumption of fixed-end constraints for web members, thus establishing a sandwich laminated beam model. Incorporating the assumptions of zigzag axial displacement and layer-wise quadratic parabolic transverse shear stress, this study adopts the governing equations for static bending of composite beams derived via Hamilton’s mixed energy variational principle—this theory eliminates the need for an artificial shear correction factor, as the transverse shear stress naturally satisfies the zero boundary conditions at the upper and lower surfaces and the continuity condition at the interlayers. Analytical solutions for bending deflection under uniformly distributed loads are derived and validated against three-dimensional (3D) finite element (FE) models. The analysis results of a 45-meter-span beam demonstrate that the relative error in the maximum deflection of both simply supported beams and cantilever beams calculated by the proposed method is approximately 5%, which is significantly superior to the classical beam theory; the deflection induced by the zigzag effect at the mid-span of simply supported beams accounts for 15% of the total deflection, making it an indispensable key component in structural design. This method enables accurate deflection prediction and provides reliable technical guidance for the preliminary design of steel truss web–concrete composite beam bridges. Full article
(This article belongs to the Section Building Structures)
Show Figures

Figure 1

19 pages, 3564 KB  
Article
Influence of Architected Core Topology on the Dynamic and Flexural Behaviour of Multi-Material Sandwich Structures
by Hilal Doğanay Katı and Muhammad Khan
Polymers 2026, 18(6), 711; https://doi.org/10.3390/polym18060711 - 14 Mar 2026
Viewed by 231
Abstract
The integration of mechanics-based analysis and materials design procedures has become central to the development of multi-material structures with tailored mechanical and dynamic performance. In this study, the dynamic and flexural behaviour of multi-material FDM sandwich beams composed of PETG face sheets and [...] Read more.
The integration of mechanics-based analysis and materials design procedures has become central to the development of multi-material structures with tailored mechanical and dynamic performance. In this study, the dynamic and flexural behaviour of multi-material FDM sandwich beams composed of PETG face sheets and an ABS core is experimentally investigated. Seven different infill patterns Grid, Line, Wavy, Honeycomb, Gyroid, Cubic, and Triangle were implemented in the core layer to assess their influence on damping and natural frequency behaviour. Experimental modal analysis was performed using impact testing to identify the first three vibration modes. Natural frequencies were extracted from Frequency Response Functions (FRFs), and modal damping ratios were determined using the half-power bandwidth method. The reliability of the damping results was evaluated through statistical analysis. Additionally, quasi-static three-point bending tests were conducted to assess flexural strength and load-carrying capacity. The results demonstrate that infill topology has a significant impact on both dynamic and mechanical responses. In particular, geometrically complex infill patterns exhibit enhanced stiffness, higher natural frequencies, and improved damping performance. Among the investigated designs, the Triangle infill exhibited the highest natural frequency values across the first three vibration modes (f1 ≈ 24.910 Hz, f2 ≈ 162.609 Hz, f ≈ 466.595 Hz), indicating its superior stiffness characteristics. In terms of damping behaviour, the Cubic infill showed the highest loss factor in the first vibration mode (0.0426), while the Line and Gyroid patterns exhibited the highest damping in the second (0.0439) and third modes (0.0354), respectively. Moreover, the force–displacement results revealed that the Triangle infill exhibited the highest load-bearing capacity, further confirming its superior structural stiffness among the investigated designs (SEA = 110.83 J/kg). These findings highlight the potential of multi-material FDM for designing polymer-based sandwich structures with tailored vibration and energy dissipation characteristics. Full article
Show Figures

