1. Introduction
Tetanus is a disease caused by a potent neurotoxin produced by
Clostridium tetani and remains a significant public health concern [
1]. The global burden of tetanus shows significant regional variations, with high incidence rates particularly in Africa, South Asia, and Southeast Asia, which are often associated with an agricultural lifestyle and inadequate vaccination coverage [
2]. The evaluation of tetanus toxin activity is crucial for vaccine quality control, assessing clinical isolates, and evaluating environmental risks. Although conventional bioassays using mice provide definitive toxin identification and quantitative evaluation through LD
50 measurements, these methods require a large number of experimental animals and extensive time periods. From an animal welfare perspective, the development of alternative approaches based on the 3R principles (Replacement, Reduction, and Refinement) is necessary worldwide [
3].
C. tetani is widely distributed in the environment and survives for extended periods through spore formation [
4].
C. tetani spores exhibit remarkable environmental persistence, remain viable in soil for many years, and demonstrate resistance to extreme temperatures, desiccation, and most disinfectants [
5]. In clinical settings, evaluating the toxin-production ability of a strain provides critical information for treatment decisions and prognosis [
6]. Rapid toxin evaluation is crucial for assessing the risk of infection during disasters and agricultural work [
1]. Agricultural workers are uniquely vulnerable to tetanus due to their frequent exposure to soil and organic matter laden with
C. tetani spores. Activities such as plowing and handling livestock significantly amplify this risk [
7]. During large-scale natural disasters, compounding factors such as the type of injury, lack of medical services, and delayed treatment, significantly increase the incidence and risk [
8]. However, current evaluation methods depend on animal testing, which presents challenges in terms of speed and efficiency.
Our previous genome analysis of 151
C. tetani strains isolated from soil in Kumamoto Prefecture confirmed three major phylogenetic groups, with clades 1–3 strains showing significantly higher toxin-production capabilities [
9].
Enzyme-linked immunosorbent assays (ELISA) have high specificity and sensitivity for immunological measurements [
10]. Amplified ELISA techniques, utilizing signal enhancement methods, have demonstrated improved sensitivity for bacterial toxin detection, approaching the sensitivity of traditional bioassays [
11]. Although ELISA-based methods for tetanus antibody detection [
12,
13] and toxoid antigen detection in vaccines have been reported [
14,
15], studies on the use of ELISA as an alternative to animal experimentation for tetanus toxin antigen detection in clinical and environmental applications are limited. Detailed correlation analyses with mouse bioactivity assays are rare [
16].
In this study, we developed and validated an ELISA-based system as a reliable alternative to animal experimentation for evaluating tetanus toxins, using environmental and clinical C. tetani isolates. We also developed a complementary immunochromatographic (IC) assay for rapid screening. This breakthrough addresses the urgent need for implementing the 3R principles in both clinical diagnosis and environmental monitoring, enabling rapid toxin evaluation for assessing infection risk during disasters and agricultural work. The dual-format approach represents a significant advancement in microbial toxin evaluation methodology while promoting animal welfare in scientific research.
Current diagnostic approaches for tetanus rely primarily on clinical recognition of characteristic symptoms, as direct pathogen isolation and identification from wound sites is often unsuccessful due to the anaerobic nature and sporadic distribution of
C. tetani [
1]. Clinical diagnosis is further complicated by the variable incubation period (3–21 days) and the fact that symptoms may not appear until significant neurological damage has occurred. Traditional laboratory confirmation through mouse bioassays, while definitive, requires several days and extensive animal resources, making it impractical for routine clinical decision-making where immediate treatment initiation is critical for patient outcomes.
Several alternative approaches have been developed for tetanus toxin and antitoxin evaluation, primarily in the context of vaccine quality control. These include TOBI (Test for Potency in Biological Products), cell-based assays (including Vero cell-based assays), and BINACLE (BINding And CLEavage assay) techniques [
17,
18,
19]. Recent developments have demonstrated the potential of ELISA-based methods for tetanus toxoid potency testing as alternatives to animal challenge tests [
20]. However, these methods are specifically optimized for vaccine standardization and quality control applications, often requiring specialized facilities, standardized reference preparations, and extended incubation periods. Their application to environmental isolates or clinical specimens presents significant challenges due to matrix interference, variable toxin concentrations, and the need for rapid results in clinical settings.
