Sign in to use this feature.

Years

Between: -

Subjects

remove_circle_outline
remove_circle_outline
remove_circle_outline
remove_circle_outline
remove_circle_outline

Journals

Article Types

Countries / Regions

Search Results (8)

Search Parameters:
Keywords = regolith sintering

Order results
Result details
Results per page
Select all
Export citation of selected articles as:
23 pages, 12059 KB  
Article
Powders Synthesized from Water Solutions of Sodium Silicate and Calcium and/or Magnesium Chlorides
by Tatiana V. Safronova, Alexandra S. Sultanovskaya, Sergei A. Savelev, Tatiana B. Shatalova, Yaroslav Y. Filippov, Olga V. Boytsova, Vadim B. Platonov, Tatiana V. Filippova, Albina M. Murashko, Xinyan Feng and Muslim R. Akhmedov
Compounds 2025, 5(2), 22; https://doi.org/10.3390/compounds5020022 - 16 Jun 2025
Viewed by 1122
Abstract
Powders with phase composition including quasi-amorphous phases and calcium carbonate CaCO3 in the form of calcite or aragonite and sodium halite NaCl as a reaction by-product were synthesized from 0.5M aqua solutions of sodium silicate and 0.5M aqua solutions of calcium and/or [...] Read more.
Powders with phase composition including quasi-amorphous phases and calcium carbonate CaCO3 in the form of calcite or aragonite and sodium halite NaCl as a reaction by-product were synthesized from 0.5M aqua solutions of sodium silicate and 0.5M aqua solutions of calcium and/or magnesium chlorides. Starting solutions were taken in quantities which could provide precipitation of hydrated calcium and/or magnesium silicates with molar ratios Ca/Si = 1 (CaSi), Mg/Si = 1 (MgSi) or (Ca+Mg)/Si = 1 (CaMgSi). Hydrated calcium and/or magnesium silicates, hydrated silica, magnesium carbonate, hydrated magnesium carbonate or hydrated magnesium silicate containing carbonate ions are suspected as components of quasi-amorphous phases presented in synthesized powders. Heat treatment of synthesized powders at 400, 600, 800 °C and pressed preceramic samples at 900, 1000, 1100 and 1200 °C were used for investigation of thermal evolution of the phase composition and microstructure of powders and ceramic samples. Mass loss of powder samples under investigation during heat treatment was provided due to evacuation of H2O (m/z = 18), CO2 (m/z = 44) and NaCl at temperatures above its melting point. After sintering at 1100 °C, the phase composition of ceramic samples included wollastonite CaSiO3 (CaSi_1100); enstatite MgSiO3, clinoenstatite MgSiO3 and forsterite Mg2SiO4 (MgSi_1100); and diopside CaMgSi2O6 (CaMgSi_1100). After sintering at 1200 °C, the phase composition of ceramics CaSi_1200 included pseudo-wollastonite CaSiO3. After heat treatment at 1300 °C, the phase composition of MgSi_1300 powder included preferably protoenstatite MgSiO3. The phase composition of all samples after heat treatment belongs to the oxide system CaO–MgO–SiO2. Ceramic materials in this system are of interest for use in different areas, including refractories, construction materials and biomaterials. Powders prepared in the present investigation, both via precipitation and via heat treatment, can be used for the creation of materials with specific properties and in model experiments as lunar regolith simulants. Full article
Show Figures

Figure 1

15 pages, 4706 KB  
Review
Review of In Situ Resource Utilization-Based Biocementation and Regolith Consolidation Techniques for Space Applications
by Zhen Yan and Satoru Kawasaki
Buildings 2025, 15(11), 1815; https://doi.org/10.3390/buildings15111815 - 25 May 2025
Viewed by 2905
Abstract
With the advancement of space exploration, the development of sustainable construction technologies has become essential for the establishment of enduring extraterrestrial habitats. In Situ Resource Utilization (ISRU) assumes a pivotal role by facilitating the use of indigenous materials on celestial bodies such as [...] Read more.
With the advancement of space exploration, the development of sustainable construction technologies has become essential for the establishment of enduring extraterrestrial habitats. In Situ Resource Utilization (ISRU) assumes a pivotal role by facilitating the use of indigenous materials on celestial bodies such as the Moon and Mars, thereby reducing reliance on terrestrial resources. This review provides a comprehensive analysis of the latest ISRU-based construction technologies, with particular emphasis on biocementation techniques. It further examines the challenges associated with the application of biocementation in extreme space environments and outlines prospective research directions. The continued advancement of ISRU technologies through interdisciplinary collaboration remains crucial for the realization of viable and cost-efficient extraterrestrial construction solutions. Full article
(This article belongs to the Section Building Materials, and Repair & Renovation)
Show Figures

