Sign in to use this feature.

Years

Between: -

Subjects

remove_circle_outline
remove_circle_outline
remove_circle_outline
remove_circle_outline
remove_circle_outline

Journals

Article Types

Countries / Regions

Search Results (13)

Search Parameters:
Keywords = railway point-operating machines

Order results
Result details
Results per page
Select all
Export citation of selected articles as:
25 pages, 7721 KB  
Article
Advanced Research and Engineering Application of Tunnel Structural Health Monitoring Leveraging Spatiotemporally Continuous Fiber Optic Sensing Information
by Gang Cheng, Ziyi Wang, Gangqiang Li, Bin Shi, Jinghong Wu, Dingfeng Cao and Yujie Nie
Photonics 2025, 12(9), 855; https://doi.org/10.3390/photonics12090855 - 26 Aug 2025
Viewed by 951
Abstract
As an important traffic and transportation roadway, tunnel engineering is widely used in important fields such as highways, railways, water conservancy, subways and mining. It is limited by complex geological conditions, harsh construction environments and poor robustness of the monitoring system. If the [...] Read more.
As an important traffic and transportation roadway, tunnel engineering is widely used in important fields such as highways, railways, water conservancy, subways and mining. It is limited by complex geological conditions, harsh construction environments and poor robustness of the monitoring system. If the construction process and monitoring method are not properly designed, it will often directly induce disasters such as tunnel deformation, collapse, leakage and rockburst. This seriously threatens the safety of tunnel construction and operation and the protection of the regional ecological environment. Therefore, based on distributed fiber optic sensing technology, the full–cycle spatiotemporally continuous sensing information of the tunnel structure is obtained in real time. Accordingly, the health status of the tunnel is dynamically grasped, which is of great significance to ensure the intrinsic safety of the whole life cycle for the tunnel project. Firstly, this manuscript systematically sorts out the development and evolution process of the theory and technology of structural health monitoring in tunnel engineering. The scope of application, advantages and disadvantages of mainstream tunnel engineering monitoring equipment and main optical fiber technology are compared and analyzed from the two dimensions of equipment and technology. This provides a new path for clarifying the key points and difficulties of tunnel engineering monitoring. Secondly, the mechanism of action of four typical optical fiber sensing technologies and their application in tunnel engineering are introduced in detail. On this basis, a spatiotemporal continuous perception method for tunnel engineering based on DFOS is proposed. It provides new ideas for safety monitoring and early warning of tunnel engineering structures throughout the life cycle. Finally, a high–speed rail tunnel in northern China is used as the research object to carry out tunnel structure health monitoring. The dynamic changes in the average strain of the tunnel section measurement points during the pouring and curing period and the backfilling period are compared. The force deformation characteristics of different positions of tunnels in different periods have been mastered. Accordingly, scientific guidance is provided for the dynamic adjustment of tunnel engineering construction plans and disaster emergency prevention and control. At the same time, in view of the development and upgrading of new sensors, large models and support processes, an innovative tunnel engineering monitoring method integrating “acoustic, optical and electromagnetic” model is proposed, combining with various machine learning algorithms to train the long–term monitoring data of tunnel engineering. Based on this, a risk assessment model for potential hazards in tunnel engineering is developed. Thus, the potential and disaster effects of future disasters in tunnel engineering are predicted, and the level of disaster prevention, mitigation and relief of tunnel engineering is continuously improved. Full article
(This article belongs to the Special Issue Advances in Optical Sensors and Applications)
Show Figures