Figure 1

22 pages, 11713 KB  
Article
Pharmacological Effects of NADPH Oxidase Inhibitors on Butterfly Wing Morphogenesis and Color Pattern Formation in Junonia orithya
by Yugo Nakazato, Momo Ozaki, Ryunosuke Suenaga and Joji M. Otaki
Insects 2026, 17(3), 300; https://doi.org/10.3390/insects17030300 - 10 Mar 2026
Viewed by 367
Abstract
During the early pupal stage in butterflies, the peripheral portion of wing tissue undergoes apoptosis to finalize adult wing morphology, and wing color patterns are determined coordinately. We hypothesized that the development of wing morphology and color patterns may involve NADPH oxidase (NOX). [...] Read more.
During the early pupal stage in butterflies, the peripheral portion of wing tissue undergoes apoptosis to finalize adult wing morphology, and wing color patterns are determined coordinately. We hypothesized that the development of wing morphology and color patterns may involve NADPH oxidase (NOX). To test this hypothesis, we treated pupae of the blue pansy butterfly Junonia orithya with NOX inhibitors. When VAS2870, isuzinaxib, or diphenyleneiodonium chloride (DPI) in dimethyl sulfoxide (DMSO) was topically applied to the pupal wing tissue via the sandwich method, wing morphology and color pattern elements, including eyespots, parafocal elements, submarginal bands, and marginal bands, were severely deformed as if the marginal area were surgically removed. The topical application of DMSO alone mildly deformed and enlarged eyespots without affecting other color patterns and wing morphology. When systemically injected into pupae, VAS2870 increased eyespots in males but decreased eyespots in females, likely due to the sexual dimorphism of this species. These results suggest that NOX and probably hydrogen peroxide play important roles in wing morphogenesis and color pattern fate determination in butterfly wings. Sexually dimorphic eyespot size in this species may also be explained by the sexually differential activities of NOX. Full article
(This article belongs to the Section Insect Physiology, Reproduction and Development)
Show Figures

Figure 1

18 pages, 1241 KB  
Article
An ELISA-Based Alternative to Mouse Bioassays for Quantitative Evaluation of Tetanus Toxin
by Chie Shitada, Chiyomi Sakamoto, Kohsuke Kumeda, Susumu Yamaori and Motohide Takahashi
Toxins 2026, 18(3), 133; https://doi.org/10.3390/toxins18030133 - 9 Mar 2026
Viewed by 258
Abstract
Tetanus toxin evaluation has traditionally relied on mouse LD50 bioassays, which require extensive animal use and time, necessitating development of alternative methods in accordance with 3R principles (Replacement, Reduction, and Refinement). We developed and validated a sandwich enzyme-linked immunosorbent assay (ELISA) as [...] Read more.
Tetanus toxin evaluation has traditionally relied on mouse LD50 bioassays, which require extensive animal use and time, necessitating development of alternative methods in accordance with 3R principles (Replacement, Reduction, and Refinement). We developed and validated a sandwich enzyme-linked immunosorbent assay (ELISA) as an alternative to animal testing for evaluating tetanus toxin biological activity using 18 environmental and clinical isolates of Clostridium tetani, complemented by an immunochromatographic (IC) assay for rapid screening. The ELISA demonstrated excellent analytical performance with a lower limit of quantification of 2.4 ng/mL (equivalent to 85.4 LD50/mL), favorable linearity (R2 = 0.999), precision (CV < 1.7–8.2%), and specificity (<1% cross-reactivity with C. septicum, C. novyi, and C. perfringens). Correlation analysis between ELISA relative potency and observed minimum lethal dose values revealed a robust positive correlation (r = 0.974). Both parallel line assay and single-point quantification methods showed strong correlations with mouse bioactivity measurements (r = 0.998). The IC assay successfully detected all isolates within 15 min. The measurement range of 2.4–45.6 ng/mL effectively covered diverse toxin-production capabilities spanning a 600-fold concentration range. This validated ELISA and IC assay combination provides a reliable, rapid alternative to animal experimentation for tetanus toxin evaluation. Full article
(This article belongs to the Section Bacterial Toxins)
Show Figures