Figure 1

12 pages, 4874 KB  
Article
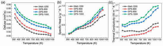
Boosting the Mechanical and Thermal Properties of CUG-1A Lunar Regolith Simulant by Spark Plasma Sintering
by Yiwei Liu, Xian Zhang, Xiong Chen, Chao Wang, Yaolun Yu, Yi Jia and Wei Yao
Crystals 2024, 14(12), 1022; https://doi.org/10.3390/cryst14121022 - 26 Nov 2024
Cited by 4 | Viewed by 2185
Abstract
The mechanical and thermal properties of the fabricated structures composed of lunar regolith are of great interest due to the urgent demand for in situ construction and manufacturing on the Moon for sustainable human habitation. This work demonstrates the great enhancement of the [...] Read more.
The mechanical and thermal properties of the fabricated structures composed of lunar regolith are of great interest due to the urgent demand for in situ construction and manufacturing on the Moon for sustainable human habitation. This work demonstrates the great enhancement of the mechanical and thermal properties of CUG-1A lunar regolith simulant samples using spark plasma sintering (SPS). The morphology, chemical composition, structure, mechanical and thermal properties of the molten and SPSed samples were investigated. The sintering temperature significantly influenced the microstructure and macroscopic properties of these samples. The highest density (~99.7%), highest thermal conductivity (2.65 W·m−1·K−1 at 1073 K), and the best mechanical properties (compressive strength: 370.2 MPa, flexural strength: 81.4 MPa) were observed for the SPSed sample sintered at 1273 K. The enhanced thermal and mechanical properties of these lunar regolith simulant samples are attributed to the compact structure and the tight bonding between particles via homogenous glass. Full article
(This article belongs to the Section Inorganic Crystalline Materials)
Show Figures

Graphical abstract

18 pages, 4398 KB  
Article
Effect of TiO2 on the Microstructure and Flexural Strength of Lunar Regolith Simulant
by Junhao Chen, Haoming Chen, Zhe Zhao and Xiao Zong
Crystals 2024, 14(2), 110; https://doi.org/10.3390/cryst14020110 - 23 Jan 2024
Cited by 2 | Viewed by 2354
Abstract
Lunar regolith is the preferred material for lunar base construction using in situ resource utilization technology. The TiO2 variations in lunar regolith collected from different locations significantly impact its suitability as a construction material. Therefore, it is crucial to investigate the effects [...] Read more.
Lunar regolith is the preferred material for lunar base construction using in situ resource utilization technology. The TiO2 variations in lunar regolith collected from different locations significantly impact its suitability as a construction material. Therefore, it is crucial to investigate the effects of TiO2 on the properties of lunar regolith. This study aims to evaluate the influence of TiO2 content and sintering temperature on phase transformation, microstructure, and macroscopic properties (e.g., the shrinkage rate, mechanical properties, and relative density) of lunar regolith simulant samples (CUG-1A). The flexural strength and relative density of the sample with a TiO2 content of 6 wt% sintered at 1100 °C reached 136.66 ± 4.92 MPa and 91.06%, which were 65% and 12.28% higher than those of the sample not doped with TiO2, respectively. The experiment demonstrated that the doped TiO2 not only reacted with Fe to form pseudobrookite (Fe2TiO5) but also effectively reduced the viscosity of the glass phase during heat treatment. As the sintering temperature increased, the particles underwent a gradual melting process, leading to a higher proportion of the liquid phase. The higher liquid-phase content had a positive impact on the diffusion of mass transfer, causing the voids and gaps between particles to shrink. This shrinkage resulted in greater density and, ultimately, improved the mechanical properties of the material. Full article
(This article belongs to the Special Issue Ceramics: Processes, Microstructures, and Properties)
Show Figures