Figure 1

30 pages, 4582 KB  
Review
Review on Rail Damage Detection Technologies for High-Speed Trains
by Yu Wang, Bingrong Miao, Ying Zhang, Zhong Huang and Songyuan Xu
Appl. Sci. 2025, 15(14), 7725; https://doi.org/10.3390/app15147725 - 10 Jul 2025
Viewed by 2045
Abstract
From the point of view of the intelligent operation and maintenance of high-speed train tracks, this paper examines the research status of high-speed train rail damage detection technology in the field of high-speed train track operation and maintenance detection in recent years, summarizes [...] Read more.
From the point of view of the intelligent operation and maintenance of high-speed train tracks, this paper examines the research status of high-speed train rail damage detection technology in the field of high-speed train track operation and maintenance detection in recent years, summarizes the damage detection methods for high-speed trains, and compares and analyzes different detection technologies and application research results. The analysis results show that the detection methods for high-speed train rail damage mainly focus on the research and application of non-destructive testing technology and methods, as well as testing platform equipment. Detection platforms and equipment include a new type of vortex meter, integrated track recording vehicles, laser rangefinders, thermal sensors, laser vision systems, LiDAR, new ultrasonic detectors, rail detection vehicles, rail detection robots, laser on-board rail detection systems, track recorders, self-moving trolleys, etc. The main research and application methods include electromagnetic detection, optical detection, ultrasonic guided wave detection, acoustic emission detection, ray detection, vortex detection, and vibration detection. In recent years, the most widely studied and applied methods have been rail detection based on LiDAR detection, ultrasonic detection, eddy current detection, and optical detection. The most important optical detection method is machine vision detection. Ultrasonic detection can detect internal damage of the rail. LiDAR detection can detect dirt around the rail and the surface, but the cost of this kind of equipment is very high. And the application cost is also very high. In the future, for high-speed railway rail damage detection, the damage standards must be followed first. In terms of rail geometric parameters, the domestic standard (TB 10754-2018) requires a gauge deviation of ±1 mm, a track direction deviation of 0.3 mm/10 m, and a height deviation of 0.5 mm/10 m, and some indicators are stricter than European standard EN-13848. In terms of damage detection, domestic flaw detection vehicles have achieved millimeter-level accuracy in crack detection in rail heads, rail waists, and other parts, with a damage detection rate of over 85%. The accuracy of identifying track components by the drone detection system is 93.6%, and the identification rate of potential safety hazards is 81.8%. There is a certain gap with international standards, and standards such as EN 13848 have stricter requirements for testing cycles and data storage, especially in quantifying damage detection requirements, real-time damage data, and safety, which will be the key research and development contents and directions in the future. Full article
Show Figures

Figure 1

15 pages, 7546 KB  
Article
Deterministic Light Detection and Ranging (LiDAR)-Based Obstacle Detection in Railways Using Data Fusion
by Susana Dias, Pedro J. S. C. P. Sousa, João Nunes, Francisco Afonso, Nuno Viriato, Paulo J. Tavares and Pedro M. G. P. Moreira
Appl. Sci. 2025, 15(6), 3118; https://doi.org/10.3390/app15063118 - 13 Mar 2025
Cited by 1 | Viewed by 1838
Abstract
Rail travel is one of the safest means of transportation, with increasing usage in recent years. One of the major safety concerns in the railway relates to intrusions. Therefore, the timely detection of obstacles is crucial for ensuring operational safety. This is a [...] Read more.
Rail travel is one of the safest means of transportation, with increasing usage in recent years. One of the major safety concerns in the railway relates to intrusions. Therefore, the timely detection of obstacles is crucial for ensuring operational safety. This is a complex problem with multiple contributing factors, from environmental to psychological. While machine learning (ML) has proven effective in related applications, such as autonomous road-based driving, the railway sector faces unique challenges due to limited image data availability and difficult data acquisition, hindering the applicability of conventional ML methods. To mitigate this, the present study proposes a novel framework leveraging LiDAR technology (Light Detection and Ranging) and previous knowledge to address these data scarcity limitations and enhance obstacle detection capabilities on railways. The proposed framework combines the strengths of long-range LiDAR (capable of detecting obstacles up to 500 m away) and GNSS data, which results in precise coordinates that accurately describe the train’s position relative to any obstacles. Using a data fusion approach, pre-existing knowledge about the track topography is incorporated into the LiDAR data processing pipeline in conjunction with the DBSCAN clustering algorithm to identify and classify potential obstacles based on point cloud density patterns. This step effectively segregates potential obstacles from background noise and track structures. The proposed framework was tested within the operational environment of a CP 2600-2620 series locomotive in a short section of the Contumil-Leixões line. This real-world testing scenario allowed the evaluation of the framework’s effectiveness under realistic operating conditions. The unique advantages of this approach relate to its effectiveness in tackling data scarcity, which is often an issue for other methods, in a way that enhances obstacle detection in railway operations and may lead to significant improvements in safety and operational efficiency within railway networks. Full article
(This article belongs to the Special Issue Interdisciplinary Approaches and Applications of Optics & Photonics)
Show Figures

