Sign in to use this feature.

Years

Between: -

Subjects

remove_circle_outline
remove_circle_outline
remove_circle_outline
remove_circle_outline
remove_circle_outline
remove_circle_outline
remove_circle_outline
remove_circle_outline
remove_circle_outline

Journals

remove_circle_outline
remove_circle_outline
remove_circle_outline
remove_circle_outline
remove_circle_outline
remove_circle_outline
remove_circle_outline
remove_circle_outline
remove_circle_outline
remove_circle_outline
remove_circle_outline
remove_circle_outline
remove_circle_outline
remove_circle_outline
remove_circle_outline
remove_circle_outline

Article Types

Countries / Regions

remove_circle_outline
remove_circle_outline
remove_circle_outline
remove_circle_outline
remove_circle_outline

Search Results (3,248)

Search Parameters:
Keywords = robotics problems

Order results
Result details
Results per page
Select all
Export citation of selected articles as:
23 pages, 1910 KB  
Article
Semi-Supervised Generative Adversarial Networks (GANs) for Adhesion Condition Identification in Intelligent and Autonomous Railway Systems
by Sanaullah Mehran, Khakoo Mal, Imtiaz Hussain, Dileep Kumar, Tarique Rafique Memon and Tayab Din Memon
AI 2026, 7(2), 78; https://doi.org/10.3390/ai7020078 - 18 Feb 2026
Viewed by 143
Abstract
Safe and reliable railway operation forms an integral part of autonomous transport systems and depends on accurate knowledge of the adhesion conditions. Both the underestimation and overestimation of adhesion can compromise real-time decision-making in traction and braking control, leading to accidents or excessive [...] Read more.
Safe and reliable railway operation forms an integral part of autonomous transport systems and depends on accurate knowledge of the adhesion conditions. Both the underestimation and overestimation of adhesion can compromise real-time decision-making in traction and braking control, leading to accidents or excessive wear at the wheel–rail interface. Although limited research has explored the estimation of adhesion forces using data-driven algorithms, most existing approaches lack self-reliance and fail to adequately capture low adhesion levels, which are critical to identify. Moreover, obtaining labelled experimental data remains a significant challenge in adopting data-driven solutions for domain-specific problems. This study implements self-reliant deep learning (DL) models as perception modules for intelligent railway systems, enabling low adhesion identification by training on raw time sequences. In the second phase, to address the challenge of label acquisition, a semi-supervised generative adversarial network (SGAN) is developed. Compared to the supervised algorithms, the SGAN achieved superior performance, with 98.38% accuracy, 98.42% precision, and 98.28% F1-score in identifying seven different adhesion conditions. In contrast, the MLP and 1D-CNN models achieved accuracy of 91% and 93.88%, respectively. These findings demonstrate the potential of SGAN-based data-driven perception for enhancing autonomy, adaptability, and fault diagnosis in intelligent rail and robotic mobility systems. The proposed approach offers an efficient and scalable solution for real-time railway condition monitoring and fault identification, eliminating the overhead associated with manual data labelling. Full article
(This article belongs to the Special Issue Development and Design of Autonomous Robot)
24 pages, 10860 KB  
Article
PostureSense: A Low-Cost Solution for Postural Monitoring
by Nicoletta Cinardi, Giuseppe Sutera, Dario Calogero Guastella and Giovanni Muscato
Actuators 2026, 15(2), 125; https://doi.org/10.3390/act15020125 - 16 Feb 2026
Viewed by 165
Abstract
Assistive devices in recent years have transitioned from a passive mode of operation to the integration of smart solutions that enable humans to interact with active and robotic platforms. The main problems in the evolution of this kind of device are accessibility in [...] Read more.
Assistive devices in recent years have transitioned from a passive mode of operation to the integration of smart solutions that enable humans to interact with active and robotic platforms. The main problems in the evolution of this kind of device are accessibility in terms of price and the functional limitations of the smart integrated solutions. This project proposes an armrest prototype for integration into smart walkers or wheelchairs that can detect the user’s intentions at a low development cost. The smart principle of operation is based on Hall-effect sensors, strategically positioned to measure the Center of Pressure (CoP) of the user’s forearm and to classify motor intention using machine learning algorithms such as Random Forest and Leave-One-Subject-Out (LOSO). The detection and correct classification of the user’s intention is a tool that can be integrated as a control system for both motorized and passive assistive devices. Full article
(This article belongs to the Special Issue Rehabilitation Robotics and Intelligent Assistive Devices)
Show Figures

