Sign in to use this feature.

Years

Between: -

Subjects

remove_circle_outline
remove_circle_outline
remove_circle_outline
remove_circle_outline
remove_circle_outline
remove_circle_outline
remove_circle_outline
remove_circle_outline
remove_circle_outline

Journals

Article Types

Countries / Regions

Search Results (19)

Search Parameters:
Keywords = resource theory of political participation

Order results
Result details
Results per page
Select all
Export citation of selected articles as:
24 pages, 469 KB  
Article
Church-Led Social Capital and Public-Health Approaches to Youth Violence in Urban Zimbabwe: Perspectives from Church Leaders
by James Ndlovu
Soc. Sci. 2025, 14(10), 602; https://doi.org/10.3390/socsci14100602 - 12 Oct 2025
Viewed by 1003
Abstract
Youth violence in Zimbabwe’s high-density suburbs has evolved into a severe public-health emergency, entrenching trauma, fuelling substance abuse, and amplifying structural inequities. Christian churches remain the most pervasive civic institutions in these settings, commanding high moral authority, psychosocial reach, and convening power. However, [...] Read more.
Youth violence in Zimbabwe’s high-density suburbs has evolved into a severe public-health emergency, entrenching trauma, fuelling substance abuse, and amplifying structural inequities. Christian churches remain the most pervasive civic institutions in these settings, commanding high moral authority, psychosocial reach, and convening power. However, the mechanisms by which churches mitigate violence, and the constraints they face, continue to be under-researched. Grounded in socio-economic model lens and faith-based social capital theory, this study interrogates the intersections between youth violence and church responses in Zimbabwe’s urban centres. The study adopts a qualitative approach using semi-structured interviews with church leaders. Twenty (20) church leaders from mainline, Pentecostal, and Apostolic traditions were recruited through purposive and snowball sampling to capture denominational diversity and varying levels of programme engagement. Interviews probed leaders’ perceptions of youth-violence drivers, theological framings of non-violence, practical interventions (e.g., trauma-healing liturgies, anti-drug ministries, peer-mentorship schemes), and institutional constraints such as resource scarcity and political pressures. Data was analysed using reflexive thematic analysis. The findings indicate three interconnected mechanisms through which churches mitigate the cycle of violence. Nevertheless, gendered participation gaps, theological ambivalence toward activism, and limited alignment with municipal safety strategies continue to pose challenges to these efforts. By positioning churches within Zimbabwe’s broader violence-prevention ecology, the study offers an empirically grounded blueprint for integrating faith actors into city-level public-health strategies and contributes towards evidence-based, structural solutions to urban youth violence. Full article
(This article belongs to the Special Issue Youth Violence and the Urban Response)
Show Figures

Figure 1

26 pages, 398 KB  
Article
The Impact of Student Loan Debt on Civic Engagement: Evidence from the College and Beyond II Dataset
by Osasohan Agbonlahor
Educ. Sci. 2025, 15(6), 764; https://doi.org/10.3390/educsci15060764 - 17 Jun 2025
Cited by 1 | Viewed by 2423
Abstract
This study examines the relationship between student loan debt and civic engagement among college graduates, with particular attention to differential effects by field of study. Drawing on data from the College and Beyond II dataset, this research analyzes how varying levels of debt [...] Read more.
This study examines the relationship between student loan debt and civic engagement among college graduates, with particular attention to differential effects by field of study. Drawing on data from the College and Beyond II dataset, this research analyzes how varying levels of debt burden impact political and community participation among 1673 graduates, including 1059 liberal arts majors and 614 graduates from professional, STEM, and other fields. Employing OLS regression models with multiple measures of debt burden and distinct dimensions of civic engagement, this study finds that both medium and high levels of student loan debt (USD 201–500 monthly and >USD 500 monthly) are associated with significantly higher political engagement—a pattern that aligns with relative deprivation theory’s proposition that financial strain may motivate political action aimed at systemic change. This relationship is particularly pronounced among liberal arts graduates, who demonstrate stronger positive associations between debt and civic participation than their peers from other fields. Debt-to-income ratio analysis reveals a potential “sweet spot” at 10–15% of income, where debt appears to optimize civic engagement without overwhelming resources. These findings suggest that liberal arts education may fundamentally alter how graduates respond to financial constraints, potentially by providing analytical frameworks for understanding debt as a systemic issue and civic skills that facilitate participation despite economic pressures. The results challenge assumptions about debt’s uniformly negative civic consequences and highlight the importance of educational context in mediating economic effects on democratic participation. Full article
Show Figures