Figure 1

24 pages, 9290 KB  
Article
Robust Localization of Low-Velocity Impacts on Honeycomb Sandwich Panels via FBG Sensor Networks
by Zhengwen Zhou, Yibo Yang, Xin Xu, Kexia Peng, Yihong Han, Guangming Song, Jingtai Li, Zhe Lin and Liangjie Guo
Sensors 2026, 26(5), 1715; https://doi.org/10.3390/s26051715 - 9 Mar 2026
Viewed by 230
Abstract
Honeycomb sandwich panels are widely used in aerospace, yet they are vulnerable to low-velocity impacts. Implementing effective localization is challenging because, unlike single-layer structures, the multi-layer energy dissipation capabilities of honeycomb core induce rapid stress wave attenuation and reverberations, degrading signal quality. This [...] Read more.
Honeycomb sandwich panels are widely used in aerospace, yet they are vulnerable to low-velocity impacts. Implementing effective localization is challenging because, unlike single-layer structures, the multi-layer energy dissipation capabilities of honeycomb core induce rapid stress wave attenuation and reverberations, degrading signal quality. This paper designs a testing platform for low-velocity impact and proposes a template matching method based on wavelet denoising and error outlier weighting. This method is based on 16 FBG sensors uniformly arranged on the panel, dividing the panel into 25 × 25 grids, with five impacts in each grid forming a template library. Similarity matching is performed by calculating the Euclidean distance between the template library and test signals, combined with wavelet denoising and outlier weighting to compute the average localization accuracy. The results show that for a honeycomb panel measuring 500 mm × 500 mm × 20 mm, the basic method yields an average localization accuracy of 21.29 mm. When error outlier weighting is applied, the accuracy improves to 12.36 mm. Finally, by combining outlier weighting with Sym5 wavelet denoising, the average error is further reduced to 8.53 mm. These results demonstrate that the proposed method mitigates the effects of signal instability in honeycomb structures, providing a robust and precise solution for aerospace SHM where traditional methods fall short. Full article
Show Figures

Figure 1

21 pages, 365 KB  
Article
Sandwich Results for Holomorphic Functions Related to an Integral Operator
by Amal Mohammed Darweesh, Adel Salim Tayyah, Sarem H. Hadi and Alina Alb Lupaş
Fractal Fract. 2026, 10(3), 171; https://doi.org/10.3390/fractalfract10030171 - 4 Mar 2026
Viewed by 196
Abstract
In this paper, we introduce a new logarithmic integral operator that unifies differentiation and fractional integration within the complex domain. The present work addresses this gap by applying the proposed operator to analytic functions represented by alternating power series. The method demonstrates that [...] Read more.
In this paper, we introduce a new logarithmic integral operator that unifies differentiation and fractional integration within the complex domain. The present work addresses this gap by applying the proposed operator to analytic functions represented by alternating power series. The method demonstrates that the coefficients can be reorganized in a controlled manner without affecting convergence or analytic behavior. Using this framework, we derive third-order differential subordination and superordination results, which naturally lead to corresponding sandwich-type results. The findings confirm that the introduced operator offers an effective analytical tool for studying distortion, growth, and mapping properties of analytic functions, with promising potential for future applications in fluid mechanics. Full article
31 pages, 6460 KB  
Article
Blockchain Security Using Confidentiality, Integrity, and Availability for Secure Communication
by Chukwuebuka Francis Ikenga-Metuh and Abel Yeboah-Ofori
Blockchains 2026, 4(1), 3; https://doi.org/10.3390/blockchains4010003 - 28 Feb 2026
Viewed by 343
Abstract
Background: Blockchain technology has emerged as a transformative communication solution for securing distributed systems. However, several vulnerabilities exist during transactions, including latency and network congestion issues during mempool processing, topology weaknesses, cross-chain bridge exploits, and cryptographic weaknesses. These vulnerabilities have led to [...] Read more.
Background: Blockchain technology has emerged as a transformative communication solution for securing distributed systems. However, several vulnerabilities exist during transactions, including latency and network congestion issues during mempool processing, topology weaknesses, cross-chain bridge exploits, and cryptographic weaknesses. These vulnerabilities have led to attacks that have threatened system integrity, including Block Extractable Value (BEV) attacks, Maximal Extractable Value (MEV) attacks, sandwich attacks, liquidation, and Decentralized Finance (DeFi) reordering attacks, among others. Thus, implementing a robust security framework based on the Confidentiality, Integrity, and Availability (CIA) triad remains critical for addressing modern blockchain technology threats. Objective: This paper examines blockchain technology, its various vulnerabilities, and attacks to determine how criminals exploit the system during transactions. Further, it evaluates its impact on users. Then, implement a blockchain attack in a “MasterChain” virtual environment to demonstrate how vulnerable spots can be practically exploited and discuss the application of the CIA security triad through modern cryptographic primitives. Methods: The approach considers Hevner’s design science framework, which emphasizes creating innovative artifacts that address identified problems while contributing to the knowledge base through rigorous evaluation. Furthermore, we developed a MasterChain tool using Python with Flask for distributed node communication, utilizing the Elliptic Curve Digital Signature Algorithm (ECDSA) with the Standards for Efficient Cryptography Prime 256-bit Koblitz curve 1 (secp256k1) for digital signatures and Secure Hash Algorithm 3 (SHA-3) (Keccak-256) hashing for block integrity. Results: show how the CIA has been implemented to provide secure communication through ECDSA-based transactions, SHA-3 chain integrity verification, and a multi-node distributed architecture, respectively. The performance analysis shows that ECDSA provides 256-bit security with 64-byte signatures compared to 2048-bit Rivest–Shamir–Adleman (RSA)’s 256-byte signatures, achieving a 75% reduction in bandwidth overhead. SHA-3 provides immunity to length extension attacks while maintaining equivalent collision resistance to SHA-256. Conclusions: The MasterChain framework provides a practical foundation for implementing blockchain security that addresses both classical and emerging vulnerabilities. The adoption of ECDSA and SHA-3 (Keccak-256) positions the system favourably for modern blockchain applications, while providing insights into the cryptographic trade-offs between performance, security, and compatibility. Full article
(This article belongs to the Special Issue Feature Papers in Blockchains 2025)
Show Figures