The development of immunoassay-based approaches offers several advantages for clinical and environmental applications. Quantitative assessment is essential for risk stratification, enabling differentiation between high-risk and low-risk isolates that require different clinical management approaches. Environmental monitoring applications require rapid screening capabilities to assess contamination levels during disaster response or agricultural exposure incidents. Furthermore, the variable toxin-production capabilities among
C. tetani strains (as demonstrated in our previous phylogenetic analysis [
9]) necessitates methods capable of detecting and quantifying toxin across a wide dynamic range.
The integration of both quantitative (ELISA) and qualitative rapid testing (IC) addresses complementary needs: immediate risk assessment in field settings through IC screening, followed by precise quantification through ELISA when detailed dose–response information is required for clinical or environmental risk management decisions. This dual approach represents a practical solution for implementing 3R principles while maintaining the analytical capability required for diverse tetanus toxin evaluation applications.
Previous ELISA studies for tetanus toxoid applications have demonstrated strong correlations with biological activity, with correlation coefficients reaching 0.931 between serological responses and challenge test results [
20]. However, these studies primarily focused on vaccine standardization rather than clinical or environmental applications. The present study addresses this gap by developing methods specifically optimized for diverse sample matrices and rapid clinical decision-making.
While the IC assay provides rapid qualitative results, it has inherent limitations, including its semi-quantitative nature and potential for subjective interpretation of signal intensity. Future developments could incorporate fluorescent labels or digital signal quantification to enhance objectivity and enable semi-quantitative assessment.
Despite recent advances in alternative testing methods [
21], no validated system exists for rapid, quantitative tetanus toxin evaluation in clinical and environmental contexts.
3. Discussion
The ELISA-based method developed in this study demonstrated a strong correlation between measured tetanus toxin antigen levels and mouse bioactivity assays. However, it is important to acknowledge the fundamental distinction between immunoreactive protein quantification and functional neurotoxic bioactivity. Our ELISA measures total tetanus toxin protein, while mouse LD
50 assays evaluate functional neurotoxic activity in vivo. The observed 0.71–6.03-fold variation between ELISA-derived values and mouse LD
50 reflects this inherent biological difference, where immunologically detectable but biologically inactive toxin molecules can result from protein degradation, conformational changes, or aggregation during culture storage. Despite this inherent limitation, correlation analysis between ELISA relative potency values and observed MLD values for all 18 isolates revealed a robust positive correlation (r = 0.974,
p < 0.01, R
2 = 0.948), demonstrating that ELISA measurements can serve as reliable predictors of relative bioactivity trends across different isolate sources. This addresses a significant gap in the literature, as studies analyzing direct correlations between tetanus toxin antigen levels and biological activity are limited [
16]. The ELISA achieved high sensitivity with a lower limit of quantification of 2.4 ng/mL (equivalent to 85.4 LD
50/mL), which compares favorably with previously reported methods for detecting tetanus toxin.
The choice of polyclonal capture antibodies was based on several considerations: recognition of multiple epitopes on tetanus toxin for improved sensitivity, robust recognition across
C. tetani strain variations given the observed genetic diversity [
9], and cost-effectiveness for assay development. While monoclonal antibodies could theoretically provide improved specificity, our polyclonal system demonstrated excellent specificity with <1% cross-reactivity to other Clostridium toxins, meeting analytical requirements for tetanus toxin detection.
Compared to existing direct detection systems, this ELISA demonstrated superior sensitivity, with approximately 4.1-fold higher sensitivity than Fe-MOF biosensor systems (9.4 ng/mL) [
22]. Recent advances in tetanus toxoid potency testing have also explored ELISA-based alternatives to animal bioassays [
20], though these methods focus primarily on vaccine standardization rather than direct toxin detection from clinical and environmental samples. While direct comparison with SPR biosensors is challenging due to different reporting units, our method achieved competitive sensitivity among direct toxin detection systems [
23].
This represents one of the most sensitive ELISA-based methods reported for detection of tetanus toxin and establishes a new benchmark for immunoassay-based toxin evaluation. Similar advances in bacterial neurotoxin detection have been achieved with botulinum toxin ELISA systems, where electrochemiluminescent methods achieved detection limits of 3–13 pg/mL, demonstrating their potential as ultrasensitive immunoassay approaches [
24]. The measurement range (2.4–45.6 ng/mL) effectively covered the diverse toxin-production capabilities observed in both environmental and clinical isolates. The ELISA method successfully assessed isolates with relative potency values and captured the wide range of toxin-production capabilities observed among both environmental and clinical isolates, demonstrating its robustness across diverse analytical applications. The method proved capable of accurately assessing isolates spanning nearly three orders of magnitude in biological activity, validating its utility for both environmental monitoring and clinical diagnosis without extensive animal testing.