Figure 1

27 pages, 2742 KB  
Article
Implementation and Evaluation of a Training Program to Improve Patient Navigators’ Competencies: A Quasi-Experiment at a Public Tertiary Hospital in China
by Shuo Liu, Weiwei Tang, Qing Chang, Jueming Lei, Haitao Yue, Linjie Hou and Laura Morlock
Healthcare 2025, 13(4), 387; https://doi.org/10.3390/healthcare13040387 - 11 Feb 2025
Viewed by 2330
Abstract
Background/Objectives: Patient navigation is vital for improving healthcare accessibility and patient experience in China’s public hospitals, where high patient demand meets limited medical resources. Patient navigators (PNs) assist patients through the complex healthcare system, but the lack of standardized training and evaluation hampers [...] Read more.
Background/Objectives: Patient navigation is vital for improving healthcare accessibility and patient experience in China’s public hospitals, where high patient demand meets limited medical resources. Patient navigators (PNs) assist patients through the complex healthcare system, but the lack of standardized training and evaluation hampers their ability to meet patient needs. This study piloted a Competencies Improvement Training Program (CITP) in a tertiary hospital to clarify PN competencies, design a feasible curriculum, assess its efficacy, and share insights with peer hospitals. Methods: The CITP used the Plan–Do–Check–Act (PDCA) framework and designed a curriculum with Miller’s Pyramid Model. Over 6 months, eight sessions were conducted, including theory, case studies, etc. The quasi-experimental design compared PN competencies and patient satisfaction before and after. Multiple instruments measured baseline competencies and program efficacy with a 6-month post-training follow-up. Results: A total of 75 PNs (75%) participated and completed all sessions. A total of 1189 patients were surveyed before training, 495 in the first month after training, and 502 in the 6-month follow-up. The CITP significantly boosted PN competency scores from 90.259 to 95.453, though it dipped to 92.721 by 6 months. Patient satisfaction with PN services improved modestly over 6 months. Challenges in applying theoretical knowledge to practical skills were noted, suggesting differentiated training based on navigator demographics. Patient satisfaction for aspects like politeness and tone was linked to patient age and education. Conclusions: The CITP enhanced PN core competencies and provided an evidence-based curriculum model. Future research should involve larger multi-center populations with longer-term follow-ups to validate the program’s effectiveness across diverse settings. Full article
Show Figures