Figure 1

19 pages, 532 KB  
Article
Third-Order Fuzzy Differential Results for Meromorphic Functions Using a Linear Operator: Subordination and Superordination
by Mays S. Abdul Ameer, Abdul Rahman S. Juma and Hassan Hussien Ebrahim
Symmetry 2026, 18(3), 413; https://doi.org/10.3390/sym18030413 - 27 Feb 2026
Viewed by 144
Abstract
While over a hundred articles discuss second-order differential inequalities and subordinations in the complex plane, very few address the relatively unexplored classes of third-order fuzzy differential subordination and superordination. This paper builds upon the recently proposed concepts of third-order fuzzy differential subordination and [...] Read more.
While over a hundred articles discuss second-order differential inequalities and subordinations in the complex plane, very few address the relatively unexplored classes of third-order fuzzy differential subordination and superordination. This paper builds upon the recently proposed concepts of third-order fuzzy differential subordination and superordination, which are developed using a linear operator and a meromorphic function. By applying techniques based on the fundamental notion of admissible functions, we begin by defining the appropriate class of such functions necessary for deriving new results in third-order fuzzy differential subordination. The study reveals the establishment of sandwich-type theorems, linking these new findings with established methods in third-order fuzzy differentiation and superordination theory. Full article
(This article belongs to the Section Mathematics)
Show Figures

