Sign in to use this feature.

Years

Between: -

Subjects

remove_circle_outline
remove_circle_outline
remove_circle_outline
remove_circle_outline
remove_circle_outline
remove_circle_outline

Journals

Article Types

Countries / Regions

Search Results (14)

Search Parameters:
Keywords = reservoir confluence area

Order results
Result details
Results per page
Select all
Export citation of selected articles as:
22 pages, 11769 KB  
Article
Responses of River-Lake Interaction to Future Morphological Evolution: A Numerical Investigation of the Jing River–Dongting Lake System, Middle Yangtze River, China
by Binghan Lyu, Yu Gao, Yuan Yuan and Min Wang
Sustainability 2025, 17(24), 10991; https://doi.org/10.3390/su172410991 - 8 Dec 2025
Viewed by 206
Abstract
The Jing River–Dongting Lake (DTL), a critical river–lake complex system in the Middle Yangtze River, China, plays a vital role in flood regulation and ecological sustainability. Recent decades have experienced significant morphology adjustments due to upstream reservoir operations; however, the long-term high-resolution hydro-morphodynamic [...] Read more.
The Jing River–Dongting Lake (DTL), a critical river–lake complex system in the Middle Yangtze River, China, plays a vital role in flood regulation and ecological sustainability. Recent decades have experienced significant morphology adjustments due to upstream reservoir operations; however, the long-term high-resolution hydro-morphodynamic evolution and its impacts on river–lake interactions remain insufficiently quantified. To address this gap, a two-dimensional hydro-morphodynamic model based on HEC-RAS was employed to simulate three decades of hydro-morphology evolution under projected flow–sediment conditions. The model was validated against observed data and reproduced erosion–deposition trends consistent with previous numerical studies. The results indicate sustained channel incision in the Jing River, with a cumulative erosion volume of 462 million m3, in contrast to net deposition in the DTL area totaling 276 million m3 over three decades. A comparison of results under a sediment reduction regulation shows that the overall spatial pattern of erosion and deposition remains largely consistent, although local areas, particularly the confluence of the three major inlets feeding the lake, exhibit pronounced sensitivity to sediment variations. Furthermore, continuous mainstream incision intensifies a draining effect on the lake during dry seasons, leading to declines in both water levels and surface area in the DTL. This effect is most pronounced in the eastern lake area, with reductions being markedly greater in dry periods than in wet periods. Finally, the lake’s storage capacity progressively decreases, with an average annual loss of approximately 36.5 million m3 in the wet periods, underscoring significant impairment of its flood-regulation function. This study provides a validated modeling framework and critical insights for predicting morphological evolution and informing adaptive management in large river–lake systems. Full article
Show Figures

Figure 1

18 pages, 2022 KB  
Article
Research on the Spatiotemporal Effects of Water Temperature in the Construction of Cascade Dams on the Yangtze River Main Stream Based on Optimized CNN-LSTM Attention Model
by Shanghong Zhang, Hao Wang, Ruicheng Zhang, Hua Zhang and Yang Zhou
Sustainability 2025, 17(20), 9046; https://doi.org/10.3390/su17209046 - 13 Oct 2025
Viewed by 477
Abstract
Hydrothermal conditions are a key indicator influencing the evolution of aquatic ecosystems, closely affecting the physical, chemical, and biological properties of water bodies. The construction of cascaded dams on the main stem of the Yangtze River has altered the natural water temperature regime, [...] Read more.
Hydrothermal conditions are a key indicator influencing the evolution of aquatic ecosystems, closely affecting the physical, chemical, and biological properties of water bodies. The construction of cascaded dams on the main stem of the Yangtze River has altered the natural water temperature regime, impacting the hydrothermal status of the water. Utilizing multi-source remote sensing data from Google Earth Engine to invert river surface water temperatures, a parameter-optimized CNN-LSTM-Attention hybrid interpretable water temperature prediction model was constructed. The model demonstrated credible accuracy. Based on the inversion results, the study revealed the spatiotemporal evolution characteristics of water temperature in the main stem of the Yangtze River before and after cascaded dam construction in the lower Jinsha River region and the Three Gorges Reservoir area. The results found that after the construction of the Three Gorges Dam, the annual average water temperature increased significantly by 0.813 °C. The “cold water stagnation effect” induced by cascaded development caused the water temperature amplitude to increase from 8.96 °C to 10.6 °C. Furthermore, the regulating effect of tributary confluence exhibited significant differences. For instance, colder tributaries like the Yalong River reduced the main stem water temperature, while warmer tributaries like the Jialing River, conversely, increased the main stem temperature. The construction of cascaded dams led to distinct variation characteristics in the areas downstream of the dams within the reservoir regions, where tributary inflows caused corresponding changes in the main stem water temperature. This study elucidates the long-term spatiotemporal variation characteristics of water temperature in the main stem of the Yangtze River. The model prediction results can assist in constructing an early warning indicator system for water temperature changes, providing reliable data support for promoting water environment sustainability and ecological civilization construction in the river basin. Full article
Show Figures