Figure 1

90 pages, 4238 KB  
Review
Optimizing Electricity Markets Through Game-Theoretical Methods: Strategic and Policy Implications for Power Purchasing and Generation Enterprises
by Lefeng Cheng, Pengrong Huang, Mengya Zhang, Ru Yang and Yafei Wang
Mathematics 2025, 13(3), 373; https://doi.org/10.3390/math13030373 - 23 Jan 2025
Cited by 34 | Viewed by 6335
Abstract
This review proposes a novel integration of game-theoretical methods—specifically Evolutionary Game Theory (EGT), Stackelberg games, and Bayesian games—with deep reinforcement learning (DRL) to optimize electricity markets. Our approach uniquely addresses the dynamic interactions among power purchasing and generation enterprises, highlighting both theoretical underpinnings [...] Read more.
This review proposes a novel integration of game-theoretical methods—specifically Evolutionary Game Theory (EGT), Stackelberg games, and Bayesian games—with deep reinforcement learning (DRL) to optimize electricity markets. Our approach uniquely addresses the dynamic interactions among power purchasing and generation enterprises, highlighting both theoretical underpinnings and practical applications. We demonstrate how this integrated framework enhances market resilience, informs evidence-based policy-making, and supports renewable energy expansion. By explicitly connecting our findings to regulatory strategies and real-world market scenarios, we underscore the political implications and applicability of our results in diverse global electricity systems. By integrating EGT with advanced methodologies such as DRL, this study develops a comprehensive framework that addresses both the dynamic nature of electricity markets and the strategic adaptability of market participants. This hybrid approach allows for the simulation of complex market scenarios, capturing the nuanced decision-making processes of enterprises under varying conditions of uncertainty and competition. The review systematically evaluates the effectiveness and cost-efficiency of various control policies implemented within electricity markets, including pricing mechanisms, capacity incentives, renewable integration incentives, and regulatory measures aimed at enhancing market competition and transparency. Our analysis underscores the potential of EGT to significantly enhance market resilience, enabling electricity markets to better withstand shocks such as sudden demand fluctuations, supply disruptions, and regulatory changes. Moreover, the integration of EGT with DRL facilitates the promotion of sustainable energy integration by modeling the strategic adoption of renewable energy technologies and optimizing resource allocation. This leads to improved overall market performance, characterized by increased efficiency, reduced costs, and greater sustainability. The findings contribute to the development of robust regulatory frameworks that support competitive and efficient electricity markets in an evolving energy landscape. By leveraging the dynamic and adaptive capabilities of EGT and DRL, policymakers can design regulations that not only address current market challenges but also anticipate and adapt to future developments. This proactive approach is essential for fostering a resilient energy infrastructure capable of accommodating rapid advancements in renewable technologies and shifting consumer demands. Additionally, the review identifies key areas for future research, including the exploration of multi-agent reinforcement learning techniques and the need for empirical studies to validate the theoretical models and simulations discussed. This study provides a comprehensive roadmap for optimizing electricity markets through strategic and policy-driven interventions, bridging the gap between theoretical game-theoretic models and practical market applications. Full article
(This article belongs to the Section E2: Control Theory and Mechanics)
Show Figures