Figure 1

10 pages, 2646 KB  
Article
A Low-Noise MEMS Accelerometer Based on a Symmetrical Sandwich Capacitor Structure
by Zihan Wang, Chaowei Si, Jihua Zhang, Zhen Fang, Jinxu Liu, Shuqi Li and Wanli Zhang
Micromachines 2026, 17(2), 271; https://doi.org/10.3390/mi17020271 - 22 Feb 2026
Viewed by 354
Abstract
This study presents a high-performance MEMS accelerometer employing a symmetrical differential ‘sandwich’ capacitive structure. An orthogonal rectangular compensation method was integrated with wet anisotropic etching to achieve high structural symmetry. An innovative glass–silicon composite cover plate was adopted, and the upper and lower [...] Read more.
This study presents a high-performance MEMS accelerometer employing a symmetrical differential ‘sandwich’ capacitive structure. An orthogonal rectangular compensation method was integrated with wet anisotropic etching to achieve high structural symmetry. An innovative glass–silicon composite cover plate was adopted, and the upper and lower plates were encapsulated by a sensitive structure via anodic bonding, which effectively reduced the parasitic capacitance. Simulations confirmed sufficient separation between the sensitive-axis (Z-axis) resonant frequency and orthogonal/torsional modes, ensuring low cross-axis coupling. The fabricated device exhibits high sensitivity (0.2216 V/g) and excellent linearity (99.842%) within a 0–8 g range. Furthermore, it demonstrates outstanding noise (7.88 µg/√Hz) and bias-instability (6.39 µg) performance, positioning it competitively against commercial counterparts. The proposed design and process offer a viable technical route for high-precision inertial sensing applications. Full article
(This article belongs to the Section D1: Semiconductor Devices)
Show Figures

Figure 1

12 pages, 3177 KB  
Article
Fe3O4 Nanozyme-Labeled Lateral Flow Immunochromatography Strips for Rapid Detection of PVX and PVY
by Yu Yang, Jiali Wu, Zhaoping Gu, Haowen Yang, Siyi Wang, Yonghong Zhou, Hongju Jian and Dianqiu Lv
Plants 2026, 15(4), 656; https://doi.org/10.3390/plants15040656 - 21 Feb 2026
Viewed by 362
Abstract
Potato virus X (PVX) and potato virus Y (PVY) are major pathogens that threaten seed potato quality and yield. To improve the efficiency of field screening, we developed monovalent PVX, monovalent PVY, and bivalent PVX/PVY nanozyme strips using Fe3O4 nanozymes [...] Read more.
Potato virus X (PVX) and potato virus Y (PVY) are major pathogens that threaten seed potato quality and yield. To improve the efficiency of field screening, we developed monovalent PVX, monovalent PVY, and bivalent PVX/PVY nanozyme strips using Fe3O4 nanozymes as labels in a double-antibody sandwich lateral flow immunochromatographic assay. Western blot analysis demonstrated that four monoclonal antibodies (PVX 2, PVX 6, PVY 2, and PVY 5) specifically recognized their corresponding viral coat proteins. Specificity testing showed that the nanozyme strips reacted only with the target viruses and did not cross-react with other common potato viruses, including Potato virus A (PVA), Potato virus M (PVM), Potato virus S (PVS), and Potato leafroll virus (PLRV). The PVX nanozyme strip detected PVX-positive extracts diluted up to 103-fold, the PVY nanozyme strip up to 104-fold, and the bivalent strip detected PVX/PVY co-infected samples diluted up to 103-fold. In addition, detection results by strips from 12 samples of plantlets in vitro were fully consistent with RT-PCR. These nanozyme strips provide rapid, simple, specific, and sensitive methods that can be stored at ambient temperature, enabling field surveys, warehouse screening, and on-site testing and supporting early detection of potato virus diseases. Full article
(This article belongs to the Section Plant Protection and Biotic Interactions)
Show Figures