Graphical abstract

31 pages, 12058 KB  
Article
Design and Operational Assessment of a Railroad Track Robot for Railcar Undercarriage Condition Inspection
by James Kasch and Mehdi Ahmadian
Designs 2024, 8(4), 70; https://doi.org/10.3390/designs8040070 - 10 Jul 2024
Viewed by 3168
Abstract
The operational effectiveness of a railroad track robot that is designed for railcar undercarriage inspection is provided. Beyond describing the robot’s design details and onboard imaging system, the paper analyzes the recorded video images and offers design improvements to increase their clarity. The [...] Read more.
The operational effectiveness of a railroad track robot that is designed for railcar undercarriage inspection is provided. Beyond describing the robot’s design details and onboard imaging system, the paper analyzes the recorded video images and offers design improvements to increase their clarity. The robot is designed to be deployed trackside, traverse over the rails, and then maneuver in between the rails beneath a stopped train in a siding or a railyard. The under-carriage conditions are documented by onboard video cameras for automated or manual postprocessing. The intent is to inspect the components that are not visible to the conductor or train inspector during a walk-along inspection of a stationary train. An assessment of the existing design, followed by modification and validation, is presented. The results from a prototype unit developed by the Railway Technologies Laboratory at Virginia Tech (RTL) indicate that with proper positioning of off-the-shelf imaging systems such as cameras manufactured by GoPro® in San Mateo, CA, USA and appropriate lighting, it is possible to capture videos that are sufficiently clear for manual (by a railroad engineer), semi-automated, or fully automated (using Artificial Intelligence or Machine Learning methods) inspections of rolling stock undercarriages. Additionally, improvements to the control, mobility, and reliability of the system are documented, although reliability throughout operation and the ability to consistently climb out of the track bed remain points of future investigation. Full article
Show Figures

Figure 1

32 pages, 17404 KB  
Article
A Novel Method for Full-Section Assessment of High-Speed Railway Subgrade Compaction Quality Based on ML-Interval Prediction Theory
by Zhixing Deng, Wubin Wang, Linrong Xu, Hao Bai and Hao Tang
Sensors 2024, 24(11), 3661; https://doi.org/10.3390/s24113661 - 5 Jun 2024
Cited by 3 | Viewed by 1862
Abstract
The high-speed railway subgrade compaction quality is controlled by the compaction degree (K), with the maximum dry density (ρdmax) serving as a crucial indicator for its calculation. The current mechanisms and methods for determining the ρdmax [...] Read more.
The high-speed railway subgrade compaction quality is controlled by the compaction degree (K), with the maximum dry density (ρdmax) serving as a crucial indicator for its calculation. The current mechanisms and methods for determining the ρdmax still suffer from uncertainties, inefficiencies, and lack of intelligence. These deficiencies can lead to insufficient assessments for the high-speed railway subgrade compaction quality, further impacting the operational safety of high-speed railways. In this paper, a novel method for full-section assessment of high-speed railway subgrade compaction quality based on ML-interval prediction theory is proposed. Firstly, based on indoor vibration compaction tests, a method for determining the ρdmax based on the dynamic stiffness Krb turning point is proposed. Secondly, the Pso-OptimalML-Adaboost (POA) model for predicting ρdmax is determined based on three typical machine learning (ML) algorithms, which are back propagation neural network (BPNN), support vector regression (SVR), and random forest (RF). Thirdly, the interval prediction theory is introduced to quantify the uncertainty in ρdmax prediction. Finally, based on the Bootstrap-POA-ANN interval prediction model and spatial interpolation algorithms, the interval distribution of ρdmax across the full-section can be determined, and a model for full-section assessment of compaction quality is developed based on the compaction standard (95%). Moreover, the proposed method is applied to determine the optimal compaction thicknesses (H0), within the station subgrade test section in the southwest region. The results indicate that: (1) The PSO-BPNN-AdaBoost model performs better in the accuracy and error metrics, which is selected as the POA model for predicting ρdmax. (2) The Bootstrap-POA-ANN interval prediction model for ρdmax can construct clear and reliable prediction intervals. (3) The model for full-section assessment of compaction quality can provide the full-section distribution interval for K. Comparing the H0 of 50~60 cm and 60~70 cm, the compaction quality is better with the H0 of 40~50 cm. The research findings can provide effective techniques for assessing the compaction quality of high-speed railway subgrades. Full article
(This article belongs to the Topic Advanced Risk Assessment in Geotechnical Engineering)
Show Figures