Figure 1

31 pages, 18570 KB  
Article
3D Obstacle Avoidance Path Planning Algorithm and Software Design for UUV Based on Improved D* Lite-APF
by Peisen Jin, Wenkui Li, Jinlin Zhan and Chenyang Shan
J. Mar. Sci. Eng. 2026, 14(4), 373; https://doi.org/10.3390/jmse14040373 - 15 Feb 2026
Viewed by 234
Abstract
To meet the development requirements of the path planning unit for unmanned underwater vehicles (UUVs), research is conducted on UUV 3D obstacle avoidance path planning algorithms and software design. Firstly, aiming at the problem of underwater 3D obstacle avoidance path planning for UUVs, [...] Read more.
To meet the development requirements of the path planning unit for unmanned underwater vehicles (UUVs), research is conducted on UUV 3D obstacle avoidance path planning algorithms and software design. Firstly, aiming at the problem of underwater 3D obstacle avoidance path planning for UUVs, a global path planning algorithm based on the improved D* Lite is designed, and a local path planning algorithm combining the 3D obstacle avoidance strategy and the improved artificial potential field (APF) algorithm is designed. Secondly, based on the above path planning algorithms, a UUV 3D obstacle avoidance path planning software is developed under the Robot Operating System 2 (ROS2) framework and deployed on an Orange Pi 5B. To test the algorithms and the developed software, a UUV autonomous navigation hardware-in-the-loop (HIL) simulation system is constructed. Finally, based on this system, three types of HIL simulation experiments are conducted, including global path planning, local path planning, and comprehensive obstacle avoidance path planning. The simulation experiments show that the improved D* Lite-APF algorithm has better comprehensive performance than the traditional D* Lite-APF algorithm; the path planning software can guide the UUV to reach the goal point safely and runs stably and reliably. The designed UUV 3D obstacle avoidance path planning algorithm and software exhibit good obstacle avoidance performance and can be applied to the rapid development of actual UUV path planning units. Full article
(This article belongs to the Section Ocean Engineering)
Show Figures

Figure 1

23 pages, 1267 KB  
Article
Mathematical Modeling of Passive and Active Tensions in Biological Muscles for Soft Robotic Actuators
by Amirreza Fahim Golestaneh
Robotics 2026, 15(2), 43; https://doi.org/10.3390/robotics15020043 - 14 Feb 2026
Viewed by 135
Abstract
Biological muscles generate tension from the combined contribution of the passive elastic recoil and the actively controlled contractile mechanisms. Understanding and replicating these passive and active tensions is necessary and beneficial for designing soft robotic actuators that emulate muscle-like behavior. In the current [...] Read more.
Biological muscles generate tension from the combined contribution of the passive elastic recoil and the actively controlled contractile mechanisms. Understanding and replicating these passive and active tensions is necessary and beneficial for designing soft robotic actuators that emulate muscle-like behavior. In the current work, the aim is to develop a mathematical framework for modeling both the passive and active tensions in a biological muscle as functions of muscle length and contraction velocity. We will describe the passive tension by a nonlinear monotonically increasing function of length with threshold behavior in order to capture the experimentally observed stiffening occurring in stretched biological muscles. We will model the active tension using the superposition of Gaussian functions that relate bell-shaped tension-length with a flat plateau over the optimal length of the sarcomere. The parameters of this Gaussian representation of the active tension-length relation are determined from formulating a least-squares optimization problem, such that a Characteristic (indicator) function is approximated globally over the optimal length range of the sarcomere by summation of some Gaussian functions. The closed-form formulations for the required integrals are derived using the integral of the product of two Gaussian functions over Rn as well as the error function which enables efficient parameter identification. We will also propose a symmetric tension–velocity relation that distinguishes three phases of concentric, eccentric and isometric contractions, and is parametrized directly by measurable quantities of isometric tension and maximum shortening velocity. The passive and active tensions are finally combined into a unified comprehensive tension model in which the exponentially modeled passive tension is added up to the active contribution, formulated as the product of the activation level, a normalized length-dependent factor and a normalized velocity-dependent factor. The resulting model reproduces canonical tension-length and tension-velocity relations and provides an analytically tractable comprehensive tension model that can be embedded in the dynamics of soft and continuum robot actuators inspired by biological muscles. Full article
(This article belongs to the Special Issue Dynamic Modeling and Model-Based Control of Soft Robots)
Show Figures