In addition to ELISA, we developed an IC assay using the same antibody pair to enable rapid qualitative screening, and successfully detected all 18 isolates within 15 min. The IC assay offers significant advantages for on-site testing and rapid clinical decision-making, enabling immediate qualitative assessment without the need for laboratory equipment or technical expertise [
25,
26]. Notably, in samples that exhibited high-intensity positive signals, we observed slight variations in the control line intensity, likely due to consumption of the detection antibody (TH-11) at the test line, which is characteristic of sandwich IC systems when dealing with high-concentration analytes [
25,
26]. This phenomenon did not affect the qualitative interpretation but highlighted the importance of appropriate sample dilution to obtain consistent results.
These two immunoassay formats serve complementary roles, with ELISA being appropriate for precise quantification and IC assays being useful for rapid screening. The ELISA and IC combination provides complementary analytical capabilities that address different operational needs. The IC assay serves as a rapid screening tool for immediate risk assessment in field or emergency settings, while quantitative ELISA provides precise measurements necessary for detailed risk assessment, treatment planning, and epidemiological investigations. This tiered approach optimizes workflow efficiency by reserving time-intensive quantitative analysis for confirmed positive samples, reducing overall analytical burden while maintaining diagnostic accuracy. The combined ELISA and IC approach established in this study provides a comprehensive solution for evaluating tetanus toxin. This combination enables immediate risk assessment, followed by precise quantification when required, significantly enhancing the practical utility of 3R-compliant tetanus toxin evaluation.
Two analytical approaches were validated for the comprehensive evaluation of toxins across all 18 isolates. The ELISA method demonstrated excellent performance across the extended dataset, with both environmental and clinical isolates showing consistent dose–response relationships. The exceptional correlation between different ELISA quantification approaches confirmed their consistency and validity across diverse isolate sources. The method successfully captured the wide range of toxin-production capabilities, spanning nearly three orders of magnitude in biological activity.
The observed differences between ELISA measurements and mouse bioassays reflect fundamental methodological distinctions rather than experimental errors. Analysis of the three representative strains with precise LD50 measurements showed that ELISA values ranged from 0.71- to 6.03-fold compared to mouse LD50 values, with higher discrepancies observed in low-toxin-producing strains. Mouse bioassays measure actual biological toxicity through in vivo responses, while ELISA quantifies total tetanus toxin protein concentration, including potentially inactive molecules resulting from protein degradation, conformational changes, or aggregation during culture storage. For instance, the low-producer strain KHSU-144303-003 showed a 6.03-fold difference, suggesting significant amounts of immunologically detectable but biologically inactive toxins.
The molecular basis for these discrepancies involves several distinct biochemical pathways that can render tetanus toxin biologically inactive while preserving immunoreactivity. Proteolytic degradation represents a primary mechanism, where environmental or endogenous proteases cleave specific peptide bonds within the toxin molecule. The tetanus toxin structure consists of a heavy chain (100 kDa) responsible for receptor binding and membrane translocation, and a light chain (50 kDa) containing the zinc-dependent catalytic domain, connected by an interchain disulfide bond. Proteolytic cleavage can occur at multiple sites, particularly affecting the light chain’s catalytic activity or disrupting the interchain connection, while major immunogenic epitopes on both chains may remain intact and accessible to antibodies.
Oxidative modifications represent another critical pathway for activity loss. The cata-lytic domain contains a zinc-binding motif (HEXXH) that is particularly susceptible to oxidative damage from reactive oxygen species or metal ion interactions. Oxidation of critical histidine or cysteine residues can abolish the zinc-dependent proteolytic activity essential for neurotoxicity, while the overall protein structure remains sufficiently intact for antibody recognition. Additionally, methionine and tryptophan residues involved in receptor binding may undergo oxidative modifications that eliminate cellular uptake capacity without affecting immunological detection.