Figure 1

25 pages, 318 KB  
Article
The Experience of Social Exclusion and the Path to Inclusion from the Perspectives of Immigrant and Refugee Women in the Niagara Region
by Joanne Crawford, Tara Lundy, Chiarina Crawford, Jane Moore, Nicole Viscek and Nyarayi Kapisavanhu
Int. J. Environ. Res. Public Health 2025, 22(1), 12; https://doi.org/10.3390/ijerph22010012 - 25 Dec 2024
Cited by 1 | Viewed by 3559
Abstract
Social inclusion is a common goal for equitable access to resources for living, is important to health and wellbeing, and is supported by most Western or developed nations. Despite this, immigrant and refugee women continue to be excluded from social, cultural, economic, civic, [...] Read more.
Social inclusion is a common goal for equitable access to resources for living, is important to health and wellbeing, and is supported by most Western or developed nations. Despite this, immigrant and refugee women continue to be excluded from social, cultural, economic, civic, and political participation during and after settlement. Most research exploring the context of social exclusion has reinforced that some groups experience greater exclusion than others in any given population, for example, immigrant women. The purpose of this study was to gain insights by exploring the experiences of social inclusion and exclusion and recommendations from the perspectives of immigrant and refugee women, as well as community service workers in the Niagara Region, Canada. Utilizing qualitative descriptive inquiry underpinned by intersectionality theory along with thematic analysis, we interviewed 10 immigrant and refugee women and 14 community service workers. Five themes were generated: (1) gendered nature of exclusion; (2) levels of exclusion; (3) paving a path for self; (4) formal inclusionary processes; and (5) informal inclusionary processes. The findings will be used to guide community action and may be transferable to community organizations that serve immigrant and refugee women in similar community contexts, with the aim of enhancing collaborations to advance health equity and inclusion. Full article
(This article belongs to the Special Issue Migrant Health and Newly Emerging Public Health Issues)
28 pages, 11902 KB  
Article
Comprehensive Land Consolidation as a Development Strategy for Rural Revitalization: The Political Ecology Mechanisms and Benefits of the Pastoral Complex
by Borui Chen, Zirou Huang, Wei He and Min Wang
Land 2024, 13(6), 897; https://doi.org/10.3390/land13060897 - 20 Jun 2024
Cited by 7 | Viewed by 3938
Abstract
Rapid urbanization in China has shifted the logic and needs of rural resource allocation, prompting a transformative approach toward rural revitalization and sustainable development through comprehensive land consolidation. This paper offers a theoretical framework for understanding the driven adjustments in rural power, capital, [...] Read more.
Rapid urbanization in China has shifted the logic and needs of rural resource allocation, prompting a transformative approach toward rural revitalization and sustainable development through comprehensive land consolidation. This paper offers a theoretical framework for understanding the driven adjustments in rural power, capital, and social structures facilitated by comprehensive land consolidation. It discusses how the construction of pastoral complexes influences the diversification of rural land use and ecological restoration through dynamic adjustments in power structures. This study illustrates that in Guangzhou, comprehensive land consolidation is indispensable for ensuring food security and fostering diverse rural industries. Furthermore, it facilitates the resource and commercialization of land, balances governmental social responsibilities with rational capital pursuits, and enriches the livelihood structures of social entities to ensure rural social equity. The pastoral complex model achieves a harmonious integration of rural socio-economic and natural systems. Innovations in paths of social participation help eliminate the effects of social inequality within the environment, while the theory of political ecology clearly analyzes the internal reasons for the interaction and strategic plays among diverse actors under this model. The case studies of the pastoral complex present the practice of national–capital–land–social relationships and changes in land benefits, showcasing a Chinese approach to rural development and social justice. This provides a new perspective for political ecology research and enriches its empirical content. Full article
(This article belongs to the Section Land Socio-Economic and Political Issues)
Show Figures