Figure 1

27 pages, 8476 KB  
Article
A Pragmatic Multi-Source Remote Sensing Framework for Calcite Whitings and Post-Wildfire Effects in the Gadouras Reservoir
by John S. Lioumbas, Aikaterini Christodoulou, Alexandros Mentes, Georgios Germanidis and Nikolaos Lymperopoulos
Water 2025, 17(18), 2755; https://doi.org/10.3390/w17182755 - 17 Sep 2025
Viewed by 607
Abstract
The Gadouras Reservoir, Rhodes Island’s primary water source, experiences recurrent whiting events—milky turbidity from calcium carbonate precipitation—that challenge treatment operations, with impacts compounded by a major 2023 wildfire in this fire-prone Mediterranean setting. To elucidate these dynamics, a pragmatic, multi-source monitoring framework integrates [...] Read more.
The Gadouras Reservoir, Rhodes Island’s primary water source, experiences recurrent whiting events—milky turbidity from calcium carbonate precipitation—that challenge treatment operations, with impacts compounded by a major 2023 wildfire in this fire-prone Mediterranean setting. To elucidate these dynamics, a pragmatic, multi-source monitoring framework integrates archived Sentinel-2 and Landsat imagery with treatment-plant records (2017–mid-2025). Unitless spectral indices (e.g., AreaBGR) for whiting detection and chlorophyll-a proxies are combined with laboratory measurements of turbidity, pH, total organic carbon, manganese, and hydrological metrics, analyzed via spatiotemporal Hovmöller diagrams, Pearson correlations, and interrupted time-series models. Two seasonal whiting regimes are identified: a biogenic summer mode (southern origin; elevated chlorophyll-a; water temperature > 15 °C; pH > 8.5) and a non-biogenic winter mode (northern inflows). Following the wildfire, the system exhibits characteristics that could be related to possible hypolimnetic anoxia, prolonged whiting, a ~50% rise in organic carbon, and a manganese excursion to ~0.4 mg L−1 at the deeper intake. Crucially, the post-fire period shows a decoupling of AreaBGR from turbidity (r ≈ 0.233 versus ≈ 0.859 pre-fire)—a key diagnostic finding that confirms a fundamental shift in the composition and optical properties of suspended particulates. The manganese spike is best explained by the confluence of a wildfire-induced biogeochemical predisposition (anoxia and Mn mobilization) and a consequential operational decision (relocation to a deeper, Mn-rich intake). This framework establishes diagnostic baselines and thresholds for managing fire-impacted reservoirs, supports the use of remote sensing in data-scarce systems, and informs adaptive operations under increasing climate pressures. Full article
(This article belongs to the Special Issue Remote Sensing of Spatial-Temporal Variation in Surface Water)
Show Figures