Conformational alterations due to environmental stress represent a third major mechanism. Temperature fluctuations, pH changes, ionic strength variations, or dehydration-rehydration cycles during culture storage can cause partial protein unfolding or misfolding. These conformational changes may eliminate the precise three-dimensional structure required for receptor binding or membrane translocation while preserving linear epitopes and secondary structure elements recognized by poly-clonal antibodies. The differential sensitivity of biological function versus immunoreactivity to conformational perturbations explains why some strains show higher ELI-SA-bioactivity discrepancy ratios.
Protein aggregation through intermolecular disulfide formation, hydrophobic interactions, or non-covalent association can render individual toxin molecules biologically inaccessible while maintaining epitope presentation. Aggregated proteins may retain immunoreactivity through surface-exposed epitopes but lose biological activity due to steric hindrance preventing proper receptor interaction or cellular uptake.
The strain-specific variations in ELISA-bioactivity ratios (0.71–6.03-fold) likely reflect differences in intrinsic toxin stability, endogenous protease expression, and culture condition sensitivity among different C. tetani lineages. Higher discrepancies in low-producing strains may indicate either inherently less stable toxin variants or suboptimal production conditions leading to increased inactive molecule accumulation.
However, the strong correlation (r = 0.974 for combined MLD prediction across 18 isolates) validated the biological relevance of ELISA measurements as reliable predictors of relative toxin bioactivity across both environmental and clinical specimens. Notably, when the established ELISA-to-bioactivity relationship (0.71–6.03-fold range) was applied to predict the biological activity of the additional 8 clinical isolates, subsequent MLD evaluation confirmed that all isolates fell within the expected range, further validating the predictive utility of the ELISA method for diverse C. tetani strains. The ELISA method successfully captured the wide range of toxin-production capabilities observed among both environmental and clinical isolates, providing a robust approach for diverse analytical needs in both environmental monitoring and clinical diagnosis.
The validated method offers significant advantages over conventional mouse bioassays, including reduced measurement time (from days to hours), the elimination of animal use, and the capacity for simultaneous analysis of multiple samples. Matrix interference evaluation confirmed its direct applicability to culture supernatants, supporting its clinical implementation for rapid toxin assessment and decision support in clinical settings. The strong correlation observed in this study demonstrates the practical utility of this method as a reliable 3R-compliant alternative to animal experimentation, representing an essential advancement in tetanus toxin evaluation [
27].
Consistent with our previous phylogenetic analysis [
9], both environmental and clinical isolates demonstrated remarkable genetic diversity and differences in toxin-production capabilities. This ELISA method proved capable of accurately assessing these characteristics across different specimen types without the need for extensive animal experimentation. This capability is vital for both clinical diagnosis and public health applications, bridging environmental monitoring and clinical practice.
Rapid toxin assessment of both environmental and clinical isolates improves treatment strategies and prognosis determination [
6]. The validation with clinical specimens demonstrates the method’s direct applicability in healthcare settings. Notably, in emergencies during disasters and agricultural accidents where the risk of tetanus exposure is elevated [
7,
8], the combination of 15 min IC screening and precise ELISA quantification significantly enhances patient management and environmental risk assessment across diverse specimen types. While the IC assay enables rapid detection within 15 min, practical implementation for environmental samples requires consideration of sample preparation requirements. Environmental samples containing
C. tetani require prior cultivation and processing to achieve detectable toxin concentrations, which limits the “on-site” application to situations where basic laboratory facilities are available. The primary advantage of the IC format lies in its ability to provide immediate qualitative results once culture supernatants are prepared, eliminating the need for complex instrumentation and technical expertise typically required for laboratory-based quantification.
This method represents a significant advancement in the implementation of the 3R principle for microbial toxin evaluation [
3,
27]. The practical implementation pathway is well supported by eliminating animal experimentation while maintaining analytical accuracy and throughput [
28], with precedents of regulatory acceptance demonstrated by recent developments in tetanus toxoid potency testing [
20]. Although implementation requires the establishment of reference materials and quality control systems, the development of a comprehensive tetanus toxin evaluation system is anticipated through geographical expansion, clinical specimen compatibility, and integration with automation.
This study validated both ELISA and IC methods for measuring tetanus toxin levels across environmental and clinical isolates, demonstrating their validity as alternatives to animal testing. The combined system enables rapid qualitative screening (15 min) and accurate quantitative evaluation across a measurement range of 2.4–45.6 ng/mL (85.4–1805 LD50/mL), effectively covering a 258-fold range in relative potency and 600-fold range in biological activity. This establishes a comprehensive alternative methodology that is superior to conventional bioassays and contributes significantly to the implementation of the 3R principles in both environmental monitoring and clinical applications.