Figure 1

19 pages, 8898 KB  
Article
Trajectory Shaping to Reproduce Rod Tip Vibration Suppression in the Rebound Phenomenon of Fly-Casting
by Ryosuke Hakamata, Mitsuru Endo and Yusuke Sugahara
Robotics 2026, 15(2), 42; https://doi.org/10.3390/robotics15020042 - 13 Feb 2026
Viewed by 126
Abstract
Fly-casting is a throwing technique in which a flexible rod is used to cast a lightweight line. In skilled fly-casting, a phenomenon known as the rebound phenomenon is observed, where the residual vibration of the rod tip is suppressed by the re-acceleration of [...] Read more.
Fly-casting is a throwing technique in which a flexible rod is used to cast a lightweight line. In skilled fly-casting, a phenomenon known as the rebound phenomenon is observed, where the residual vibration of the rod tip is suppressed by the re-acceleration of the rod handle during the rod-stop phase. This vibration suppression plays an essential role in the casting performance; however, an engineering method for this phenomenon has not been established. Therefore, the purpose of this study is to propose a trajectory-shaping method by interpreting the rebound phenomenon as a vibration suppression control problem for flexible systems with nonzero initial conditions. The proposed method applies a conventional shaping framework to rod systems by introducing a second-order approximation and repeatedly shaping the input trajectory to suppress the approximation errors. Through simulations using a rod model, it was shown that the shaped trajectory yields the characteristic re-acceleration of the rod-handle angular velocity during the rod-stop phase, consistent with the rebound phenomenon. Through experiments using a robotic prototype, it was confirmed that the rod tip vibration amplitude is suppressed by over 80% in two types of casting. These results are useful for further studies on the engineering realization of fly-casting. Full article
(This article belongs to the Section Intelligent Robots and Mechatronics)
Show Figures