Figure 1

19 pages, 2128 KB  
Article
An Assessment of the Construction and Hydrographic Conditions of Bukhtarma and Ust-Kamenogorsk Reservoirs in the East Kazakhstan Region for 2017–2021
by Nazgul Zhensikbayeva, Kuat Saparov, Nazym Kabdrakhmanova, Emin Atasoy, Aigul Yeginbayeva, Kamila Abzeleeva, Serik Bakin, Valeryi Sedelev and Nazerke Amangeldy
Sustainability 2024, 16(23), 10348; https://doi.org/10.3390/su162310348 - 26 Nov 2024
Cited by 2 | Viewed by 3319
Abstract
The article defines the morphometric, hydrochemical, and hydrobiological parameters of the Ust-Kamenogorsk reservoir, located on the territory of Ablaketka and the Bukhtarma reservoir, formed in the zone of narrowing of the mountain valley (1960), 12 km below the confluence of the Bukhtarma River [...] Read more.
The article defines the morphometric, hydrochemical, and hydrobiological parameters of the Ust-Kamenogorsk reservoir, located on the territory of Ablaketka and the Bukhtarma reservoir, formed in the zone of narrowing of the mountain valley (1960), 12 km below the confluence of the Bukhtarma River with the Irtysh River. When determining deviations in indicators of the reservoirs, data from gauging stations have been taken into account. The purpose of the article is to conduct a comprehensive assessment of the current state of two large reservoirs in the East Kazakhstan region during the specified time period. The novelty of this topic lies in its comprehensive approach to assessing various aspects of the reservoirs’ condition in a specific region over a defined period. This approach enables the identification of current trends and issues and facilitates the proposal of practical measures to address them and enhance water resource management. As a result of this research work, after analyzing changes in indicators, the condition of the reservoirs was determined. During the research work, according to the results of hydrochemical studies, the Bukhtarma reservoir is favorable for the habitat of aquatic organisms, and in the Ust-Kamenogorsk reservoir, a positive change in hydrochemical parameters has been noted compared with 2020. In addition, after analyzing the research indicators, it was proposed to form specially protected areas in the Bukhtarma reservoir, suitable for use in connection with the distribution of valuable fish listed in the Red Book of the Republic of Kazakhstan. When demonstrating the location of gauging stations, methods of remote sensing of the earth and the method of geoinformation mapping were used. Full article
(This article belongs to the Special Issue Hydrosystems Engineering and Water Resource Management)
Show Figures

Figure 1

19 pages, 12795 KB  
Article
Building Reservoirs as Protection against Flash Floods and Flood Basins Management—The Case Study of the Stubo–Rovni Regional Water-Management System
by Ljubiša Bezbradica, Boško Josimović, Boris Radić, Siniša Polovina and Tijana Crnčević
Water 2024, 16(16), 2242; https://doi.org/10.3390/w16162242 - 8 Aug 2024
Viewed by 1609
Abstract
Global warming and climate change cause large temperature oscillations and uneven annual rainfall patterns. The rainy cycles characterized by frequent high-intensity rainfall in the area of the Stubo–Rovni water reservoir, which in 2014 peaked at 129 mm of water in 24 h (the [...] Read more.
Global warming and climate change cause large temperature oscillations and uneven annual rainfall patterns. The rainy cycles characterized by frequent high-intensity rainfall in the area of the Stubo–Rovni water reservoir, which in 2014 peaked at 129 mm of water in 24 h (the City of Valjevo, the Republic of Serbia), caused major floods in the wider area. Such extremes negatively affect erosion processes, sediment production, and the occurrence of flash floods. The erosion coefficient before the construction of the water reservoir was Zm = 0.40, while the specific sediment production was about 916.49 m3∙km−2∙year−1. A hydrological study at the profile near the confluence of the Jadar and Obnica rivers, i.e., the beginning of the Kolubara river, the right tributary of the Sava (in the Danube river basin), indicates that the natural riverbed can accommodate flows with a 20% to 50% probability of occurrence (about 94 m3/s), while centennial flows of about 218 m3/s exceed the capacities of the natural riverbed of the Jadar river, causing flooding of the terrain and increasing risks to the safety of the population and property. The paper presents the impacts of the man-made Stubo–Rovni water reservoir on the catchment area and land use as the primary condition for preventing erosion processes (specific sediment production has decreased by about 20%, the forest cover increased by about 25%, and barren land decreased by 90%). Moreover, planned and controlled management of the Stubo–Rovni reservoir has significantly influenced the downstream flow, reducing the risks of flash floods. Full article
Show Figures