Figure 1

13 pages, 271 KB  
Article
Situated Pedagogy in Danish Daycare—The Politics of Everyday Life
by Maja Røn-Larsen and Anja Hvidtfeldt Stanek
Soc. Sci. 2024, 13(2), 118; https://doi.org/10.3390/socsci13020118 - 16 Feb 2024
Cited by 2 | Viewed by 3025
Abstract
This article analyzes the possibilities and obstacles in pedagogical practices in ECEC (Early Childhood Education and Care) in relation to developing relevant opportunities for participation for all children, by supporting their own engagements in order to expand their action possibilities. Over the last [...] Read more.
This article analyzes the possibilities and obstacles in pedagogical practices in ECEC (Early Childhood Education and Care) in relation to developing relevant opportunities for participation for all children, by supporting their own engagements in order to expand their action possibilities. Over the last decades, the political agendas in the Nordic as well as other OECD countries have been led by an increasing focus on learning goals and standardized professional procedures, at the expense of a more situated and flexible pedagogy following children’s own engagements. When concerns arise about children’s well-being, development, and/or learning, this tendency seems to intensify, as descriptions of concerns are often based on assessments of children’s individual (dis-)abilities, while investigations of children’s own engagements and reasons for actions are seldom conducted. From a theoretical standpoint in critical psychology and social practice theory, we discuss collaborative processes among children and adults in relation to institutional conditions as inherently political, in the sense that the distribution of different access to social resources and opportunities for participation for different children is negotiated through such daily exchanges and therefore also involves questions about democracy. We explore the everyday life practices of children and professionals, analyzing how, through everyday practice, they constantly work on maintaining, reproducing, and transgressing the standardized demands. To understand such processes, we suggest a conceptual focus on the politics of everyday life and situated pedagogy. Full article
(This article belongs to the Special Issue Children’s Wellbeing and Children’s RightsA Nordic Perspective)
17 pages, 1923 KB  
Article
Modelling the Predictors of Mobile Health (mHealth) Adoption among Healthcare Professionals in Low-Resource Environments
by Mehreen Azam, Salman Bin Naeem, Maged N. Kamel Boulos and Anthony Faiola
Int. J. Environ. Res. Public Health 2023, 20(23), 7112; https://doi.org/10.3390/ijerph20237112 - 26 Nov 2023
Cited by 9 | Viewed by 4684
Abstract
This study was conducted with objectives to measure and validate the unified theory of the acceptance and use of technology (UTAUT) model as well as to identify the predictors of mobile health (mHealth) technology adoption among healthcare professionals in limited-resource settings. A cross-sectional [...] Read more.
This study was conducted with objectives to measure and validate the unified theory of the acceptance and use of technology (UTAUT) model as well as to identify the predictors of mobile health (mHealth) technology adoption among healthcare professionals in limited-resource settings. A cross-sectional survey was conducted at the six public and private hospitals in the two districts (Lodhran and Multan) of Punjab, Pakistan. The participants of the study comprised healthcare professionals (registered doctors and nurses) working in the participating hospitals. The findings of the seven-factor measurement model showed that behavioral intention (BI) to mHealth adoption is significantly influenced by performance expectancy (β = 0.504, CR = 5.064, p < 0.05) and self-concept (β = 0.860, CR = 5.968, p < 0.05) about mHealth technologies. The findings of the structural equation model (SEM) showed that the model is acceptable (χ2 (df = 259) = 3.207; p = 0.000; CFI = 0.891, IFI = 0.892, TLI = 0.874, RMSEA = 0.084). This study suggests that the adoption of mHealth can significantly help in improving people’s access to quality healthcare resources and services as well as help in reducing costs and improving healthcare services. This study is significant in terms of identifying the predictors that play a determining role in the adoption of mHealth among healthcare professionals. This study presents an evidence-based model that provides an insight to policymakers, health organizations, governments, and political leaders in terms of facilitating, promoting, and implementing mHealth adoption plans in low-resource settings, which can significantly reduce health disparities and have a direct impact on health promotion. Full article
(This article belongs to the Special Issue 2nd Edition: Mobile Health Interventions)
Show Figures

Figure 1

16 pages, 989 KB  
Article
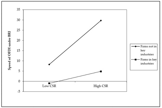
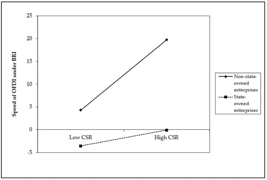
The Impact of Corporate Social Responsibility on Speed of OFDI under the Belt and Road Initiative
by Xianjing Wang, Shouming Chen and Yueqi Wang
Sustainability 2023, 15(11), 8712; https://doi.org/10.3390/su15118712 - 28 May 2023
Cited by 4 | Viewed by 2980
Abstract
Since the implementation of the Belt and Road Initiative (BRI), Chinese firms have actively responded to the government’s call to accelerate outward foreign direct investment (OFDI). Based on resource dependence theory and institutional theory, this study investigates the impact of corporate social responsibility [...] Read more.
Since the implementation of the Belt and Road Initiative (BRI), Chinese firms have actively responded to the government’s call to accelerate outward foreign direct investment (OFDI). Based on resource dependence theory and institutional theory, this study investigates the impact of corporate social responsibility (CSR) on the speed of OFDI under BRI and its boundary conditions. The results show that CSR can promote the speed of OFDI under BRI because CSR can help a firm accumulate strategic resources, including external benefits such as a good corporate image, and internal resources such as human capital and dynamic capabilities, and thus enhance legitimacy in host countries and its ability to resist potential risks. We also find that both state ownership and CEO political connections weaken the positive effect of CSR, and if the firm is in the key provinces or key industries of BRI, the positive relationship between CSR and the speed of OFDI under BRI will decrease. Our study contributes to the literature on international business and provides suggestions for firms participating in BRI. Full article
Show Figures