Figure 1

14 pages, 9788 KB  
Article
Current-Signal-Based Fault Diagnosis of Railway Point Machines Using Machine Learning
by Ahmad Sugiana, Willy Anugrah Cahyadi and Yasser Yusran
Appl. Sci. 2024, 14(1), 267; https://doi.org/10.3390/app14010267 - 28 Dec 2023
Cited by 1 | Viewed by 2153
Abstract
The majority of railway operators still implement conventional maintenance for railway point machines (RPMs), which is one of the most vital pieces of equipment for ensuring the safety of train operation. The conventional maintenance method lacks accuracy, is less efficient, and has high [...] Read more.
The majority of railway operators still implement conventional maintenance for railway point machines (RPMs), which is one of the most vital pieces of equipment for ensuring the safety of train operation. The conventional maintenance method lacks accuracy, is less efficient, and has high labor costs. This study developed a cost-effective and accurate fault diagnosis (FD) method based on current data to increase the overall efficiency of RPM maintenance. The FD method for RPM equipment discussed in this paper consists of three working conditions: normal, working, and failure. The method was proposed based on time-series current signals, which were gathered when the RPM was in operation. Time-series data were extracted and filtered using time-domain feature extraction based on scalable hypothesis testing. The selected features became the datasets for machine learning modeling. Six machine learning algorithms were compared in order to find the algorithm with the best FD accuracy. The results showed 100% accuracy for the Decision Tree and Random Forest algorithms in the FD method. The results of the FD method could be important for maintenance teams in determining suitable maintenance activities based on RPM working conditions. Full article
(This article belongs to the Special Issue Railway Infrastructures Engineering: Latest Advances and Prospects)
Show Figures

Figure 1

15 pages, 4066 KB  
Communication
Wheel Defect Detection Using a Hybrid Deep Learning Approach
by Khurram Shaikh, Imtiaz Hussain and Bhawani Shankar Chowdhry
Sensors 2023, 23(14), 6248; https://doi.org/10.3390/s23146248 - 8 Jul 2023
Cited by 12 | Viewed by 5303
Abstract
Defective wheels pose a significant challenge in railway transportation, impacting operational performance and safety. Excessive traction and braking forces give rise to deviations from the intended conical tread shape, resulting in amplified vibrations and noise. Moreover, these deviations contribute to the accelerated damage [...] Read more.
Defective wheels pose a significant challenge in railway transportation, impacting operational performance and safety. Excessive traction and braking forces give rise to deviations from the intended conical tread shape, resulting in amplified vibrations and noise. Moreover, these deviations contribute to the accelerated damage of track components. Detecting wheel defects at an early stage is crucial to ensure safe and comfortable operation, as well as to minimize maintenance costs. However, the presence of various vibrations, such as those induced by the track, traction motors, and other rolling stock subsystems, poses a significant challenge for onboard detection techniques. These vibrations create difficulties in accurately identifying wheel defects in real-time during operational activities, often resulting in false alarms. This research paper aims to address this issue by using a hybrid deep learning-based approach for the accurate detection of various types of wheel defects using accelerometer data. The proposed approach aims to enhance wheel defect detection accuracy while considering onboard techniques’ cost-effectiveness and efficiency. A realistic simulation model of the railway wheelset is developed to generate a comprehensive dataset. To generate vibration data in various scenarios, the model is simulated for 20 s under different conditions, including one non-faulty scenario and six faulty scenarios. The simulations are conducted at different speeds and track conditions to capture a wide range of operating conditions. Within each simulation iteration, a total of 200,000 data points are generated, providing a comprehensive dataset for analysis and evaluation. The generated data are then utilized to train and evaluate a hybrid deep learning model, employing a multi-layer perceptron (MLP) as a feature extractor and multiple machine learning models (support vector machine, random forest, decision tree, and k-nearest neighbors) for performance comparison. The results demonstrate that the MLP-RF (multi-layer perceptron with random forest) model achieved an accuracy of 99%, while the MLP-DT (multi-layer perceptron with decision tree) model achieved an accuracy of 98%. These high accuracy values indicate the effectiveness of the models in accurately classifying and predicting the outcomes. The contributions of this research work include the development of a realistic simulation model, the evaluation of sensor layout effectiveness, and the application of deep learning techniques for improved wheel flat detections. Full article
(This article belongs to the Special Issue Sensing and Imaging for Defect Detection)
Show Figures