Figure 1

23 pages, 9392 KB  
Article
Flash Flood Simulation for Hilly Reservoirs Considering Upstream Reservoirs—A Case Study of Moushan Reservoir
by Huaqing Zhao, Hao Wang, Yuxuan Zhang, Ranhang Zhao, Zhen Qi and Haodong Zhang
Sustainability 2024, 16(12), 5001; https://doi.org/10.3390/su16125001 - 12 Jun 2024
Cited by 4 | Viewed by 1580
Abstract
With the advancement of society and the impact of various factors such as climate change, surface conditions, and human activities, there has been a significant increase in the frequency of extreme rainfall events, leading to substantial losses from flood disasters. The presence of [...] Read more.
With the advancement of society and the impact of various factors such as climate change, surface conditions, and human activities, there has been a significant increase in the frequency of extreme rainfall events, leading to substantial losses from flood disasters. The presence of numerous small and medium-sized water conservancy projects in the basin plays a crucial role in influencing runoff production and rainwater confluence. However, due to the lack of extensive historical hydrological data for simulation purposes, it is challenging to accurately predict floods in the basin. Therefore, there is a growing emphasis on flood simulation and forecasting that takes into account the influence of upstream water projects. Moushan Reservoir basin is located in a hilly area of an arid and semi-arid region in the north of China. Flooding has the characteristics of sudden strong, short confluence time, steep rise, and steep fall, especially floods caused by extreme weather events, which have a high frequency and a wide range of hazards, and has become one of the most threatening natural disasters to human life and property safety. There are many small and medium-sized reservoirs in this basin, which have a significant influence on the accuracy of flood prediction. Therefore, taking Moushan Reservoir as an example, this paper puts forward a flash flood simulation method for reservoirs in hilly areas, considering upstream reservoirs, which can better solve the problem of flood simulation accuracy. Using the virtual aggregation method, the 3 medium-sized reservoirs and 93 small upstream reservoirs are summarized into 7 aggregated reservoirs. Then, we construct the hydrological model combining two method sets with different runoff generation and confluence mechanisms. Finally, after model calibration and verification, the results of different methods are analyzed in terms of peak discharge error, runoff depth error, difference in peak time, and certainty coefficient. The results indicate that the flooding processes simulated by the proposed model are in line with the observed ones. The errors of flood peak and runoff depth are in the ranges of 2.3% to 15% and 0.1% to 19.6%, respectively, meeting the requirements of Class B accuracy of the “Water Forecast Code”. Method set 1 demonstrates a better simulation of floods with an average flood peak error of 5.63%. All these findings illustrate that the developed model, utilizing aggregate reservoirs and dynamic parameters to reflect regulation and storage functions, can effectively capture the impact of small water conservancy projects on confluence. This approach addresses challenges in simulating floods caused by small and medium-sized reservoirs, facilitating basin-wide flood prediction. Full article
Show Figures

Figure 1

24 pages, 11769 KB  
Article
Potential Dam Breach Flood Assessment with the 2D Diffusion and Full Dynamic Wave Equations Using a Hydrologic Engineering Center-River Analysis System
by Binaya Raj Pandey, Helmut Knoblauch and Gerald Zenz
Water 2024, 16(2), 277; https://doi.org/10.3390/w16020277 - 12 Jan 2024
Cited by 7 | Viewed by 3343
Abstract
Dam breaches have catastrophic consequences, causing severe property damage, life loss, and environmental impact. The potential dam breach downstream flooding of the Kulekhani reservoir, Nepal, was studied using a 2D Diffusion Wave Equation (DWE) and Full Dynamic Wave Equation (FDWE) through an open-source [...] Read more.
Dam breaches have catastrophic consequences, causing severe property damage, life loss, and environmental impact. The potential dam breach downstream flooding of the Kulekhani reservoir, Nepal, was studied using a 2D Diffusion Wave Equation (DWE) and Full Dynamic Wave Equation (FDWE) through an open-source solver, Hydrologic Engineering Center-River Analysis System (HEC-RAS). The suitable dam breach model was identified based on the dam geometry and sixteen historical dam failure cases. The simulated downstream peak was tested with an empirical relation, considering reservoir volume and duration of failure. Model comparisons through the flood plain mapping of water depth, flow velocity, flood intensity as per guidelines of the American Society of Civil Engineers (ASCE), and arrival time were carried out for flood hazard assessment. FDWE was able to capture the physical flow phenomena in the river bend resulting in higher flow velocity at the outer bend, lower velocity at the inner bend, and formation of eddies due to the application of the turbulence model, considering possible momentum losses, whereas DWE was unable to capture these effects due to a simplified momentum equation. The total area of flood extension was found to be increased by 30% using FDWE than the DWE due to higher water surface elevation. Most of the towns along the Kulekhani River were classified as “Very High” intensity flood regions according to ASCE, due to the V-shape valley. The peak time difference at the Bagmati River confluence was evaluated between the models. This plays an important role in decision-making for the selection of the flood model to make a safe evacuation plan. The application of FDWE was found to be suitable for the rapidly varying unsteady flow in the steep meandering river. Full article
Show Figures