Figure 1

17 pages, 5323 KB  
Article
Research on Decoupling Measurement Technology for 2-DOF Angular Signals Based on Spherical Capacitive Sensors
by Shengqi Yang, Kezheng Chang, Zhipeng Zhang, Yaocheng Li, Yanfeng Liu, Zhong Li and Huiwen Wang
Sensors 2026, 26(4), 1215; https://doi.org/10.3390/s26041215 - 13 Feb 2026
Viewed by 140
Abstract
As a core functional component of multi-degree-of-freedom precision motion mechanisms, spherical hinges are widely used in high-end equipment fields such as industrial robots, vehicle engineering, and intelligent manufacturing. Their dynamic performance directly determines the motion accuracy and the level of intelligent control of [...] Read more.
As a core functional component of multi-degree-of-freedom precision motion mechanisms, spherical hinges are widely used in high-end equipment fields such as industrial robots, vehicle engineering, and intelligent manufacturing. Their dynamic performance directly determines the motion accuracy and the level of intelligent control of the equipment. The high-precision real-time measurement of two-degree-of-freedom (2-DOF) angles is a key prerequisite for achieving precise closed-loop control of spherical hinges. However, due to the strong coupling characteristics between the 2-DOF angle signals, it is difficult to directly and accurately measure the angular motion parameters of spherical hinges, which has become a core technical bottleneck restricting the improvement in their application efficiency. To address this challenge, this paper presents an improved study of the previously proposed spherical differential quadrature capacitance sensor for measuring the 2-DOF angle signals of spherical hinges. Firstly, the 2-DOF angle signal decoupling model is reconstructed and optimized. Secondly, a real-time decoupling circuit architecture for phase-shift detection with single-frequency signal excitation is innovatively proposed. This solution effectively addresses the incomplete decoupling of 2-DOF angle signals in previous studies, as well as the problems of considerable measurement noise, low resolution, and high calibration difficulty caused by random amplitude and phase errors in the excitation signals. Through the construction of an experimental platform for verification tests, the results show that the proposed scheme can significantly suppress the random errors caused by the parameter dispersion of the device, achieve an angle measurement resolution of 0.001°, and simultaneously considerably reduce the complexity of system calibration, laying a key technical foundation for the engineering application of spherical hinges in the fields of precision measurement and high-performance control. Full article
(This article belongs to the Section Physical Sensors)
Show Figures

Figure 1

23 pages, 16353 KB  
Article
RepACNet: A Lightweight Reparameterized Asymmetric Convolution Network for Monocular Depth Estimation
by Wanting Jiang, Jun Li, Yaoqian Niu, Hao Chen and Shuang Peng
Sensors 2026, 26(4), 1199; https://doi.org/10.3390/s26041199 - 12 Feb 2026
Viewed by 138
Abstract
Monocular depth estimation (MDE) is a cornerstone task in 2D/3D scene reconstruction and recognition with widespread applications in autonomous driving, robotics, and augmented reality. However, existing state-of-the-art methods face a fundamental trade-off between computational efficiency and estimation accuracy, limiting their deployment in resource-constrained [...] Read more.
Monocular depth estimation (MDE) is a cornerstone task in 2D/3D scene reconstruction and recognition with widespread applications in autonomous driving, robotics, and augmented reality. However, existing state-of-the-art methods face a fundamental trade-off between computational efficiency and estimation accuracy, limiting their deployment in resource-constrained real-world scenarios. It is of high interest to design lightweight but effective models to enable potential deployment on resource-constrained mobile devices. To address this problem, we present RepACNet, a novel lightweight network that addresses this challenge through reparameterized asymmetric convolution designs and CNN-based architecture that integrates MLP-Mixer components. First, we propose Reparameterized Token Mixer with Asymmetric Convolution (RepTMAC), an efficient block that captures long-range dependencies while maintaining linear computational complexity. Unlike Transformer-based methods, our approach achieves global feature interaction with tiny overhead. Second, we introduce Squeeze-and-Excitation Consecutive Dilated Convolutions (SECDCs), which integrates adaptive channel attention with dilated convolutions to capture depth-specific features across multiple scales. We validate the effectiveness of our approach through extensive experiments on two widely recognized benchmarks, NYU Depth v2 and KITTI Eigen. The experimental results demonstrate that our model achieves competitive performance while maintaining significantly fewer parameters compared to state-of-the-art models. Full article
(This article belongs to the Section Sensing and Imaging)
Show Figures