Figure 1

11 pages, 911 KB  
Case Report
Reliability and Inspection Modelling of Railway Signalling Systems
by Nikesh Kumar and Kong Fah Tee
Modelling 2021, 2(3), 344-354; https://doi.org/10.3390/modelling2030018 - 26 Jul 2021
Cited by 7 | Viewed by 4737
Abstract
The railway is one of the most prominent models of transportation across the globe and it carries a large number of people, thus requiring high reliability, maintainability and safety. The reliability of railways mostly depends on an effective signalling system, making it one [...] Read more.
The railway is one of the most prominent models of transportation across the globe and it carries a large number of people, thus requiring high reliability, maintainability and safety. The reliability of railways mostly depends on an effective signalling system, making it one of the critical parts of railway operation. A signalling system is part of a large array of systems with interconnected components and subcomponents. Therefore, there is a need to make the signalling system more reliable and optimised with enhanced fault detection. Proper inspection and maintenance are required to make the signalling system reliable and safe. In this study, different inspection modelling techniques are applied to find the reliability of the signalling system. The signalling system has been divided into subsystems (signal unit, track unit, point-and-point machine) considering their importance and their effects on the failure rate of the entire signalling system. Inspection modelling of each subsystem has been conducted to provide the basis for the entire signalling system. A case study has been investigated to validate the model developed in one of the busiest tracks in eastern India. The obtained data thus are used to analyse the inspection pattern of signalling subsystems. Special attention to maintenance for inspection activities and logistics support has been taken into consideration, which is required to improve the reliability and maintainability of signalling subsystems and systems to make the railway signalling system sustainable in the long run. Full article
(This article belongs to the Special Issue Modelling for Reliability and Maintenance Engineering)
Show Figures

Figure 1

17 pages, 7000 KB  
Article
Experimental Strain Measurement Approach Using Fiber Bragg Grating Sensors for Monitoring of Railway Switches and Crossings
by Abdelfateh Kerrouche, Taoufik Najeh and Pablo Jaen-Sola
Sensors 2021, 21(11), 3639; https://doi.org/10.3390/s21113639 - 24 May 2021
Cited by 17 | Viewed by 3811
Abstract
Railway infrastructure plays a major role in providing the most cost-effective way to transport freight and passengers. The increase in train speed, traffic growth, heavier axles, and harsh environments make railway assets susceptible to degradation and failure. Railway switches and crossings (S&C) are [...] Read more.
Railway infrastructure plays a major role in providing the most cost-effective way to transport freight and passengers. The increase in train speed, traffic growth, heavier axles, and harsh environments make railway assets susceptible to degradation and failure. Railway switches and crossings (S&C) are a key element in any railway network, providing flexible traffic for trains to switch between tracks (through or turnout direction). S&C systems have complex structures, with many components, such as crossing parts, frogs, switchblades, and point machines. Many technologies (e.g., electrical, mechanical, and electronic devices) are used to operate and control S&C. These S&C systems are subject to failures and malfunctions that can cause delays, traffic disruptions, and even deadly accidents. Suitable field-based monitoring techniques to deal with fault detection in railway S&C systems are sought after. Wear is the major cause of S&C system failures. A novel measuring method to monitor excessive wear on the frog, as part of S&C, based on fiber Bragg grating (FBG) optical fiber sensors, is discussed in this paper. The developed solution is based on FBG sensors measuring the strain profile of the frog of S&C to determine wear size. A numerical model of a 3D prototype was developed through the finite element method, to define loading testing conditions, as well as for comparison with experimental tests. The sensors were examined under periodic and controlled loading tests. Results of this pilot study, based on simulation and laboratory tests, have shown a correlation for the static load. It was shown that the results of the experimental and the numerical studies were in good agreement. Full article
(This article belongs to the Section Optical Sensors)
Show Figures