Several limitations should be considered when interpreting these results. The bacterial strains used in this study originated from Kumamoto Prefecture, Japan, which represents a geographically confined sampling area. However, our previous comprehensive analysis of 151
C. tetani isolates from this region revealed remarkable genetic diversity spanning all major global phylogenetic clades, with multiple lineages coexisting even at individual sampling sites [
9]. The 18 strains selected for this study were chosen to represent this phylogenetic diversity across different toxin-production capabilities. While broader geographic validation would strengthen global applicability, the genetic diversity captured in this study spans the major
C. tetani lineages identified worldwide. Although 18 strains provided proof-of-concept validation, larger multi-center studies would enhance statistical power and generalizability.
5. Materials and Methods
5.1. Tetanus Toxin and Bacterial Strains
TT-001 at a protein concentration of 1.825 mg/mL and tetanus toxoid at a protein concentration of 2.04 mg/mL were both obtained from KM Biologics Co., Ltd., Kumamoto, Japan. TT-001 served as the reference standard for potency determination and analytical method validation, while the toxoid was used for rabbit immunization and preparation of the affinity purification column. Both preparations were stored at −80 °C until analysis.
Overall, 18 representative
C. tetani strains with diverse toxin-production capabilities were selected for this study. Selection was based on previous phylogenetic analyses and clinical specimen collections [
9]. This study included 10 initial isolates (9 environmental + 1 clinical) from previous phylogenetic studies and 8 additional clinical isolates to validate clinical applicability. All strains were cultured in brain heart infusion (BHI) medium at 37 °C for 96 h, followed by centrifugation at 1100×
g for 20 min. The resulting supernatants were filtered through a 0.2 µm membrane filter and stored frozen at −80 °C until analysis.
5.2. ELISA Development and Validation
5.2.1. Production of Polyclonal Antibodies for ELISA Plate Coating
Anti-tetanus toxin polyclonal antibodies were produced by immunizing Japanese white rabbits (female, approximately 3.0 kg, n = 2; ARK Resource, Kumamoto, Japan) with tetanus toxoid. The immunization protocol consisted of four intradermal injections of 0.5 mg tetanus toxoid per injection administered at 2-week intervals in the dorsal region. For primary immunization, tetanus toxoid was mixed with equal volumes of Freund’s complete adjuvant (FCA; BD, Franklin Lakes, NJ, USA). For subsequent booster immunizations, Freund’s incomplete adjuvant (FIA; BD, Franklin Lakes, NJ, USA) was used instead of FCA. Ten days after the final immunization, whole blood was collected to obtain immune serum.
The immune serum (5 mL) was purified by a stepwise procedure. Briefly, the se-rum was diluted five-fold with physiological saline (0.9% NaCl; FUJIFILM Wako Pure Chemical, Osaka, Japan), followed by ammonium sulfate precipitation at 45% saturation. A saturated ammonium sulfate solution was gradually added under gentle stir-ring at 4 °C to achieve a final saturation of 45%, and the mixture was incubated over-night at 4 °C. The precipitate was collected by centrifugation at 10,000× g for 20 min at 4 °C, dissolved in 5 mL physiological saline, and extensively dialyzed against physiological saline (500 mL, three changes) at 4 °C using a dialysis membrane (Thermo Fisher Scientific, Waltham, MA, USA) with a molecular weight cutoff of 10 kDa.
For affinity purification, a tetanus toxoid-immobilized column was prepared using the Carboxy Link Immobilization Kit (Thermo Fisher Scientific, Waltham, MA, USA) according to the manufacturer’s instructions. Briefly, 3 mg of tetanus toxoid was im-mobilized on 2 mL of resin. The column was equilibrated with 6 mL of binding/wash buffer (1 M NaCl in PBS, pH 7.4; Santa Cruz Biotechnology, Dallas, TX, USA). The dialyzed sample (2 mL) was added to the column and incubated at room temperature for 1 h. After washing with 12 mL of binding/wash buffer, the bound antibody was eluted with 8 mL of elution buffer (Pierce IgG Elution Buffer; Thermo Fisher Scientific, Waltham, MA, USA). Eluted fractions (1 mL each) were collected into tubes containing 50 μL neutralization buffer (1 M Tris-HCl, pH 9.0; Nacalai Tesque, Kyoto, Japan). Antibody concentrations were determined by absorbance at 280 nm using a BioSpectrometer (Eppendorf, Hamburg, Germany). The purity of the antibodies was assessed by SDS-PAGE analysis. High-purity fractions were pooled and concentrated using Amicon Ultra-15 centrifugal filters (Merck Millipore, Burlington, MA, USA). The purified antibodies showed a characteristic IgG band at approximately 140–150 kDa under non-reducing conditions by SDS-PAGE analysis (Figure S1), confirming successful purification of tetanus toxin-specific antibodies.