Figure 1

23 pages, 4996 KB  
Review
A Survey on Extraterrestrial Habitation Structures with a Focus on Energy-Saving 3D Printing Techniques
by Mitra Khalilidermani and Dariusz Knez
Appl. Sci. 2023, 13(23), 12913; https://doi.org/10.3390/app132312913 - 2 Dec 2023
Cited by 4 | Viewed by 4391
Abstract
In the past two decades, various space agencies have shown great enthusiasm for constructing habitable structures on lunar and Martian surfaces. Consequently, several extraterrestrial structures have been proposed by different researchers. Nevertheless, only a small number of those structures are energy-efficient and cost-effective. [...] Read more.
In the past two decades, various space agencies have shown great enthusiasm for constructing habitable structures on lunar and Martian surfaces. Consequently, several extraterrestrial structures have been proposed by different researchers. Nevertheless, only a small number of those structures are energy-efficient and cost-effective. In this research, a comprehensive review of the proposed extraterrestrial structures has been conducted. The objective is to evaluate different habitat construction techniques from technical, economic, and energy-consumption perspectives. To carry this out, different proposed structures are elaborated, and their advantages and limitations are discussed. The primary focus is on the 3D printing technique, which has demonstrated significant potential in automated manufacturing tasks. From the conducted research, it was found that the combination of 3D-printed components along with an internal breathable inflatable module is the most promising technique for habitat development on the Moon and Mars. Moreover, the microwave sintering method was identified as the most energy-saving and reliable approach for melting the on-site regolith for use in the 3D printing process. This survey has applied a multidisciplinary approach to evaluate the most energy-saving planetary construction techniques that are economically crucial for different private or government-funded space agencies. Full article
(This article belongs to the Section Additive Manufacturing Technologies)
Show Figures

Figure 1

15 pages, 9480 KB  
Article
Dry-Adhesive Microstructures for Material Handling of Additively Manufactured and Deep-Rolled Metal Surfaces with Reference to Mars
by Nicole Mensching, Mirja Louisa Krüger, Askar Kvaratskheliya, Daniel Meyer, Kirsten Tracht, Ilya Okulov and Lutz Mädler
Materials 2023, 16(11), 4170; https://doi.org/10.3390/ma16114170 - 3 Jun 2023
Cited by 3 | Viewed by 1899
Abstract
Once on Mars, maintenance and repair will be crucial for humans as supply chains including Earth and Mars will be very complex. Consequently, the raw material available on Mars must be processed and used. Factors such as the energy available for material production [...] Read more.
Once on Mars, maintenance and repair will be crucial for humans as supply chains including Earth and Mars will be very complex. Consequently, the raw material available on Mars must be processed and used. Factors such as the energy available for material production play just as important a role as the quality of the material that can be produced and the quality of its surface. To develop and technically implement a process chain that meets the challenge of producing spare parts from oxygen-reduced Mars regolith, this paper addresses the issue of low-energy handling. Expected statistically distributed high roughnesses of sintered regolith analogs are approximated in this work by parameter variation in the PBF-LB/M process. For low-energy handling, a dry-adhesive microstructure is used. Investigations are carried out to determine the extent to which the rough surface resulting from the manufacturing process can be smoothed by deep-rolling in such a way that the microstructure adheres and enables samples to be transported. For the investigated AlSi10Mg samples (12 mm × 12 mm × 10 mm), the surface roughness varies in a wide range from Sa 7.7 µm to Sa 64 µm after the additive manufacturing process, and pull-off stresses of up to 6.99 N/cm2 could be realized after deep-rolling. This represents an increase in pull-off stresses by a factor of 392.94 compared to the pull-off stresses before deep-rolling, enabling the handling of even larger specimens. It is noteworthy that specimens with roughness values that were previously difficult to handle can be treated post-deep-rolling, indicating a potential influence of additional variables that describe roughness or ripples and are associated with the adhesion effect of the microstructure of the dry adhesive. Full article
Show Figures