Figure 1

20 pages, 3048 KB  
Article
A Simplified Strategy for Nanobody Production and Use Based on Functional GST-Nanobody Fusion Proteins
by Agustín A. Burgos, Andrés Rivera-Dictter, Pablo Mendoza-Soto, Tammy P. Pástor, José Munizaga, Guillermo Valenzuela-Nieto and Gonzalo A. Mardones
Biomolecules 2026, 16(2), 306; https://doi.org/10.3390/biom16020306 - 14 Feb 2026
Viewed by 501
Abstract
Nanobodies (VHHs or single-domain antibodies) are powerful affinity reagents, but their routine use is often limited by production constraints and by the lack of a conserved Fc region for secondary detection. We describe a simplified strategy in which functional GST–nanobody fusion proteins are [...] Read more.
Nanobodies (VHHs or single-domain antibodies) are powerful affinity reagents, but their routine use is often limited by production constraints and by the lack of a conserved Fc region for secondary detection. We describe a simplified strategy in which functional GST–nanobody fusion proteins are expressed directly in the cytoplasm of Escherichia coli OrigamiTM 2 (DE3), a strain that supports disulfide bond formation through trxB/gor mutations. Using well-characterized nanobodies against GFP (Lag2) and mCherry (C11), we designed N-terminal GST fusions and confirmed by AlphaFold3-based modeling that both constructs preserve the GST fold and the VHH (Variable domain of the Heavy-chain antibody of Heavy-chain-only antibodies) β-sandwich with defined CDR loops and a predicted intradomain disulfide bond. Following IPTG induction and purification by glutathione affinity and size-exclusion chromatography, we obtained soluble GST-nb-GFP and GST-nb-mCherry at ~8–12 mg/L. Isothermal titration calorimetry showed nanomolar binding to their antigens (Kd ~123 nM for GFP and ~199 nM for mCherry). Consistent with conformational epitope recognition, GST-nanobodies were reactive in native-state dot blots but not in denaturing Western blots under the conditions tested. The GST moiety enabled indirect immunofluorescence via anti-GST antibodies, yielding specific labeling of GFP- or mCherry-tagged TGN38 in HeLa and H4 cells. Finally, we demonstrate “GST-nanobody pulldown” as a robust method for affinity capture from cell lysates. Together, this platform provides a low-cost, versatile route to functional nanobody reagents without requiring tag removal, and complements other nanobody designs (e.g., VHH-Fc fusions) in an application-dependent manner. Full article
Show Figures

Figure 1

17 pages, 3357 KB  
Article
Nonlinear Deformation Analysis of Sandwich Timoshenko Beams with Carbon Nanotube Reinforced Face Sheets and Re-Entrant Core Using GDQ Method
by Azhar G. Hamad, Khaldon K. Aswed, Yousef Al Rjoub, Nasser Firouzi and Przemysław Podulka
Mathematics 2026, 14(4), 630; https://doi.org/10.3390/math14040630 - 11 Feb 2026
Viewed by 195
Abstract
In this research, the nonlinear bending behavior of sandwich beams with auxetic re-entrant cores and carbon nanotube-reinforced (CNT) face sheets are investigated using the von Kármán strain theory and the Generalized Differential Quadrature (GDQ) method. The results demonstrate the high accuracy of the [...] Read more.
In this research, the nonlinear bending behavior of sandwich beams with auxetic re-entrant cores and carbon nanotube-reinforced (CNT) face sheets are investigated using the von Kármán strain theory and the Generalized Differential Quadrature (GDQ) method. The results demonstrate the high accuracy of the GDQ method in solving nonlinear problems with a minimal number of grid points. Validation is performed by comparing the obtained results with those reported in previous studies. The findings indicate that CNT-reinforced composite beams exhibit superior bending performance compared to sandwich beams with re-entrant cores and conventional composite face sheets. Furthermore, a parametric study on the core geometry reveals that optimal bending performance is achieved when the interior angle (θ) of the core is approximately 0 to 2 degrees, and the nondimensional auxetic parameter η_1 is minimized. This study highlights the significance of nonlinear analysis, particularly for long and slender beams. Full article
Show Figures