Figure 1

17 pages, 367 KB  
Article
The Economies’ Ability to Produce Diversified and Complex Goods to Meet the Global Competition: Role of Gross Value Chain, Institutional Quality, and Human Capital
by Ding Nan, Pomi Shahbaz, Shamsheer ul Haq, Muhammad Nadeem and Muhammad Imran
Sustainability 2023, 15(8), 6513; https://doi.org/10.3390/su15086513 - 12 Apr 2023
Cited by 8 | Viewed by 2905
Abstract
The theory of capabilities describes the need for a country to adopt different capabilities to enhance its productivity through the production of diversified and complex goods. These capabilities are not independent of the human, physical, institutional, legal systems, and gross value chain (GVC) [...] Read more.
The theory of capabilities describes the need for a country to adopt different capabilities to enhance its productivity through the production of diversified and complex goods. These capabilities are not independent of the human, physical, institutional, legal systems, and gross value chain (GVC) of a country. Therefore, the current study analyzed the relationship between GVC, institutional quality, human capital development, and the economic fitness of different countries. This study used panel data from 131 countries for the period of 2007–2019. The generalized method of moments (GMM), fully modified ordinary least square (FMOLS), and quantile regression showed that GVC, institutional quality, and human capital development have a big positive effect on a country’s economic health. The quantile regression results also showed that GVC, institutional quality, and skilled human capital have a positive and significant effect on the economic fitness of all three quantiles (25th, 50th, and 75th). Overall, the study concludes that greater GVC participation, political stability, effective government, good rules of law, high regulatory quality, and good human capital all enhance the country’s capabilities to produce diversified and complex goods that increase its market share in the global competitive market. Thus, the government should formulate policies in such a way that they promote participation in GVC to overcome the limitations of resource availability and poor technology. In addition, it should be ensured that effective policy implementation is in place to facilitate business without unjust means, violence, etc. Full article
(This article belongs to the Special Issue Emerging Markets’ Competitive Advantages in Sustainable Management)
28 pages, 621 KB  
Article
Research on the Impact of Green Innovation Network Embeddedness on Corporate Environmental Responsibility
by Junli Wang and Wendong Lv
Int. J. Environ. Res. Public Health 2023, 20(4), 3433; https://doi.org/10.3390/ijerph20043433 - 15 Feb 2023
Cited by 13 | Viewed by 3182
Abstract
In the process of China’s economic transformation, enterprises urgently need to use green innovation networks to realize corporate sustainability. Based on resource-based theory, this study explores the internal mechanism and boundary conditions of green innovation network embeddedness that affect corporate environmental responsibility. This [...] Read more.
In the process of China’s economic transformation, enterprises urgently need to use green innovation networks to realize corporate sustainability. Based on resource-based theory, this study explores the internal mechanism and boundary conditions of green innovation network embeddedness that affect corporate environmental responsibility. This paper conducts an empirical study based on panel data of listed companies engaged in green innovation in China from 2010 to 2020. Drawing on network embeddedness theory and resource-based theory, we found that relational and structural embeddedness influenced green reputation, which affected corporate environmental responsibility. We also identified the importance of ethical leadership and examined its role in moderating the effect of green innovation network embeddedness. A further investigation revealed that the impact of network embeddedness on corporate environmental responsibility was particularly pronounced in the samples of enterprises with high-level political ties, loose financing restrictions, and nonstate ownership. Our findings highlight the advantages of embedded green innovation networks and offer theoretical references and recommendations for enterprises considering network participation. Enterprises should attach great importance to the network embedding strategy of green innovation for corporate environmental responsibility and actively integrate the concept of green development into network relationship embedding and network structure embedding. Moreover, the relevant government department should provide necessary environment incentive policies according to the enterprise’s development needs, especially for the enterprises with low-level political ties, high financing restrictions, and state ownership. Full article
Show Figures