Figure 1

18 pages, 4660 KB  
Article
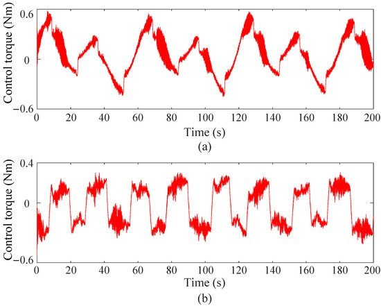
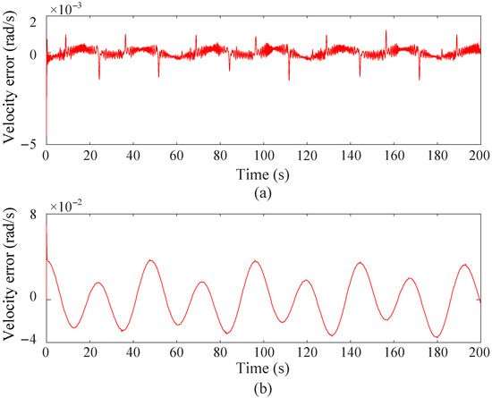
Symmetry Error Cost Function-Based Modular Robot Tracking Control: An Approximate Dynamic Programming Cooperative Game Approach
by Bing Ma, Zebin Ji, Yi Qin, Hucheng Jiang and Tianjiao An
Symmetry 2026, 18(2), 327; https://doi.org/10.3390/sym18020327 - 11 Feb 2026
Viewed by 149
Abstract
To address the issue the that traditional positive definite quadratic cost function, which incorporates both state and control variables, tends to approach infinity over an infinite time horizon in tracking problems—thus rendering optimization infeasible—this paper proposes a symmetric error cost function-based approach for [...] Read more.
To address the issue the that traditional positive definite quadratic cost function, which incorporates both state and control variables, tends to approach infinity over an infinite time horizon in tracking problems—thus rendering optimization infeasible—this paper proposes a symmetric error cost function-based approach for the tracking control of modular robots. The dynamic model of the modular robot system is constructed using joint torque feedback technology. By adopting the concept of approximate dynamic programming, each module of the system is treated as a participant in a cooperative game, transforming the trajectory tracking problem into an optimal control formulation. A critic fuzzy network is employed to approximate the system’s cost function, thereby deriving the optimal tracking control policy. The stability of the closed-loop system is demonstrated through the stability theorem, and the effectiveness of the proposed algorithm is verified via an experimental platform. Full article
(This article belongs to the Special Issue Symmetries in Dynamical Systems and Control Theory)
Show Figures

Figure 1

24 pages, 28367 KB  
Article
Hybrid Offline–Online Configuration Planning Approach for Continuum Robots Based on Real-Time Shape Estimation
by Hexiang Yuan, Zhibo Jing, Yibo He, Jianda Han and Juanjuan Zhang
Sensors 2026, 26(4), 1129; https://doi.org/10.3390/s26041129 - 10 Feb 2026
Viewed by 157
Abstract
Continuum robots possess highly flexible backbones, enabling remarkable adaptability and dexterity for motion in confined environments. However, this flexibility also introduces significant nonlinearities and uncertainties, making motion planning under physical constraints particularly challenging. To address this, a hybrid offline–online configuration planning framework is [...] Read more.
Continuum robots possess highly flexible backbones, enabling remarkable adaptability and dexterity for motion in confined environments. However, this flexibility also introduces significant nonlinearities and uncertainties, making motion planning under physical constraints particularly challenging. To address this, a hybrid offline–online configuration planning framework is proposed in this work. Specifically, the configuration planning problem is formulated as a nonlinear optimization task that considers collision avoidance and structural constraints. A co-evolutionary strategy is incorporated into the differential evolution (DE) algorithm to decompose the target high-dimensional optimization problem. Then, an unscented Kalman filter (UKF)-based strategy is presented for real-time shape estimation using tip pose feedback for safe distance monitoring. Based on this shape feedback, an online configuration refiner is designed to locally adjust the preplanned configurations, thus leveraging the global perspective of the offline planning configuration to steer the continuum manipulator through constrained spaces. Validation and comparative experiments demonstrate the effectiveness of the proposed method, as well as its enhanced motion smoothness and safe motion performance in real-world environments. Full article
(This article belongs to the Special Issue Applied Robotics in Mechatronics and Automation)
Show Figures

