Due to scheduled maintenance work on our servers, there may be short service disruptions on this website between 11:00 and 12:00 CEST on March 28th.
Sign in to use this feature.

Years

Between: -

Subjects

remove_circle_outline
remove_circle_outline
remove_circle_outline
remove_circle_outline
remove_circle_outline
remove_circle_outline
remove_circle_outline
remove_circle_outline
remove_circle_outline

Journals

remove_circle_outline
remove_circle_outline
remove_circle_outline
remove_circle_outline
remove_circle_outline
remove_circle_outline
remove_circle_outline
remove_circle_outline
remove_circle_outline
remove_circle_outline
remove_circle_outline
remove_circle_outline
remove_circle_outline
remove_circle_outline
remove_circle_outline
remove_circle_outline
remove_circle_outline
remove_circle_outline
remove_circle_outline
remove_circle_outline
remove_circle_outline
remove_circle_outline
remove_circle_outline
remove_circle_outline
remove_circle_outline
remove_circle_outline
remove_circle_outline
remove_circle_outline
remove_circle_outline
remove_circle_outline
remove_circle_outline

Article Types

Countries / Regions

remove_circle_outline
remove_circle_outline
remove_circle_outline
remove_circle_outline
remove_circle_outline
remove_circle_outline
remove_circle_outline
remove_circle_outline
remove_circle_outline

Search Results (3,944)

Search Parameters:
Keywords = reference chemical

Order results
Result details
Results per page
Select all
Export citation of selected articles as:
17 pages, 1229 KB  
Article
A Tutorial on Using Untargeted Metabolomics Data of Human Excreta to Investigate Drug Excretion and Wastewater Entry
by Shihang Han, Marieke A. J. Hof, Stephan J. L. Bakker, Gérard Hopfgartner, Eelko Hak and Frank Klont
Environments 2026, 13(4), 179; https://doi.org/10.3390/environments13040179 - 24 Mar 2026
Abstract
Environmental scientists are increasingly monitoring therapeutic drugs and their metabolites in water systems, requiring knowledge of human drug metabolism and excretion. Many published studies, however, rely on data from small-scale human metabolism trials, typically involving around six (healthy, young, male) volunteers. Their generalizability [...] Read more.
Environmental scientists are increasingly monitoring therapeutic drugs and their metabolites in water systems, requiring knowledge of human drug metabolism and excretion. Many published studies, however, rely on data from small-scale human metabolism trials, typically involving around six (healthy, young, male) volunteers. Their generalizability to real-world drug users may be limited, potentially biasing environmental monitoring efforts. Here, we leveraged untargeted LC-SWATH/MS pharmacometabolomics data from 283 potential living kidney donors and 688 kidney transplant recipients to characterize the 24 h urinary excretion profiles of two widely used diuretics frequently monitored in wastewater, hydrochlorothiazide and furosemide. Both are expected to be excreted largely unchanged, which our analyses confirmed. For hydrochlorothiazide, however, we also identified (using reference standards) the previously underreported transformation products chlorothiazide and salamide. These findings highlight the relevance and capability of using untargeted metabolomics data from human excreta to provide insights from large, real-world cohorts into which chemicals enter wastewater systems, with both drugs serving as exemplary case studies for analogous analyses of other drugs. In particular, the qualitative information obtained (e.g., accurate mass, retention time, fragment spectra) may inform targeted biomonitoring and highlight cases where consensus-based estimates of excreted drug or metabolite fractions are overestimated. Full article
Show Figures