Figure 1

23 pages, 13743 KB  
Article
Numerical Investigation on a Flash Flood Disaster in Streams with Confluence and Bifurcation
by Qingyuan Yang, Xiekang Wang, Yi Sun, Wengang Duan and Shan Xie
Water 2022, 14(10), 1646; https://doi.org/10.3390/w14101646 - 21 May 2022
Cited by 4 | Viewed by 2397
Abstract
On 20 August 2019, a flash flood occurred in Sanjiang Town, Sichuan, China, and caused great damage to people living there. The town lies at the junction of five streams, with streams A, B, and C combining at the town and further dividing [...] Read more.
On 20 August 2019, a flash flood occurred in Sanjiang Town, Sichuan, China, and caused great damage to people living there. The town lies at the junction of five streams, with streams A, B, and C combining at the town and further dividing into streams D and E. The slope of streams A, B, and C is about 3~5%, while the slope of streams D and E is around 0.3%. The Sanjiang Town actually lies in the transition from supercritical slope to subcritical slope. During the flood, huge sediments were released to streams A, B, and C, and further transported to stream E. Due to the rapid change of velocity, only few sediments deposited at the supercritical slope parts of the stream, while plenty of them sedimented at the streams with subcritical slope. In order to simulate the flood with a hydrodynamic model, a field investigation was carried out to collect high DEM (digital elevation model) data, flood marks, sediment grading, etc., after the flood. The discharge curve of the flood was also obtained by the hydrometric station near Sanjiang Town. For the inlet sediment concentrations of streams A, B, and C, we made a series of assumptions and utilized the case which best fits the flood marks to set the inlet sediment concentration. Based on these data, we adopted a depth-averaged two-dimensional hydrodynamic model coupled with a sediment transport model to simulate the flash flood accident. The results revealed that the flash flood enlargement in confluence streams is mainly induced by the inflows, and the flash flood enlargement in bifurcation streams is largely affected by the sediment deposition. The bifurcation of flows can decrease the peak discharge of each branch, but may increase the flooded area near the streams. Flow in the supercritical slope runs at a very fast velocity, and seldom deposits sediment in the steep channel. Meanwhile, most sediment is transported to the streams with flat hydraulic slopes. Due to the functioning of the reservoir, the transition region from supercritical slope to subcritical slope has a much larger probability of being submerged during the flood. Full article
(This article belongs to the Special Issue Flash Floods: Forecasting, Monitoring and Mitigation Strategies)
Show Figures

Figure 1

23 pages, 4327 KB  
Article
Evaluating the Impact of Ecological Property Rights to Trigger Farmers’ Investment Behavior—An Example of Confluence Area of Heihe Reservoir, Shaanxi, China
by Min Li, Apurbo Sarkar, Yuge Wang, Ahmed Khairul Hasan and Quanxing Meng
Land 2022, 11(3), 320; https://doi.org/10.3390/land11030320 - 22 Feb 2022
Cited by 9 | Viewed by 2992
Abstract
Property rights of natural resources have been acting as a critical legislative tool for promoting sustainable resource utilization and conservation in various regions of the globe. However, incorporating ecological property rights into the natural resources property rights structure may significantly influence farmers’ behavior [...] Read more.
Property rights of natural resources have been acting as a critical legislative tool for promoting sustainable resource utilization and conservation in various regions of the globe. However, incorporating ecological property rights into the natural resources property rights structure may significantly influence farmers’ behavior in forestry investment. It may also trigger forest protection, water conservation, and urban water security. The main aim of the research is to evaluate the impact of ecological property rights and farmers’ investment behavior in the economic forest. We have constructed an analytical framework of collective forest rights from two indicators of integrity and stability, by adopting the theory of property rights and ecological capital to fulfill the study’s aims. The empirical data has been comprised of the microdata of 708 farmers, collected from the confluence area of the Heihe Reservoir, Shaanxi, China. The study also conducted pilot ecological property rights transactions in the surveyed area. The study utilized the double-hurdle model to test the proposed framework empirically. The results show that forest land use rights, economic products, and eco-product income rights positively affect farmers’ forestry investment intensity, and disposal rights (forest land transfer rights) negatively affect farmers’ investment intensity. However, in terms of the integrity of property rights, only the right to profit from ecological products affects farmers’ forestry investment willingness, and other property rights are insignificant. The study also found that the lower the farmers’ forest land expropriation risk is expected, the greater the possibility of investment and the higher the input level. However, we traced that the farmers’ forest land adjustment has no significant impact on farmers’ willingness to invest. Obtaining the benefits of ecological products has been found as the primary motivation for forestry investment within the surveyed area. The completeness of ownership rights positively impacted farmers’ investment intensity. Farmers should realize the ecological value of water conservation forests through the market orientation of the benefit of ecological products. Therefore, the government should encourage farmers and arrange proper training to facilitate a smooth investment. A well-established afforestation program should also be carried out. Full article
Show Figures