Figure 1

9 pages, 219 KB  
Article
Combining the Case-Based Learning (CBL) and Sandwich Teaching Methods: A Promising Approach to Enhance Clinical Skills and Interests in Prosthodontics Internship
by Yang Yang, Miao Yu, Xiaoming Zhu and Qian Ding
Oral 2026, 6(1), 21; https://doi.org/10.3390/oral6010021 - 10 Feb 2026
Viewed by 304
Abstract
Objective: This study was intended to evaluate the effects of the case-based learning (CBL) and Sandwich teaching methods in clinical practice of prosthodontics. Methods: 82 fifth-year students who were undertaking clinical practice of prosthodontics in Peking University School and Hospital of Stomatology (PKUSS) [...] Read more.
Objective: This study was intended to evaluate the effects of the case-based learning (CBL) and Sandwich teaching methods in clinical practice of prosthodontics. Methods: 82 fifth-year students who were undertaking clinical practice of prosthodontics in Peking University School and Hospital of Stomatology (PKUSS) were included in this study. The CBL–Sandwich courses using typical esthetic cases were applied in the experimental group (40 students), while the control group (42 students) used a traditional teaching method during clinical practice. No significant differences were observed in the responses in age or pre-internship theoretical scores between the two groups (p > 0.05). After 10 months of training, clinical skills assessment and anonymous questionnaires were conducted. Results: The scores of clinical skills in the experimental group were all significantly higher than in the control group (p < 0.01). The former also showed significantly higher scores (p < 0.01) in three questionnaire items, while study burden was nearly the same between the two groups. Conclusions: The CBL–Sandwich teaching method can improve students’ clinical skills during prosthodontic internship and enhance their interest in learning. Full article
17 pages, 1882 KB  
Article
Impact of Acute (Poly)Phenol-Rich Sugarcane Extract Consumption on Postprandial Glycemic Response in Healthy Adults: A Randomized Crossover Study
by Ulluwis H. A. J. Hewawansa, Elizabeth Barber, Michael J. Houghton, Rizliya Visvanathan, Luca Nicolotti, Ricardo J. S. Costa and Gary Williamson
Foods 2026, 15(4), 631; https://doi.org/10.3390/foods15040631 - 10 Feb 2026
Viewed by 413
Abstract
Background: Effects on insulin sensitivity and postprandial glycemia through enzyme inhibition and regulation of glucose transport have been extensively researched; however, the role of sugarcane (poly)phenols remain underexplored. Methods: In a randomized, placebo-controlled, single-blinded crossover study, 12 healthy participants consumed a bread-based meal [...] Read more.
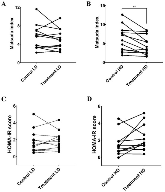
Background: Effects on insulin sensitivity and postprandial glycemia through enzyme inhibition and regulation of glucose transport have been extensively researched; however, the role of sugarcane (poly)phenols remain underexplored. Methods: In a randomized, placebo-controlled, single-blinded crossover study, 12 healthy participants consumed a bread-based meal containing 50 g of carbohydrates, supplemented with either 0.5% or 5% liquid PRSE or sugar-balanced controls. Glucose and plasma insulin levels were assessed over 180 min. The extract was evaluated for its inhibitory effect on human α-amylases (salivary and pancreatic) and α-glucosidases (sucrase, maltase, and isomaltase) utilizing solid PRSE. Results: The postprandial glucose and insulin responses to bread sandwiches in healthy volunteers remained unchanged by both PRSE dosages. High-dose treatment reduced the Matsuda index by 9.8%, perhaps due to a subtle alteration in whole-body insulin sensitivity. Low-dose intervention postponed the insulin peak by 30 min without altering HOMA-IR. In vitro, PRSE diminished sucrase activity by 67% (IC50 = 425.8 ± 18.7 µg/mL) and lowered maltase and isomaltase activity by 40% (IC25 = 876.3 ± 131 and 960.6 ± 95.2 µg/mL, respectively). It enhanced the activity of human salivary and pancreatic α-amylases. Conclusion: In healthy people, acute PRSE supplementation had a minor impact on postprandial glucose and insulin levels. Low-dose PRSE postponed the insulin peak, whereas high-dose PRSE reduced Matsuda index potentially via α-amylase activation, suggesting a modest alteration in whole-body insulin sensitivity without significantly changing the glucose or insulin response. In vitro, PRSE exhibited modest inhibition of human α-glucosidases. Full article
(This article belongs to the Section Nutraceuticals, Functional Foods, and Novel Foods)
Show Figures

Figure 1

Back to TopTop