Figure 1

38 pages, 774 KB  
Review
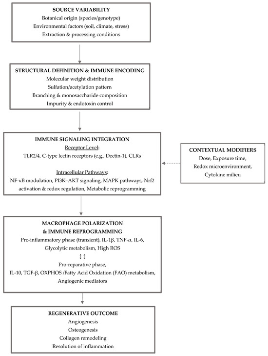
Plant-Based Biomaterials as Bio-Instructive Immunomodulators: Design Principles, Mechanisms, and Translational Challenges
by Stefania Lamponi
Life 2026, 16(4), 538; https://doi.org/10.3390/life16040538 - 24 Mar 2026
Viewed by 1
Abstract
Plant-based biomaterials are increasingly recognized as bio-instructive platforms capable of actively modulating immune responses rather than functioning solely as passive structural supports. In this context, the term plant-based refers to photosynthetic biomass-derived platforms, including both terrestrial plants and marine macroalgae, reflecting their shared [...] Read more.
Plant-based biomaterials are increasingly recognized as bio-instructive platforms capable of actively modulating immune responses rather than functioning solely as passive structural supports. In this context, the term plant-based refers to photosynthetic biomass-derived platforms, including both terrestrial plants and marine macroalgae, reflecting their shared richness in polysaccharides and secondary metabolites relevant to immune engineering and regenerative medicine. This review critically synthesizes current evidence on plant-derived polysaccharides and phytochemicals, including algal sulfated polysaccharides (fucoidan, alginate, carrageenan, and ulvan), terrestrial plant polysaccharides (e.g., Lycium barbarum and Aloe vera derivatives), polyphenols, and other secondary metabolites such as terpenoids and alkaloids, highlighting their roles as immunomodulators in biomedical contexts. Key mechanisms include macrophage polarization along an M1–M2 continuum, pattern recognition receptor engagement, redox and metabolic regulation, and crosstalk between innate and adaptive immunity, with emphasis on context-dependent signaling and structural heterogeneity. Material design parameters, including molecular weight and chemical functionalization, are critical determinants of immune responses. Advanced delivery systems, such as hydrogels, nanocomposites, phytosomes, and plant-derived extracellular vesicles (EVs), enable improved stability and spatiotemporal control. Applications in wound and musculoskeletal regeneration are discussed alongside translational challenges, including variability, reproducibility, regulatory issues, and the need for standardized characterization and immune validation. Full article
Show Figures

Figure 1

14 pages, 5013 KB  
Article
Microstructure and Mechanical Properties of CVD TiN/TiB2 Multilayer Coatings
by Nina Schalk, Michael Tkadletz, Alexandra Lechner, Martin Krobath, Jozef Keckes, Juraj Todt, Manfred Burghammer, Bernhard Sartory, Werner Ecker and Christoph Czettl
Coatings 2026, 16(4), 394; https://doi.org/10.3390/coatings16040394 - 24 Mar 2026
Viewed by 71
Abstract
Chemical vapor deposited (CVD) TiN and TiB2 are both commonly used as wear-resistant hard coatings. The two materials exhibit pronounced differences in their properties, which can be exploited by combining them in a multilayer architecture. Thus, two multilayer coatings with different bilayer [...] Read more.
Chemical vapor deposited (CVD) TiN and TiB2 are both commonly used as wear-resistant hard coatings. The two materials exhibit pronounced differences in their properties, which can be exploited by combining them in a multilayer architecture. Thus, two multilayer coatings with different bilayer periodicities of ~80 and ~220 nm were synthesized. The multilayer architecture constrains the TiN grain size to dimensions comparable to the individual sublayer thickness, which are substantially smaller than those observed in the single-layer TiN reference coating. This grain refinement leads to significantly higher hardness of the TiN sublayers within the multilayer system compared to the single-layer coating. In contrast, the low grain size of the TiB2 coating appears unaffected, and the hardness of the TiB2 layers in the multilayer and corresponding bilayer reference coating is also comparable. The compressive residual stress in the TiB2 layers decreases with decreasing layer thickness, while the tensile residual stress in the TiN layers increases, resulting in a roughly constant stress difference between the sublayers, which is also comparable to the conventional TiN/TiB2 bilayer reference coating. However, while the tensile stress in the TiN sublayers is constant over coating thickness, TiB2 exhibits a pronounced gradient with only low compressive stress at the interface to the substrate, which increases significantly with increasing coating thickness. The fracture properties of the multilayers range between the values obtained for the corresponding reference coatings. Complementary finite element method simulations revealed that, for the multilayer coatings, the common assumption of a stress-free state of micro-cantilevers used for bending tests is not valid. Full article
(This article belongs to the Special Issue Chemical Vapor Deposition (CVD): Technology and Applications)
Show Figures