Figure 1

21 pages, 5028 KB  
Article
Characterizing Density Flow Regimes of Three Rivers with Different Physicochemical Properties in a Run-Of-The-River Reservoir
by Ingu Ryu, Soonju Yu and Sewoong Chung
Water 2020, 12(3), 717; https://doi.org/10.3390/w12030717 - 6 Mar 2020
Cited by 17 | Viewed by 4285
Abstract
Inflow mixing affects the spatiotemporal heterogeneity of water quality in reservoirs. Reservoir water quality management requires accurate prediction of density flow regimes to understand the spatiotemporal distribution of dissolved and particulate nutrients and organics. This study aims to characterize the mixing and circulation [...] Read more.
Inflow mixing affects the spatiotemporal heterogeneity of water quality in reservoirs. Reservoir water quality management requires accurate prediction of density flow regimes to understand the spatiotemporal distribution of dissolved and particulate nutrients and organics. This study aims to characterize the mixing and circulation of three rivers with different physicochemical properties in a run-of-the-river (ROR) reservoir, using high-frequency monitoring and three-dimensional (3D) hydrodynamic modeling. The Aquatic Ecosystem Model (AEM3D) was constructed for the reservoir and calibrated with high-frequency data obtained from May–June 2016, accurately reproducing the observed spatiotemporal variations of flow velocity, water temperature, and electrical conductivity (EC) in the reservoir. High-frequency data and 3D model results showed that mixing of the rivers in the ROR reservoir is governed by density flow regimes formed by influent water temperature differences. At the confluence, colder and warmer river influents formed underflows and surface buoyant overflows, respectively. The spatial arrangement of flow direction, water residence time, and EC concentration were largely controlled by the buoyancy-driven flow. Stagnant areas with long residence times corresponded with areas of observed algal blooms and hypoxia. High-frequency sensor technology, combined with 3D hydrodynamic modeling, is effective for understanding the complex flow regimes and associated water quality characteristics in ROR-type reservoirs. Full article
(This article belongs to the Special Issue Hydrological Impact of Typhoon on Rivers)
Show Figures

Graphical abstract

19 pages, 18956 KB  
Article
Assessment of Erosion in River Basins: A Distributed Model to Estimate the Sediment Production over Watersheds by a 3-Dimensional LS Factor in RUSLE Model
by Carmine Covelli, Luigi Cimorelli, Danila Nicole Pagliuca, Bruno Molino and Domenico Pianese
Hydrology 2020, 7(1), 13; https://doi.org/10.3390/hydrology7010013 - 24 Feb 2020
Cited by 34 | Viewed by 5917
Abstract
Erosive processes influence on several phenomena. In particular, they could influence on land depletion, on vegetation weakening, on aggradation phenomena of intermediate, and plain reaches of rivers, on waterways interruption due to overaggradation phenomena caused by floods, and on the losses of water [...] Read more.
Erosive processes influence on several phenomena. In particular, they could influence on land depletion, on vegetation weakening, on aggradation phenomena of intermediate, and plain reaches of rivers, on waterways interruption due to overaggradation phenomena caused by floods, and on the losses of water volumes that may be stored in reservoirs. Among the models proposed in the literature for the prediction of erosion on the annual scale, one of the most widely used is the Revised Universal Soil Loss Equation (RUSLE). In the present paper, starting from the definition of the original model, the authors improved the important combined slope length and slope angle (LS-factor), taking into account the mutual interaction of solid particles, in terms of path and confluences, so as to transform the model, which was first classified on a slope scale or at most on a parcel one, into a distributed model on a basin scale. The use of a distributed approach is an integral part of the analysis of the hydrogeological risk. In this way, it is possible to obtain a map of the erodibility of any basin, from which to derive the most vulnerable areas. The proposed methodology has been tested on the Camastra Basin, located in Basilicata Region of Southern Italy. Full article
Show Figures