5.2.2. Preparation of ELISA Plates
Affinity-purified rabbit polyclonal anti–tetanus toxin antibodies were diluted to 5 µg/mL in 10 mM PBS (pH 7.4; Takara Bio, Shiga, Japan) and 0.1% sodium azide (Nacalai Tesque, Kyoto, Japan). Next, 100 µL of the antibody solution was added to each well of flat-bottom 96-well plates (Nunc Immuno Plates; Thermo Fisher Scientific, Waltham, MA, USA). After incubation at 25 °C for approximately 16 h, the plates were washed three times with 10 mM PBS and blocked with 350 µL of blocking solution containing 1% bovine serum albumin (FUJIFILM Wako Pure Chemical, Osaka, Japan), 5% lactose (Nacalai Tesque, Kyoto, Japan), 5% sucrose (Nacalai Tesque, Kyoto, Japan), 1/2500 Proclin300 (Sigma-Aldrich, St. Louis, MO, USA), and 2% Immunoblock (KAC, Kyoto, Japan) in 10 mM PBS. The plates were then incubated overnight at 4 °C. After removing the blocking solution, the plates were dried in a desiccator until the humidity level was below 35%. They were then vacuum-packed in aluminum laminate bags with desiccant and stored at 4 °C until use.
5.2.3. Preparation of HRP-Labeled Detection Antibodies
The detection antibody was prepared by conjugating horseradish peroxidase (HRP; Sigma-Aldrich, St. Louis, MO, USA) to an anti-tetanus toxin mouse monoclonal antibody, TH-11 (FUJIFILM Wako Pure Chemical, Osaka, Japan), using the periodate oxidation method. Briefly, HRP (3.5 mg, corresponding to ~1000 units) dissolved in 1.0 mL of distilled water was oxidized by the addition of 0.2 mL of 0.1 M sodium periodate (NaIO4) for 20 min at room temperature in the dark. The oxidized HRP was subsequently dialyzed overnight at 4 °C against 1 mM sodium acetate buffer (pH 4.4) using a dialysis membrane with a molecular weight cutoff of 10 kDa (Thermo Fisher Scientific, Waltham, MA, USA).
Separately, the TH-11 antibody (5.3 mg/mL; total 8 mg) was dialyzed overnight at 4 °C against 0.01 M sodium carbonate buffer (pH 9.5) using the same molecular weight cutoff membrane. The pH of the oxidized HRP solution was adjusted to pH 9.0–9.5 with 0.2 M sodium carbonate buffer, and the dialyzed TH-11 antibody was slowly added to the HRP solution. The conjugation reaction was carried out at a ratio of 1000 units of HRP per 8 mg of TH-11, and the mixture was gently stirred for 2 h at room temperature in the dark. Following conjugation, the reaction mixture was reduced by the addition of 0.1 mL of 0.1 M sodium borohydride (NaBH4; Nacalai Tesque, Kyoto, Japan) and incubated for 2 h at 4 °C. The resulting HRP–antibody conjugate was purified by gel filtration chromatography using a Sephacryl S-200 HR (XK16/60; Cytiva, Tokyo, Japan) column equilibrated with 13.3 mM PBS (pH 7.5) as the elution buffer. Eluted fractions with A403/A280 ratios ≥ 0.4 were pooled and stored at −80 °C with bovine serum albumin (final concentration 10 mg/mL) as a stabilizer.