Graphical abstract

25 pages, 4366 KB  
Article
Flexible Polypyrrole-Based Composite Films with Tailored Electrical and Mechanical Properties for Electrocardiographic Sensing
by Alin-Alexandru Andrei, Izabell Craciunescu, Lucian Barbu Tudoran, Rodica Paula Turcu, George Marian Ispas, Gavril-Ionel Giurgi, Alexandru Oprea, Mioara Zagrai and Cristian Sevcencu
Polymers 2026, 18(6), 779; https://doi.org/10.3390/polym18060779 - 23 Mar 2026
Viewed by 202
Abstract
Flexible electrode materials with tailored electrical and mechanical properties are essential for reliable electrocardiographic (ECG) sensing. In this work, p-toluenesulfonic-acid-doped polypyrrole (PPy–TSA) films were modified using polymeric and inorganic fillers, as well as their combinations (polyethylene glycol, graphene, carbon nanotubes, and zeolite), to [...] Read more.
Flexible electrode materials with tailored electrical and mechanical properties are essential for reliable electrocardiographic (ECG) sensing. In this work, p-toluenesulfonic-acid-doped polypyrrole (PPy–TSA) films were modified using polymeric and inorganic fillers, as well as their combinations (polyethylene glycol, graphene, carbon nanotubes, and zeolite), to tune their functional performance. The reference PPy–TSA film exhibits typical morphological and chemical characteristics of doped polypyrrole and serves as a reliable baseline for comparison. All composite films retain electrical conductivity within the range required for ECG applications while showing improved mechanical compliance (i.e., enhanced ability to conform to the skin and sustain deformation). Based on the optimized balance between electrical and mechanical properties, flexible ECG electrodes were fabricated using the TSA-doped PPy-based composite film. ECG recordings obtained with the several proposed electrodes show good agreement with those acquired using a commercial ECG electrode, demonstrating the potential of PPy-based composite films for flexible bioelectronic sensing applications. Full article
Show Figures

Figure 1

23 pages, 1917 KB  
Article
Sex-Driven Variation in Polar Metabolites and Lipid Motifs of Paracentrotus lividus Gonads Profiled by 1H NMR
by Ricardo Ibanco-Cañete, Estela Carbonell-Garzón, Sergio Amorós-Trujillo, Pablo Sanchez-Jerez and Frutos Carlos Marhuenda Egea
Metabolites 2026, 16(3), 211; https://doi.org/10.3390/metabo16030211 - 21 Mar 2026
Viewed by 156
Abstract
Background/Objectives: Sea urchin gonads (“roe”) are a valuable seafood product and a chemically complex matrix whose composition varies with physiology and environment. We present a biphasic extraction and 1H NMR workflow to build a reusable reference inventory of polar metabolites and apolar [...] Read more.
Background/Objectives: Sea urchin gonads (“roe”) are a valuable seafood product and a chemically complex matrix whose composition varies with physiology and environment. We present a biphasic extraction and 1H NMR workflow to build a reusable reference inventory of polar metabolites and apolar lipid features in Paracentrotus lividus. Methods: Gonads from 37 adults (23 males, 14 females) collected at two sites (Alicante and Jávea–Dénia, Spain; October 2024) were lyophilized, extracted with methanol/chloroform/water, and analyzed by 400 MHz 1H NMR in buffered aqueous solution (polar) and CDCl3 (apolar). Polar metabolite identification combined 1D patterns with database matching and 1H–13C HSQC confirmation on representative samples, yielding 71 annotated resonances corresponding to 37 metabolites spanning amino acids, osmolytes/quaternary amines, carbohydrates/aminosugars, and nucleoside/purine-related compounds. Results: Polar fingerprints enabled supervised modelling: PLS-LDA separated sexes with low cross-validated error, and SPA/COSS ranking highlighted glycine, alanine, creatine and osmolyte-associated signals as key discriminants; pathway mapping supported the enrichment of amino-acid and one-carbon/purine networks. Apolar spectra were annotated at the motif level and used for lipid-index estimation, indicating substantial unsaturation but low docosahexaenoic acid (DHA) and modest sex effects. Conclusions: The curated peak lists and reporting framework facilitate reproducible NMR annotation and future comparative studies of P. lividus gonads. Full article
(This article belongs to the Special Issue Nutrition, Metabolism and Physiology in Aquatic Animals)
Show Figures