Figure 1

16 pages, 3579 KB  
Article
Design and Analysis of an Under-Actuated Adaptive Mechanical Gripper
by Yulong Wei, Jiangtao Yu and Ping Huo
Machines 2026, 14(2), 175; https://doi.org/10.3390/machines14020175 - 3 Feb 2026
Viewed by 175
Abstract
Robotic grippers play a crucial role in pick-and-place tasks, as their performance directly affects the robot’s operational efficiency, stability, and safety. In industrial applications, such as coal gangue sorting, the target objects have irregular shapes and sharp surfaces, which pose challenges to the [...] Read more.
Robotic grippers play a crucial role in pick-and-place tasks, as their performance directly affects the robot’s operational efficiency, stability, and safety. In industrial applications, such as coal gangue sorting, the target objects have irregular shapes and sharp surfaces, which pose challenges to the gripper’s grasping ability. To solve these problems, an adaptive under-actuated gripper based on rope control is designed. The gripper is simple to control and combines the excellent features of both rigid and flexible grippers. To analyze the characteristics of the gripper, both mathematical analysis and holding force experiments are conducted. The results show that the gripper can generate a greater holding force when grasping larger objects with a constant input air pressure. Furthermore, irregularly shaped testing objects, including coal lumps and ores, are selected to conduct grasping experiments. The gripper achieves a 100% grasping success rate with a load of up to four times the object’s weight suspended beneath it and shows the ability to reliably grasp irregularly shaped objects in high-speed pick-and-place tasks with a payload of four times the object’s weight. Meanwhile, the gripper has a passive anti-collision ability due to the special outer contour of the distal finger when subjected to unexpected, sudden force. Full article
(This article belongs to the Section Machine Design and Theory)
Show Figures

Figure 1

53 pages, 19616 KB  
Article
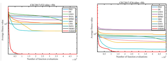
A Multi-Strategy Augmented Newton–Raphson-Based Optimizer for Global Optimization Problems and Robot Path Planning
by Xiuyuan Yi and Chengpeng Li
Symmetry 2026, 18(2), 280; https://doi.org/10.3390/sym18020280 - 3 Feb 2026
Viewed by 274
Abstract
Newton–Raphson-Based Optimizer (NRBO) is a recently proposed metaheuristic that combines mathematical search rules with population-based optimization; however, it still suffers from an insufficient balance between global exploration and local exploitation, limited local refinement accuracy, and weak adaptability in complex optimization scenarios. To address [...] Read more.
Newton–Raphson-Based Optimizer (NRBO) is a recently proposed metaheuristic that combines mathematical search rules with population-based optimization; however, it still suffers from an insufficient balance between global exploration and local exploitation, limited local refinement accuracy, and weak adaptability in complex optimization scenarios. To address these limitations, this paper proposes an Improved Newton–Raphson-Based Optimizer (INRBO), which enhances the original framework through a multi-strategy augmentation mechanism. Specifically, INRBO integrates three complementary strategies: (1) an adaptive differential operator with a linearly decaying scaling factor to dynamically regulate exploration and exploitation throughout the search process; (2) a quadratic interpolation strategy that exploits high-quality individuals to improve local search directionality and precision; and (3) an elitist population genetic strategy that preserves superior solution characteristics while maintaining population diversity and preventing premature convergence. The performance of INRBO is systematically evaluated on the CEC2017 benchmark suite under multiple dimensions and compared with several state-of-the-art metaheuristic algorithms. Experimental results demonstrate that INRBO achieves superior optimization accuracy, convergence efficiency, and robustness across unimodal, multimodal, hybrid, and composite functions, which is further confirmed by statistical significance tests. In addition, INRBO is applied to mobile robot path planning in grid-based environments of different scales, where it consistently generates shorter, smoother, and safer paths than competing algorithms. Overall, the proposed INRBO provides an effective and robust optimization framework for global continuous optimization problems and real-world engineering applications, demonstrating both strong theoretical value and practical applicability. Full article
(This article belongs to the Special Issue Symmetry in Numerical Analysis and Applied Mathematics)
Show Figures