5.2.4. Measurement Procedure
For the measurements, samples were prepared by two-fold serial dilution using a sample diluent (1% BSA, 0.05% Tween 20 (FUJIFILM Wako Pure Chemical, Osaka, Japan), 1/2500 Proclin 300, and PBS). When sample concentrations exceeded the calibration range, culture supernatants were serially diluted in sample diluent until concentrations fell within the measurement range. Dilution factors were recorded and applied to final concentration calculations. The HRP-labeled detection antibody was diluted to 200 ng/mL in a dilution buffer containing 1% BSA, 50 µg/mL HAMA blocker (Funakoshi, Tokyo, Japan), 1 mM ZnCl2 (Nacalai Tesque, Kyoto, Japan), 1 mM MgCl2 (Nacalai Tesque, Kyoto, Japan), 0.005% Bromocresol Purple (BCP; Tokyo Chemical Industry, Tokyo, Japan), 1/2500 Proclin 300, 1% Immunoblock, 0.02% Tween 20, 10% HRP Stabilizing Reagent H100 (Nippon Oil & Fats, Tokyo, Japan), 10 µg/mL TRUBlock ULTRA (Meridian Life Science, Memphis, TN, USA), and 10% IMMUNO SHOT-Platinum (Cosmo Bio, Tokyo, Japan) in 0.1 M Tris-0.15 M NaCl (pH 7.2). After adding 100 μL/well of diluted HRP-labeled detection antibodies and 50 μL/well of sample, the plates were incubated at 37 °C for 2 h, washed five times with TBS-T, and 100 µL of 3,3′,5,5′-tetramethylbenzidine solution (SeraCare Life Sciences, Gaithersburg, MA, USA) was added as a chromogenic substrate. The reaction was stopped after incubation at 37 °C for 30 min with 100 µL/well of 1 M sulfuric acid (Nacalai Tesque, Kyoto, Japan), and absorbance was measured at A450 nm/A620 nm using a microplate reader (Multiskan FC; Thermo Fisher Scientific, Waltham, MA, USA).
5.2.5. Method Validation
The method was validated in accordance with the ICH Q2 (R1) guidelines to assess linearity, accuracy, precision, specificity, and reproducibility [
29].
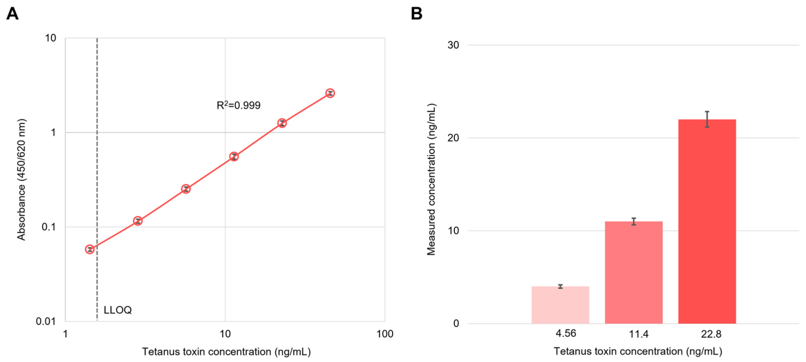
For linearity assessment, TT-001 was serially diluted in the range of 1.4–45.6 ng/mL, and calibration curves were generated using the 4PL regression model. Six replicate measurements were performed per concentration per day over three independent days (n = 6 per day). The daily mean was calculated for each concentration, and the overall mean ± standard deviation was derived from the three daily means (n = 3 days) to evaluate inter-day variability.
Intermediate precision was assessed at three concentration levels (nominal: 4.56, 11.4, and 22.8 ng/mL). Each concentration was measured eight times per day over three independent days (n = 8 per day; total n = 24 measurements per concentration), and precision was expressed as the coefficient of variation (CV, %) calculated from all 24 measurements, reflecting combined intra-day (repeatability) and inter-day variability.
Cross-reactivity was assessed using toxins from other Clostridium species (C. septicum Lot.5, C. novyi Lot.4, and C. perfringens Lot.4; all obtained from National Institute of Infectious Diseases (NIID), Tokyo, Japan). Each heterologous toxin was tested in the same concentration range as the TT-001 calibration curve (n = 3), and cross-reactivity was calculated as the percentage of absorbance at the highest test concentration relative to TT-001 absorbance at the same concentration, with an acceptance criterion of <5%. Matrix interference was evaluated using the culture supernatant of KHSU-154301-001 diluted in both sample diluent and BHI medium, through parallel line assay. The acceptance criterion was set at p > 0.05 (n = 3), and statistical analysis was performed using unpaired t-test to compare the two matrices.