Graphical abstract

14 pages, 4096 KB  
Article
Biochar-Enhanced Inorganic Gel for Water Plugging in High-Temperature and High-Salinity Fracture-Vuggy Reservoirs
by Shiwei He and Tengfei Wang
Processes 2026, 14(6), 1014; https://doi.org/10.3390/pr14061014 - 21 Mar 2026
Viewed by 236
Abstract
With the expansion of global oil and gas resource exploration and development into deep and ultra deep layers, the efficient development of deep carbonate rock fracture cave reservoirs has become the key to ensuring energy security. However, this type of reservoir commonly faces [...] Read more.
With the expansion of global oil and gas resource exploration and development into deep and ultra deep layers, the efficient development of deep carbonate rock fracture cave reservoirs has become the key to ensuring energy security. However, this type of reservoir commonly faces high temperatures, high salinity, and extremely strong heterogeneity, leading to increasingly severe water content spikes caused by dominant water flow channels. Although the existing traditional inorganic plugging agent has good temperature resistance, it has the defects of great brittleness and easy cracking, while the organic polymer gel is prone to degradation failure under high temperature and high salt environments. In order to solve the above problems, a new biochar-enhanced inorganic composite gel system was constructed by using biochar prepared from agricultural and forestry waste pyrolysis as a functional enhancement component. Through rheological testing, high-temperature and high-pressure mechanical experiments, long-term thermal stability evaluation, and dynamic sealing experiments of fractured rock cores, the reinforcement and toughening laws and rheological control mechanisms of biochar on inorganic matrices were systematically studied. Research has found that a biochar content of 0.5 wt% can significantly improve the micro pore structure of the matrix. By utilizing its micro aggregate filling effect and interfacial chemical bonding, the compressive strength of the solidified body can be increased to over 2 MPa, and there is no significant decline in strength after aging at 130 °C for 30 days. More importantly, the unique “adsorption slow-release” mechanism of biochar effectively stabilizes the hydration reaction kinetics at high temperatures, extending the solidification time of the system to 15 h and solving the problem of flash condensation in deep well pumping. This system exhibits excellent shear thinning characteristics and crack sealing ability, and presents a unique “yield reconstruction” toughness sealing feature. This study elucidates the multidimensional strengthening mechanism of biochar in inorganic cementitious materials, providing technical reference for stable oil and water control in deep fractured reservoirs. Full article
Show Figures

Figure 1

14 pages, 3884 KB  
Article
Effective Energy Harvesting in Polymer Solar Cells Using NiS/Co as Nanocomposite Doping
by Jude N. Ike and Raymond Tichaona Taziwa
Micro 2026, 6(1), 22; https://doi.org/10.3390/micro6010022 - 21 Mar 2026
Viewed by 87
Abstract
Over the past two decades, organic semiconductors have attracted significant research interest due to their advantageous features, including low-cost fabrication, lightweight properties, and portability, for photonic device applications. In this study, nickel sulfide doped with cobalt [...] Read more.
Over the past two decades, organic semiconductors have attracted significant research interest due to their advantageous features, including low-cost fabrication, lightweight properties, and portability, for photonic device applications. In this study, nickel sulfide doped with cobalt (NiS/Co) nanocomposites were successfully synthesized via a wet-chemical processing technique and used as a dopant in the active layer of thin-film organic solar cells (TFOSCs). The poly(3-hexylthiophene) (P3HT) and [6,6]-phenyl-C61-butyric acid methyl ester (PC61BM) blend was used as the active layer in this investigation. The devices were fabricated with NiS/Co nanocomposites at 1 wt%, 2 wt%, and 3 wt% in the active layer to determine the optimal dopant concentration. However, the experimental evidence clearly showed that the solar cell’s performance depends on the concentration of the NiS/Co nanocomposites. As a result, the highest power conversion efficiency (PCE) recorded in this experimental work was 6.11% at a 1% doping concentration, compared with 2.48% for the pristine reference device under AM 1.5G illumination (100 mW/cm2) in ambient conditions. The optical and electrical properties of the active layers are found to be strongly influenced by the inclusion of NiS/Co nanocomposites in the medium. However, the device doped with 1 wt% NiS/Co nanocomposite exhibits the highest absorption intensity, consistent with the better performance observed in this study, which can be attributed to the localized surface plasmon resonance (LSPR) effect. The optical and morphological characteristics of the synthesized NiS/Co nanocomposites were comprehensively analyzed using high-resolution transmission electron microscopy (HRTEM), high-resolution scanning electron microscopy (HRSEM), and additional complementary techniques. Full article
(This article belongs to the Section Microscale Physics)
Show Figures