Figure 1

13 pages, 1814 KB  
Article
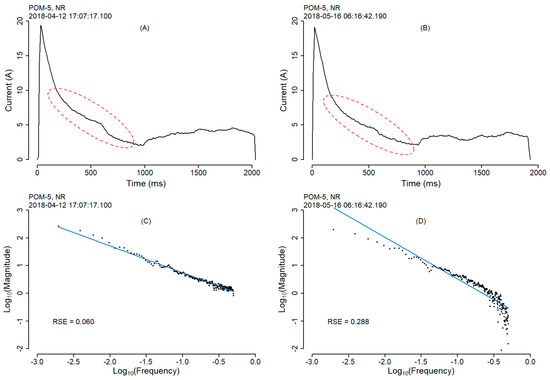
Railway Point-Operating Machine Fault Detection Using Unlabeled Signaling Sensor Data
by Pritesh Mistry, Phil Lane and Paul Allen
Sensors 2020, 20(9), 2692; https://doi.org/10.3390/s20092692 - 9 May 2020
Cited by 15 | Viewed by 4058
Abstract
In this study, we propose a methodology for the identification of potential fault occurrences of railway point-operating machines, using unlabeled signal sensor data. Data supplied by Network Rail, UK, is processed using a fast Fourier transform signal processing approach, coupled with the mean [...] Read more.
In this study, we propose a methodology for the identification of potential fault occurrences of railway point-operating machines, using unlabeled signal sensor data. Data supplied by Network Rail, UK, is processed using a fast Fourier transform signal processing approach, coupled with the mean and max current levels to identify potential faults in point-operating machines. The method developed can dynamically adapt to the behavioral characteristics of individual point-operating machines, thereby providing bespoke condition monitoring capabilities in situ and in real time. The work described in this paper is not unique to railway point-operating machines, rather the data pre-processing and methodology is readily applicable to any motorized device fitted with current sensing capabilities. The novelty of our approach is that it does not require pre-labelled data with historical fault occurrences and therefore closely resembles problems of the real world, with application for smart city infrastructure. Lastly, we demonstrate the problems faced with handling such data and the capability of our methodology to dynamically adapt to diverse data presentations. Full article
(This article belongs to the Section Fault Diagnosis & Sensors)
Show Figures

Figure 1

18 pages, 1891 KB  
Article
Fault Diagnosis of Rolling Bearings in Rail Train Based on Exponential Smoothing Predictive Segmentation and Improved Ensemble Learning Algorithm
by Lu Han, Chongchong Yu, Cuiling Liu, Yong Qin and Shijie Cui
Appl. Sci. 2019, 9(15), 3143; https://doi.org/10.3390/app9153143 - 2 Aug 2019
Cited by 21 | Viewed by 2987
Abstract
The rolling bearing is a key component of the bogie of the rail train. The working environment is complex, and it is easy to cause cracks and other faults. Effective rolling bearing fault diagnosis can provide an important guarantee for the safe operation [...] Read more.
The rolling bearing is a key component of the bogie of the rail train. The working environment is complex, and it is easy to cause cracks and other faults. Effective rolling bearing fault diagnosis can provide an important guarantee for the safe operation of the track while improving the resource utilization of the rolling bearing and greatly reducing the cost of operation. Aiming at the problem that the characteristics of the vibration data of the rolling bearing components of the railway train and the vibration mechanism model are difficult to establish, a method for long-term faults diagnosis of the rolling bearing of rail trains based on Exponential Smoothing Predictive Segmentation and Improved Ensemble Learning Algorithm is proposed. Firstly, the sliding time window segmentation algorithm of exponential smoothing is used to segment the rolling bearing vibration data, and then the segmentation points are used to construct the localized features of the data. Finally, an Improved AdaBoost Algorithm (IAA) is proposed to enhance the anti-noise ability. IAA, Back Propagation (BP) neural network, Support Vector Machine (SVM), and AdaBoost are used to classify the same dataset, and the evaluation indexes show that the IAA has the best classification effect. The article selects the raw data of the bearing experiment platform provided by the State Key Laboratory of Rail Traffic Control and Safety of Beijing Jiaotong University and the standard dataset of the American Case Western Reserve University for the experiment. Theoretical analysis and experimental results show the effectiveness and practicability of the proposed method. Full article
(This article belongs to the Special Issue Fault Diagnosis of Rotating Machine)
Show Figures