Figure 1

20 pages, 4933 KB  
Article
Hydrological Simulation for Karst Mountain Areas: A Case Study of Central Guizhou Province
by Yinmao Zhao, Weihong Liao and Xiaohui Lei
Water 2019, 11(5), 991; https://doi.org/10.3390/w11050991 - 11 May 2019
Cited by 11 | Viewed by 3984
Abstract
A groundwater model is needed to describe the complex groundwater confluence process of the groundwater system in karst areas. This is because surface water flows through dolines, grikes, and by other means and is directly exchanged with the groundwater. In this study, using [...] Read more.
A groundwater model is needed to describe the complex groundwater confluence process of the groundwater system in karst areas. This is because surface water flows through dolines, grikes, and by other means and is directly exchanged with the groundwater. In this study, using the Xin’anjiang model, the conversion of surface water into groundwater and the influence of multiple series-parallel underground reservoirs on groundwater confluence through the generalization of dolines in karst areas were simulated. The water cycle process in the Sancha River Basin was simulated with measured data using multiobjective particle swarm optimization. Then, model parameters were validated with measured runoff data and compared with simulation results obtained using the traditional Xin’anjiang model based on its optimal parameters. The results showed that the determination coefficients of all hydrological stations over the study period were >0.76, and the Nash efficiency coefficient was >0.76, which were better than those for the improved Xin’anjiang model. Next, the simulation accuracy of the flood period in the karst area was analyzed. The model achieved a high fitting rate for the main flood peaks in a year, and the passing rate for the worst hydrological stations was 53%. Finally, the influence of karst development on the runoff was examined. The results indicate that different karst development stages and the heterogeneity of the karst in the basin have different effects on runoff. Full article
(This article belongs to the Section Hydrology)
Show Figures

Figure 1

24 pages, 7835 KB  
Article
The Montellina Spring as an Example of Water Circulation in an Alpine DSGSD Context (NW Italy)
by Domenico Antonio De Luca, Elena Cerino Abdin, Maria Gabriella Forno, Marco Gattiglio, Franco Gianotti and Manuela Lasagna
Water 2019, 11(4), 700; https://doi.org/10.3390/w11040700 - 4 Apr 2019
Cited by 12 | Viewed by 3806
Abstract
Alpine areas, with normally fissured bedrock outcrops, do not typically contain important hydrologic reservoirs, except for small aquifers located in Quaternary sediments. By contrast, mountainous areas affected by deep-seated gravitational slope deformations (DSGSD), especially if covered by glacial sediments, contain large aquifers and [...] Read more.
Alpine areas, with normally fissured bedrock outcrops, do not typically contain important hydrologic reservoirs, except for small aquifers located in Quaternary sediments. By contrast, mountainous areas affected by deep-seated gravitational slope deformations (DSGSD), especially if covered by glacial sediments, contain large aquifers and are consequently promising for water exploitation. This last geological setting is observed, for example, in the lower Dora Baltea Valley (near the confluence with the Renanchio Basin) in which the Montellina Spring is located and exhibits a very high discharge. A multidisciplinary approach (detailed geological survey of the bedrock and Quaternary cover, as well as hydrogeological research based on tracer tests, hydrochemical analyses, and water balance studies) was used, allowing for a reconstruction of the geological and hydrogeological setting of the investigated area, also considering its environmental implications. The consequent hydrogeological model derives from the coexistence of some factors. In detail, the thick glacial cover, widespread in the intermediate sector of the slope, represents an important aquifer with a slow groundwater flow to the spring. The buried glacial valley floor, hosting this cover, can convey the groundwater from the high Renanchio Basin zone towards the low sector. The loosened bedrock of the low sector, consequent to DSGSD phenomena, favors the concentration of groundwater along the contact with the underlying normal fissured bedrock outcropping at the base of the slope. Finally, the flow until the spring essentially takes place through N100° trend open fractures and trenches. Part of the Montellina Spring discharge is also fed by the low Renanchio Stream, as highlighted by fluorescein tests, essentially using NE-SW oriented open fractures on the bedrock. The results of the investigation on the Montellina Spring can provide some insight regarding the hydrological potential of other alpine areas with a similar geological setting. Full article
(This article belongs to the Section Hydrology)
Show Figures