Figure 1

20 pages, 1860 KB  
Article
Kombucha SCOBY as a Fermentation-Derived Biofilm Matrix: Species-Resolved Microbial Communities and Multidimensional In Vitro Bioactivities
by Anita Hartono, Kyra Singgih Palupi, Riza-Arief Putranto, Antonello Santini and Fahrul Nurkolis
Polymers 2026, 18(6), 764; https://doi.org/10.3390/polym18060764 - 20 Mar 2026
Viewed by 246
Abstract
Kombucha fermentation is driven by a Symbiotic Culture of Bacteria and Yeast (SCOBY), a cellulose-rich biofilm that hosts a complex microbial consortium. While most kombucha studies focus on the liquid beverage, the SCOBY pellicle itself remains underexplored, particularly with respect to species-level microbial [...] Read more.
Kombucha fermentation is driven by a Symbiotic Culture of Bacteria and Yeast (SCOBY), a cellulose-rich biofilm that hosts a complex microbial consortium. While most kombucha studies focus on the liquid beverage, the SCOBY pellicle itself remains underexplored, particularly with respect to species-level microbial resolution and its intrinsic biological activities. In this study, a commercial kombucha SCOBY was characterized using full-length 16S rRNA gene and ITS amplicon sequencing based on Oxford Nanopore Technology, enabling species-level taxonomic resolution. In parallel, hydroalcoholic and aqueous extracts of dried SCOBY biomass were evaluated for in vitro antioxidant activity (DPPH and ABTS assays), antidiabetic-related enzyme inhibition (α-glucosidase and dipeptidyl peptidase-4, DPP4), and anti-aging-related enzyme inhibition (tyrosinase and elastase). The SCOBY bacterial community was strongly dominated by acetic acid bacteria, with Komagataeibacter saccharivorans and Acetobacter tropicalis accounting for more than 60% of total reads, reflecting a biofilm structure optimized for cellulose production and oxidative metabolism. The yeast community showed marked unevenness, with Brettanomyces bruxellensis representing over 80% of reads, consistent with its known role in ethanol production and stress tolerance within kombucha systems. In vitro assays revealed that hydroalcoholic SCOBY extracts consistently exhibited higher biological activity than aqueous extracts across all tested assays. However, both extracts showed substantially lower potency than purified reference compounds, indicating moderate but measurable bioactivity typical of complex fermented matrices. These findings support the potential valorization of SCOBY as a fermentation-derived biomaterial and functional ingredient while underscoring the need for further chemical characterization, mechanistic studies, and biological validation beyond enzyme-based assays. Full article
Show Figures

Figure 1

30 pages, 4767 KB  
Article
Recycled Polyurethane Glycolysate and Glycerolysate as Sustainable Plasticizers for Lignin-Filled NBR Composites
by Ján Kruželák, Michaela Džuganová, Katarína Tomanová, Roderik Plavec, Paulina Parcheta-Szwindowska, Marcin Włoch, Magdalena Bąk and Janusz Datta
Materials 2026, 19(6), 1204; https://doi.org/10.3390/ma19061204 - 19 Mar 2026
Viewed by 174
Abstract
Glycolysate and glycerolysate—organic substances recovered from the chemical recycling of polyurethane waste—were investigated as sustainable plasticizers for acrylonitrile-butadiene rubber composites filled with 30 phr of calcium lignosulfonate or kraft lignin. The study evaluated the impact of these recycled plasticizers (added at 10 and [...] Read more.
Glycolysate and glycerolysate—organic substances recovered from the chemical recycling of polyurethane waste—were investigated as sustainable plasticizers for acrylonitrile-butadiene rubber composites filled with 30 phr of calcium lignosulfonate or kraft lignin. The study evaluated the impact of these recycled plasticizers (added at 10 and 15 phr) on the curing process, morphology, rheology, mechanical and dynamic mechanical performances. Rheological analysis confirmed that both plasticizers significantly reduced the complex viscosity of the rubber compounds, with the effect being most pronounced at the 15 phr loading. While the incorporation of glycolysate and glycerolysate slightly extended the optimum cure time and decelerated the curing process, the cross-link density remained consistently within the range of 3.5–4 × 10−4 mol·cm−3. Morphological studies revealed that the plasticizers facilitated better dispersion of both lignin types and improved interfacial adhesion. However, the mechanical response differed significantly depending on the filler type. A consistent increase in elongation at break was observed only for composites filled with kraft lignin, where values rose from 341% for the reference up to 571% for the sample with 15 phr of glycolysate. In contrast, the application of plasticizers to calcium lignosulfonate-filled composites led to an initial decrease in both tensile strength and elongation at break. Notably, kraft lignin-filled composites exhibited superior overall mechanical performance, with glycolysate effectively maintaining tensile strength levels comparable to the reference. While both recovered substances performed effectively as processing aids, they had a negligible effect on the glass transition temperature. The results demonstrated that these recovered polyurethane derivatives are highly effective, sustainable alternatives to conventional plasticizers, showing a clear synergistic effect particularly with kraft lignin. Full article
(This article belongs to the Special Issue Progress and Challenges of Rubber Materials)
Show Figures