Figure 1

12 pages, 291 KB  
Article
The Impact of Political Connections on Firm Performance: Evidence from Upstream Oil and Gas Companies
by Nur Farrahanie Ahmad Tarmizi and Rayenda Khresna Brahmana
Soc. Sci. 2022, 11(11), 504; https://doi.org/10.3390/socsci11110504 - 3 Nov 2022
Cited by 7 | Viewed by 4780
Abstract
The purpose of this research is to emphasis the business and political linkages that are associated with performance. The inclusion of a politician or government official on the board is thought to vibrantly regard the firm as a resource value that leads to [...] Read more.
The purpose of this research is to emphasis the business and political linkages that are associated with performance. The inclusion of a politician or government official on the board is thought to vibrantly regard the firm as a resource value that leads to a competitive advantage. The engagement of these powerful figures verbally leads to the belief that a company with a resourceful person is very prominent in high-performing and high-risk industries that are economically advantageous to the country. The traditional perspective highlights that political involvement is particularly harmful for the firm due to control and ownership difficulties. The rhetorical engagement of these powerful people leads to the assumption that they are normally involved in high-performing and high-risk industries that are economically beneficial to the country. Contrary to the conventional view, some scholars suggest that political participation will continue to explore positive benefits for businesses such as profitability, subsidy, reputation, and investor trust for a long-term company strategy as proposed by the stakeholder theory and the helping hand theory. This paper examines the corporate performance in relation to political participation using 1218 datasets from Fortune Global 500 corporations, focusing mostly on oil and gas upstream activities from 2012 to 2017. All in all, our relationship hypothesis suggests that firms with strong political foundations are more likely to have an outsized impact on business performance and to be more market-sustained. Full article
(This article belongs to the Section Contemporary Politics and Society)
20 pages, 1646 KB  
Article
Conflicts over Land as a Risk for Social-Ecological Resilience: A Transnational Comparative Analysis in the Southwestern Amazon
by Rebecca Froese, Claudia Pinzón, Loreto Aceitón, Tarik Argentim, Marliz Arteaga, Juan Sebastian Navas-Guzmán, Gleiciane Pismel, Sophia Florence Scherer, Jannis Reutter, Janpeter Schilling and Regine Schönenberg
Sustainability 2022, 14(11), 6520; https://doi.org/10.3390/su14116520 - 26 May 2022
Cited by 12 | Viewed by 5960
Abstract
People in the department of Madre de Dios/Peru, the state of Acre/Brazil, and the department of Pando/Bolivia experience similar conflicts over land, land use, and access to resources. At the same time, each conflict reveals distinct characteristics and dynamics, arising from its history, [...] Read more.
People in the department of Madre de Dios/Peru, the state of Acre/Brazil, and the department of Pando/Bolivia experience similar conflicts over land, land use, and access to resources. At the same time, each conflict reveals distinct characteristics and dynamics, arising from its history, legal regulation, institutional (in-)capacities, and culturally diverse local populations. The aim of this paper is to better understand the main drivers of social-ecological conflicts over land in and around three protected areas in this transboundary region, known as MAP, and to analyze how (environmental) institutions influence these drivers. The paper is based on a literature review and expert interviews; it focuses on conflicts around (1) gold mining in Madre de Dios, (2) extensive cattle ranching in Acre, and (3) access to communal land in Pando. Using theories of conflict research, expanded by a political ecology perspective and insights from stakeholder and expert interviews, we find that the major conflict drivers are (1) land tenure and access to land and natural resources, (2) identity and lifestyle driven transformations, (3) state and market driven agendas, and (4) networked illegal and criminal activities. Through a comparative conflict analysis, we develop four recommendations to strengthen the creation of reflexive institutions that may be able to foster social-ecological resilience in the region: (1) The clarification of responsibilities between governance institutions and their financing; (2) the awareness raising for existing power structures and opening spaces for enhanced local participation; (3) the breaking of corruptive cycles while developing economically, ecologically, and socially sustainable livelihood opportunities; and (4) taking the continuous reproduction of illegal activities into account while clarifying responsibilities, raising awareness, and breaking corruptive cycles. The results of our research therefore not only contribute to a better understanding of conflicts in the MAP region and the wider scientific literature on social-ecological conflicts and governance, but it is also the first paper that identifies entry points and prerequisites for the transformation from reactive to reflexive institutions in Amazonian societies. Full article
(This article belongs to the Section Social Ecology and Sustainability)
Show Figures