5.3. Animal Bioassays
Female slc:ddy mice (4 weeks old, 18–20 g, SLC, Hamamatsu City, Japan) were used for LD50 determination and housed in polycarbonate cages with paper bedding under controlled conditions (12 h light-dark cycle, 22 ± 2 °C, 50–60% humidity) with ad libitum access to food and water. The mice were randomly assigned to groups. At study completion, the mice were euthanized by CO2 inhalation. All animals met the inclusion criteria, with no exclusions required.
The LD50 of TT-001 was determined using Tetanus Test Toxin Lot 5 (4.4 × 106 LD50/mL; NIID, Japan) as the reference standard. Each dilution was administered subcutaneously at a volume of 0.5 mL to four mice per group, and mortality was observed for five days to calculate the LD50. For environmental isolates, a preliminary MLD evaluation was performed to establish the relationship between values obtained using ELISA and biological activity and to select representative strains for detailed LD50 analysis. Three representative strains with high, moderate, and low toxin-production levels (KHSU-134328-113, KHSU-144313-037, and KHSU-144303-003, respectively) were selected for LD50 measurements using the same method.
All animal experiments were approved by the Animal Experimentation Ethics Committee of ARK Resource Co., Ltd. and Kumamoto Health Science University (approval number: AW-21022, 23-08) and were conducted in accordance with the institutional guidelines and 3R principles [
14].
5.4. Quantitative Analysis Methods
A total of 10 initial isolates (9 environmental + 1 clinical) were initially screened using a validated ELISA with TT-001 as the reference standard. Based on a preliminary evaluation, KHSU-154301-001 was selected as an intermediate-level producer for further analysis and used as a reference standard to predict the MLD values of the remaining nine isolates through ELISA measurements. Subsequently, 8 additional clinical isolates were evaluated using the same methodology to extend clinical validation and demonstrate broader clinical applicability.
Two approaches were employed for the precise quantification of toxins in the 10 initial isolates. First, all isolates were evaluated using the validated ELISA with the 4PL method, with concentrations calculated from the LD50 value of TT-001. TT-001 stock solution (6.5 × 107 LD50/mL) was appropriately diluted to a working concentration of 1406 LD50/mL, which served as the reference standard for both quantification methods. Second, for relative potency determination, TT-001 and initial isolates were serially diluted to generate calibration curves spanning 88.2–1410 LD50/mL equivalent concentrations, and a parallel line assay was performed.
5.5. Immunochromatographic Assay
The IC assay kit for the rapid detection of tetanus toxin was developed using the same antibody pair used in the ELISA system. The test strips consisted of the following components: (1) sample pad (Millipore, MA, USA), (2) conjugate pad (Millipore, Burlington, MA, USA) containing colloidal gold-labeled TH-11 detection antibody (40 nm gold particles; OD = 1.5, 23.3 μL per strip; prepared by ARK Resource, Tokyo, Japan), (3) nitrocellulose membrane (12 μm pore size; Cytiva, Marlborough, MA, USA) with immobilized capture antibody, (4) absorbent pad (Millipore, Burlington, MA, USA), and (5) backing plastic sheet (Lohmann, Cuxhaven, NRW, Germany).
The test line was prepared by dispensing anti-tetanus toxin polyclonal antibody at 1 mg/mL concentration (1 μL/cm) using an automated dispenser. The control line contained anti-mouse IgG rabbit polyclonal antibody (Proteintech, Rosemont, IL, USA) at 0.2 mg/mL concentration (1 μL/cm). Culture supernatants of all 18 isolates, TT-001 standards (2.5, 25, and 50 ng/mL), and negative controls were tested using 100 μL of undiluted sample per measurement. The results were interpreted as positive or negative after 15 min, based on the visibility of the test line.
5.6. Statistical Analysis
Matrix interference was evaluated using an unpaired
t-test with a significance level of
p > 0.05. LD
50 values were calculated using the probit method. A parallel line assay was performed using Bioassay Assist statistical analysis software (Version 3.0, NIID). Calibration curves were fitted using the 4PL method, which is extensively validated for immunoassay data analysis with sigmoidal dose–response relationships [
30]. Correlations between the ELISA measurements and mouse bioassays were evaluated using Pearson’s correlation coefficient. Statistical significance was set at
p < 0.01. Linear regression analysis was performed on the log-transformed data, and the coefficient of determination (R
2) was calculated.