Figure 1

16 pages, 1677 KB  
Article
The Laboratory Characterization of a Warm Asphalt Mixture Incorporating Reclaimed Asphalt Pavement
by Edoardo Bocci and Carlo Carpani
Infrastructures 2026, 11(3), 103; https://doi.org/10.3390/infrastructures11030103 - 19 Mar 2026
Viewed by 79
Abstract
Nowadays, the most widespread solutions to increase the sustainability of bituminous mixes deal with the recycling of reclaimed asphalt pavement (RAP) and the use of warm mix asphalt (WMA). However, the possibility of combining RAP recycling and WMA technologies needs to be further [...] Read more.
Nowadays, the most widespread solutions to increase the sustainability of bituminous mixes deal with the recycling of reclaimed asphalt pavement (RAP) and the use of warm mix asphalt (WMA). However, the possibility of combining RAP recycling and WMA technologies needs to be further investigated and validated. This comprehensive laboratory study aimed at assessing the feasibility of recycling RAP in WMA mixes without compromising performance. For this purpose, WMA containing 40% RAP was produced by using softer virgin bitumen (160/220), to compensate for the high stiffness and viscosity of the RAP binder, and a WMA chemical additive. The mix was designed and characterized in terms of indirect tensile strength, water sensitivity, complex modulus, resistance to low-temperature cracking, resistance to rutting at high temperatures, and fatigue resistance. Its mechanical properties were compared with those of ordinary HMA made with virgin bitumen (50/70) and aggregates. The experimental results showed that the WMA+RAP mix had comparable volumetric properties with respect to the reference HMA despite its reduced production temperatures. Moreover, WMA+RAP exhibited similar or improved mechanical performance, with enhanced resistance to water damage, rutting, and fatigue cracking, without penalizing low-temperature behavior. Full article
Show Figures

Figure 1

18 pages, 3091 KB  
Article
Commercial Helichrysum italicum Essential Oils and Hydrosols from Adriatic and Continental Croatia: Quality Assessment and Chemical Composition
by Suzana Inić, Valerija Dunkić, Marija Nazlić, Barbara Bilandžija, Lucija Bilandžija, Lea Pollak and Dario Kremer
Horticulturae 2026, 12(3), 373; https://doi.org/10.3390/horticulturae12030373 - 18 Mar 2026
Viewed by 110
Abstract
Immortelle (Helichrysum italicum (Roth) G. Don, family Asteraceae) essential oils (HiEOs) and hydrosols (HiHYs) are widely used in cosmetic, pharmaceutical, and agricultural formulations. However, their composition and quality vary depending on geographical origin and production practices, while standardized reference values—particularly for hydrosols—are [...] Read more.
Immortelle (Helichrysum italicum (Roth) G. Don, family Asteraceae) essential oils (HiEOs) and hydrosols (HiHYs) are widely used in cosmetic, pharmaceutical, and agricultural formulations. However, their composition and quality vary depending on geographical origin and production practices, while standardized reference values—particularly for hydrosols—are still lacking. The aim of this study was to investigate and compare the physicochemical properties and chemical composition of commercial HiEOs and HiHYs from the Adriatic and continental regions of Croatia. Samples were analysed using standard pharmacopoeial methods and gas chromatography–mass spectrometry (GC–MS). Physicochemical analyses (relative density, acid value, refractive index, pH, turbidity, and essential oil content) showed that all samples were within generally accepted quality ranges, with no significant differences observed between regions using the Mann–Whitney U test. HiEOs were dominated by sesquiterpene hydrocarbons (53.15–55.60%), whereas HiHYs contained predominantly oxygenated monoterpenes (43.54–69.86%). The main compounds identified in both fractions were α-pinene, neryl acetate, γ-curcumene, and β-selinene, which formed a consistent chemical signature and served as practical biomarkers for the quality of H. italicum EO and hydrosol. Principal Component Analysis (PCA) distinguished sample groupings based on physicochemical properties and chemical composition, indicating regional variability without exceeding accepted quality limits. This study presents the first comparative dataset of Croatian commercial HiEOs and HiHYs, and defines practical parameter ranges to support standardized specifications, ensure consistent quality, and enhance the industrial applicability of immortelle-based products. Full article
(This article belongs to the Section Postharvest Biology, Quality, Safety, and Technology)
Show Figures