Figure 1

23 pages, 8747 KB  
Article
Conditioned Sequence Models for Warm-Starting Sequential Convex Trajectory Optimization in Space Robots
by Matteo D’Ambrosio, Stefano Silvestrini and Michèle Lavagna
Aerospace 2026, 13(2), 137; https://doi.org/10.3390/aerospace13020137 - 30 Jan 2026
Viewed by 367
Abstract
Future in-orbit servicing missions, such as spacecraft capture, repair, and assembly, demand robotic systems capable of autonomously computing dynamically feasible, constrained trajectories in real time. Sequential Convex Programming (SCP) has emerged as an effective method for online trajectory optimization in these resource-constrained settings, [...] Read more.
Future in-orbit servicing missions, such as spacecraft capture, repair, and assembly, demand robotic systems capable of autonomously computing dynamically feasible, constrained trajectories in real time. Sequential Convex Programming (SCP) has emerged as an effective method for online trajectory optimization in these resource-constrained settings, addressing nonconvex problems through iterative refinement while maintaining the formal guarantees essential for safety-critical applications. While emerging machine learning (ML) methods offer potential enhancements to trajectory generation, they often lack these rigorous guarantees. To address this, we propose a hybrid trajectory optimization framework for robotic servicers, using autoregressive trajectory-generator networks to produce high-quality initial guesses and warm-start an SCP module, enabling the system to produce optimal trajectories quickly and reliably. A key advantage of this approach is the elimination of inverse-kinematics optimization for redundant manipulators during both guess generation and subsequent refinement. By conditioning on exogenous inputs shared with the SCP solver, the networks are inherently task- and obstacle-aware, yielding a tightly integrated architecture that minimizes on-board computational requirements. Results demonstrate that this network-based warm-starting strategy substantially accelerates trajectory generation, reducing both SCP computational time and iterations, while preserving the theoretical guarantees of convex optimization. Full article
Show Figures

Figure 1

28 pages, 1318 KB  
Article
Lexicographic A*: Hierarchical Distance and Turn Optimization for Mobile Robots
by Wei-Chang Yeh, Jiun-Yu Tu, Tsung-Yan Huang, Yi-Zhen Liao and Chia-Ling Huang
Electronics 2026, 15(3), 599; https://doi.org/10.3390/electronics15030599 - 29 Jan 2026
Viewed by 199
Abstract
Autonomous mobile robots require efficient path planning algorithms for navigation in grid-based environments. While the A* algorithm guarantees optimally short paths using admissible heuristics, it exhibits path degeneracy: multiple geometrically distinct paths often share identical length. Classical A* arbitrarily selects among these equal-cost [...] Read more.
Autonomous mobile robots require efficient path planning algorithms for navigation in grid-based environments. While the A* algorithm guarantees optimally short paths using admissible heuristics, it exhibits path degeneracy: multiple geometrically distinct paths often share identical length. Classical A* arbitrarily selects among these equal-cost candidates, frequently producing trajectories with excessive directional changes. Each turn induces deceleration–acceleration cycles that degrade energy efficiency and accelerate mechanical wear. To address this, we propose Turn-Minimizing A* (TM-A*), a lexicographic optimization approach that maintains distance optimality while minimizing cumulative heading changes. Unlike weighted-cost methods that require parameter calibration, TM-A* applies a dual-objective framework: distance takes strict priority, with turn count serving as a tie-breaker among equal-length paths. A key contribution of this work is the explicit guarantee that the generated path has the minimum number of turns among all shortest paths. By formulating path planning as a lexicographic optimization problem, TM-A* strictly prioritizes path length optimality and deterministically selects, among all equal-length candidates, the one with the fewest directional changes. Unlike classical A*, which arbitrarily resolves path degeneracy, TM-A* provably eliminates this ambiguity. As a result, the method ensures globally shortest paths with minimal turning, directly improving trajectory smoothness and operational efficiency. We prove that TM-A* preserves the O(|E|log|V|) time complexity of classical A*. Validation across 30 independent Monte Carlo trials at resolutions from 200 × 200 to 1000 × 1000 demonstrates that TM-A* reduces turn count by 39–43% relative to baseline A* (p < 0.001). Although the inclusion of orientation expands the search space four-fold, the computation time increases by only a factor of approximately 3 (≈200%), indicating efficient scalability relative to problem complexity. With absolute latency remaining below 3300 ms for 1000 × 1000 grids, the approach is highly suitable for static global planning. Consequently, TM-A* provides a deterministic and scalable solution for generating smooth trajectories in industrial mobile robot applications. Full article
(This article belongs to the Special Issue Feature Papers in Networks: 2025–2026 Edition)
Show Figures