Figure 1

27 pages, 5793 KB  
Article
Multi-Range Conditional Random Field for Classifying Railway Electrification System Objects Using Mobile Laser Scanning Data
by Jaewook Jung, Leihan Chen, Gunho Sohn, Chao Luo and Jong-Un Won
Remote Sens. 2016, 8(12), 1008; https://doi.org/10.3390/rs8121008 - 10 Dec 2016
Cited by 22 | Viewed by 7025
Abstract
Railways have been used as one of the most crucial means of transportation in public mobility and economic development. For safe railway operation, the electrification system in the railway infrastructure, which supplies electric power to trains, is an essential facility for stable train [...] Read more.
Railways have been used as one of the most crucial means of transportation in public mobility and economic development. For safe railway operation, the electrification system in the railway infrastructure, which supplies electric power to trains, is an essential facility for stable train operation. Due to its important role, the electrification system needs to be rigorously and regularly inspected and managed. This paper presents a supervised learning method to classify Mobile Laser Scanning (MLS) data into ten target classes representing overhead wires, movable brackets and poles, which are key objects in the electrification system. In general, the layout of the railway electrification system shows strong spatial regularity relations among object classes. The proposed classifier is developed based on Conditional Random Field (CRF), which characterizes not only labeling homogeneity at short range, but also the layout compatibility between different object classes at long range in the probabilistic graphical model. This multi-range CRF model consists of a unary term and three pairwise contextual terms. In order to gain computational efficiency, MLS point clouds are converted into a set of line segments to which the labeling process is applied. Support Vector Machine (SVM) is used as a local classifier considering only node features for producing the unary potentials of the CRF model. As the short-range pairwise contextual term, the Potts model is applied to enforce a local smoothness in the short-range graph; while long-range pairwise potentials are designed to enhance the spatial regularities of both horizontal and vertical layouts among railway objects. We formulate two long-range pairwise potentials as the log posterior probability obtained by the naive Bayes classifier. The directional layout compatibilities are characterized in probability look-up tables, which represent the co-occurrence rate of spatial relations in the horizontal and vertical directions. The likelihood function is formulated by multivariate Gaussian distributions. In the proposed multi-range CRF model, the weight parameters to balance four sub-terms are estimated by applying the Stochastic Gradient Descent (SGD). The results show that the proposed multi-range CRF can effectively classify individual railway elements, representing an average recall of 97.66% and an average precision of 97.07% for all classes. Full article
Show Figures

Graphical abstract

12 pages, 6002 KB  
Article
Fault Detection and Diagnosis of Railway Point Machines by Sound Analysis
by Jonguk Lee, Heesu Choi, Daihee Park, Yongwha Chung, Hee-Young Kim and Sukhan Yoon
Sensors 2016, 16(4), 549; https://doi.org/10.3390/s16040549 - 16 Apr 2016
Cited by 127 | Viewed by 15889
Abstract
Railway point devices act as actuators that provide different routes to trains by driving switchblades from the current position to the opposite one. Point failure can significantly affect railway operations, with potentially disastrous consequences. Therefore, early detection of anomalies is critical for monitoring [...] Read more.
Railway point devices act as actuators that provide different routes to trains by driving switchblades from the current position to the opposite one. Point failure can significantly affect railway operations, with potentially disastrous consequences. Therefore, early detection of anomalies is critical for monitoring and managing the condition of rail infrastructure. We present a data mining solution that utilizes audio data to efficiently detect and diagnose faults in railway condition monitoring systems. The system enables extracting mel-frequency cepstrum coefficients (MFCCs) from audio data with reduced feature dimensions using attribute subset selection, and employs support vector machines (SVMs) for early detection and classification of anomalies. Experimental results show that the system enables cost-effective detection and diagnosis of faults using a cheap microphone, with accuracy exceeding 94.1% whether used alone or in combination with other known methods. Full article
(This article belongs to the Section Physical Sensors)
Show Figures

Figure 1

Back to TopTop