Graphical abstract

20 pages, 2631 KB  
Article
Reducing the Occurrence of Risk in the Urban Transport of Dangerous Goods to Achieve the Sustainable Development Goals
by Francesco Russo and Corrado Rindone
Safety 2026, 12(2), 43; https://doi.org/10.3390/safety12020043 - 17 Mar 2026
Viewed by 175
Abstract
The transport of dangerous goods (TDG) produces serious risks, particularly in urban areas, due to the high presence of people and sensitive infrastructures from a social, environmental and economic point of view. Transport Risk Assessment combines occurrence, vulnerability and exposure to support urban [...] Read more.
The transport of dangerous goods (TDG) produces serious risks, particularly in urban areas, due to the high presence of people and sensitive infrastructures from a social, environmental and economic point of view. Transport Risk Assessment combines occurrence, vulnerability and exposure to support urban transport planning aimed at achieving the Sustainable Development Goals. The objective of this paper is to propose a simplified risk calculation method, referring to a single link of the urban transport network, with reference to the occurrence component of the risk. The proposed formulation considers the sequence of factors that determine the overall dangerous event. The specification of the occurrence factors and a quantitative definition of the different parameters for a widespread type of transport of dangerous goods in urban areas is proposed. The results obtained are interesting because (1) the method, with quantitative parameters, can be applied to any urban area, and (2) some of the factors can also be used by replacing and introducing, where known, specific factors and relative parameters calibrated for the area for which it is planned to be implemented. The results indicate the feasibility of the proposed method without significant chemical–physical or electromechanical insights. This work is of potential interest for urban transport planners and public and private decision makers. Full article
Show Figures

Figure 1

10 pages, 2448 KB  
Proceeding Paper
Solvent-Based Simulation and Techno-Economic Evaluation of CO2/H2S Separation at Shurtan Gas Chemical Complex
by Adham Norkobilov, Rakhmatullo Muradov, Sanjar Ergashev, Zafar Turakulov, Yulduz Safarova and Noilakhon Yakubova
Eng. Proc. 2026, 124(1), 81; https://doi.org/10.3390/engproc2026124081 - 17 Mar 2026
Viewed by 226
Abstract
The separation of carbon dioxide (CO2) and hydrogen sulfide (H2S) from sour natural gas is an important step in gas processing and emission control. This study applies a rate-based Aspen Plus simulation to examine solvent-based CO2/H2 [...] Read more.
The separation of carbon dioxide (CO2) and hydrogen sulfide (H2S) from sour natural gas is an important step in gas processing and emission control. This study applies a rate-based Aspen Plus simulation to examine solvent-based CO2/H2S removal under conditions representative of the Shurtan Gas Chemical Complex in Uzbekistan. Monoethanolamine (MEA) and methyldiethanolamine (MDEA) are evaluated as reference solvents with respect to separation performance and energy demand. The rate-based modeling framework accounts for reaction kinetics and mass transfer effects in the absorber–regenerator system. Simulation results indicate that both solvents achieve high acid gas removal efficiencies. From an engineering perspective, the results provide practical guidance for solvent selection and energy optimization in existing acid gas removal units, supporting pilot-scale deployment under industrial operating conditions. Sensitivity analysis suggests that increasing gas throughput beyond 30 t/h leads to a gradual reduction in CO2 capture efficiency, primarily due to mass transfer limitations. From a techno-economic perspective, the lower energy demand of the MDEA-based system may imply reduced operating costs. The captured CO2 stream reaches a purity of around 99.5%, which is compatible with downstream soda ash production. Overall, the results provide a screening-level assessment supporting further detailed evaluation. Full article
(This article belongs to the Proceedings of The 6th International Electronic Conference on Applied Sciences)
Show Figures