Figure 1

19 pages, 3011 KB  
Article
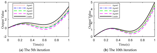
Consensus Control of Robot Fractional-Order MAS Based on FOILC with Time Delay
by Zhida Huang, Shuaishuai Lv, Kunpeng Shen, Xiao Jiang and Haibin Yu
Fractal Fract. 2026, 10(2), 93; https://doi.org/10.3390/fractalfract10020093 - 28 Jan 2026
Viewed by 207
Abstract
In this paper, we investigate the finite-time consensus problem of a fractional-order multi-agent system with repetitive motion. The system under consideration consists of robotic agents with a leader and a fixed communication topology. A distributed open-closed-loop PDα fractional-order iterative learning control (FOILC) algorithm [...] Read more.
In this paper, we investigate the finite-time consensus problem of a fractional-order multi-agent system with repetitive motion. The system under consideration consists of robotic agents with a leader and a fixed communication topology. A distributed open-closed-loop PDα fractional-order iterative learning control (FOILC) algorithm is proposed. The finite-time uniform convergence of the proposed algorithm is analyzed, and sufficient convergence conditions are derived. The theoretical analysis demonstrates that, as the number of iterations increases, each agent can achieve complete tracking within a finite time by appropriately selecting the gain matrices. Simulation results are presented to verify the effectiveness of the proposed method. Full article
(This article belongs to the Special Issue Analysis and Modeling of Fractional-Order Dynamical Networks)
Show Figures

Figure 1

25 pages, 8220 KB  
Article
A Mobile Triage Robot for Natural Disaster Situations
by Darwin-Alexander Angamarca-Avendaño, Diego-Alexander Zhañay-Salto and Juan-Carlos Cobos-Torres
Electronics 2026, 15(3), 559; https://doi.org/10.3390/electronics15030559 - 28 Jan 2026
Viewed by 245
Abstract
This research describes the development of an autonomous robotic triage system, carried out by a student through project-based and challenge-based learning methodologies, aimed at solving real-world problems using applied technologies. The system operated in three phases: environment exploration, victim detection through computer vision [...] Read more.
This research describes the development of an autonomous robotic triage system, carried out by a student through project-based and challenge-based learning methodologies, aimed at solving real-world problems using applied technologies. The system operated in three phases: environment exploration, victim detection through computer vision supported by autonomous navigation, and remote measurement of vital signs. The system incorporated SLAM algorithms for mapping and localization, YOLOv8 pose for human detection and posture estimation, and remote photoplethysmography (rPPG) for contactless vital-sign measurement. This configuration was integrated into a mobile platform (myAGV) equipped with a robotic manipulator (myCobot 280) and tested in scenarios simulating real emergency conditions. All three triage phases defined in this case study were executed continuously and autonomously, enabling navigation in unknown environments, human detection, and accurate positioning in front of victims to measure vital signs without human intervention. Although limitations were identified in low-light environments or in cases of facial obstruction, the modular ROS-based architecture was designed to be adaptable to other mobile platforms, thereby extending its applicability to more demanding scenarios and reinforcing its value as both an educational and technological solution in emergency response contexts. Full article
(This article belongs to the Special Issue Robotics: From Technologies to Applications)
Show Figures

Figure 1

Back to TopTop