Figure 1

35 pages, 1583 KB  
Article
Relationship of Work-Related Stress and Offline Social Leisure on Political Participation of Voters in the United States
by Oldřich Šubrt
Soc. Sci. 2022, 11(5), 206; https://doi.org/10.3390/socsci11050206 - 10 May 2022
Cited by 1 | Viewed by 6624
Abstract
In the United States (US), citizens’ political participation is 15%. Contemporary psychological models explaining political participation are based on education and socioeconomic status, which are unable to explain the overall low political participation figures. The study suggests a holistic approach, with two societal [...] Read more.
In the United States (US), citizens’ political participation is 15%. Contemporary psychological models explaining political participation are based on education and socioeconomic status, which are unable to explain the overall low political participation figures. The study suggests a holistic approach, with two societal tendencies: increasing work-related stress and diminishing offline social leisure, together with a mediating effect of participatory efficacy to assess associations with the political participation of US voters. The quantitative correlational study uses structural equation modelling (SEM) analysis on the General Social Survey representative sample of US voters (N = 295, Mage = 44.49, SD = 13.43), controlled for education and socioeconomic status. Work-related stress was not significantly associated with political participation (β = 0.08, p = 0.09). Offline social leisure was positively associated with political participation (β = 0.28, p < 0.001). The mediating effect of participatory efficacy on the relationship between offline social leisure and political participation was positive and significant (β = 0.05, p < 0.001). Additional analyses, regression and SEM on the European Social Survey sample (N = 27,604) boosted internal and external validity. Results indicate that offline social leisure is more predictive than education and socioeconomic status, showing that examining societal trends leads to a better understanding of political participation. Full article
(This article belongs to the Special Issue Elections and Political Campaigns in Times of Uncertainty)
Show Figures

Figure 1

13 pages, 595 KB  
Review
A Critical Review of Social Justice Theories in Public Transit Planning
by Saeid Nazari Adli and Subeh Chowdhury
Sustainability 2021, 13(8), 4289; https://doi.org/10.3390/su13084289 - 12 Apr 2021
Cited by 10 | Viewed by 7800
Abstract
One of the most common areas in public transit planning that has been under investigation is the inclusion of “social justice”. In its simplest form, social justice demands more equitable access for all residents to resources that are provided by a city. However, [...] Read more.
One of the most common areas in public transit planning that has been under investigation is the inclusion of “social justice”. In its simplest form, social justice demands more equitable access for all residents to resources that are provided by a city. However, public transit plans are typically guided by maximising tangible measures such as economic growth and efficiency. Concerns about discriminatory geographies which have led to low-income neighbourhoods with higher unemployment rates, social exclusion, lower political engagement, and participation in urban activities have brought attention to the re-assessment of transit planning. Limitations of the current methods and frameworks make it difficult to measure the outcomes of transit planning strategies and policies with respect to social justice, and to determine if the policies will produce a just transit system. This review provides a critical examination of transit policies in relation to social justice. It gives a summary of key transportation just theories, and their limitations in evaluating a transit system. A social justice framework, which incorporates just theories, is provided to assess a transit system’s accessibility for disadvantaged (low-income) population groups. The framework enhances the sustainable relationship between the accessibility a commuter requires and services provided by the transit system. The review concludes with knowledge gaps and directions for future research. Full article
(This article belongs to the Special Issue Public Transport Policy and the Impact on Communities)
Show Figures

Figure 1

Back to TopTop