Figure 1

12 pages, 2268 KB  
Article
Metal and Oxide Sublimation from Lunar Regolith: A Kinetics Study
by Matthew G. Shaw, Matthew S. Humbert, Geoffrey A. Brooks, M. Akbar Rhamdhani, Alan R. Duffy and Mark I. Pownceby
Minerals 2023, 13(1), 79; https://doi.org/10.3390/min13010079 - 4 Jan 2023
Cited by 9 | Viewed by 4152
Abstract
When considering the extraction of metals from lunar regolith for use in space, one reductive method of interest is vacuum thermal dissociation. Given the high vacuum environment on the Moon, the sub-liquidus operation of such a process, i.e., sublimation, warrants investigation. In the [...] Read more.
When considering the extraction of metals from lunar regolith for use in space, one reductive method of interest is vacuum thermal dissociation. Given the high vacuum environment on the Moon, the sub-liquidus operation of such a process, i.e., sublimation, warrants investigation. In the current work, the kinetics of the vacuum sublimation of the more volatile major oxides found in the lunar regolith, Na2O, K2O, and FeO, are evaluated. Two distinct factors are accounted for in the current work: the change in the evaporation flux due to temperature; and the reduction in available surface area for evaporation due to sintering of the feedstock. Surface area change due to the sintering of compressed LMS-1 regolith simulant pellets was quantified via a Brunauer–Emmett–Teller analysis. The surface area of the samples was measured to vary from 3.29 m2/g in the unsintered sample, to 1.04 m2/g in the samples sintered at 800 °C, and down to 0.09 m2/g in the sample sintered at 1150 °C. Evaporation flux was calculated using the Hertz–Knudsen–Langmuir equation using saturated vapor pressures predicted from the FactSage thermochemical package and verified against Knudsen Effusion Mass Spectroscopy data from tests conducted on lunar regolith sample #12022. The combination of these studies resulted in the conclusion that no local maxima in evaporation rate below the melting point was found for the current system, as such the highest rate of sublimation was determined to be 1200 °C for all species, at temperatures of 1200 °C and above, partial melting of the material occurs. The predicted maximum rate of sublimation for the species Fe, Na, and K at 1200 °C was 0.08, 1.38, and 1.02 g/h/g of regolith, respectively. It is noted that significant variation was seen between FactSage predictions of saturated vapor pressures and the measured values. Future work generating detailed thermochemical databases to predict the behavior of complex systems similar in composition to lunar regolith would benefit the accuracy of similar kinetic studies in the future. Full article
(This article belongs to the Special Issue Space Resources)
Show Figures

Figure 1

9 pages, 3924 KB  
Article
Ceramic Material Processing Towards Future Space Habitat: Electric Current-Assisted Sintering of Lunar Regolith Simulant
by Xin Li Phuah, Han Wang, Bruce Zhang, Jaehun Cho, Xinghang Zhang and Haiyan Wang
Materials 2020, 13(18), 4128; https://doi.org/10.3390/ma13184128 - 17 Sep 2020
Cited by 22 | Viewed by 3083
Abstract
In situ utilization of available resources in space is necessary for future space habitation. However, direct sintering of the lunar regolith on the Moon as structural and functional components is considered to be challenging due to the sintering conditions. To address this issue, [...] Read more.
In situ utilization of available resources in space is necessary for future space habitation. However, direct sintering of the lunar regolith on the Moon as structural and functional components is considered to be challenging due to the sintering conditions. To address this issue, we demonstrate the use of electric current-assisted sintering (ECAS) as a single-step method of compacting and densifying lunar regolith simulant JSC-1A. The sintering temperature and pressure required to achieve a relative density of 97% and microhardness of 6 GPa are 700 °C and 50 MPa, which are significantly lower than for the conventional sintering technique. The sintered samples also demonstrated ferroelectric and ferromagnetic behavior at room temperature. This study presents the feasibility of using ECAS to sinter lunar regolith for future space resource utilization and habitation. Full article
(This article belongs to the Section Advanced Materials Characterization)
Show Figures

Figure 1

Back to TopTop