Figure 1

11 pages, 774 KB  
Article
Kinetics of the Reaction of OH Radicals with Hydrogen Iodide Between 225 and 950 K
by Yuri Bedjanian
Atmosphere 2026, 17(3), 301; https://doi.org/10.3390/atmos17030301 - 16 Mar 2026
Viewed by 120
Abstract
Reaction OH + HI → I + H2O (1) is an important atmospheric process transforming inactive HI into chemically active iodine atoms. In the present work, the reaction kinetics have been studied in a discharge fast-flow reactor coupled with an electron [...] Read more.
Reaction OH + HI → I + H2O (1) is an important atmospheric process transforming inactive HI into chemically active iodine atoms. In the present work, the reaction kinetics have been studied in a discharge fast-flow reactor coupled with an electron impact ionization mass spectrometer at nearly 2 Torr total pressure of helium and over a wide temperature range, T = 225–950 K. The reaction rate constant was determined both by a relative rate method (with the OH + Br2 reaction as a reference) and by absolute measurements carried out under pseudo-first order conditions by monitoring the OH consumption kinetics in excess of hydrogen iodide. U-shaped temperature dependence was observed for the reaction rate constant, negative at low temperatures and positive at high temperatures. Recommended expression over the 225–950 K temperature range: k1 = 1.13 × 10−11 exp(354/T) + 6.93 × 10−11 exp(−1010/T) cm3 molecule−1 s−1 or in the form of a modified Arrhenius expression, k1 = 4.2 × 10−12 × (T/298)1.36 exp(666/T) cm3 molecule−1 s−1, with a total estimated uncertainty of 15% at all temperatures. The rate constant data obtained in this study are compared with the results of previous experimental works. Full article
(This article belongs to the Section Air Quality)
Show Figures

Figure 1

24 pages, 4754 KB  
Article
Atomic Charges from Machine-Learned Charge Densities: Consistency and Substituent Effects
by Xuejian Qin and Taoyuze Lv
Chemistry 2026, 8(3), 34; https://doi.org/10.3390/chemistry8030034 - 16 Mar 2026
Viewed by 233
Abstract
Atomic charges are widely used to analyze molecular electronic structure and substituent effects, yet their numerical values and interpretations are inherently dependent on the adopted density partitioning scheme. Here, we adapt the Equivariant Atomic Contribution framework to molecular systems (EAC-qm), enabling prediction of [...] Read more.
Atomic charges are widely used to analyze molecular electronic structure and substituent effects, yet their numerical values and interpretations are inherently dependent on the adopted density partitioning scheme. Here, we adapt the Equivariant Atomic Contribution framework to molecular systems (EAC-qm), enabling prediction of atom-resolved continuous charge densities from which atomic charges are obtained as spatial moments. The predicted densities reproduce reference density functional theory results with high accuracy and preserve global charge conservation. To assess chemical interpretability, we examine charge responses in monosubstituted aromatic systems using Hammett substituent constants as external empirical references. Atomic charges derived from EAC-qm exhibit a strong linear association with Hammett parameters, compared with values obtained from traditional density partitioning approaches applied to the same electronic structures. These correlations indicate that density-derived charges respond systematically to established substituent electronic trends. Beyond scalar charges, atom-resolved dipole moments can be evaluated as first-order moments of the same continuous density representation. Illustrative examples for formaldehyde (H2CO) and formamide (HCONH2) show that local dipole vectors provide directional information about intra-atomic polarization that is not captured by point-charge models. Overall, the results suggest that machine-learned continuous electron densities provide a representation-consistent basis for constructing atom-centered electronic descriptors with chemical interpretability. Full article
(This article belongs to the Section Theoretical and Computational Chemistry)
Show Figures

Graphical abstract

Back to TopTop