Figure 1

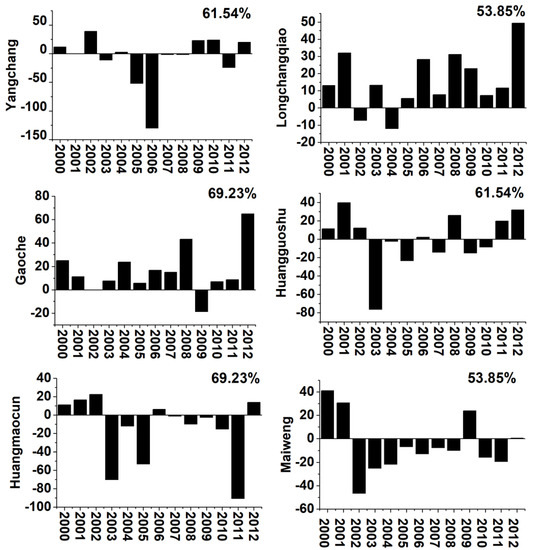
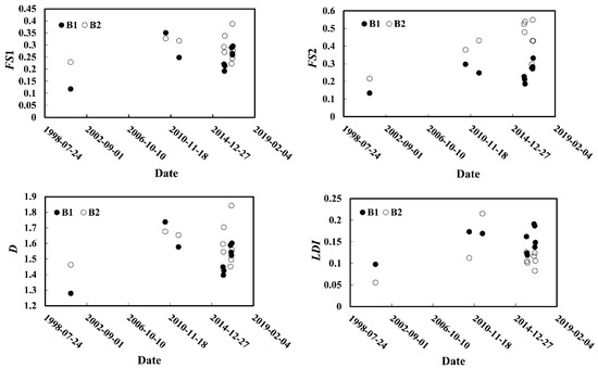
18 pages, 6231 KB  
Article
Response of the Downstream Braided Channel to Zhikong Reservoir on Lhasa River
by Xinyu Wu, Zhiwei Li, Peng Gao, Cao Huang and Tiesong Hu
Water 2018, 10(9), 1144; https://doi.org/10.3390/w10091144 - 27 Aug 2018
Cited by 23 | Viewed by 4813
Abstract
Lhasa River basin is situated in the southern part of the Qinghai-Tibet Plateau, which is the most important region of economic and social development in Tibet. In order to efficiently utilize water resources in the basin and ease the shortage of regional electric [...] Read more.
Lhasa River basin is situated in the southern part of the Qinghai-Tibet Plateau, which is the most important region of economic and social development in Tibet. In order to efficiently utilize water resources in the basin and ease the shortage of regional electric power supply, Zhikong Reservoir was built in the upstream reach of the Lhasa River in 2006. Impoundment of this reservoir evidently affected the morphology and stability of the downstream braided channel below the dam. Yet, little is known about the complex responses of the downstream braided channel to the Zhikong Dam. Landsat images in the 2000–2016 period, together with daily discharges and field observations in the 2017–2018 period, were used to investigate the morphological response of the braided channel to the Zhikong Dam. The downstream Lhasa River below the Zhikong Dam was divided into four reaches (i.e., RS1, RS2, RS3 and RS4) based on the confluence of three downstream tributaries. Results showed that the number and area of central bars in the braided reach closest to Zhikong Dam (RS1) were increased because of main channel incision and water level drop. This increasing trend attenuated along the downstream channel of this reach. Braiding number index of multithread channels in RS1 obviously increased by 3 in one section and reduced by 2 in two sections, while changed in all sections randomly with no pronounced trend along the RS2 to RS3 and RS4 reaches. The average bar area in two focus reaches, RS1_B1 and RS2_B2, 6.0 km and 36.8 km far away to the Zhikong Dam, respectively, followed opposite trends with the former increasing and the later reducing. Furthermore, the mean dissection, landscape dissection and fragmentation shape indices in RS1, showed an increasing trend from 2001 to 2016, indicating the shape of irregular central bars varied greatly because clean water release of Zhikong Dam eroded the downstream braided channel. Full article
(This article belongs to the Section Water Resources Management, Policy and Governance)
Show Figures

Figure 1

Back to TopTop